Next Article in Journal
A Critical Review of the Carbon–Energy Nexus Within the Construction Sector’s Embodied Emissions: A Case Study in the United Arab Emirates
Previous Article in Journal
Topology Optimization Design of Phase Change Liquid Cooling Composite Plate
 
 
Font Type:
Arial Georgia Verdana
Font Size:
Aa Aa Aa
Line Spacing:
Column Width:
Background:
Article

Comparative Analysis of Insulation Aging in Cross-Linked Polyethylene and Ethylene–Propylene Rubber Cables Through the Progression Rate of Partial Discharge

by
Andréia C. Domingos
1,*,
Leandro Duarte
1,
Alan P. Pinheiro
1,
Fabrício A. M. Moura
1,
Lorenço Vasconcelos
1,
Daniel P. de Carvalho
1,
Fernando E. de F. Fadel
2 and
Patrícia N. Sakai
2
1
Smart Grids Laboratory (LRI), Universidade Federal de Uberlândia, Uberlândia 38408-100, Brazil
2
Petrobras SA, Rio de Janeiro 20231-030, Brazil
*
Author to whom correspondence should be addressed.
Energies 2025, 18(10), 2653; https://doi.org/10.3390/en18102653
Submission received: 10 April 2025 / Revised: 30 April 2025 / Accepted: 7 May 2025 / Published: 21 May 2025
(This article belongs to the Section F1: Electrical Power System)

Abstract

In order to ensure the continuous and reliable supply of electrical energy to the power grid, it is necessary to evaluate and monitor the degree of impairment of the insulation of electrical cables, as throughout its service life, insulation around cables suffers degradation due to numerous stress factors, which can arise from both environmental and operational causes. This aspect has aroused deep interest among energy professionals, as well as the industrial sector, with focus mainly placed on the undesirable effect caused by unexpected and sudden process stoppages, as well as their consequent financial and social impacts. That said, this article presents a methodology for evaluating the degree of insulation aging using the partial discharge progression curve. For this purpose, a thermal oven was duly constructed, in accordance with the technical premises presented in the literature, capable of homogeneously heating conductor samples. After thermal cycles, these conductors were aptly handled and tested in a controlled laboratory environment to determine the partial discharge progression curve. Through accurate data processing, a correlation was obtained between the degradation of the insulation and the rate of increase in partial discharge. The results are promising, as they provide support for maintenance agents’ ability to monitor and intervene regarding conductors.

1. Introduction

Insulated cables are assets of fundamental importance for electrical power systems, being widely used in medium- (MV) and high-voltage (HV) systems. Approximately 80% of power grids are composed of underground insulated cables. These account for approximately 180,000 km of medium-voltage cables that are still in service [1,2].
Over the years, the technologies used to manufacture cable insulation have continuously evolved, moving from oil-impregnated paper insulation, paper-insulated lead-covered cables (PILC), which are still widely used in distribution systems, to systems with polymeric insulation, such as polyvinyl chloride (PVC). However, more modern insulation technologies such as ethylene–propylene rubber (EPR) and cross-linked polyethylene cable (XLPE), which are thermosetting materials with a high degree of temperature resistance, are presented as solutions with a better cost–benefit ratio, low deformation, and lower maintenance and installation costs, in addition to not using lead in their composition [3,4].
In virtue of their electrical and mechanical superiority, combined with the thermal properties of their polymeric material, cross-linked polyethylene-insulated cables (XLPE) have been presented as a solution with improved cost–benefit ratio, low deformation, and lower maintenance and installation costs, in addition to not using lead in their composition. In addition to the aspects previously reported is the maturation of the manufacturing process and the cables’ high transmission capacity [5,6,7].
Throughout its service life, cable insulation undergoes degradation due to numerous stress factors, both environmental in nature (humidity, ambient temperature, radiation, etc.) and operational in nature (dielectric stress due to the applied voltage and temperature rise due to Joule losses resulting from the transmitted current). In addition to these factors, the cable may also be subject to mechanical stress during its installation, creating weaker points that, over time, become points that are potentially more prone to failure. The temperature to which the insulation is subjected also affects how quickly it degrades. In this case, the overheating of the cable causes chemical reactions that alter its structure, increasing its crystallinity and progressively reducing its performance as a dielectric material [8,9].
Different parameters can be used to qualitatively measure the degradation through aging suffered by the insulation, such as its dissipation factor (delta tangent), measurement of insulation resistance, insulation elongation (using layers of insulation aptly extracted from the cable), along with measuring the activity of partial discharges (PD), among other possibilities. In all these alternatives, the relationship between the level of degradation and the measured parameter is not linear and, much less, trivial. The variation in measurements shows trends, i.e., the evolution of the severity of degradation, but not the absolute values of accumulated damage or the remaining service life. Noteworthy here is that monitoring the evolution of PD is an effective tool for identifying the propensity for cable insulation failure, as these are the most vulnerable components of the power grid in this regard [10,11,12].
Several works have been presented with the aim of evaluating the service life of insulated cables under thermal stress. Specific papers correlate the presence of thermal and mechanical stress; others relate thermal stress to electrical stress for the same purpose. In this aspect, this article aims to evaluate the rate of increase in the magnitude of PD in XLPE and EPR cables, aged in a laboratory environment by the stressor agent temperature, for the purpose of better understanding and pointing out the effects on the insulation and how this affects the service life of these assets. For this purpose, 3 m-long conductors, XLPE- and EPR-type, were selected from a 125 m coil at random and immersed in a thermal oven specially developed for the purpose of stratifying into five levels the aging at a rate of 20, 40, 60, 80 and 100% of degradation of the insulation for the subsequent measurement of the intensity of partial discharges.

2. Background

Partial discharge (PD) can be conceptualized as an electric discharge that occurs in a region of space subject to a high electric field, whose conduction path, formed by the discharge, does not completely connect the two electrodes. The insulating material, when subjected to a high-gradient electric field, becomes susceptible to internal discharges in the micro-cavities that gradually lead to the erosion of its walls, which may result in total discharge and the consequent failure of the cable insulation. Basically, partial discharges can be classified as internal PD, superficial PD or corona PD [6].
It is known that most ethylene propylene (EPR) cables have a maximum working temperature of 105 °C, with the ability to operate at 140 °C for a short period of time. In [13,14], insulation samples were cut from an EPR cable (15 kV class) of 90 μm thickness. Hence, a constant AC voltage was applied to the cable samples by varying the test temperature: 105 °C, 140 °C, 165 °C and 190 °C. From these, insulation breakdown time data were collected to extrapolate the service life characteristics of the tested EPR samples.
In order to propose aging kinetics in a way that provides a better understanding of the effects of electrical and thermal stresses on the insulating material, so as to deliver meaningful data for the design of cables for high-voltage direct current (HVDC) systems, the experiment presented in [15,16] was implemented. In this experiment, tests were conducted with Rogowski samples consisting of XLPE insulation with semiconductor electrodes, aged for more than 3 years (1220 days) at three different temperatures (70, 80 and 90 °C) and subjected to two DC electric fields (30 and 60 kV/mm). The magnitudes evaluated were the dielectric loss factor, volume resistivity and space charge accumulation.
Regarding the establishment of a theoretical basis for cable replacement, reference [17] focuses investigates the thermal aging process of the cable. According to the Arrhenius model, the multivariate nonlinear regression technique was employed to analyze the data, and the cable thermal aging life prediction model was derived from the point of view of real operation. The adopted methodology, as a failure point indicator, consists of the 50% elongation retention property. The outcome suggests that the operational lifespan of the cable at 90 °C is 32.2 years, which is in line with manufacturer recommendations, thus indicating that the developed model presents promising signs. It should be noted here that the metric used for experimental development is based on IEC 60216-2 [18].
In [15], an established accelerated thermal aging method was employed, through the use of the Arrhenius model. This method is frequently applied in accelerated service life testing to define a voltage–lifetime relationship and estimate cable service life. Two types of cross-linked polyethylene (XLPE) material working at elevated temperatures between 95 and 105 °C were chosen for evaluation. In these accelerated aging processes, it becomes necessary for the insulation to reach a level of degradation considered as the end of service life of the material under evaluation. The end-of-life criterion (commonly known as the endpoint) is specified as a percentage reduction in elongation at break, which is investigated in this study as 50% retention of elongation at break. Thermal aging was performed according to [19], and elongation at break was measured at various aging stages. The uncertainty in the measurement was estimated. Short-term data points determined by the applied aging process were plotted on the Arrhenius plot. The extrapolation of these data was used to predict long-term performance and estimate cable service life. The experimental results presented in this investigation investigated cable service life of between 7 and 30 years for nominal operating temperatures between 95 and 105 °C.
Since estimating and predicting the working lifespan of materials/products is time-consuming, the need for accelerated testing arises. In this context, in [15,16], an accelerated thermal aging test in air was conducted at four distinct temperatures. Due to highly coordinated and correlated variations with time, mechanical properties were selected as an important metric to assess the service life of XLPE insulation. Useful service life comes to an end when this parameter decreases to half of its primary value. Therefore, the testing of mechanical properties on XLPE insulation was performed at different thermal stresses to formulate two models: the Eyring model and a new model called the power exponential model. The latter has good accuracy at elevated temperatures when compared to other models, such as the Arrhenius model.
In [12], the preliminary results are presented for a comprehensive investigation of thermal aging in insulating materials for medium- and high-voltage cables employing various analytical methods. Since weight loss is a significant physical property, which is influenced by thermal degradation, this method was adopted for diagnostic purposes to detect the degree of aging.
In [13], a new approach is proposed. Based on the accelerated thermal aging analysis of ethylene–propylene rubber (EPR) cables, the conceptual correlation between the elongation at break retention rate (EAB%) and the hardness retention rate were deduced from the mathematical principles of hardness testing. The relationship curve was then matched against the measured values, and the results show that there is a high degree of coincidence between the theoretical curve and the measured values. Therefore, following analysis of the experimental data of EAB% and the hardness retention rate, integrating the “temperature-time change factors” with the Arrhenius equation, the index of service life termination due to hardness retention rate is analyzed when EAB% is reduced to 30–50%. Based on the comparison of theoretical values with experimental results, the hardness retention rate reduced to 10% was proposed as the service life termination index of EPR cable.
Another factor that may influence PD activity is humidity, regardless of the age of the cable. Humidity plays an important role in partial discharge and is considered to be a complex mechanism. There is no widely accepted theory to describe the humidity effect on PD inception [20]. In any case, it is known that humidity plays a significant role in PD activity. The partial discharge inception voltage (PDIV), for example, normally decreases with increasing humidity, as humidity influences the conductivity of the dielectrics and removal of trapped charge; consequently, the magnitude and repetition rate of the discharge is modified [21]. In particular, the humidity absorption into the bulk of the insulating coating and the associated microscopic and macroscopic polarization processes (dielectric permittivity) may result in partial discharge changes.
Based on the above-mentioned discussions, the feasibility of accelerating the aging of cables by exposing them to temperatures above their nominal value is confirmed. That said, to evaluate the intensity of partial discharges and their evolution, through the aging of the insulation, this work adopts the metric of thermal aging of the insulating layer when the cable is exposed to high temperatures.

3. Thermal Aging

This section discusses the methodology, procedures and materials adopted to carry out accelerated thermal aging of medium voltage XLPE cables. To this end, a thermal oven was used, which was specifically developed for this objective. In this way, the insulating material, as well as the semiconductor layers of the cables, internal and external, were subjected to thermal stress, by maintaining a high temperature, through controlled aging cycles in a homogeneously heated environment.
With the aim of determining the degree of degradation of the cable insulation as a function of temperature, metrics were established to initiate thermal aging as stated. This aspect allowed for the generation of an appropriate testing and monitoring schedule. Section 3.1 describes one of the most consolidated methods for relating temperature to the degradation of cable insulation. The cable aging schedule is presented in Section 3.2, while the experimental procedure adopted is detailed in Section 4. Section 5 deals with the premises and methodology adopted for the test, the processing of results, along with obtaining the intensity of partial discharges.

3.1. Accelerated Thermal Aging Method

The principle of the method consists of carrying out aging tests at three or more constant temperatures on appropriately selected samples [17]. Aged test specimens are subjected, at fixed times, to diagnostic procedures to detect the degree of aging. The procedures are composed of measuring significant properties (usually electrical, chemical–physical or mechanical), which are impacted by thermal degradation reactions. With the data obtained from the tests, and once the property curves have been plotted over time at different temperatures, the end point criteria need to be selected. This point corresponds to of property variation, beyond which the degree of deterioration is considered capable of reducing the capacity of the insulation to withstand real service electrical voltages. The thermal resistance curves of the tested materials can then be plotted, one for each endpoint of the selected property. These are obtained as regression lines of the experimental points that represent the logarithm of the time to the end point, i.e., mean time to failure t L , by the reciprocal of the absolute temperature T , based on the life model represented by
log t L = a + b / T ,
where a and b are parameters such that the first depends on the selection of the end point and the second is pertains to the activation energy of the aging process. The IEC 60216 Standard establishes three indices to provide the characterization of thermal resistance in abbreviated numerical form: T I (temperature index), which is the temperature in °C derived from the thermal resistance ratio (Equation (1)) at a given time, typically 20,000 h; T C , the lower 95% confidence limit of T I ; and HIC (half-life interval), defined as the temperature interval in °C that expresses half the time period until the end point obtained at the temperature associated with T I . Equation (1) represents the Arrhenius-type relationship commonly used to model the thermal aging behavior of electrical insulation materials, as outlined in the IEC 60216 standard [18]. This equation expresses the logarithm of the time to failure (or to a defined degradation endpoint) as a linear function of the reciprocal of the absolute temperature. The key assumptions underlying this model are as follows: (i) the degradation kinetics are thermally activated, following an Arrhenius-type behavior; (ii) a single dominant degradation mechanism governs the aging process within the tested temperature range; and (iii) the endpoint (50% reduction in electrical strength) is a reliable indicator of the loss in the material of dielectric functionality, as supported by prior studies [15,16].
Based on this method, it is assumed that the real degree of degradation of the material can be identified through diagnostic techniques, although the intimate relationships between these properties and aging reactions are unknown. The IEC 60216 standard establishes endpoints and recommended properties so that many thermal resistance curves and indices can be obtained for each material studied. Nevertheless, these curves and indices can differ markedly and may not provide information about the actual aging state, thus providing service life curves that may not be consistent with failure under in-service conditions. In addition, the slope, temperature index and even linearity of the resistance graph depend on the selection of the reference property and failure criteria. In this regard, the objective of aging tests should be to select properties and endpoints capable of characterizing insulating materials by criteria in accordance with the actual stresses expected from in-service operations.
Considering that cables are subjected, primarily when in-service, to electrical, thermal and mechanical stresses, the properties selected for the aging tests carried out on XLPE cable models were electrical resistance, weight and tensile strength modulus.
The test temperatures indicated were 150, 130, 110 and 100 °C. The need to produce a single and meaningful thermal resistance graph, related to the actual failure, leads to selecting electrical resistance as the reference property on which the thermal resistance characterization is based. In fact, it has been demonstrated in [16,17] that an effective decrease in electrical resistance can be considered an index of chemical–physical changes and, in general, of degradation that stimulates the initiation and growth of electrical trees until the breakdown of the insulation when the voltage increases. The other properties measured for the evaluation of thermal aging (e.g., weight and tensile modulus) must then be referred to the electrical resistance for selection of the endpoint.
Figure 1, Figure 2 and Figure 3 show the property curves versus time for electrical strength, weight and tensile modulus, respectively (the property values refer to the initial values, those being E S 0 , W 0   and T M 0 , measured after preprocessing, and the confidence intervals are calculated with a 95% probability).
As noted, the tested properties show a sharp drop in temperature range from 150 to 110 °C. However, at 100 °C, the decrease is small and not monotonic, remaining within the times extrapolated by the thermal resistance graph obtained from service life tests at 110, 130 and 150 °C. This behavior shows a tendency toward an upward curve for thermal resistance and could lead to the assumption that a thermal threshold close to 100 °C exists, according to non-linear service life models as suggested by some authors [16].
From these results, representative curves of the thermal resistance of the insulation can be obtained, in accordance with the IEC 60216 standard. However, if only one of these reference service life curves, related to failure, must be selected from the wide range of possible thermal resistance graphs, the selection as the reference end point of 40–60% reduction in electrical resistance may be adopted as an appropriate failure criterion. Based on these assertions, one notes that in the temperature range of 150 to 100 °C, a reduction in electrical resistance to 50% of the initial value provides thermal resistance indices close to those obtained by the same percentage drop in the tensile modulus, along with a 0.5% decrease in weight. Therefore, by referencing the 50% electrical resistance endpoint, a single thermal resistance graph can be obtained, representative of the three selected properties, which can offer thermal resistance indicators that are potentially associated with cable degradation and loss of reliability under service conditions. Based on this failure criterion, the average temperature index T I of the tested XLPE cable models is 101.2 °C, while T c = 98.7 and HIC = 7.8 (b, the slope of the resistance line, is 5502 and a, the ordinate intercept, is −10.403). Figure 4 presents the thermal resistance graphs thus obtained.
The thermal resistance diagram in Figure 4 reflects the relationship between the degradation of the electrical insulation properties of XLPE cables and the thermal aging process. The reduction in electrical strength to 50% of its initial value, as adopted in this article, defines a critical threshold for the loss of dielectric performance. This degradation behavior correlates directly with the evolution of partial discharge intensity (PDI) observed in aged cables: as the insulation weakens thermally (as indicated by the thermal resistance curve), localized defects and conductive pathways develop, facilitating the initiation and propagation of partial discharges. Lower thermal resistance, therefore, corresponds to a greater propensity for partial discharge activity, especially at higher aging levels and applied voltages. In essence, the drop in electrical resistance illustrated in Figure 4 explains the greater vulnerability to partial discharges at advanced aging stages, linking thermal degradation mechanisms with the progressive loss of dielectric integrity. This interpretation aligns with the methodology based on IEC 60216-2 and with findings from authors such as [12], who emphasized the role of thermal and electrical stress in accelerating insulation breakdown through space charge accumulation and reduced dielectric strength.
Linear regression of the midpoints shown in Figure 4 results in the following relationship
l n ( t ) = 13779 T 26.62
or even,
t = e 26.62 e 13779 T = 2.7484 × 10 12 e 13779 T
where T is the temperature in kelvin and t is the equivalent age of the cable.

3.2. Cable Aging Schedule

Using Equation (3), one can estimate the rate of acceleration of aging more assertively and, consequently, calculate the time needed for the cable to reach the maximum permitted point of the selected properties for a to guarantee given temperature. In other words, this is the time t required to reach 100% aging when subjected to a temperature T .
Taking as a basis an expected service life of 20,000 h for the cable, one notes that, according to Equation (3), the average temperature of the cable throughout its operating period should be 104.11 °C. That said, one obtains Equation (4), defined as the aging acceleration factor (AAF).
Therefore, for an F A A = 2 , at a given temperature T , the cable is aging twice as fast; its expected service life is reduced to 10,000 h.
F A A = t F t B = e 26.62 e 13779 T e 26.62 e 13779 104.11 + 273.15 = 7.27982179 × 10 15 · e 13779 T
For the aging temperature of 140 °C, Equation (4), one obtains a F A A 140 ° C = 23.5867 . Therefore, for a given aging percentage, for example 20%, the accelerated aging time is given by t e q u i v a l e n t = 0.2   · 20000   /   F A A 140 ° C = 169.58 h.
In order to better monitor the degradation of the insulation, it was decided to stratify the aging of the cables into five levels. Accordingly, by maintaining an internal furnace temperature of 140 °C, Table 1 shows the expected times for equivalent aging.
It should be emphasized that the thermal aging procedure was conducted while maintaining solely and exclusively a uniformly distributed temperature inside the oven at 140 °C, in accordance with the time indicated in Table 1 for each percentage of aging.

4. Materials and Methods

With the intention of evaluating the increase in partial discharge activities due to insulation aging in XLPE- and EPR-insulated cables, a thermal oven with capacity for 40 simultaneous cable samples (3 m each) was accordingly designed and implemented. The project, among other premises, was aimed at attaining the temperature chosen by the operator, temperature stability, independence from the external temperature, real-time recording of internal temperatures and automation to maintain the chosen temperature.
It is worth highlighting that all the aforementioned aspects are guided by metrics and procedures to ensure energy efficiency.
In the experimental procedure adopted in this article, the thermal aging of medium-voltage cables was conducted using a custom-designed furnace, allowing the complete cable structure—including the insulation and both semiconductor layers—to be uniformly exposed to thermal stress. This approach contrasts with more conventional accelerated aging methods, such as those based on the Arrhenius model or IEC 60216-2 standard procedures, where isolated slices of insulation material or small Rogowski-type specimens are typically subjected to elevated temperatures. A major contribution of the method proposed in the article lies in its ability to realistically reproduce the penetration of the semiconducting layers into the insulation under thermal stress, a critical degradation mechanism not fully captured when studying isolated insulation samples. Consequently, this methodology provides a comprehensive and representative simulation of in-service aging phenomena, particularly the thermo-mechanical interactions that affect the dielectric strength of cables in the field. However, a limitation of the adopted method is the extended aging time required, given the large thermal mass and complex heat diffusion through the entire cable cross-section, potentially making the process less time-efficient compared to more localized accelerated testing techniques. Furthermore, unlike standardized small-sample methods that allow for precise extrapolation of service life through mathematical modeling, the full-structure approach emphasizes phenomenological observation, which, while more realistic, may be less straightforward for predictive lifetime assessment.

4.1. Selection of Materials

Regarding the operating temperature, which can reach values of up to 200 °C, the full load of all cables, and considering the insulation of this temperature in relation to the external environment, steel was chosen as the structural material, as well as the material for the internal and external coating of the thermal oven. However, as steel is an excellent heat conductor, it is necessary to insert an intermediate layer of thermal insulating material. In this context, Table 2 presents different thermal insulators and their physical characteristics.
Based on the desired working temperature, and the external temperature, the insulating material is chosen. That said, the value of 25 °C was adopted as a reference for the ambient temperature and 180 °C for the external temperature. These data suggest that the most suitable material for the application is rock wool. Its thermal conductivity is estimated between 0.030 and 0.041 watts per meter-kelvin (W/m·K), which characterizes an good thermal insulator for this purpose.

4.1.1. Manufacturing

The thermal oven was designed and built with a resistant steel structure, internal and external coating in 1 mm-thick steel sheets to guarantee durability, in addition to featuring 2-inch-wide rock wool thermal insulation. The arrangement of the rectangular tubes can be seen in Figure 5a, while Figure 5b demonstrates the methodology adopted to fix the cables, through the use of metal hooks attached to the upper part.
With the intent to prevent the cables from coming into contact with the furnace internal walls, resistors, as well as with each other, a separator was adopted at the free end of the cables, made with steel channels and refractory tiles, as illustrated in Figure 6.

4.1.2. Resistance

Resistance is controlled by contactors actuated by 24 V relays. In turn, these relays are activated by the Raspberry Pi 3 B+ through a relay module with optocouplers. This relay module is powered directly by the Raspberry ports.
Based on the power required to maintain the internal temperature and applying a safety factor of 2 times, it was decided to supply the furnace with 6 electrical resistors of 1500 W each, totaling 9000 W of power. Figure 7a illustrates the allocation of cables inside the furnace, as well as the arrangement of the resistors, while Figure 7b shows the furnace in operation with its respective control and automation panel.

4.1.3. Sensors

The temperature sensors chosen for the operating range were of the 3-wire Pt-100 type. These sensors use MAX31865 modules to communicate via the SPI communication protocol. These modules transduce the resistance value of the Pt-100 at a certain temperature and convert it into a signal that can be read by the Raspberry single-board computer. Furthermore, through the adafruit_max31865 library, it is possible to directly convert the result into degrees Celsius, in addition to determining the type of thermoresistance used (Pt-100 or Pt-1000), desired offset and other parameters.

4.1.4. Operating Logic

The decision-making algorithm follows the flowchart shown in Figure 8. When turning on the furnace, the user is asked to set the duration of the experiment; then, it is necessary to set its temperature. Once these parameters are determined, the control metric is activated. The algorithm starts operating, terminating the process when the duration time has elapsed. The temperature is constantly checked to make the decision to turn the heating elements/resistors on or off.

4.2. Partial Discharge Test

Partial discharges are a phenomenon indicating the deterioration of the insulation layer, leading to operational impairment and premature failures, with the consequent interruption of the electricity supply. Therefore, it becomes essential to monitor, track and evaluate the growth rate of partial discharge intensity to ensure operational safety, productivity and greater assertiveness regarding interventions by the maintenance team [22].
Experiments can be performed in a variety of ways and configurations; for example, the measurement setup can also be varied. For the experiments performed herein, some measurement setup configurations were standardized [23].
Regarding the performance of partial discharge tests, standard NBR 7287 addresses the methodology that must be followed for such testing. In this case, the test is carried out as follows: the electrical voltage applied across the conductor and the insulation shielding must be gradually increased until the exploration voltage value is reached and then decreased to the measurement voltage value. Worthy of note is that the standard does not always clarify with high precision the time during which the measurement voltage must be maintained and the measurement be carried out. Nor does it indicate the statistical analysis procedure when dealing with errors in the measurements taken, such as quantities of measurements to be obtained, obtaining the average or median and standard deviation [24]. Taking as an example a cable with voltage class 8.7/15 kV, in cross-sections of 50, 120 and 240 and 500 mm2, one notes that the relationship between the operating voltage and the nominal voltage of the cable corresponds to 2.5, 2.75, 3 and 3.1, respectively. This demonstrates that the power supply employed in the test must be capable of presenting voltages at its output which are much greater than the nominal cable voltage. However, greater care must be taken regarding the power required by the power supply, since this is directly related to the conductor capacitance, as seen from Equation (5).
Q = ( 2 . π . f min ) . C . U 2
The IEC 60840 standard [25], applicable to cables with voltage classes between 30 and 150 kV, establishes that the test voltage must be gradually increased and maintained (for 10 s) at a level equivalent to 1.75 Uo, and then slowly reduced to 1.5 Uo, at which point the measurement must then be made (Uo refers to the voltage between the conductor and the cable shielding). Considering the abovementioned, one notes that, despite the difference between the p.u. values of the voltage to be applied, the two standards suggest quite similar test procedures. In fact, neither provides information regarding the measurement time to be used.
Regarding the IEEE 400.2 and IEEE 400.3 technical standards, with the Very Low Frequency (VLF) technique, measurements are carried out using voltage steps that correspond to 0.5.Uo, 1.0.Uo and 1.5.Uo with the appropriate data collection. For a voltage class of 8.7/15 kV, the phase-to-earth test voltages would be 4.35 kV, 8.7 kV and 13.05 kV [24,26].
In light of the above, through considering the information presented by the three standards evaluated, the decision was reached to initiate the experiments with lower voltages, and then increasing these progressively. This is due to the fact that the real condition of the cable to be tested is not known in advance, or, in other words, what the accumulated damage to its dielectric is, or even whether it is on the verge of failure, thus rendering the cable useless. Therefore, to enable more exact measurements and, in addition, guarantee measurement records for all cables, even those that fail in their first test, the voltage should be applied in a more conservative manner, which should follow the procedure presented in Table 3. Noteworthy here is that the assets evaluated in this work consist of 35 mm2 cables, class 15 kV, 8.7/15 kV, with XLPE- and EPR-type insulation.
The voltages were applied progressively in steps, at each 30 s interval, and after reaching the maximum voltage value (17.4 kV), the procedure of decreasing this value began in a gradual and controlled manner, as illustrated in Figure 9.
The partial discharge measurement standard according to IEC 60270 standard [27], uses the capacitive coupling method; however, in the present work, a High-Frequency Current Transformer (HFCT)-type sensor was also used, coupled to the conductor shielding, in order to obtain the intensity of the partial discharge. In a more elucidated manner, Figure 10 demonstrates the setup used for measuring, analyzing and archiving partial discharge intensities.
Regarding environmental conditions, it is worth mentioning the importance of humidity. Some authors [20] argue that humidity may interfere with the measurements. However, it is not always capable of significantly interfering in the partial discharge inception voltage, as some authors suggest [28]. Nevertheless, to restrict the study to only the effect of aging and its association with partial discharges, the environmental (relative) humidity was kept constant, between 30% and 40%, during the measurements to avoid the need to modify the results between measurements. The same occurs with the aging process. However, future studies should better evaluate the effect of humidity and its perceptions on the partial discharge values. However, in this work, this variable will not be taken into account.

5. Results and Discussion

With the aim of evaluating the relationship between the growth rate of partial discharge intensity due to insulation aging, for different voltage levels, and to make a comparative analysis between two of the main insulators, XLPE and EPR, a heatmap was obtained from the data collected in a controlled environment. This metric presents a three-dimensional view of the behavior of cable insulation, where colors indicate the values of Partial Discharge Intensity (PDI) as a function of voltage [kV] and aging percentage—%ENV. Figure 11a shows the heatmap for XLPE-insulated cables, while Figure 11b illustrates the heatmap for EPR-insulated cables.
For XLPE-insulated cables, the PDI shows a progressive rate of growth as the applied voltage and the aging percentage increase. This behavior reflects the accumulation of dielectric deterioration over time due to the applied aging acceleration factor, which is in addition to the increase in the applied voltage. Regarding voltages above 13 kV and aging levels above 80%, a significant increase in PDI is observed (values above 300 pC). This point indicates an advanced stage of dielectric strength degradation, where the insulation is most likely close to its critical limit. However, at low voltages (5 kV to 8.7 kV), PDI values are more controlled (below 150 pC), indicating resistance of XLPE in the early stages of service life (20 to 60% of %ENV).
On the whole, Figure 11b illustrates that for EPR conductors, these present a more dispersed relationship between voltage, %ENV and PDI. Growth in PDI is faster at intermediate aging levels (60–80%) compared to XLPE. However, from 15 kV and with aging above 80%, PDI values exceed 400 pC, suggesting accelerated degradation in the final stages of service life. Different to XLPE, EPR already presents higher PDIs at moderate voltages (8.7 kV to 11 kV) and low levels of aging. This can be explained by the greater structural heterogeneity of the EPR, which results in a lower initial resistance to partial discharges.
For voltages U < 11 kV, XLPE-insulated cables present low PDIs (<150 pC) even during intermediate stages of aging. This reinforces its electrical stability in applications of lower stress. Conversely, EPR cables present moderate PDIs (150–250 pC) under similar conditions, indicating a greater sensitivity to initial defects. However, for U > 13 kV, the IDP increases gradually but in a controlled manner, up to aging levels of 80% in XLPE cables. Henceforth, there is a rapid growth of values in magnitude. Nevertheless, for EPR insulation, a faster growth in PDI is observed at intermediate levels of aging, suggesting that electrical failures can occur over a wider range of conditions. Therefore, it is evident that the effect of aging is more pronounced in EPR insulation, with significantly higher PDIs already at 60–80% ENV, while XLPE only shows critical signs after 80% ENV. Still regarding the effect of aging, for XLPE insulation aging has a marked impact, with a sharp increase in PDs as of 80% ENV. For moderate voltages (7–11 kV), the growth of PDs is less expressive at the initial levels of aging but accelerates with the increase in %ENV. The XLPE matrix appears to exhibit greater stability at low levels of aging. As for EPR, the increase in PDs due to aging is more linear and less abrupt compared to XLPE, reflecting the greater initial strength of the material. The EPR shows higher intensities at 20–40% ENV, especially at low to moderate voltages (7–11 kV), which can be attributed to the elastomeric structure that allows for greater initial dissipation of electrical energy. The differences in the partial discharge intensity (PDI) behavior between XLPE- and EPR-insulated cables, as shown in Figure 11, can be attributed to their intrinsic material properties. XLPE (cross-linked polyethylene) is a semi-crystalline polymer with a relatively homogeneous structure, which confers higher dielectric strength, lower defect density, and greater resistance to electrical treeing in early stages of aging. Consequently, XLPE maintains lower PDI values under moderate voltages and initial levels of aging. In contrast, EPR (ethylene-propylene rubber) is an elastomeric material with an inherently more heterogeneous and amorphous structure, characterized by variable cross-linking and filler dispersion. This heterogeneity introduces localized weak points and microstructural defects, making EPR more susceptible to partial discharge initiation even at lower voltages and early stages of aging. Additionally, the mechanical flexibility of EPR, while beneficial for installation, can lead to stress concentration zones under thermal aging, accelerating dielectric degradation compared to XLPE. Therefore, the higher and more dispersed PDI observed for EPR across aging levels and voltages is primarily due to its greater structural and compositional variability [4].
In the interest of observing how the intensity of the PDs (in pC) varies with the applied voltage, Figure 12 presents histograms combined with density curves that illustrate the distribution of magnitudes of partial discharges (PD) for different voltage levels in kV, with Figure 12a directed to XLPE-insulated cables and Figure 12b to EPR insulation.
For lower voltages (e.g., 5 kV and 7 kV), the graphs show distributions that are more concentrated at lower PD magnitude values, indicating that the insulation provides better support for these voltage conditions with lower intensity events. As the applied voltage increases (e.g., 13 kV, 17.4 kV), there is a noted shift in the distributions towards higher values of PD magnitude. This is expected, as higher voltages result in more intense electric fields, which can excite regions of the insulation where there is a failure. The density curves show variations in the uniformity of the distributions, so that for XLPE-insulated cables there is a greater concentration in specific intensity ranges, suggesting uniform deterioration characteristics. However, for cables with EPR, more dispersed distributions are observed, possibly reflecting heterogeneities in the material. Regarding the relationship between voltage and PDI, XLPE-insulated cables demonstrate that the discharge density at lower voltages is significantly lower, which indicates better performance under normal operating conditions.
As the voltage increases, the discharge density increases, which may reflect the approaching of critical points in the insulation. EPR cables, for intermediate voltages, Figure 12b, present greater density variability in different magnitude ranges, suggesting greater susceptibility to initial discharges. However, for higher voltages, the distribution shows a behavior more similar to that of XLPE. Through such aspects, we reach the conclusion that XLPE insulation, Figure 12a, presents greater stability when faced with increasing voltages, evidenced by the concentration of discharges across specific bands.
The aforementioned analyses show clear differences in the physical–chemical nature of the insulators evaluated herein. As the aging percentage increases, the intensity of partial discharges intensifies for each magnitude of applied voltage. This aspect is given greater clarification by Figure 13a with regard to XLPE insulation, and by Figure 13b with regard to EPR.
According to the results obtained for XLPE, Figure 13a, for a 20% ENV, one notes that the PDI is relatively low, remaining within moderate values up to voltages of approximately 10–12 kV. However, for voltages above 12 kV, there is an exponential growth in PDI, with greater variability in the data, which denotes the initial sensitivity of the material. As for 40% ENV, a similar behavior pattern to that of 20% ENV is evident, however, with slightly higher average PDI values for all applied voltages. Noted here is that the initial stability of the material is still present. However, the growth of the PDI for voltages above 12 kV is more pronounced. Regarding 60% ENV, the PDI increases significantly across the entire voltage range, with greater data dispersion. The region of dielectric instability begins to manifest itself with more intensity, especially at voltages above 10 kV. For 80% ENV, the increase in PDI becomes more linear with an increasing voltage. This aspect suggests an advanced degradation of the insulation, which corroborates the methodology used to accelerate aging, thus going against expectations, since from 15 kV, there are sharp peaks that show local failures in the material. Regarding 100% ENV, one notes that the cables present higher PDI values across all voltage levels, with exponential growth after 12 kV. This behavior indicates the progressive collapse of the dielectric integrity, evidenced by the high dispersion of the data.
Based on the results presented in Figure 13b, for a 20% ENV, one notes that the PDI is higher in EPR compared to XLPE at low voltage levels (<10 kV), suggesting a more sensitive initial response. However, there is some stability of the PDI for voltages between 10 and 12 kV, with progressive growth and less dispersion compared to XLPE. For 40% ENV, the increase in magnitude of PDI with increasing voltage is more linear, but the values are significantly higher compared to XLPE. It is worth noting that from 14 kV, the EPR shows a pronounced increase in PDI, indicating greater susceptibility to higher voltages. As for a 60% ENV, a more uniform behavior for the EPR can be evidenced; the curve reflects a gradual transition to dielectric failure regime. However, PDI remains at high levels, especially above 12 kV. In the case of 80% ENV, there is a significant increase in PDI for voltages above 14 kV, with less relative dispersion compared to XLPE. EPR behavior demonstrates greater predictability, although the PDI values are high. However, for 100% ENV, one notes that the PDI is higher for EPR compared to XLPE at all voltage levels, with linear growth up to approximately 12 kV and exponential after this range. Therefore, the conclusion is reached that the dielectric stability of EPR is more compromised, reflecting greater degradation at advanced levels of aging.
To corroborate the performed analyses, Table 4 presents the main findings obtained concerning Figure 13. Table 4 presents the stratified aging schedule for different degradation levels (20%, 40%, 60%, 80%, and 100%), calculated based on the aging acceleration factor (AAF) derived from Equation (4), itself a direct outcome of the Arrhenius relationship established prior. The assumption here is that aging can be uniformly accelerated by increasing the temperature, and that the degradation behavior observed at elevated temperatures can be extrapolated to normal service conditions, consistent with the approaches described by [15,16]. Therefore, Equation (1) and Table 4 together form the backbone of the thermal aging model applied in the study, enabling controlled laboratory simulation of cable insulation degradation for subsequent analysis of partial discharge progression.
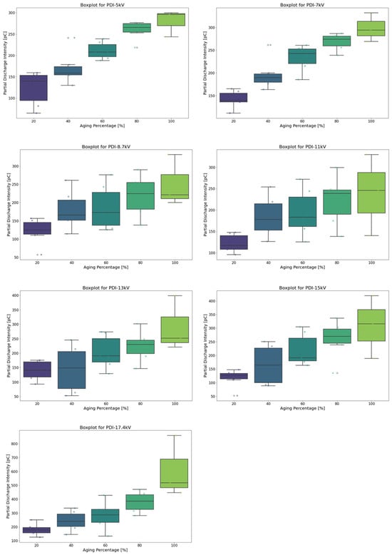
Using the boxplots illustrated in Figure 14, primary results are obtained to evaluate the behavior of XLPE insulation under different operating conditions, considering the impact of aging and voltage on partial discharges.
In general, for all voltages, there is a systematic increase in PDI as the percentage of aging increases. This behavior reflects the progressive degradation of the XLPE polymer matrix, which facilitates the formation and propagation of microdischarges in the pores and microcracks created by the aging process. At lower aging rates (20–40%), PDI is relatively low, and the dispersion of the data (interquartile range) is small. For high aging values (80–100%), the scatter increases significantly, indicating greater variability in the material response due to localized failure mechanisms or uneven degradation. Regarding voltage, 5–8.7 kV, PDI increases moderately as aging increases. The scatter at low voltage levels is smaller, indicating that XLPE maintains relatively stable performance at low voltages, even with aging. For voltages between 11–15 kV, PDI begins to increase sharply, especially at aging levels above 60%. At such levels, an increase in the interquartile range is observed, suggesting that the distribution of failures in the material becomes more heterogeneous as the voltage approaches the dielectric strength limit of XLPE. However, for U = 17.4 kV, the increase in PDI is substantial, and the data variability reaches its peak, with the presence of outliers at high levels of aging. This behavior indicates that, under high voltage, XLPE presents critical behavior, with high susceptibility to failures due to severe structural degradation.
The increase in PDI with aging is directly related to the formation of conductive microchannels and the weakening in the molecular structure of XLPE. The application of high voltages intensifies these effects, promoting the initiation and propagation of partial discharges in vulnerable regions. For applications at voltages above 15 kV and/or aging greater than 80%, XLPE performance becomes critical, suggesting the need for continuous monitoring or cable replacement.
That said, one notes that for voltages up to 8.7 kV, XLPE maintains good performance even at advanced levels of aging, being suitable for applications in low voltage systems. For intermediate voltages (11 kV to 15 kV), aging significantly impacts performance, requiring greater attention in operating environments where conditions are considered severe. At high voltages (17.4 kV), the cable reaches its dielectric limits, presenting high variability in PDI and a high risk of failure.
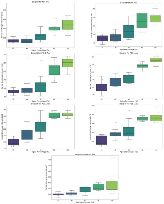
For EPR insulation, Figure 15 shows the boxplots obtained. In this Figure, the fundamental results are displayed, these are capable of providing greater clarification for the performance of EPR insulation under different operational conditions, which consider the impact of aging and voltage on partial discharges.
As with XLPE cable, a progressive increase in PDI is observed as aging increases (%ENV). This behavior is associated with the deterioration of the EPR matrix, which presents the formation of microcracks and possible areas of lower density, which favors partial discharges. The dispersion for low aging levels (20–40%) is smaller, indicating uniformity in EPR performance. However, at more advanced aging (80–100%), the dispersion increases significantly, especially under high voltage. Regarding applied voltages, at low voltages (5 kV to 8.7 kV), the PDI remains at relatively controlled levels, even with an increase in aging. Additionally, data dispersion is smaller, which is evidence of greater EPR stability at low voltages. As for intermediate voltages (11 kV to 15 kV), the growth of PDI becomes more evident, with greater dispersion towards higher aging levels. PDI is shown to be more dependent on aging, suggesting greater vulnerability of the insulation in medium voltage applications. For high voltages (17.4 kV), the growth in the PDI is accentuated, with a large variability in the values, along with the presence of outliers, thus indicating critical degradation zones in the EPR structure. The presence of outliers at higher voltages and high aging percentages suggests heterogeneity in material degradation. These points can be attributed to the formation of local defects, such as inclusions, cracks or areas of accumulated stress, which favor the onset of partial discharges. Furthermore, EPR performance is more uniform at low voltages, while at voltages above 13 kV, degradation accelerates, reflecting the critical behavior of the material under severe electrical stress.
Table 5 summarizes the main findings obtained from this case study.

6. Conclusions

The experimental analysis conducted in this study investigated the relationship between the percentage of accelerated aging (%ENV), the intensity of partial discharges (PDI), as well as the voltage applied to XLPE- and EPR-insulated cables. The results demonstrated that both materials exhibit nonlinear behavior in the evolution of PDI due to aging and voltage, with significant differences in their responses that can be attributed to the intrinsic structural and dielectric characteristics of each insulation.
Regarding the relationship between PDI and %ENV, a consistent growth in PDI was observed with the increase in %ENV for both materials. This behavior may be attributed to the progressive degradation of the dielectric properties of the insulation, which results in the formation of defects, such as microcracks and areas of lower density, which are conducive to the emergence of partial discharges. EPR insulation showed greater susceptibility to aging, especially at high voltage levels (>13 kV), reflected in higher average PDI values and greater data dispersion compared to XLPE.
In terms of the voltage magnitude, for voltages below 11 kV, both materials showed relatively stable behavior, with a lower PDI growth rate and controlled dispersion, indicating that the insulating properties remain functionally adequate for moderate aging levels. However, for U > 13 kV, a sharp increase in PDI was observed, thus demonstrating significant degradation of the insulation, mainly at aging levels above 60%. At high voltages (~17.4 kV), both XLPE and EPR reached their functional limits, with emphasis on EPR, which presented greater variability and occurrence of outliers, indicating greater structural vulnerability under critical operating conditions.
Overall, considering the experiment setup used herein, XLPE showed superior performance under high-voltage conditions, with lower PDI intensity and greater resistance to advanced aging. This makes it best suited for medium and high voltage applications, where electrical stress is significant. EPR, on the other hand, was shown to be more stable at low voltages (<11 kV), with uniform behavior even at moderate levels of aging. However, at high voltages, the material showed greater susceptibility to degradation, reflected in the sharp growth of the PDI and greater dispersion of the results, considering the experimental setup employed herein.
Heat maps and boxplots highlighted the correlation between %ENV and PDI, especially at high voltages. As aging and stress increase, PDI levels become more pronounced and variable, highlighting the complex interaction between these factors. Furthermore, the presence of outliers under critical conditions indicates the heterogeneity of degradation in the materials, mainly in the EPR, suggesting that localized areas of greater deterioration may compromise the dielectric integrity of the entire cable.
The results presented provide important contributions toward an adept understanding into the behavior of cable insulation when subject to accelerated aging, thus contributing to the development of diagnostic and predictive maintenance strategies in electrical systems.
Additionally, it is recommended that future studies explore the influence of other factors, such as humidity and chemical agents, as well as carry out tests to obtain the dissipation factor and accumulated partial discharges to reach a more comprehensive understanding of the degradation of insulated cables. These factors can complement the presented analyses and improve the service life prediction models for XLPE- and EPR-insulated cables under diverse operating conditions.

Author Contributions

Investigation, A.C.D., L.D., A.P.P., F.A.M.M., L.V., D.P.d.C., F.E.d.F.F. and P.N.S. All authors have read and agreed to the published version of the manuscript.

Funding

This research was funded by Petrobras, grant number 00553-0071/2021 within the scope of the Research and Development Program of the National Electric Energy Agency (ANEEL).

Data Availability Statement

The original contributions presented in the study are included in the article, further inquiries can be directed to the corresponding author.

Acknowledgments

The authors would like to thank the Research and Development Program, P&D ANEEL, along with Petrobras for the financial support and incentive for research and innovation, the Intelligent Electrical Networks Laboratory—LRI, and to the Federal University of Uberlândia for the support and infrastructure necessary for the development of the research. We would also like to thank the companies Induscabos and Prysmian, who provided test materials for this experiment. This study was partially funded by the Coordination for the Improvement of Higher Education Personnel (CAPES), Finance Code 88887.705534/2022-00. The financial support was essential for the development of this work.

Conflicts of Interest

Authors Fernando E. de F. Fadel and Patrícia N. Sakai were employed by the company Petrobras SA. The remaining authors declare that the research was conducted in the absence of any commercial or financial relationships that could be construed as a potential conflict of interest.

References

  1. Refaat, S.S.; Shams, M.A. A Review of Partial Discharge Detection Diagnosis Techniques in High Voltage Power Cables. In Proceedings of the 2018 IEEE 12th International Conference on Compatibility, Power Electronics and Power Engineering (CPE-POWERENG 2018), Doha, Qatar, 10–12 April 2018; IEEE: Piscataway, NJ, USA, 2018. [Google Scholar]
  2. Shahsavarian, T.; Pan, Y.; Zhang, Z.; Pan, C.; Naderiallaf, H.; Guo, J.; Li, C.; Cao, Y. A Review of Knowledge-Based Defect Identification via PRPD Patterns in High Voltage Apparatus. IEEE Access. 2021, 9, 76849–76871. [Google Scholar] [CrossRef]
  3. Hedir, A.; Ait Hocine, N.; Amara, S.; Belouettar, S.; Benyoucef, B.; Megatli, S. Effects of Electrical Aging on the Structural and Physicochemical Properties of Crosslinked Polyethylene (XLPE) Cable Insulation Material. Eng. Res. Express. 2022, 4, 015038. [Google Scholar] [CrossRef]
  4. Cao, L.; Grzybowski, S. Life-Time Characteristics of EPR Cable Insulation Under Electrical and Thermal Stresses. In Proceedings of the 2013 IEEE International Conference on Solid Dielectrics, Bologna, Italy, 30 June–4 July 2013; IEEE: Piscataway, NJ, USA, 2013. [Google Scholar]
  5. Lee, J.-I.; Jeong, W.-H.; Dinh, M.-C.; Yu, I.-K.; Park, M. Comparative Analysis of XLPE and Thermoplastic Insulation-Based HVDC Power Cables. Energies 2023, 16, 167. [Google Scholar] [CrossRef]
  6. Selvamany, P.; Varadarajan, G.S.; Chillu, N.; Sarathi, R. Investigation of XLPE Cable Insulation Using Electrical, Thermal and Mechanical Properties, and Aging Level Adopting Machine Learning Techniques. Polymers 2022, 14, 1614. [Google Scholar] [CrossRef] [PubMed]
  7. Nazrin, A.; Kuan, T.M.; Mansour, D.E.A.; Farade, R.A.; Ariffin, A.M.; Rahman, M.S.A.; Wahab, N.I.B.A. Innovative Approaches for Augmenting Dielectric Properties in Cross-Linked Polyethylene (XLPE): A Review. Heliyon 2024, 10, e34737. [Google Scholar] [CrossRef] [PubMed]
  8. Liang, B.; Lan, R.; Zang, Q.; Liu, Z.; Tian, L.; Wang, Z.; Li, G. Influence of Thermal Aging on Dielectric Properties of High Voltage Cable Insulation Layer. Coatings 2023, 13, 527. [Google Scholar] [CrossRef]
  9. Lu, B.; Li, S.; Cui, Y.; Zhao, X.; Zhang, D.; Kang, Y.; Dong, H. Insulation Degradation Mechanism and Diagnosis Methods of Offshore Wind Power Cables: An Overview. Energies 2023, 16, 322. [Google Scholar] [CrossRef]
  10. Qin, C.; Zhu, X.; Zhu, P.; Lin, W.; Liu, L.; Che, C.; Liang, H.; Hua, H. Partial Discharge Signal Pattern Recognition of Composite Insulation Defects in Cross-Linked Polyethylene Cables. Sensors 2024, 24, 3460. [Google Scholar] [CrossRef] [PubMed]
  11. Govindarajan, S.; Morales, A.; Ardila-Rey, J.A.; Purushothaman, N. A Review on Partial Discharge Diagnosis in Cables: Theory, Techniques, and Trends. Measurement 2023, 216, 112882. [Google Scholar] [CrossRef]
  12. Yahyaoui, H.; Castellon, J.; Agnel, S.; Hascoat, A.; Frelin, W.; Moreau, C.; Hondaa, P.; Roux, D.; Eriksson, V.; Andersson, C.J. Behavior of XLPE for HVDC Cables under Thermo-Electrical Stress: Experimental Study and Ageing Kinetics Proposal. Energies 2021, 14, 7344. [Google Scholar] [CrossRef]
  13. Zhang, Y.S.; Bai, Y.; Ma, Y.X. Comparison of Reliability of Conventional and Rapid Aging Methods for Insulating Materials. IEEE Trans. Electr. Insul. 1992, 27, 1159–1165. [Google Scholar] [CrossRef]
  14. Meng, X.; Han, P.; Liu, X.; Jin, T. The Aging Degree Analysis of EPR Cable Insulation Based on Hardness Retention Rate Measurement. J. Electr. Electron. Syst. 2018, 7, 1000260. [Google Scholar] [CrossRef]
  15. Wang, C.; Zhao, X.; Qiao, J.; Xiao, Y.; Zhang, J.; Li, Y.; Cao, H.; Yang, L.; Liao, R. Structural Changes and Very-Low-Frequency Nonlinear Dielectric Response of XLPE Cable Insulation under Thermal Aging. Materials 2023, 16, 4388. [Google Scholar] [CrossRef] [PubMed]
  16. Alghamdi, A.S.; Desuqi, R.K. A Study of Expected Lifetime of XLPE Insulation Cables Working at Elevated Temperatures by Applying Accelerated Thermal Ageing. Heliyon 2019, 5, e03120. [Google Scholar] [CrossRef] [PubMed]
  17. Zhou, C.; Yi, H.; Dong, X. Review of Recent Research Towards Power Cable Life Cycle Management. IET High Volt. 2017, 2, 179–187. [Google Scholar] [CrossRef]
  18. IEC 60216-2; Electrical Insulating Materials—Thermal Endurance Properties Part 2: Determination of Thermal Endurance Properties of Electrical Insulating Materials—Choice of Test Criteria. Available online: https://www.vde-verlag.de/iec-normen/preview-pdf/info_iec60216-2%7Bed4.0%7Db.pdf (accessed on 5 March 2024).
  19. Huang, P.; Yu, W.; Lu, C.; He, X.; Zhang, Y.; Liu, Y.; Zhou, J.; Liang, Y. Quantitative Evaluation of Thermal Ageing State of Cross-Linked Polyethylene Insulation Based on Polarization and Depolarization Current. Polymers 2023, 15, 1272. [Google Scholar] [CrossRef] [PubMed]
  20. Ji, Y.; Giangrande, P.; Zhao, W.; Madonna, V.; Zhang, X.; Zhang, H.; Galea, M. Partial Discharge Investigation under Humidity Conditions via Dissipation Factor and Insulation Capacitance Tip-Up Test. IEEE Trans. Dielectr. Electr. Insul. 2022, 29, 1483–1491. [Google Scholar] [CrossRef]
  21. Stone, G.C.; Cavallini, A.; Behrmann, G.; Serafino, C.A. Practical Partial Discharge Measurement on Electrical Equipment, 1st ed.; Wiley and IEEE Press: Hoboken, NJ, USA, 2023. [Google Scholar]
  22. Altin, B.; Çinar, M.A.; Alboyaci, B. Investigation of partial discharge monitoring techniques for maintenance man-agement in medium voltage power systems. J. Polytech.-Politek. Derg. 2022, 25, 1671–1679. [Google Scholar] [CrossRef]
  23. TECHIMP PD Pro—ALTANOVA Group. User Manual, Software Release 1.00.09.44; MN-04.07.154; TECHIMP PD Pro—ALTANOVA Group: Zona Industriale Via del Lavoro, Italy, 2019. [Google Scholar]
  24. IEEE Power Engineering Society; Insulated Conductors Committee; Institute of Electrical and Electronics Engineers; IEEE-SA Standards Board. 400.3-2006; IEEE Guide for Partial Discharge Testing of Shielded Power Cable Systems in a Field Environment. Institute of Electrical and Electronics Engineers: New York, NY, USA, 2007; ISBN 9780738152226.
  25. IEC 60840; Power Cables with Extruded Insulation and Their Accessories for Rated Voltages Above 30 kV (Um = 36 kV) up to 150~kV (Um = 170 kV)—Test Methods and Requirements. International Electrotechnical Commission: Geneva, Switzerland, 2020. Available online: https://www.vde-verlag.de/iec-normen/preview-pdf/info_iec60840%7Bed5.0%7Db.pdf (accessed on 5 March 2025).
  26. IEEE Power and Energy Society; Insulated Conductors Committee; Institute of Electrical and Electronics Engineers; IEEE-SA Standards Board. IEEE Std 400.2–2013; IEEE Guide for Field Testing of Shielded Power Cable Systems Using Very Low Frequency (VLF) (Less than 1 Hz). IEEE: New York, NY, USA, 2013.
  27. IEC 60270; High Voltage Test Techniques—Partial Discharge Measurements. International Electrotechnical Commission: Geneva, Switzerland, 2020. Available online: https://www.vde-verlag.de/iec-normen/preview-pdf/info_iec60270%7Bed3.0%7Db.pdf (accessed on 5 March 2025).
  28. Färber, R.; Šefl, O.; Franck, C.M. On the Influence of Humidity on the Breakdown Strength of Air—With a Case Study on the PDIV of Contacting Enameled Wire Pairs. J. Phys. D Appl. Phys. 2023, 57, 75202. [Google Scholar] [CrossRef]
Figure 1. Electrical resistance over time.
Figure 1. Electrical resistance over time.
Energies 18 02653 g001
Figure 2. Weight over time.
Figure 2. Weight over time.
Energies 18 02653 g002
Figure 3. Voltage modulus versus time.
Figure 3. Voltage modulus versus time.
Energies 18 02653 g003
Figure 4. Thermal resistance graph derived from the electrical resistance property, with an end point of 50%. Test temperatures 150, 130, 110 and 100 °C, according to IEC 60216.
Figure 4. Thermal resistance graph derived from the electrical resistance property, with an end point of 50%. Test temperatures 150, 130, 110 and 100 °C, according to IEC 60216.
Energies 18 02653 g004
Figure 5. Furnace construction topology: (a) 3D structural design; (b) support for fixing cables to be thermally aged.
Figure 5. Furnace construction topology: (a) 3D structural design; (b) support for fixing cables to be thermally aged.
Energies 18 02653 g005
Figure 6. Cable separator structure.
Figure 6. Cable separator structure.
Energies 18 02653 g006
Figure 7. Arrangement of conductors and internal details of the structure: (a) immersed cables for accelerated aging process; (b) cables already in the accelerated aging process.
Figure 7. Arrangement of conductors and internal details of the structure: (a) immersed cables for accelerated aging process; (b) cables already in the accelerated aging process.
Energies 18 02653 g007
Figure 8. Furnace control algorithm flowchart.
Figure 8. Furnace control algorithm flowchart.
Energies 18 02653 g008
Figure 9. Test procedure.
Figure 9. Test procedure.
Energies 18 02653 g009
Figure 10. Laboratory setup for partial discharge testing on insulated cables.
Figure 10. Laboratory setup for partial discharge testing on insulated cables.
Energies 18 02653 g010
Figure 11. Heatmap of correlation between %ENV, U [kV] and IDP: (a) XLPE cables; (b) EPR cables.
Figure 11. Heatmap of correlation between %ENV, U [kV] and IDP: (a) XLPE cables; (b) EPR cables.
Energies 18 02653 g011
Figure 12. Histogram of PD versus PDI density: (a) XLPE cables; (b) EPR cables.
Figure 12. Histogram of PD versus PDI density: (a) XLPE cables; (b) EPR cables.
Energies 18 02653 g012
Figure 13. Partial Discharge Intensity (pC) versus voltage [kV]: (a) XLPE cables; (b) EPR cables.
Figure 13. Partial Discharge Intensity (pC) versus voltage [kV]: (a) XLPE cables; (b) EPR cables.
Energies 18 02653 g013
Figure 14. Partial discharge intensity versus aging percentage in relation to applied voltage—XLPE.
Figure 14. Partial discharge intensity versus aging percentage in relation to applied voltage—XLPE.
Energies 18 02653 g014
Figure 15. Partial discharge intensity versus aging percentage in relation to applied voltage—EPR.
Figure 15. Partial discharge intensity versus aging percentage in relation to applied voltage—EPR.
Energies 18 02653 g015
Table 1. Equivalent aging time.
Table 1. Equivalent aging time.
Aging PercentageEquivalent Age [h]Aging Time
at 140 °C [h]
20%4000169.58
40%8000339.17
60%12,000508.76
80%16,000678.34
100%20,000847.93
Table 2. Thermal insulators and their properties.
Table 2. Thermal insulators and their properties.
MaterialDensity [Kg/m3]Thermal Conductivity [W/(m·K)] Operation [°C]
Cork1100.039−180–120
Glass wool 10–1000.056–0.065−70–450
Rock wool32–1600.030–0.041−250–750
PU foam30–80 0.023−50–80
Table 3. Test parameters for measuring the intensity of partial discharges.
Table 3. Test parameters for measuring the intensity of partial discharges.
Voltage Time Interval for PD Measurement
5 kV30 s
7 kV30 s
8.7 kV30 s
11 kV30 s
13 kV30 s
15 kV30 s
17.4 kV30 s
Table 4. Main conclusions regarding the responses obtained.
Table 4. Main conclusions regarding the responses obtained.
ParameterXLPEEPR
Initial Behavior
(%ENV ≤ 40%)
- Lower partial discharge intensities (PDI) at initial voltages (<10 kV).- Higher PDI even from low voltage levels.
Effect of Aging
(%ENV > 40%)
- Sharp increase in PDI as aging increases.- More uniform growth in PDI, although values are consistently higher.
Stability with Elevated Voltages (>14 kV)- Significant variability in PDI, with peaks in advanced aging (%ENV ≥ 80%).- More linear growth, but higher PDI values in all cases.
Maximum PDI Peak- Absolute maximum around 559.52 (Heatmap), observed at %ENV = 100 and voltage of 17.4 kV.- Absolute maximum of 608.09 (heatmap), also for %ENV = 100 and voltage of 17.4 kV.
Uniformity of Response- More stable initial performance, but greater dispersion at advanced levels of aging.- More predictable response throughout the life cycle, despite high PD intensities.
Sensitivity to Aging- Lower intensity of PD in the initial stages, but more evident degradation with increased %ENV.- Greater intensity from the beginning, with progressive and more consistent degradation.
Table 5. Findings regarding the responses obtained through analysis of Figure 14 and Figure 15.
Table 5. Findings regarding the responses obtained through analysis of Figure 14 and Figure 15.
Evaluated AspectXLPEEPR
General Stability- Maintains relative stability for voltages up to 11 kV and average aging levels (40–60%).- More uniform at low voltages but presents greater dispersion at high aging levels (80–100%).
PDI Growth- PD increases sharply above 13 kV and 60% aging.- Gradual growth of PDI is noted from 11 kV, with critical behavior above 15 kV.
Dispersion (Variability)- Greater dispersion at high voltages and high aging, with more pronounced outliers above 15 kV.- Dispersion similar to XLPE, but slightly larger at extreme aging, indicating heterogeneity.
Dielectric Strength- Critical performance at voltages above 15 kV, with greater variability in results.- The functional limit of EPR is also reached at 17.4 kV, but the material presents a higher PDI at low voltages.
Presence of Outliers- Outliers at high voltage and aging, indicating localized vulnerabilities.- More frequent presence of outliers, suggesting heterogeneity in the structural degradation of EPR.
Disclaimer/Publisher’s Note: The statements, opinions and data contained in all publications are solely those of the individual author(s) and contributor(s) and not of MDPI and/or the editor(s). MDPI and/or the editor(s) disclaim responsibility for any injury to people or property resulting from any ideas, methods, instructions or products referred to in the content.

Share and Cite

MDPI and ACS Style

Domingos, A.C.; Duarte, L.; Pinheiro, A.P.; Moura, F.A.M.; Vasconcelos, L.; de Carvalho, D.P.; Fadel, F.E.d.F.; Sakai, P.N. Comparative Analysis of Insulation Aging in Cross-Linked Polyethylene and Ethylene–Propylene Rubber Cables Through the Progression Rate of Partial Discharge. Energies 2025, 18, 2653. https://doi.org/10.3390/en18102653

AMA Style

Domingos AC, Duarte L, Pinheiro AP, Moura FAM, Vasconcelos L, de Carvalho DP, Fadel FEdF, Sakai PN. Comparative Analysis of Insulation Aging in Cross-Linked Polyethylene and Ethylene–Propylene Rubber Cables Through the Progression Rate of Partial Discharge. Energies. 2025; 18(10):2653. https://doi.org/10.3390/en18102653

Chicago/Turabian Style

Domingos, Andréia C., Leandro Duarte, Alan P. Pinheiro, Fabrício A. M. Moura, Lorenço Vasconcelos, Daniel P. de Carvalho, Fernando E. de F. Fadel, and Patrícia N. Sakai. 2025. "Comparative Analysis of Insulation Aging in Cross-Linked Polyethylene and Ethylene–Propylene Rubber Cables Through the Progression Rate of Partial Discharge" Energies 18, no. 10: 2653. https://doi.org/10.3390/en18102653

APA Style

Domingos, A. C., Duarte, L., Pinheiro, A. P., Moura, F. A. M., Vasconcelos, L., de Carvalho, D. P., Fadel, F. E. d. F., & Sakai, P. N. (2025). Comparative Analysis of Insulation Aging in Cross-Linked Polyethylene and Ethylene–Propylene Rubber Cables Through the Progression Rate of Partial Discharge. Energies, 18(10), 2653. https://doi.org/10.3390/en18102653

Note that from the first issue of 2016, this journal uses article numbers instead of page numbers. See further details here.

Article Metrics

Back to TopTop