Detailed Building Energy Impact Analysis of XPS Insulation Degradation Using Existing Long-Term Experimental Data
Abstract
1. Introduction
2. Literature Review
3. Data and Energy Models’ Collection, Simulation, and Analysis
3.1. Determination of Yearly XPS Insulation Thermal Transmittance
3.1.1. Extracting Yearly Thermal Transmittance
3.1.2. Calculation of Thermal Transmittance for the Building Energy Model
3.2. Building Energy Model and Input Data
3.2.1. Selection of Representative Cities by Climate Zone and Generation of TMY and AMY Data
3.2.2. Prototypical Building Energy Models
4. Impact on Heating Energy by Annual Thermal Transmittance Change
4.1. Estimation of Annual Energy Consumption with AMY Data
4.2. Estimation of Annual Heating Energy Consumption with TMY Data
4.3. Comparative Analysis Based on Degradation and Weather Data
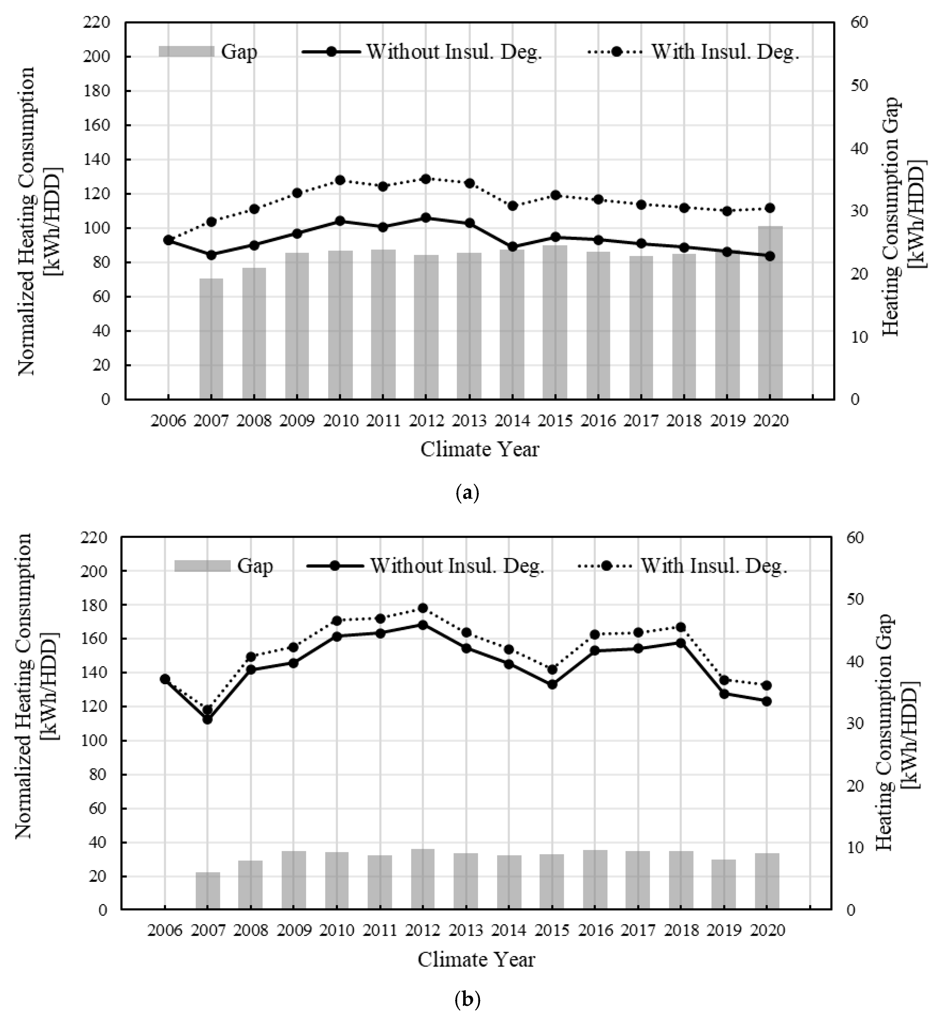
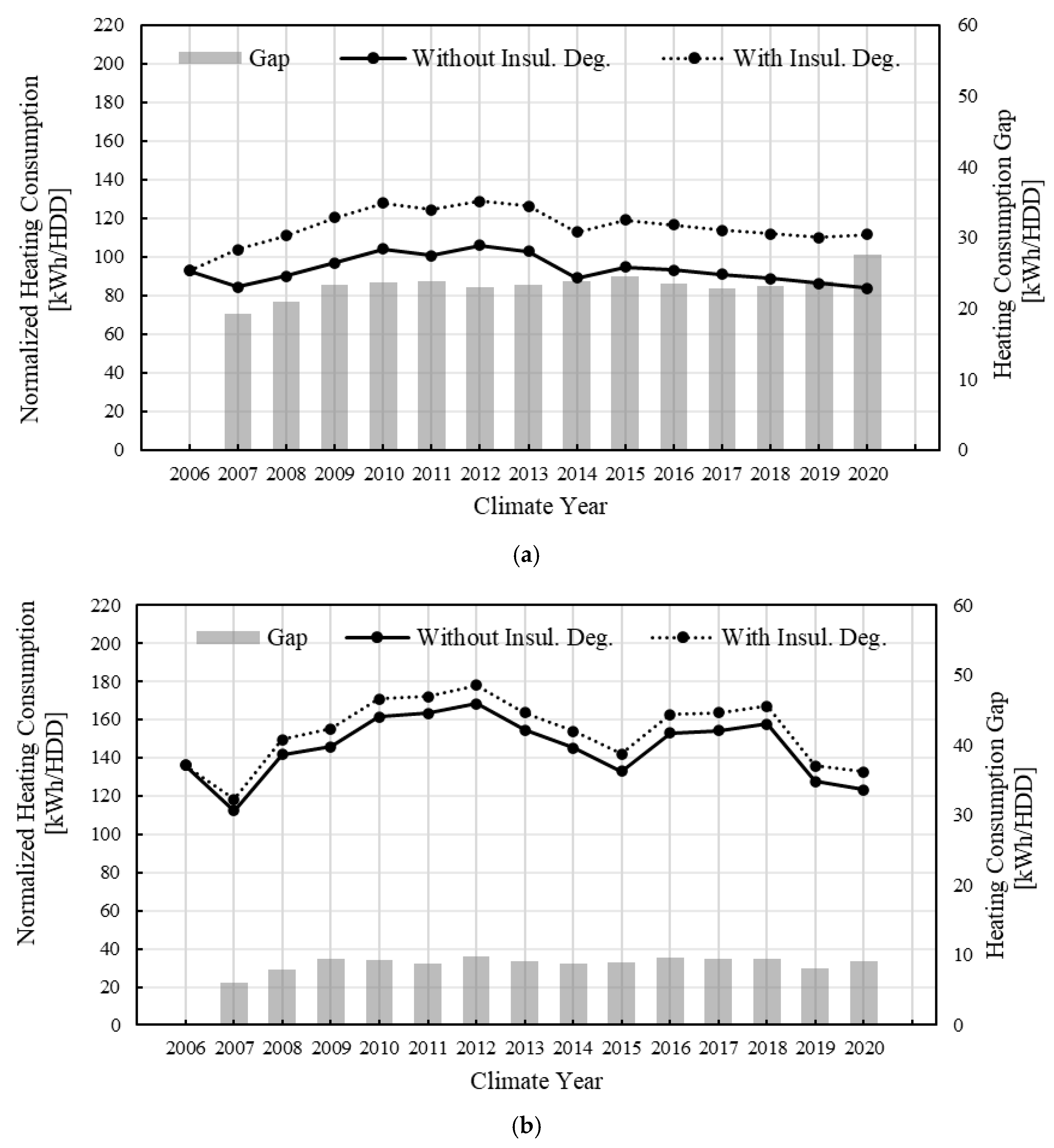
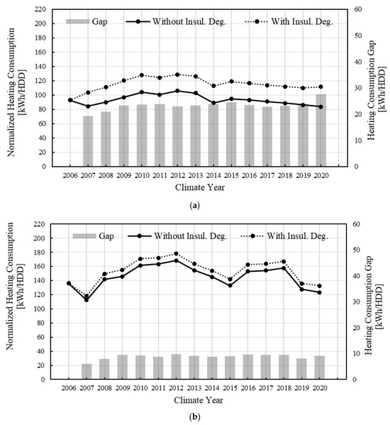
4.3.1. Impact of Insulation Degradation on Annual Heating Energy: AMY-Based
4.3.2. Results Summary for Six Cities in Multifamily Apartment Buildings (AMY and TMY)
4.3.3. Results Summary for Six Cities in Office Buildings
5. Conclusions
- (1)
- Simulations were conducted assuming two conditions: one where the initial thermal performance of insulation was maintained over 15 years, and another where degradation progressed over the same period. As a result, the cumulative heating energy consumption for multifamily apartment buildings increased by 23.2% to 34.9% in the AMY-based simulations, and by 23.5% to 36.2% in the TMY-based simulations, compared to the condition without degradation. This indicates that insulation degradation has a significant long-term impact on heating energy consumption.
- (2)
- The southern and Jeju zones exhibited heating energy consumption increases about 5–10% higher than those in the central zone, a trend that was consistently observed in both the AMY and TMY simulations. This suggests that zones with more relaxed minimum insulation standards are more sensitive to insulation degradation effects.
- (3)
- Office buildings showed less sensitivity to insulation degradation, with the heating energy consumption increases remaining below 8% in most cases. This can be attributed to the smaller envelope area and internal heat gains more than 2.5 times greater than those of multifamily apartment buildings, highlighting that the impact of insulation degradation varies depending on building type.
- (4)
- Although AMY data were expected to predict heating energy consumption more accurately due to reflecting actual year-by-year weather variations, the difference between the AMY- and TMY-based simulation results was less than 4% in most cities. This confirms that TMY-based analyses can also provide sufficiently reliable results for long-term insulation performance evaluation.
- (5)
- Overall, this study emphasizes that the long-term degradation of insulation performance has a considerable cumulative impact on buildings’ energy consumption. Therefore, it is necessary to establish design standards that incorporate long-term insulation performance from the design stage, and differentiated insulation standards should be considered based on building type. In particular, office buildings, which are less sensitive to insulation degradation, could adopt lower insulation standards compared to residential buildings. Furthermore, while AMY enables more precise evaluations, considering the complexity and difficulty in acquiring AMY data, TMY-based simulations are also sufficiently practical alternatives for long-term performance analysis.
6. Discussion
Author Contributions
Funding
Data Availability Statement
Conflicts of Interest
References
- Korea Ministry of Land, Infrastructure and Transport (MOLIT). National Land and Transport Roadmap (2021); Korea Ministry of Land, Infrastructure and Transport (MOLIT): Sejong, Republic of Korea, 2021; Available online: https://www.molit.go.kr/USR/NEWS/m_71/dtl.jsp?lcmspage=1&id=95086352 (accessed on 15 November 2024).
- Ministry of Land, Infrastructure and Transport. (2001). Energy Conservation Design Standards for Buildings [Enforcement on 1 June 2001] [Notification No. 2001-118]. Available online: http://www.molit.go.kr/USR/I0204/m_45/dtl.jsp?idx=504 (accessed on 10 November 2024).
- Ministry of Land, Infrastructure and Transport. (2010). Energy Conservation Design Standards for Buildings [Enforcement on 1 July 2010] [Notification No. 2010-371, June 11, 2010, Partial Amendment]. Available online: https://www.law.go.kr/admRulLsInfoP.do?chrClsCd=010202&admRulSeq=2000000052431 (accessed on 10 November 2024).
- Ministry of Land, Infrastructure and Transport. (2013). Energy Conservation Design Standards for Buildings [Enforcement on 1 September 2013] [Notification No. 2013-149, 13 March 2013, Partial Amendment]. Available online: https://www.law.go.kr/LSW//admRulLsInfoP.do?chrClsCd=&admRulSeq=2000000089123 (accessed on 10 November 2024).
- Ministry of Land, Infrastructure and Transport. (2016). Energy Conservation Design Standards for Buildings [Enforcement on 1 January 2016] [Notification No. 2015-1108, 31 December 2015, Partial Amendment]. Available online: https://www.law.go.kr/LSW//admRulLsInfoP.do?chrClsCd=&admRulSeq=2100000035773 (accessed on 10 November 2024).
- Ministry of Land, Infrastructure and Transport. (2018). Energy Conservation Design Standards for Buildings [Enforcement on 1 September 2018] [Notification No. 2017-881, 28 December 2017, Partial Amendment]. Available online: https://www.law.go.kr/LSW//admRulLsInfoP.do?chrClsCd=&admRulSeq=2100000106860 (accessed on 10 November 2024).
- Ministry of Land, Infrastructure and Transport. (2022). Energy Conservation Design Standards for Buildings [Enforcement on 29 July 2022] [Notification No. 2022-52, 28 January 2022, Partial Amendment]. Available online: https://www.law.go.kr/LSW//admRulLsInfoP.do?chrClsCd=&admRulSeq=2100000208640 (accessed on 10 November 2024).
- Danish Ministry of Economic and Business Affairs. (17 December 2008). Bekendtgørelse om Offentliggørelse af Bygningsreglement 2008 (BR08) [Publication of the Building Regulations 2008 (BR08)]. Social, Bolig og Ældreministeriet. Available online: https://www.retsinformation.dk/eli/lta/2008/45 (accessed on 10 November 2024).
- Danish Ministry of Economic and Business Affairs. (28 June 2010). Bekendtgørelse om Offentliggørelse af Bygningsreglement 2010 (BR10) [Publication of the Building Regulations 2010 (BR10)]. Social, Bolig og Ældreministeriet. Available online: https://www.retsinformation.dk/eli/lta/2010/810 (accessed on 10 November 2024).
- Danish Ministry of Economic and Business Affairs. (12 December 2019). Bekendtgørelse om Bygningsreglement 2018 (BR18) [Publication of the Building Regulations 2018 (BR18)]. Social, Bolig og Ældreministeriet. Available online: https://www.retsinformation.dk/eli/lta/2019/1399 (accessed on 10 November 2024).
- Thomsen, K.E.; Wittchen, K.B.; Ostertag, B.; Severinsen, R.; Palm, J.; Hartung, T.; Varming, N.B. Implementation of the EPBD Denmark. 2016. Available online: https://www.ca-epbd.eu/Media/638373601209185553/Implementation-of-the-EPBD-in-Denmark--2020.pdf (accessed on 10 November 2024).
- ANSI/ASHRAE/IES Standard 90.1-2007; Energy Standard for Sites and Buildings Except Low-Rise Residential Buildings. ASHRAE: Atlanta, GA, USA, 2007.
- ANSI/ASHRAE/IES Standard 90.1-2010; Energy Standard for Sites and Buildings Except Low-Rise Residential Buildings. ASHRAE: Atlanta, GA, USA, 2010.
- ANSI/ASHRAE/IES Standard 90.1-2013; Energy Standard for Sites and Buildings Except Low-Rise Residential Buildings. ASHRAE: Atlanta, GA, USA, 2013.
- ANSI/ASHRAE/IES Standard 90.1-2016; Energy Standard for Sites and Buildings Except Low-Rise Residential Buildings. ASHRAE: Atlanta, GA, USA, 2016.
- ANSI/ASHRAE/IES Standard 90.1-2019; Energy Standard for Sites and Buildings Except Low-Rise Residential Buildings. ASHRAE: Atlanta, GA, USA, 2019.
- ANSI/ASHRAE/IES Standard 90.1-2022; Energy Standard for Sites and Buildings Except Low-Rise Residential Buildings. ASHRAE: Atlanta, GA, USA, 2022.
- Energie Einspar Verordnung (EnEV). Available online: https://www.bbsr-geg.bund.de/GEGPortal/DE/Archiv/EnEV/enev_node.html (accessed on 10 November 2024).
- Gebäude und zur Änderung Weiterer Gesetze (GEG). Available online: https://www.bbsr-geg.bund.de/GEGPortal/DE/Archiv/GEG/GEG-node.html (accessed on 10 November 2024).
- Kim, J.-H.; Kim, S.-M.; Kim, J.-T. Comparison of Thermal Conductivity and Long-Term Change of Building Insulation Materials According to Accelerated Laboratory Test Methods of ISO 11561 and EN 13166 Standard. Energies 2024, 17, 6105. [Google Scholar] [CrossRef]
- EPS Industry Alliance. Polystyrene Foam Insulation in Long-Term Building Applications—Effective R-Values, Resource Library—EPS Industry Alliance. Available online: https://www.airfoam.com/rigid-insulation/Polystyrene-Foam-Insulation-Long-Term-R-Values.pdf (accessed on 15 February 2025).
- Choi, B.-H.; Kang, J.-S. The Thermal Performance of Building Insulation Materials According to Long-Term Aging. Korean J. Air-Cond. Refrig. Eng. 2013, 25, 617–623. [Google Scholar] [CrossRef]
- Lee, D.-H.; Nah, H.-S. Analysis of Heat Loss Due to Time Dependent Aging of Insulation Applied to Office Building. Journal of the Korean Solar Energy Society. Korean Sol. Energy Soc. 2017, 37, 65–75. [Google Scholar] [CrossRef]
- Eleftheriadis, G.; Hamdy, M. The Impact of Insulation and HVAC Degradation on Overall Building Energy Performance: A Case Study. Buildings 2018, 8, 23. [Google Scholar] [CrossRef]
- Singh, S.N.; Coleman, P.D. Accelerated Aging Test Methods for Predicting the Long Term Thermal Resistance of Closed-Cell Foam Insulation. 2007. Available online: https://www.semanticscholar.org/paper/Accelerated-Aging-Test-Methods-for-Predicting-the-Singh-Coleman/6ea32a2fe7f70bf209d8b5a6b5f6d8664ff4a36e (accessed on 10 November 2024).
- Kim, H.-J.; Choi, S.-J. An Experimental Study on a Performance Evaluation of Internal Insulation of Buildings over 20 Years Old. J. Korea Inst. Build. Constr. 2019, 19, 539–547. [Google Scholar] [CrossRef]
- Choi, H.-J.; Kang, J.-S.; Huh, J.-H. A Study on Variation of Thermal Characteristics of Insulation Materials for Buildings According to Actual Long-Term Annual Aging Variation. Int. J. Thermophys. 2018, 39, 2. [Google Scholar] [CrossRef]
- Kim, J.-H.; Kim, S.-M.; Kim, J.-T. Comparisons of Thermal Insulation Performance and Aging Characteristics of Building Insulation Materials According to Accelerated Ageing Test. J. Korean Inst. Archit. Sustain. Environ. Build. Syst. 2020, 14, 791–802. [Google Scholar] [CrossRef]
- Choi, H.-J. A Study on the Long-Term Change of Thermal Resistance Properties of Cellular Plastic Insulation Materials. Ph.D. Thesis, University of Seoul, Department of Architectural Engineering, Seoul, Republic of Korea, 2022. [Google Scholar]
- Batard, A.; Duforestel, T.; Flandin, L.; Yrieix, B. Prediction method of the long-term thermal performance of Vacuum Insulation Panels installed in building thermal insulation applications. Energy Build. 2018, 178, 1–10. [Google Scholar] [CrossRef]
- D’Agostino, D.; Landolfi, R.; Nicolella, M.; Minichiello, F. Experimental Study on the Performance Decay of Thermal Insulation and Related Influence on Heating Energy Consumption in Buildings. Sustainability 2022, 14, 2947. [Google Scholar] [CrossRef]
- Khoukhi, M. The combined effect of heat and moisture transfer dependent thermal conductivity of polystyrene insulation material: Impact on building energy performance. Energy Build. 2018, 169, 228–235. [Google Scholar] [CrossRef]
- Yang, W.; Zhang, G.; He, W.; Liu, J. The Effect of Relative Humidity Dependent Thermal Conductivity on Building Insulation Layer Thickness Optimization. Buildings 2022, 12, 1864. [Google Scholar] [CrossRef]
- Ryu, S.-H.; Ryu, J.-H.; Hong, W.-H. A Study on Timing Estimation for the Thermal Insulation Remodeling by Analyzing Annual Variation of Exterior Walls Thermal Insulation Performance in Public Buildings. J. Archit. Inst. Korea Plan. Des. 2015, 31, 163–171. [Google Scholar] [CrossRef]
- Lee, J.-H.; Yoon, S.-H.; Kang, J.-S.; Choi, G.-S.; Choi, H.-J. Analysis of Change in Energy Load of Building According to Long-Term Aging of Building Insulation Material; The Society of Air-Conditioning and Refrigerating Engineers of Korea (2017-06): Seoul, Republic of Korea, 2017; pp. 286–289. [Google Scholar]
- Berardi, U.; Nosrati, R.H. Long-term thermal conductivity of aerogel-enhanced insulating materials under different laboratory aging conditions. Energy 2018, 147, 1188–1202. [Google Scholar] [CrossRef]
- Seo, D.-H. Development of a Universal Model for Predicting Hourly Solar Radiation—Application: Evaluation of an Optimal Daylighting Controller (Order No. 3404058). ProQuest Dissertations & Theses Global. (500031344). 2010. Available online: https://www.proquest.com/dissertations-theses/development-universal-model-predicting-hourly/docview/500031344/se-2 (accessed on 24 November 2024).
- Marion, W.; Urban, K. User’s Manual for TMY2s (Typical Meteorological Years)-Derived from the 1961–1990 National Solar Radiation Data Base (No. NREL/TP-463-7668); National Renewable Energy Lab. (NREL): Golden, CO, USA, 1995. [Google Scholar]
- Seo, D.-H.; Noh, B.-I.; Ihm, P.-C. A Research on Prototypical Apartment House Definition for Detailed Building Energy Simulation. J. Reg. Assoc. Archit. Inst. Korea 2014, 16, 285–296. [Google Scholar]
- Choi, D.-Y. Building Energy Consumption Permanent Sample Survey Study (3rd Year); Korea Energy Economics Institute: Ulsan, Republic of Korea, 2016. [Google Scholar]
- Energy Economics Research Institute. Household Energy Panel Survey Report for the Year 2020 (Based on 2019 Data); Korea Energy Economics Institute: Ulsan, Republic of Korea, 2020. [Google Scholar]
- Kim, H.-J.; Shin, J.-K.; Seo, D.-H. Development of Residential Building Energy Benchmark Data. J. Korean Inst. Archit. Sustain. Environ. Build. Syst. 2023, 17, 482–496. [Google Scholar] [CrossRef]
- Kim, H.-J.; Choi, D.-Y.; Seo, D. Development and Verification of Prototypical Office Buildings Models Using the National Building Energy Consumption Survey in Korea. Sustainability 2021, 13, 3611. [Google Scholar] [CrossRef]









| Countries | Climate Zone | Year and U-Value [W/m2·K] | |||||
|---|---|---|---|---|---|---|---|
| 2007 ~2009 | 2010 ~2012 | 2013 ~2015 | 2016 ~2018 | 2019 ~2021 | 2022~ | ||
| Korea | Central 1 | 0.47 | 0.36 | 0.27 | 0.21 | 0.15 | 0.15 |
| Central 2 | 0.47 | 0.36 | 0.27 | 0.21 | 0.17 | 0.17 | |
| Southern | 0.58 | 0.45 | 0.34 | 0.26 | 0.22 | 0.22 | |
| Jeju | 0.76 | 0.58 | 0.44 | 0.36 | 0.29 | 0.29 | |
| Denmark | N/A | 0.40 | 0.40 | 0.40 | 0.30 | 0.30 | 0.30 |
| USA | Climate Zone 4 | 0.64 | 0.48 | 0.28 | 0.28 | 0.28 | 0.28 |
| Germany | N/A | 0.45 | 0.28 | 0.28 | 0.28 | 0.28 | 0.28 |
| Author | Year | Summary |
|---|---|---|
| Ryu et al. [34] | 2015 | Building Samples: On-site measurements in 11 real buildings. Analysis Conducted: Thermal transmittance based on different exterior finishing materials. Insulation Degradation Rates: For public buildings older than 15 years, the degradation rates were found to be 66.2% (paint), 30.1% (brick), and 15.4% (tile). |
| Lee & Nah [23] | 2017 | Compliance Standard: EPS with KS M ISO 11561. Thermal Resistance Reduction: After 100 days, decreased by 10.7%. Energy Simulation: Building energy simulations with TRISCO RADCON module. Simulation Results: Increase in heat loss from exterior walls ranging from 1.38% to 8.52%. |
| Lee et al. [35] | 2017 | Measurement Standard: Thermal conductivity with KS L 9016. Simulation Approach: Multifamily building with TRNSYS 17. Performance Degradation: XPS insulation decreased by 35% from its initial state. Heating Energy: Increased by 9.7% in Seoul, 10.3% in Ulsan, and 8.6% in Jeju. |
| Berardi & Nosrati [36] | 2018 | Test Method: Accelerated aging tests in laboratory for aerogel-enhanced insulation. Condition: Thermal conductivity of the insulation increased by 10% after 20 years. Long-term Performance: Similar to its initial conditions. |
| Period | Thermal Transmittance [W/m2·K] | Change Rate [%] | Period | Thermal Transmittance [W/m2·K] | Change Rate [%] |
|---|---|---|---|---|---|
| Initial | 0.402 | - | 8 years later | 0.682 | 0 |
| 1 year later | 0.606 | 50.75 | 9 years later | 0.682 | 0 |
| 2 years later | 0.652 | 7.59 | 10 years later | 0.681 | 0 |
| 3 years later | 0.671 | 2.91 | 11 years later | 0.681 | 0 |
| 4 years later | 0.676 | 0.75 | 12 years later | 0.697 | 2.32 |
| 5 years later | 0.678 | 0.30 | 13 years later | 0.699 | 0.28 |
| 6 years later | 0.683 | 0.74 | 14 years later | 0.701 | 0.28 |
| 7 years later | 0.683 | 0 | 15 years later | 0.702 | 0.14 |
| Building Components | Building Type | Climate Zone | ||
|---|---|---|---|---|
| Central | Southern | Jeju | ||
| Exterior wall | Multifamily APT buildings | 0.47 | 0.58 | 0.76 |
| Other | ||||
| Roof | All types | 0.29 | 0.35 | 0.41 |
| Slab | Floor heating | 0.35 | 0.41 | 0.47 |
| Not floor heating | ||||
| Sidewall of multifamily APT buildings | 0.35 | 0.47 | 0.58 | |
| Period | Thermal Transmittance [W/m2·K] | Change Rate [%] | Period | Thermal Transmittance [W/m2·K] | Change Rate [%] |
|---|---|---|---|---|---|
| Initial | 0.470 | - | 8 years later | 0.729 | 0 |
| 1 year later | 0.662 | 40.75 | 9 years later | 0.729 | 0 |
| 2 years later | 0.702 | 6.15 | 10 years later | 0.728 | 0 |
| 3 years later | 0.720 | 2.47 | 11 years later | 0.728 | 0 |
| 4 years later | 0.723 | 0.53 | 12 years later | 0.741 | 1.83 |
| 5 years later | 0.725 | 0.19 | 13 years later | 0.743 | 0.22 |
| 6 years later | 0.730 | 0.70 | 14 years later | 0.745 | 0.22 |
| 7 years later | 0.729 | 0 | 15 years later | 0.745 | 0.11 |
| City | Climate Zone | Latitude [Degree] | Longitude [Degree] | CDD 20 °C [°C-Days] | HDD 18 °C [°C-Days] |
|---|---|---|---|---|---|
| Wonju | Central 1 | 37°20′15″ N | 127°56′47″ E | 578 | 2794 |
| Seoul | Central 2 | 37°34′17″ N | 126°57′56″ E | 608 | 2663 |
| Cheongju | Central 2 | 36°38′21″ N | 127°26′26″ E | 663 | 2525 |
| Daegu | Southern | 35°6′16″ N | 129°1′55″ E | 713 | 2163 |
| Busan | Southern | 35°52′40″ N | 128°39′10″ E | 534 | 1825 |
| Jeju | Jeju | 33°30′50″ N | 126°31′46″ E | 649 | 1526 |
| Building Type | Floor (Underground/ Ground) | Floor Height | Floor Area | Aspect Ratio | Orientation |
|---|---|---|---|---|---|
| (A) | |||||
| Multifamily APT | 0/15 | 2.6 m | 382 m2 (85 m2/unit) | 1:3 | South |
| HVAC | Primary System | WWR | Cooling and Heating Period | Lighting Power Density | |
| Gas boiler |
|
| 3.83 W/m2 | |
| (B) | |||||
| Office | 5/16 | 3.7 m | 1752 m2 | 1:1.2 | East |
| HVAC | Primary System | WWR | Cooling and Heating Period | Lighting Power Density | |
| CAV+FCU |
|
|
| 5.49 W/m2 | |
| Region | Without Insulation Degradation [kWh/HDD] | With Insulation Degradation [kWh/HDD] | Percentage Increase (%) |
|---|---|---|---|
| Wonju | 1183 | 1501 | 26.9% |
| Seoul | 1406 | 1732 | 23.2% |
| Cheongju | 1228 | 1549 | 26.1% |
| Daegu | 1218 | 1597 | 31.2% |
| Busan | 1215 | 1639 | 34.9% |
| Jeju | 1865 | 2461 | 31.9% |
| Region | Without Insulation Degradation [kWh] | With Insulation Degradation [kWh] | Percentage Increase (%) |
|---|---|---|---|
| Wonju | 3,305,842 | 4,181,831 | 26.5% |
| Seoul | 3,543,229 | 4,376,137 | 23.5% |
| Cheongju | 3,437,724 | 4,296,715 | 25.0% |
| Daegu | 2,765,126 | 3,597,740 | 30.1% |
| Busan | 2,092,527 | 2,850,409 | 36.2% |
| Jeju | 2,756,333 | 3,471,447 | 30.6% |
| Region | Without Insulation Degradation [kWh/HDD] | With Insulation Degradation [kWh/HDD] | Percentage Increase (%) |
|---|---|---|---|
| Wonju | 2021 | 2150 | 6.4% |
| Seoul | 2178 | 2302 | 5.7% |
| Cheongju | 1964 | 2088 | 6.3% |
| Daegu | 1597 | 1708 | 7.0% |
| Busan | 1303 | 1406 | 7.9% |
| Jeju | 1395 | 1495 | 7.2% |
Disclaimer/Publisher’s Note: The statements, opinions and data contained in all publications are solely those of the individual author(s) and contributor(s) and not of MDPI and/or the editor(s). MDPI and/or the editor(s) disclaim responsibility for any injury to people or property resulting from any ideas, methods, instructions or products referred to in the content. |
© 2025 by the authors. Licensee MDPI, Basel, Switzerland. This article is an open access article distributed under the terms and conditions of the Creative Commons Attribution (CC BY) license (https://creativecommons.org/licenses/by/4.0/).
Share and Cite
Park, S.-H.; Kim, S.-H.; Jeong, J.-Y.; Kim, H.-J.; Seo, D.-H. Detailed Building Energy Impact Analysis of XPS Insulation Degradation Using Existing Long-Term Experimental Data. Energies 2025, 18, 3260. https://doi.org/10.3390/en18133260
Park S-H, Kim S-H, Jeong J-Y, Kim H-J, Seo D-H. Detailed Building Energy Impact Analysis of XPS Insulation Degradation Using Existing Long-Term Experimental Data. Energies. 2025; 18(13):3260. https://doi.org/10.3390/en18133260
Chicago/Turabian StylePark, Soo-Hwan, Seok-Ho Kim, Ju-Yeon Jeong, Hye-Jin Kim, and Dong-Hyun Seo. 2025. "Detailed Building Energy Impact Analysis of XPS Insulation Degradation Using Existing Long-Term Experimental Data" Energies 18, no. 13: 3260. https://doi.org/10.3390/en18133260
APA StylePark, S.-H., Kim, S.-H., Jeong, J.-Y., Kim, H.-J., & Seo, D.-H. (2025). Detailed Building Energy Impact Analysis of XPS Insulation Degradation Using Existing Long-Term Experimental Data. Energies, 18(13), 3260. https://doi.org/10.3390/en18133260

