Self-Supporting np-AlFeNiO Bifunctional Electrode Material for Electrochemical Water Splitting Prepared by Electrooxidation
Abstract
1. Introduction
2. Materials and Methods
2.1. Material Preparation
2.2. Characterization
2.3. Electrochemical Measurements
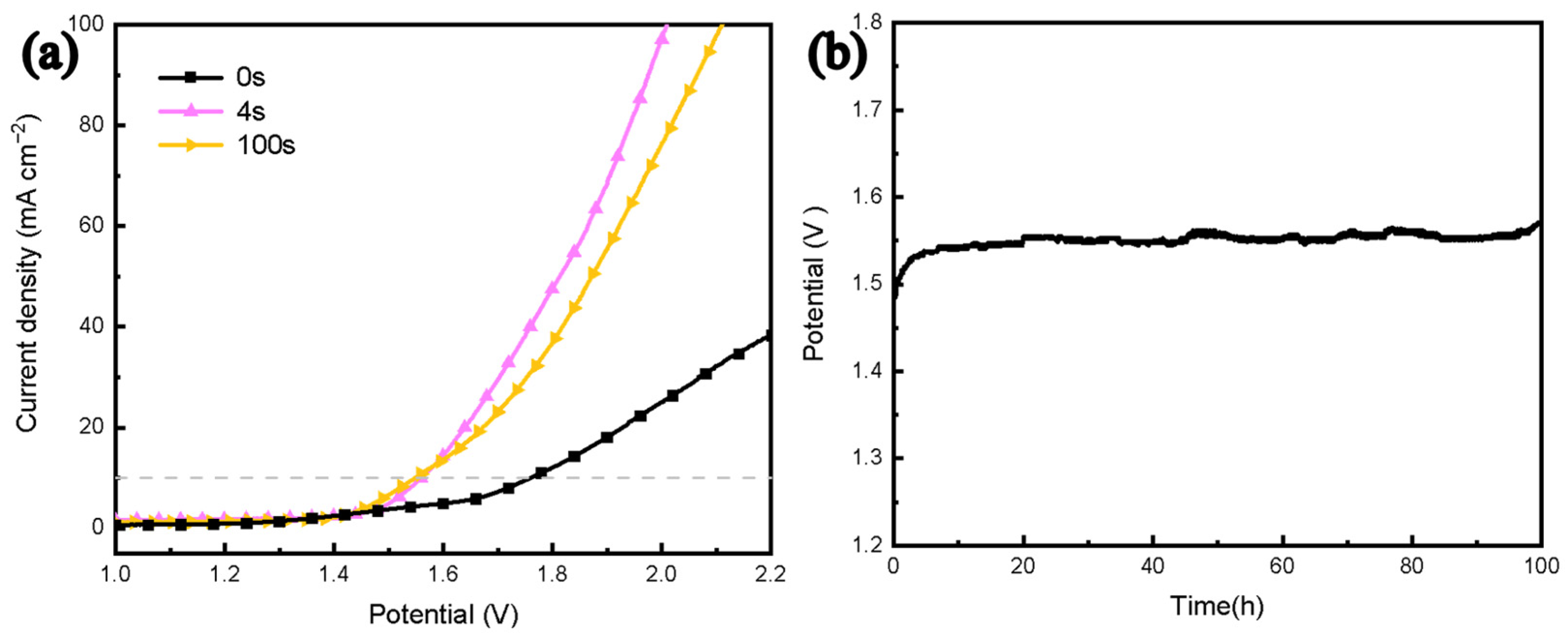
3. Results and Discussion
4. Conclusions
Supplementary Materials
Author Contributions
Funding
Data Availability Statement
Conflicts of Interest
References
- Xia, X.Y.; Wang, L.J.; Sui, N.; Colvin, V.L.; Yu, W.W. Recent progress in transition metal selenide electrocatalysts for water splitting. Nanoscale 2020, 12, 12249–12262. [Google Scholar] [CrossRef] [PubMed]
- Anantharaj, S.; Noda, S. Amorphous Catalysts and Electrochemical Water Splitting: An Untold Story of Harmony. Small 2020, 16, 1905779. [Google Scholar] [CrossRef] [PubMed]
- Wang, W.; Xu, X.M.; Zhou, W.; Shao, Z.P. Recent Progress in Metal-Organic Frameworks for Applications in Electrocatalytic and Photocatalytic Water Splitting. Adv. Sci. 2017, 4, 1600371. [Google Scholar] [CrossRef] [PubMed]
- Jiang, R.; Cui, Z.D.; Xu, W.; Zhu, S.L.; Liang, Y.Q.; Li, Z.Y.; Wu, S.L.; Chang, C.T.; Inoue, A. Highly efficient amorphous np-PdFePC catalyst for hydrogen evolution reaction. Electrochim. Acta 2019, 328, 135082. [Google Scholar] [CrossRef]
- Gao, R.; Zhu, J.; Yan, D.P. Transition metal-based layered double hydroxides for photo(electro)chemical water splitting: A mini review. Nanoscale 2021, 13, 13593–13603. [Google Scholar] [CrossRef] [PubMed]
- Sanati, S.; Morsali, A.; Garcia, H. First-row transition metal-based materials derived from bimetallic metal-organic frameworks as highly efficient electrocatalysts for electrochemical water splitting. Energy Environ. Sci. 2022, 15, 3119–3151. [Google Scholar] [CrossRef]
- Wang, J.J.; Yue, X.Y.; Yang, Y.Y.; Sirisomboonchai, S.; Wang, P.F.; Ma, X.L.; Abudula, A.; Guan, G.Q. Earth-abundant transition-metal-based bifunctional catalysts for overall electrochemical water splitting: A review. J. Alloys Compd. 2020, 819, 153346. [Google Scholar] [CrossRef]
- Al-Naggar, A.H.; Shinde, N.M.; Kim, J.S.; Mane, R.S. Water splitting performance of metal and non-metal-doped transition metal oxide electrocatalysts. Coord. Chem. Rev. 2023, 474, 214864. [Google Scholar] [CrossRef]
- Yang, F.; Xiong, T.Z.; Huang, P.; Zhou, S.H.; Tan, Q.R.; Yang, H.; Huang, Y.C.; Balogun, M.S. Nanostructured transition metal compounds coated 3D porous core-shell carbon fiber as monolith water splitting electrocatalysts: A general strategy. Chem. Eng. J. 2021, 423, 11. [Google Scholar] [CrossRef]
- Vij, V.; Sultan, S.; Harzandi, A.M.; Meena, A.; Tiwari, J.N.; Lee, W.G.; Yoon, T.; Kim, K.S. Nickel-Based Electrocatalysts for Energy-Related Applications: Oxygen Reduction, Oxygen Evolution, and Hydrogen Evolution Reactions. ACS Catal. 2017, 7, 7196–7225. [Google Scholar] [CrossRef]
- Oshchepkov, A.G.; Bonnefont, A.; Saveleva, V.A.; Papaefthimiou, V.; Zafeiratos, S.; Pronkin, S.N.; Parmon, V.N.; Savinova, E.R. Exploring the Influence of the Nickel Oxide Species on the Kinetics of Hydrogen Electrode Reactions in Alkaline Media. Top. Catal. 2016, 59, 1319–1331. [Google Scholar] [CrossRef]
- Danilovic, N.; Subbaraman, R.; Strmcnik, D.; Chang, K.C.; Paulikas, A.P.; Stamenkovic, V.R.; Markovic, N.M. Enhancing the Alkaline Hydrogen Evolution Reaction Activity through the Bifunctionality of Ni(OH)2/Metal Catalysts. Angew. Chem.—Int. Ed. 2012, 51, 12495–12498. [Google Scholar] [CrossRef] [PubMed]
- Gong, M.; Zhou, W.; Tsai, M.C.; Zhou, J.; Guan, M.; Lin, M.C.; Zhang, B.; Hu, Y.; Wang, D.Y.; Yang, J.; et al. Nanoscale nickel oxide/nickel heterostructures for active hydrogen evolution electrocatalysis. Nat. Commun. 2014, 5, 4695. [Google Scholar] [CrossRef] [PubMed]
- Peng, L.X.; Liang, Y.Q.; Wu, S.L.; Li, Z.Y.; Sun, H.J.; Jiang, H.; Zhu, S.L.; Cui, Z.D.; Li, L. Nanoporous Ni/NiO catalyst for efficient hydrogen evolution reaction prepared by partial electro-oxidation after dealloying. J. Alloys Compd. 2022, 911, 165061. [Google Scholar] [CrossRef]
- Alsabban, M.M.; Eswaran, M.K.; Peramaiah, K.; Wahyudi, W.; Yang, X.L.; Ramalingam, V.; Hedhili, M.N.; Miao, X.H.; Schwingenschlögl, U.; Li, L.J.; et al. Unusual Activity of Rationally Designed Cobalt Phosphide/Oxide Heterostructure Composite for Hydrogen Production in Alkaline Medium. ACS Nano 2022, 16, 3906–3916. [Google Scholar] [CrossRef] [PubMed]
- Ullah, N.; Zhao, W.T.; Lu, X.Q.; Oluigbo, C.J.; Shah, S.A.; Zhang, M.M.; Xie, J.M.; Xu, Y.G. In situ growth of M-MO (M = Ni, Co) in 3D graphene as a competent bifunctional electrocatalyst for OER and HER. Electrochim. Acta 2019, 298, 163–171. [Google Scholar] [CrossRef]
- Liu, J.X.; Fan, X.Y.; Ning, G.Y.; Zheng, M.; Shi, K.; Sun, Y.; Gao, Y.J.; Zhang, Y.F.; Wang, H. The high-efficiency electrochemical catalysis of nitrogen-doped carbon nanotubes materials modified with Cu-Fe oxide alloy nanoparticles for HER and ORR. Int. J. Hydrogen Energy 2022, 47, 34090–34101. [Google Scholar] [CrossRef]
- NavakoteswaraRao, V.; Shankar, M.V.; Yang, B.; Ahn, C.W.; Yang, J. Effective excitons separation in starfish Bi2S3/TiO2 nanostructures for enhanced hydrogen production. Mater. Today Chem. 2022, 26, 101096. [Google Scholar] [CrossRef]
- Zhao, X.J.; Pachfule, P.; Li, S.; Simke, J.R.J.; Schmidt, J.; Thomas, A. Bifunctional Electrocatalysts for Overall Water Splitting from an Iron/Nickel-Based Bimetallic Metal-Organic Framework/Dicyandiamide Composite. Angew. Chem.—Int. Ed. 2018, 57, 8921–8926. [Google Scholar] [CrossRef]
- Su, M.Y.; Zhu, S.L.; Cui, Z.D.; Li, Z.Y.; Wu, S.L.; Guo, M.Q.; Jiang, H.; Liang, Y.Q. A self-supported FeNi layered double hydroxide anode with high activity and long-term stability for efficient oxygen evolution reaction. Sustain. Energy Fuels 2021, 5, 3205–3212. [Google Scholar] [CrossRef]
- Zhang, G.; Feng, Y.S.; Lu, W.T.; He, D.; Wang, C.Y.; Li, Y.K.; Wang, X.Y.; Cao, F.F. Enhanced Catalysis of Electrochemical Overall Water Splitting in Alkaline Media by Fe Doping in Ni3S2 Nanosheet Arrays. ACS Catal. 2018, 8, 5431–5441. [Google Scholar] [CrossRef]
- Suryanto, B.H.R.; Wang, Y.; Hocking, R.K.; Adamson, W.; Zhao, C. Overall electrochemical splitting of water at the heterogeneous interface of nickel and iron oxide. Nat. Commun. 2019, 10, 5599. [Google Scholar] [CrossRef] [PubMed]
- Zhang, Q.; Bedford, N.M.; Pan, J.; Lu, X.; Amal, R. A Fully Reversible Water Electrolyzer Cell Made Up from FeCoNi (Oxy)hydroxide Atomic Layers. Adv. Energy Mater. 2019, 9, 1901312. [Google Scholar] [CrossRef]
- Marakatti, V.S.; Peter, S.C. Synthetically tuned electronic and geometrical properties of intermetallic compounds as effective heterogeneous catalysts. Prog. Solid State Chem. 2018, 52, 1–30. [Google Scholar] [CrossRef]
- Zhou, Y.Y.; Liu, H.P.; Zhu, S.L.; Liang, Y.Q.; Wu, S.L.; Li, Z.Y.; Cui, Z.D.; Chang, C.T.; Yang, X.J.; Inoue, A. Highly Efficient and Self-Standing Nanoporous NiO/Al3Ni2 Electrocatalyst for Hydrogen Evolution Reaction. ACS Appl. Energy Mater. 2019, 2, 7913–7922. [Google Scholar] [CrossRef]
- Yu, M.Q.; Budiyanto, E.; Tuysuz, H. Principles of Water Electrolysis and Recent Progress in Cobalt-, Nickel-, and Iron-Based Oxides for the Oxygen Evolution Reaction. Angew. Chem.—Int. Ed. 2022, 61, e202103824. [Google Scholar] [CrossRef]
- Xue, B.W.; Zhang, C.H.; Wang, Y.Z.; Xie, W.W.; Li, N.W.; Yu, L. Recent progress of Ni-Fe layered double hydroxide and beyond towards electrochemical water splitting. Nanoscale Adv. 2020, 2, 5555–5566. [Google Scholar] [CrossRef]
- McCrory, C.C.L.; Jung, S.; Ferrer, I.M.; Chatman, S.M.; Peters, J.C.; Jaramillo, T.F. Benchmarking Hydrogen Evolving Reaction and Oxygen Evolving Reaction Electrocatalysts for Solar Water Splitting Devices. J. Am. Chem. Soc. 2015, 137, 4347–4357. [Google Scholar] [CrossRef]
- Kibsgaard, J.; Tsai, C.; Chan, K.; Benck, J.D.; Norskov, J.K.; Abild-Pedersen, F.; Jaramillo, T.F. Designing an improved transition metal phosphide catalyst for hydrogen evolution using experimental and theoretical trends. Energy Environ. Sci. 2015, 8, 3022–3029. [Google Scholar] [CrossRef]
- Sun, Q.Q.; Dong, Y.J.; Wang, Z.L.; Yin, S.W.; Zhao, C. Synergistic Nanotubular Copper-Doped Nickel Catalysts for Hydrogen Evolution Reactions. Small 2018, 14, 1704137. [Google Scholar] [CrossRef]
- Cui, X.D.; Zhang, B.L.; Zeng, C.Y.; Wen, H.; Guo, S.M. Monolithic nanoporous Ni-Fe alloy by dealloying laser processed Ni-Fe-Al as electrocatalyst toward oxygen evolution reaction. Int. J. Hydrogen Energy 2018, 43, 15234–15244. [Google Scholar] [CrossRef]
- Dong, C.; Kou, T.; Gao, H.; Peng, Z.; Zhang, Z. Eutectic-Derived Mesoporous Ni-Fe-O Nanowire Network Catalyzing Oxygen Evolution and Overall Water Splitting. Adv. Energy Mater. 2018, 8, 1701347. [Google Scholar] [CrossRef]
- Feng, S.J.; Yang, W.; Wang, Z.B. Synthesis of porous NiFe2O4 microparticles and its catalytic properties for methane combustion. Mater. Sci. Eng. B-Adv. Funct. Solid-State Mater. 2011, 176, 1509–1512. [Google Scholar] [CrossRef]
- Zhao, L.; Zhang, Y.; Zhao, Z.L.; Zhang, Q.H.; Huang, L.B.; Gu, L.; Lu, G.; Hu, J.S.; Wan, L.J. Steering elementary steps towards efficient alkaline hydrogen evolution via size-dependent Ni/NiO nanoscale heterosurfaces. Natl. Sci. Rev. 2020, 7, 27–36. [Google Scholar] [CrossRef] [PubMed]
- Zhang, B.; Zhu, C.; Wu, Z.S.; Stavitski, E.; Lui, Y.H.; Kim, T.H.; Liu, H.; Huang, L.; Luan, X.C.; Zhou, L.; et al. Integrating Rh Species with NiFe-Layered Double Hydroxide for Overall Water Splitting. Nano Lett. 2020, 20, 136–144. [Google Scholar] [CrossRef] [PubMed]
- Kumar, A.; Rao, V.N.; Kumar, A.; Mushtaq, A.; Sharma, L.; Halder, A.; Pal, S.K.; Shankar, M.V.; Krishnan, V. Three-Dimensional Carbonaceous Aerogels Embedded with Rh-SrTiO3 for Enhanced Hydrogen Evolution Triggered by Efficient Charge Transfer and Light Absorption. ACS Appl. Energy Mater. 2020, 3, 12134–12147. [Google Scholar] [CrossRef]
- Duan, J.J.; Chen, S.; Zhao, C. Ultrathin metal-organic framework array for efficient electrocatalytic water splitting. Nat. Commun. 2017, 8, 15341. [Google Scholar] [CrossRef] [PubMed]
- Niu, S.; Jiang, W.J.; Tang, T.; Zhang, Y.; Li, J.H.; Hu, J.S. Facile and Scalable Synthesis of Robust Ni(OH)2 Nanoplate Arrays on NiAl Foil as Hierarchical Active Scaffold for Highly Efficient Overall Water Splitting. Adv. Sci. 2017, 4, 1700084. [Google Scholar] [CrossRef] [PubMed]
- Pehlivan, I.B.; Arvizu, M.A.; Qiu, Z.; Niklasson, G.A.; Edvinsson, T. Impedance Spectroscopy Modeling of Nickel-Molybdenum Alloys on Porous and Flat Substrates for Applications in Water Splitting. J. Phys. Chem. C 2019, 123, 23890–23897. [Google Scholar] [CrossRef]
- Liu, Y.K.; Jiang, S.; Li, S.J.; Zhou, L.; Li, Z.H.; Li, J.M.; Shao, M.F. Interface engineering of (Ni, Fe)S2@MoS2 heterostructures for synergetic electrochemical water splitting. Appl. Catal. B-Environ. 2019, 247, 107–114. [Google Scholar] [CrossRef]
- Zhang, B.; Zhang, X.M.; Wei, Y.; Xia, L.; Pi, C.R.; Song, H.; Zheng, Y.; Gao, B.; Fu, J.J.; Chu, P.K. General synthesis of NiCo alloy nanochain arrays with thin oxide coating: A highly efficient bifunctional electrocatalyst for overall water splitting. J. Alloys Compd. 2019, 797, 1216–1223. [Google Scholar] [CrossRef]
- Zhang, X.; Xue, Y.Q.; Yin, X.Z.; Shen, L.; Zhu, K.; Huang, X.M.; Cao, D.X.; Yao, J.X.; Wang, G.L.; Yan, Q. Defect-rich MnxOy complex Fe-Ni sulfide heterogeneous electrocatalyst for a highly efficient hydrogen evolution reaction. J. Power Sources 2022, 540, 231664. [Google Scholar] [CrossRef]
- Velayutham, R.; Raj, C.J.; Jang, H.M.; Cho, W.J.; Palanisamy, K.; Kaya, C.; Kim, B.C. Surface-oriented heterostructure of iron metal organic framework confined molybdenum disulfides as an efficient bifunctional electrocatalyst for overall water splitting. Mater. Today Nano 2023, 24, 100387. [Google Scholar] [CrossRef]
- Xu, H.; Zhang, D.; Liu, M.; Ye, D.; Huo, S.; Chen, W.; Zhang, J. Self-supporting hierarchical Co3O4-nanowires@NiO-nanosheets core-shell nanostructure on carbon foam to form efficient bifunctional electrocatalyst for overall water splitting. J. Colloid Interface Sci. 2023, 654, 1293–1302. [Google Scholar] [CrossRef] [PubMed]
- Liu, X.Y.; Lu, H.L.; Zhu, S.L.; Cui, Z.D.; Li, Z.Y.; Wu, S.L.; Xu, W.C.; Liang, Y.Q.; Long, G.K.; Jiang, H. Alloying-Triggered Phase Engineering of NiFe System via Laser-Assisted Al Incorporation for Full Water Splitting. Angew. Chem.—Int. Ed. 2023, 62, e202300800. [Google Scholar] [CrossRef]
- He, Y.J.; Shen, J.; Li, Q.; Zheng, X.Z.; Wang, Z.X.; Cui, L.; Xu, J.T.; Liu, J.Q. In-situ growth of VS4 nanorods on Ni-Fe sulfides nanoplate array towards achieving a highly efficient and bifunctional electrocatalyst for total water splitting. Chem. Eng. J. 2023, 474, 145461. [Google Scholar] [CrossRef]
- Lim, D.; Kim, S.; Kim, N.; Oh, E.; Shim, S.E.; Baeck, S.H. Strongly Coupled Ni/Ni(OH)2 Hybrid Nanocomposites as Highly Active Bifunctional Electrocatalysts for Overall Water Splitting. ACS Sustain. Chem. Eng. 2020, 8, 4431–4439. [Google Scholar] [CrossRef]
- Huang, C.L.; Chuah, X.F.; Hsieh, C.T.; Lu, S.Y. NiFe Alloy Nanotube Arrays as Highly Efficient Bifunctional Electrocatalysts for Overall Water Splitting at High Current Densities. ACS Appl. Mater. Interfaces 2019, 11, 24096–24106. [Google Scholar] [CrossRef] [PubMed]
- Karuppasamy, L.; Gurusamy, L.; Ananan, S.; Barton, S.C.; Liu, C.H.; Wu, J.J. Metal-organic frameworks derived interfacing Fe2O3/ZnCo2O4 multimetal oxides as a bifunctional electrocatalyst for overall water splitting. Electrochim. Acta 2023, 449, 142242. [Google Scholar] [CrossRef]
- Chauhan, P.; Siraj, S.; Joseph, K.S.; Dabhi, S.; Bhadu, G.R.; Sahatiya, P.; Sumesh, C.K. Synergistically Driven CoCr-LDH@VNiS2 as a Bifunctional Electrocatalyst for Overall Water Splitting and Flexible Supercapacitors. ACS Appl. Mater. Interfaces 2023, 15, 32515–32524. [Google Scholar] [CrossRef] [PubMed]











Disclaimer/Publisher’s Note: The statements, opinions and data contained in all publications are solely those of the individual author(s) and contributor(s) and not of MDPI and/or the editor(s). MDPI and/or the editor(s) disclaim responsibility for any injury to people or property resulting from any ideas, methods, instructions or products referred to in the content. |
© 2024 by the authors. Licensee MDPI, Basel, Switzerland. This article is an open access article distributed under the terms and conditions of the Creative Commons Attribution (CC BY) license (https://creativecommons.org/licenses/by/4.0/).
Share and Cite
Ma, Z.; Xu, W.; Gao, Z.; Liang, Y.; Jiang, H.; Li, Z.; Cui, Z.; Zhang, H.; Zhu, S. Self-Supporting np-AlFeNiO Bifunctional Electrode Material for Electrochemical Water Splitting Prepared by Electrooxidation. Energies 2024, 17, 1591. https://doi.org/10.3390/en17071591
Ma Z, Xu W, Gao Z, Liang Y, Jiang H, Li Z, Cui Z, Zhang H, Zhu S. Self-Supporting np-AlFeNiO Bifunctional Electrode Material for Electrochemical Water Splitting Prepared by Electrooxidation. Energies. 2024; 17(7):1591. https://doi.org/10.3390/en17071591
Chicago/Turabian StyleMa, Zhihui, Wence Xu, Zhonghui Gao, Yanqin Liang, Hui Jiang, Zhaoyang Li, Zhenduo Cui, Huifang Zhang, and Shengli Zhu. 2024. "Self-Supporting np-AlFeNiO Bifunctional Electrode Material for Electrochemical Water Splitting Prepared by Electrooxidation" Energies 17, no. 7: 1591. https://doi.org/10.3390/en17071591
APA StyleMa, Z., Xu, W., Gao, Z., Liang, Y., Jiang, H., Li, Z., Cui, Z., Zhang, H., & Zhu, S. (2024). Self-Supporting np-AlFeNiO Bifunctional Electrode Material for Electrochemical Water Splitting Prepared by Electrooxidation. Energies, 17(7), 1591. https://doi.org/10.3390/en17071591

