Anodized TiO2 Nanotubes Sensitized with Selenium Doped CdS Nanoparticles for Solar Water Splitting
Abstract
1. Introduction
2. Materials and Methods
2.1. TiO2 Nanotubes Anodization
2.2. Cadmium Chalcogenides Nanoparticles Formation and Deposition by SILAR
2.3. Photoelectrochemical Cell
2.4. Characterizations
3. Results and Discussion
3.1. Nanotubes Formation
3.2. Morphology
3.3. Structural Characteristics
3.4. Optical Properties
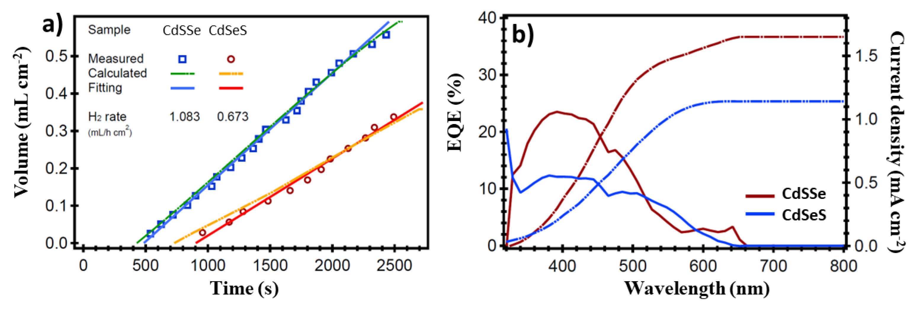
3.5. Electrochemical Measurement
4. Conclusions
Author Contributions
Funding
Data Availability Statement
Acknowledgments
Conflicts of Interest
References
- United Nations. Sustainable Development Goals. Available online: https://www.un.org/sustainabledevelopment/ (accessed on 1 February 2024).
- Sathish, S.; Aravind Kumar, J.; Prabu, D.; Annam Renita, A.; Murugesan, K.; Rajasimman, M.; Joo, S.-W.; Vasseghian, Y.; Wang, C. Latest Avenues on Solar Light-Driven Photocatalytic Hydrogen Generation Using Surface Modified Nanomaterials towards Sustainable Environment and Circular Bioeconomy. Fuel 2023, 340, 127398. [Google Scholar] [CrossRef]
- Sangiorgi, N.; Tuci, G.; Sanson, A.; Peruzzini, M.; Giambastiani, G. Metal-Free Carbon-Based Materials for Electrocatalytic and Photo-Electrocatalytic CO2 Reduction. Rend. Lincei. Sci. Fis. Nat. 2019, 30, 497–513. [Google Scholar] [CrossRef]
- Chu, S.; Li, W.; Yan, Y.; Hamann, T.; Shih, I.; Wang, D.; Mi, Z. Roadmap on Solar Water Splitting: Current Status and Future Prospects. Nano Futures 2017, 1, 022001. [Google Scholar] [CrossRef]
- Arifin, K.; Yunus, R.M.; Minggu, L.J.; Kassim, M.B. Improvement of TiO2 Nanotubes for Photoelectrochemical Water Splitting: Review. Int. J. Hydrogen Energy 2021, 46, 4998–5024. [Google Scholar] [CrossRef]
- Ismael, M. A Review and Recent Advances in Solar-to-Hydrogen Energy Conversion Based on Photocatalytic Water Splitting over Doped-TiO2 Nanoparticles. Sol. Energy 2020, 211, 522–546. [Google Scholar] [CrossRef]
- Mátravölgyi, B.; Hergert, T.; Thurner, A.; Varga, B.; Sangiorgi, N.; Bendoni, R.; Zani, L.; Reginato, G.; Calamante, M.; Sinicropi, A.; et al. Synthesis and Investigation of Solar-Cell Photosensitizers Having a Fluorazone Backbone. Eur. J. Org. Chem. 2017, 2017, 1843–1854. [Google Scholar] [CrossRef]
- Ge, M.; Cao, C.; Huang, J.; Li, S.; Chen, Z.; Zhang, K.-Q.; Al-Deyab, S.S.; Lai, Y. A Review of One-Dimensional TiO2 Nanostructured Materials for Environmental and Energy Applications. J. Mater. Chem. A 2016, 4, 6772–6801. [Google Scholar] [CrossRef]
- Domínguez-Jaimes, L.P.; Cedillo-González, E.I.; Luévano-Hipólito, E.; Acuña-Bedoya, J.D.; Hernández-López, J.M. Degradation of Primary Nanoplastics by Photocatalysis Using Different Anodized TiO2 Structures. J. Hazard. Mater. 2021, 413, 125452. [Google Scholar] [CrossRef] [PubMed]
- Dubey, P.K.; Kumar, R.; Tiwari, R.S.; Srivastava, O.N.; Pandey, A.C.; Singh, P. Surface Modification of Aligned TiO2 Nanotubes by Cu2O Nanoparticles and Their Enhanced Photo Electrochemical Properties and Hydrogen Generation Application. Int. J. Hydrogen Energy 2018, 43, 6867–6878. [Google Scholar] [CrossRef]
- Indira, K.; Mudali, U.K.; Nishimura, T.; Rajendran, N. A Review on TiO2 Nanotubes: Influence of Anodization Parameters, Formation Mechanism, Properties, Corrosion Behavior, and Biomedical Applications. J. Bio-Tribo-Corros. 2015, 1, 28. [Google Scholar] [CrossRef]
- Sun, Y.; Yan, K.P. Effect of Anodization Voltage on Performance of TiO2 Nanotube Arrays for Hydrogen Generation in a Two-Compartment Photoelectrochemical Cell. Int. J. Hydrogen Energy 2014, 39, 11368–11375. [Google Scholar] [CrossRef]
- Qin, L.; Chen, Q.; Lan, R.; Jiang, R.; Quan, X.; Xu, B.; Zhang, F.; Jia, Y. Effect of Anodization Parameters on Morphology and Photocatalysis Properties of TiO2 Nanotube Arrays. J. Mater. Sci. Technol. 2015, 31, 1059–1064. [Google Scholar] [CrossRef]
- Ghani, T.; Mujahid, M.; Mehmood, M.; Ubaidullah, M.; Shah, A.; Mahmood, A. Effect of Processing Temperature on the Morphology and Crystal Structure of Anodic TiO2 Nanotubes. J. Electron. Mater. 2020, 49, 1881–1888. [Google Scholar] [CrossRef]
- Nischk, M.; Mazierski, P.; Gazda, M.; Zaleska, A. Ordered TiO2 Nanotubes: The Effect of Preparation Parameters on the Photocatalytic Activity in Air Purification Process. Appl. Catal. B Environ. 2014, 144, 674–685. [Google Scholar] [CrossRef]
- Jiang, L.; Zhang, J.; Chen, B.; Zhang, S.; Zhang, Z.; Wan, W.; Song, Y. Morphological Comparison and Growth Mechanism of TiO2 Nanotubes in HBF4 and NH4F Electrolytes. Electrochem. Commun. 2022, 135, 107200. [Google Scholar] [CrossRef]
- David, T.M.; Dev, P.R.; Wilson, P.; Sagayaraj, P.; Mathews, T. A Critical Review on the Variations in Anodization Parameters toward Microstructural Formation of TiO2 Nanotubes. Electrochem. Sci. Adv. 2022, 2, e202100083. [Google Scholar] [CrossRef]
- Roy, P.; Berger, S.; Schmuki, P. TiO2 Nanotubes: Synthesis and Applications. Angew. Chem. Int. Ed. 2011, 50, 2904–2939. [Google Scholar] [CrossRef]
- Zhou, X.; Liu, N.; Schmuki, P. Photocatalysis with TiO2 Nanotubes: “Colorful” Reactivity and Designing Site-Specific Photocatalytic Centers into TiO2 Nanotubes. ACS Catal. 2017, 7, 3210–3235. [Google Scholar] [CrossRef]
- Jin-Nouchi, Y.; Hattori, T.; Sumida, Y.; Fujishima, M.; Tada, H. PbS Quantum Dot-Sensitized Photoelectrochemical Cell for Hydrogen Production from Water under Illumination of Simulated Sunlight. ChemPhysChem 2010, 11, 3592–3595. [Google Scholar] [CrossRef]
- Liao, W.; Wang, B.; Liu, Z. Photoelectrochemical Hydrogen Production at Peak Efficiency over 10% via PbSe QDs/TiO2 Nanotube Array Photoanodes. Int. J. Hydrogen Energy 2017, 42, 10962–10970. [Google Scholar] [CrossRef]
- Yu, J.; Gong, C.; Wu, Z.; Wu, Y.; Xiao, W.; Su, Y.; Sun, L.; Lin, C. Efficient Visible Light-Induced Photoelectrocatalytic Hydrogen Production Using CdS Sensitized TiO2 Nanorods on TiO2 Nanotube Arrays. J. Mater. Chem. A 2015, 3, 22218–22226. [Google Scholar] [CrossRef]
- Cerdán-Pasarán, A.; López-Luke, T.; Zarazúa, I.; De la Rosa, E.; Fuentes-Ramírez, R.; Sanal, K.C.; Alatorre-Ordaz, A. Co-Sensitized TiO2 Electrodes with Different Quantum Dots for Enhanced Hydrogen Evolution in Photoelectrochemical Cells. J. Appl. Electrochem. 2019, 49, 475–484. [Google Scholar] [CrossRef]
- Carrera-Crespo, J.E.; Ramos-Sánchez, G.; De la Luz, V.; González, F.; Barrera, E.; González, I. Photoelectrochemical Hydrogen Generation on TiO2 Nanotube Arrays Sensitized with CdS@Sb2S3 Core Shell Particles. Int. J. Hydrogen Energy 2017, 42, 30249–30256. [Google Scholar] [CrossRef]
- Gao, X.-F.; Sun, W.-T.; Ai, G.; Peng, L.-M. Photoelectric Performance of TiO2 Nanotube Array Photoelectrodes Cosensitized with CdS/CdSe Quantum Dots. Appl. Phys. Lett. 2010, 96, 153104. [Google Scholar] [CrossRef]
- Ai, G.; Mo, R.; Xu, H.; Chen, Q.; Yang, S.; Li, H.; Zhong, J. Vertically Aligned TiO2/(CdS, CdTe, CdSTe) Core/Shell Nanowire Array for Photoelectrochemical Hydrogen Generation. J. Power Sources 2015, 280, 5–11. [Google Scholar] [CrossRef]
- Li, Z.; Yu, L.; Liu, Y.; Sun, S. CdSxSe1−x Alloyed Quantum Dots-Sensitized Solar Cells Based on Different Architectures of Anodic Oxidation TiO2 Film. J. Nanoparticle Res. 2014, 16, 2779. [Google Scholar] [CrossRef]
- Ai, G.; Mo, R.; Xu, H.; Chen, Q.; Yang, S.; Li, H.; Zhong, J. Composition-Optimized TiO2/CdSxSe1−x Core/Shell Nanowire Arrays for Photoelectrochemical Hydrogen Generation. J. Appl. Phys. 2014, 116, 174306. [Google Scholar] [CrossRef]
- Sung, T.K.; Kang, J.H.; Jang, D.M.; Myung, Y.; Jung, G.B.; Kim, H.S.; Jung, C.S.; Cho, Y.J.; Park, J.; Lee, C.L. CdSSe Layer-Sensitized TiO2 Nanowire Arrays as Efficient Photoelectrodes. J. Mater. Chem. 2011, 21, 4553–4561. [Google Scholar] [CrossRef]
- Tyagi, J.; Gupta, H.; Purohit, L.P. Ternary Alloyed CdS1−xSex Quantum Dots on TiO2/ZnS Electrodes for Quantum Dots-Sensitized Solar Cells. J. Alloys Compd. 2021, 880, 160480. [Google Scholar] [CrossRef]
- Becker, M.A.; Radich, J.G.; Bunker, B.A.; Kamat, P.V. How Does a SILAR CdSe Film Grow? Tuning the Deposition Steps to Suppress Interfacial Charge Recombination in Solar Cells. J. Phys. Chem. Lett. 2014, 5, 1575–1582. [Google Scholar] [CrossRef]
- Liu, T.; Diao, P.; Lin, Z.; Wang, H. Sulfur and Selenium Doped Nickel Chalcogenides as Efficient and Stable Electrocatalysts for Hydrogen Evolution Reaction: The Importance of the Dopant Atoms in and beneath the Surface. Nano Energy 2020, 74, 104787. [Google Scholar] [CrossRef]
- Yang, D.; Xu, S.; Chen, Q.; Wang, W. A Simple Organic Synthesis for CdS and Se-Doped CdS Nanocrystals. Colloids Surf. A Physicochem. Eng. Asp. 2007, 299, 153–159. [Google Scholar] [CrossRef]
- Shi, J.-W.; Sun, D.; Zou, Y.; Ma, D.; He, C.; Ji, X.; Niu, C. Trap-Level-Tunable Se Doped CdS Quantum Dots with Excellent Hydrogen Evolution Performance without Co-Catalyst. Chem. Eng. J. 2019, 364, 11–19. [Google Scholar] [CrossRef]
- Poornaprakash, B.; Chalapathi, U.; Kumar, M.; Subramanyam, K.; Vattikuti, S.V.P.; Pratap Reddy, M.S.; Park, S. Enhanced Photocatalytic Activity and Hydrogen Evolution of CdS Nanoparticles through Er Doping. Ceram. Int. 2020, 46, 21728–21735. [Google Scholar] [CrossRef]
- Liu, M.; Du, Y.; Ma, L.; Jing, D.; Guo, L. Manganese Doped Cadmium Sulfide Nanocrystal for Hydrogen Production from Water under Visible Light. Int. J. Hydrogen Energy 2012, 37, 730–736. [Google Scholar] [CrossRef]
- Su, J.; Zhang, T.; Li, Y.; Chen, Y.; Liu, M. Photocatalytic Activities of Copper Doped Cadmium Sulfide Microspheres Prepared by a Facile Ultrasonic Spray-Pyrolysis Method. Molecules 2016, 21, 735. [Google Scholar] [CrossRef] [PubMed]
- Wang, H.; Chen, W.; Zhang, J.; Huang, C.; Mao, L. Nickel Nanoparticles Modified CdS–A Potential Photocatalyst for Hydrogen Production through Water Splitting under Visible Light Irradiation. Int. J. Hydrogen Energy 2015, 40, 340–345. [Google Scholar] [CrossRef]
- Li, W.; Wang, F.; Liu, X.; Dang, Y.; Li, J.; Ma, T.; Wang, C. Promoting Body Carriers Migration of CdS Nanocatalyst by N-Doping for Improved Hydrogen Production under Simulated Sunlight Irradiation. Appl. Catal. B Environ. 2022, 313, 121470. [Google Scholar] [CrossRef]
- Sasikala, R.; Gaikwad, A.P.; Sudarsan, V.; Gupta, N.; Bharadwaj, S.R. Cubic Phase Indium Doped Cadmium Sulfide Dispersed on Zinc Oxide: Enhanced Photocatalytic Activity for Hydrogen Generation from Water. Appl. Catal. A Gen. 2013, 464–465, 149–155. [Google Scholar] [CrossRef]
- Zhang, K.; Jing, D.; Chen, Q.; Guo, L. Influence of Sr-Doping on the Photocatalytic Activities of CdS–ZnS Solid Solution Photocatalysts. Int. J. Hydrogen Energy 2010, 35, 2048–2057. [Google Scholar] [CrossRef]
- Cerdán-Pasarán, A.; Esparza, D.; Zarazúa, I.; Reséndiz, M.; López-Luke, T.; De la Rosa, E.; Fuentes-Ramírez, R.; Alatorre-Ordaz, A.; Martínez-Benítez, A. Photovoltaic Study of Quantum Dot-Sensitized TiO2/CdS/ZnS Solar Cell with P3HT or P3OT Added. J. Appl. Electrochem. 2016, 46, 975–985. [Google Scholar] [CrossRef]
- Desai, N.D.; Ghanwat, V.B.; Khot, K.V.; Mali, S.S.; Hong, C.K.; Bhosale, P.N. Effect of Substrate on the Nanostructured Bi2Se3 Thin Films for Solar Cell Applications. J. Mater. Sci. Mater. Electron. 2016, 27, 2385–2393. [Google Scholar] [CrossRef]
- Hernández-López, J.M.; Conde, A.; de Damborenea, J.J.; Arenas, M.A. TiO2 Nanotubes with Tunable Morphologies. RSC Adv. 2014, 4, 62576–62585. [Google Scholar] [CrossRef]
- Liu, G.; Wang, K.; Hoivik, N.; Jakobsen, H. Progress on Free-Standing and Flow-through TiO2 Nanotube Membranes. Sol. Energy Mater. Sol. Cells 2012, 98, 24–38. [Google Scholar] [CrossRef]
- Acevedo-Peña, P.; Lartundo-Rojas, L.; González, I. Effect of Water and Fluoride Content on Morphology and Barrier Layer Properties of TiO2 Nanotubes Grown in Ethylene Glycol-Based Electrolytes. J. Solid State Electrochem. 2013, 17, 2939–2947. [Google Scholar] [CrossRef]
- Omidvar, H.; Goodarzi, S.; Seif, A.; Azadmehr, A.R. Influence of Anodization Parameters on the Morphology of TiO2 Nanotube Arrays. Superlattices Microstruct. 2011, 50, 26–39. [Google Scholar] [CrossRef]
- Chen, Z.; Peng, W.; Zhang, K.; Zhang, J.; Yanagida, M.; Han, L. Surface Ion Transfer Growth of Ternary CdS1−XSex Quantum Dots and Their Electron Transport Modulation. Nanoscale 2012, 4, 7690–7697. [Google Scholar] [CrossRef]
- Kim, J.-Y.; Sekino, T.; Park, D.J.; Tanaka, S.-I. Morphology Modification of TiO2 Nanotubes by Controlling the Starting Material Crystallite Size for Chemical Synthesis. J. Nanoparticle Res. 2011, 13, 2319–2327. [Google Scholar] [CrossRef]
- Shaddad, M.N.; Cardenas-Morcoso, D.; García-Tecedor, M.; Fabregat-Santiago, F.; Bisquert, J.; Al-Mayouf, A.M.; Gimenez, S. TiO2 Nanotubes for Solar Water Splitting: Vacuum Annealing and Zr Doping Enhance Water Oxidation Kinetics. ACS Omega 2019, 4, 16095–16102. [Google Scholar] [CrossRef]
- Wiatrowski, A.; Mazur, M.; Obstarczyk, A.; Wojcieszak, D.; Kaczmarek, D.; Morgiel, J.; Gibson, D. Comparison of the Physicochemical Properties of TiO2 Thin Films Obtained by Magnetron Sputtering with Continuous and Pulsed Gas Flow. Coatings 2018, 8, 412. [Google Scholar] [CrossRef]
- Bharti, B.; Kumar, S.; Lee, H.-N.; Kumar, R. Formation of Oxygen Vacancies and Ti3+ State in TiO2 Thin Film and Enhanced Optical Properties by Air Plasma Treatment. Sci. Rep. 2016, 6, 32355. [Google Scholar] [CrossRef] [PubMed]
- Yue, D.; Qian, X.; Zhang, Z.; Kan, M.; Ren, M.; Zhao, Y. CdTe/CdS Core/Shell Quantum Dots Cocatalyzed by Sulfur Tolerant [Mo3S13]2− Nanoclusters for Efficient Visible-Light-Driven Hydrogen Evolution. ACS Sustain. Chem. Eng. 2016, 4, 6653–6658. [Google Scholar] [CrossRef]
- Li, W.; Li, M.; Xie, S.; Zhai, T.; Yu, M.; Liang, C.; Ouyang, X.; Lu, X.; Li, H.; Tong, Y. Improving the Photoelectrochemical and Photocatalytic Performance of CdO Nanorods with CdS Decoration. CrystEngComm 2013, 15, 4212–4216. [Google Scholar] [CrossRef]
- Li, G.; Sun, Y.; Hong, X.; Lu, W.; Chen, W.; Deng, Y.; Sun, Z.; Sun, W. Enhanced Photocatalytic Hydrogen Production on Tin Disulfide Self-Assembled from Ultrathin Sheets with Sulfur Vacancies Generated by Doping Indium Ions. J. Mater. Sci. 2021, 56, 10847–10858. [Google Scholar] [CrossRef]
- Han, J.; Liu, Y.; Wang, Y.; Zhao, R.; Wang, L. Construction of Ternary CdxMo1−xSe Quantum Dots for Enhanced Photocatalytic Hydrogen Production. J. Mater. Sci. 2020, 55, 1117–1125. [Google Scholar] [CrossRef]
- Gualdrón-Reyes, A.F.; Meléndez, A.M.; Mejía-Escobar, M.A.; Jaramillo, F.; Niño-Gómez, M.E. The Role of Boron in the Carrier Transport Improvement of CdSe-Sensitized B,N,F-TiO2 Nanotube Solar Cells: A Synergistic Strategy. N. J. Chem. 2018, 42, 14481–14492. [Google Scholar] [CrossRef]
- Zaiats, G.; Yanover, D.; Vaxenburg, R.; Shapiro, A.; Safran, A.; Hesseg, I.; Sashchiuk, A.; Lifshitz, E. PbSe/CdSe Thin-Shell Colloidal Quantum Dots. Z. Phys. Chem. 2015, 229, 3–21. [Google Scholar] [CrossRef]
- Cerdán-Pasarán, A.; López-Luke, T.; Esparza, D.; Zarazúa, I.; De la Rosa, E.; Fuentes-Ramírez, R.; Alatorre-Ordaz, A.; Sánchez-Solís, A.; Torres-Castro, A.; Zhang, J.Z. Photovoltaic Properties of Multilayered Quantum Dot/Quantum Rod-Sensitized TiO2 Solar Cells Fabricated by SILAR and Electrophoresis. Phys. Chem. Chem. Phys. 2015, 17, 18590–18599. [Google Scholar] [CrossRef]
- Liu, G.; Ling, Z.; Wang, Y.; Zhao, H. Near-Infrared CdSexTe1−X@CdS “Giant” Quantum Dots for Efficient Photoelectrochemical Hydrogen Generation. Int. J. Hydrogen Energy 2018, 43, 22064–22074. [Google Scholar] [CrossRef]
- Farah Khaleda, M.Z.; Vengadaesvaran, B.; Rahim, N.A. Spectral Response and Quantum Efficiency Evaluation of Solar Cells: A Review. In Energy Materials; Elsevier: Hoboken, NJ, USA, 2021; pp. 525–566. ISBN 9780128237106. [Google Scholar]
- Chi, C.; Liau, S.; Lee, Y. The Heat Annealing Effect on the Performance of CdS/CdSe-Sensitized TiO2 Photoelectrodes in Photochemical Hydrogen Generation. Nanotechnology 2010, 21, 025202. [Google Scholar] [CrossRef]
- Lee, Y.; Chi, C.; Liau, S. CdS/CdSe Co-Sensitized TiO2 Photoelectrode for Efficient Hydrogen Generation in a Photoelectrochemical Cell. Chem. Mater. 2010, 22, 922–927. [Google Scholar] [CrossRef]









| Sample | Ti | O | Cd | S | Se |
|---|---|---|---|---|---|
| TiO2/CdS | 21.91 | 59.93 | 6.25 | 11.91 | - |
| TiO2/CdSe | 27.34 | 65.30 | 0.79 | 6.55 | 0.02 |
| TiO2/CdSeS | 25.34 | 63.05 | 3.75 | 7.45 | 0.40 |
| TiO2/CdSSe | 27.75 | 52.42 | 8.01 | 10.42 | 1.40 |
| Photoanode | Deposition Method | Reference Electrode | Cathode | Electrolyte | Voltage Bias | Jsc (mA cm−2) | H2 Rate (µmol cm−2 h−1) | References |
|---|---|---|---|---|---|---|---|---|
| TiO2 (NW)/CdS/CdS0.2Se0.8 (nanocables)/CdSe | Thermal vapor transport | Ag/AgCl | Pt | 1 M Na2S | 0 V | 6.8 | 600 | [29] |
| FTO/TiO2/CdS0.52Se0.48 (NW) core/shell | Vapor deposition | Ag/AgCl | Pt | 0.24 M Na2S + 0.35 M Na2SO3 | 0 V | 8.8 | - | [28] |
| ITO/TiO2 (mesoporous)/CdS/CdSe | Chemical bath deposition (CBD) | Ag/AgCl | Pt | 0.24 M Na2S + 0.35 M Na2SO3 | 0 V | 15.3 | 201 | [62] |
| ITO/TiO2 (mesoporous)/CdS/CdSe/ZnS QDs | CBD | - | Pt | 0.24 M Na2S + 0.35 M Na2SO3 | −0.85 V | 14.9 | 226 (5.4 mL cm−2 h) | [63] |
| FTO/TiO2/CdS/CdSe/ZnS | SILAR | - | Pt | 0.24 M Na2S + 0.35 M Na2SO3 | 0 V | 4.3 | 8.33 | [23] |
| TiO2 (NTs)/CdSSe | SILAR | Ag/AgCl | Pt | 0.25 M Na2S + 0.35 M Na2SO3 | 0 V | 1.65 | 1.08 (mL cm−2 h) | This work |
Disclaimer/Publisher’s Note: The statements, opinions and data contained in all publications are solely those of the individual author(s) and contributor(s) and not of MDPI and/or the editor(s). MDPI and/or the editor(s) disclaim responsibility for any injury to people or property resulting from any ideas, methods, instructions or products referred to in the content. |
© 2024 by the authors. Licensee MDPI, Basel, Switzerland. This article is an open access article distributed under the terms and conditions of the Creative Commons Attribution (CC BY) license (https://creativecommons.org/licenses/by/4.0/).
Share and Cite
Alfaro Chacón, J.; Cerdán-Pasarán, A.; Zarazúa, I.; Ramos-Galicia, L.; Hernández-Magallanes, J.A.; Sanal, K.C.; Lugo Loredo, S.; Hernández-López, J.M. Anodized TiO2 Nanotubes Sensitized with Selenium Doped CdS Nanoparticles for Solar Water Splitting. Energies 2024, 17, 1592. https://doi.org/10.3390/en17071592
Alfaro Chacón J, Cerdán-Pasarán A, Zarazúa I, Ramos-Galicia L, Hernández-Magallanes JA, Sanal KC, Lugo Loredo S, Hernández-López JM. Anodized TiO2 Nanotubes Sensitized with Selenium Doped CdS Nanoparticles for Solar Water Splitting. Energies. 2024; 17(7):1592. https://doi.org/10.3390/en17071592
Chicago/Turabian StyleAlfaro Chacón, Julián, Andrea Cerdán-Pasarán, Isaac Zarazúa, Lourdes Ramos-Galicia, J. A. Hernández-Magallanes, K. C. Sanal, Shadai Lugo Loredo, and Juan Manuel Hernández-López. 2024. "Anodized TiO2 Nanotubes Sensitized with Selenium Doped CdS Nanoparticles for Solar Water Splitting" Energies 17, no. 7: 1592. https://doi.org/10.3390/en17071592
APA StyleAlfaro Chacón, J., Cerdán-Pasarán, A., Zarazúa, I., Ramos-Galicia, L., Hernández-Magallanes, J. A., Sanal, K. C., Lugo Loredo, S., & Hernández-López, J. M. (2024). Anodized TiO2 Nanotubes Sensitized with Selenium Doped CdS Nanoparticles for Solar Water Splitting. Energies, 17(7), 1592. https://doi.org/10.3390/en17071592

