Multi-Power System Electrical Source Fault Review
Abstract
1. Introduction
- Faults produce unknown changes in a system, making it difficult to track mode transitions in the presence of faults;
- It may be difficult to distinguish between a fault and a mode transition in the presence of faults.
2. Lead–Acid Battery Faults
- Open lead batteries with a sulfuric acid electrolyte diluted with distilled water: They have the particularity of being reliable accumulators whose technology is well-known since the 19th century and is mastered. They have the disadvantage of being strongly influenced by the ambient temperature, which strongly reduces their capacity. Moreover, they require regular maintenance (refilling with distilled water), as their electrolyte evaporates over time.
- Closed lead batteries with a gelled electrolyte: They have the advantage of being maintenance-free and easy to handle (no leakage) with stability perfectly controlled by the manufacturer. They have the disadvantages of being more expensive and having a shorter lifespan.
2.1. Corrosion
- The growth of a layer between the alloy and the AM in deep discharge circumstances. Because of ’s weak electrical conductivity, recharging the active mass is difficult if not impossible in some situations.
- The oxidation of lead into at high anodic potential: This type of corrosion causes the irreversible oxidation of metal by generating enormous pits, which can cause the grids to break mechanically. This phenomenon happens during overcharging, particularly during high-current charging, which is sometimes known as boost charging.
2.2. Non-Cohesion of Active Material
2.3. Sulfating of the Electrode
- Loss of capacity;
- Loss of voltage;
- Increase in internal resistance;
- Decrease in sulfuric acid concentration.
2.4. Temperature’s Influence on LABs
- is the total potential of the battery (, are the potentials of the positive and negative electrodes, respectively). This potential depends on the electrolyte used because it determines the number of electrons that are released when the metal is dissolved. So its variation means that an electrolyte fault has appeared.
- is the battery’s internal resistance and is the sum of the connector resistances , and the resistance of the electrolyte . Fluctuation of this resistance demonstrates the presence of the stratification or the mechanical degradation of the electrodes.
- , is the double-layer capacitance on each electrode. This capacitance is due to a distribution of the charge between the electrode and the electrolyte.
- , is the resistance of charge transfer representing the charge transfer phenomenon. Corrosion of the grid occurs as a result of this fluctuation over the battery’s life cycle; more precisely, if , with .
- , corresponds to the diffusion phenomenon. This is obtained by the concentration degree of the electrolyte close to the electrode. Its deviation from the maximum value () expresses that the LAB is sulfated.
- Lithium metal: dangerous and explosive;
- Lithium ion: stable, with the highest energy density on the market;
- Lithium polymer: promising dry technology.
3. Photovoltaic System Faults
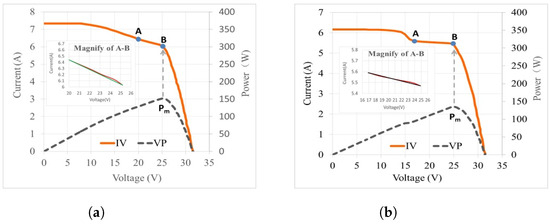
3.1. PV Shading Fault
- By reducing the energy input to the cell;
- By increasing energy losses in the shaded cells [81].
- A reduction in the maximum power point;
- The open circuit voltage decreases for a very low transmission coefficient;
- An inflection point;
- Reduction in the short circuit current .

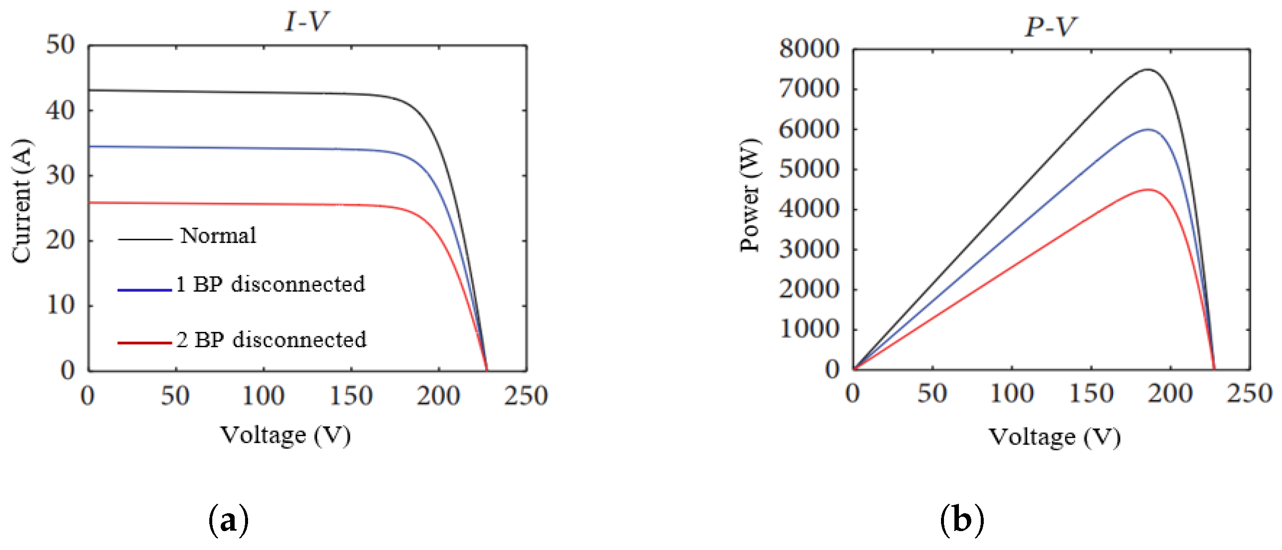
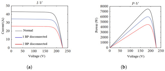
3.2. Bypass Diode Faults
- Reduction in the maximum power point;
- The short circuit current does not change;
- The open circuit voltage is reduced according to the number of shorted diodes.
- The open circuit voltage is unchanged;
- The short circuit current decrease sharply with the number of shaded cells;
- Slope deviates from the normal curve.
3.3. Hotspot Problem
3.4. EVA Discoloration
4. Defaults in Electrical Machines
- Electrical faults on the rotor, including an opening or short circuit on the coils for wound rotor machines or a shorting bar and/or ring or cracks for squirrel cage machines;
- A phase opening or a short circuit manifests electrical faults on the stator within the same phase, between two phases, or between a phase and the stator frame;
- Mechanical faults on the stator core or rotor, such as bearing, eccentricity and alignment faults.
4.1. Mechanical Faults
- Bearing faults: The two basic types of faults in bearings are single-point/localized faults and generalized roughness/distributed faults. The former commonly manifests itself as pits, spalls or fractures on a raceway or rolling component, while the second one includes waviness, off-size rolling elements, surface roughness and misaligned races [134,135]. Contamination, material fatigue, severe environments, corrosion, and other factors cause this type of fault; however, insufficient lubrication and incorrect fabrication with respect to the material’s size are the primary reasons for bearing faults [136,137,138]. Ball bearings are the most-prevalent type of bearing used in industry, including the machines that we use. Single-point faults are common in this type of bearing. Bearing-related problems do not cause instant failure; instead, they develop over time until the equipment fails catastrophically. These failures, however, result in both costly repairs and downtime [137].There are three types of single-point faults in ball bearings: (1) a fault in the outer race (ORF), (2) a fault in the inner race (IRF), or (3) a ball bearing fault (BBF) [136,137], as shown in Figure 9. Because of such faults, the geometric precision of the rolling contact surfaces begin to worsen and the bearing performance gradually deteriorates, resulting in increased deflection, friction, temperature, and vibration. All the mentioned problems cause a harmonic in the motor output torque. This also affects the damping coefficient, which changes both the armature current and speed and lastly the bearing vibration pattern itself, the fault frequency of which is exactly proportionate to the motor speed [127,136,139]. Bearing problems might introduce additional components into the current of the stator [140]. According to [141], an equation can be used to predict some of these components. This equation is based on the idea that the machine vibration’s typical fault frequencies are reflected in the stator current. Based on the fact that the rotor is supported by rolling-element bearings, a bearing problem causes fluctuations in the machine’s air gap length. The current in the stator fluctuates as a result of these differences.Furthermore, unlike other motor faults, which may be properly diagnosed by electric signals (stator inter-turn, broken rotor bar, etc.), the peculiarity of a bearing fault rests in its multi-physics character. The aberrant electric signal is initiated by the main mechanical vibration caused by the bearing fault [127]. Much research [142,143,144,145,146] has been carried out to understand the mechanisms of bearing vibration and noise production. Due to varied compliance or the existence of faults in bearings, they operate as a source of vibration and noise.
- Eccentricity fault: In theory, the combination of a stator and a rotor is perfectly concentric. However, during the assembly process of the rotor and then the operation, eccentricities can appear at the air gap [127,147,148]. An air gap eccentricity of up to 10% is permitted in practice [149]. Around 80% of mechanical faults lead to eccentricity, while the direct occurrence of such a problem is also possible [150,151]. Circuit inductance fluctuates with the presence of air gap eccentricity, resulting in asymmetrical air gap flux distribution. The stator and rotor are subjected to electromagnetic forces as a result of this imbalance. This electromagnetic force is determined by the eccentric rotor motion in terms of angular velocity and the movement of the rotor axis away from the stator axis. Winding arrangements, loading and slotting all have significant influence [127]. Eccentricity faults are divided into three types [137,149,150,151,152,153,154,155,156] as shown in Figure 10:
- Static eccentricity faults are generally caused by a misalignment of the rotor’s axis of rotation with respect to the stator axis: in other words, the center of the rotor is fixed but is not coincident with the center of the stator. The most-frequent cause is a centering fault of the flange.
- Dynamic eccentricity can be caused by bent shafts, mechanical resonances at critical speeds and bearing wear. It is considered dynamic when the rotor center does not coincide with the axis of rotation.
- Mixed eccentricity is a combination of static and dynamic eccentricity. Both the rotor and rotation axes are displaced from the stator axis in this state, resulting in a more-difficult geometry condition.

4.2. Electrical Faults
5. From Low-Level Fault to High-Level Effect
6. Conclusions
Author Contributions
Funding
Data Availability Statement
Acknowledgments
Conflicts of Interest
Abbreviations
| AGM | Absorbed Glass Mat |
| VRLA | Valve-Regulated Lead–Acid battery |
| AM | Active Material |
| c-Si | Crystalline Silicon |
| EMS | Energy Management System |
| EVA | Ethylene Vinyl Acetate |
| FDI | Fault Detection and Isolation |
| FF | Fill Factor |
| FTC | Fault-Tolerant Control |
| ECU | Electronic Control Unit |
| IGBT | Insulated Gate Bipolar Transistor |
| Isc | Shorted Circuit Current |
| LAB | Lead–Acid Battery |
| LiFePO4 | Lithium Iron Phosphate |
| MOSFET | Metal-Oxide Field-Effect Transistor |
| MMF | MagnetoMotive Force |
| MPP | Maximum Power Point |
| MPS | Multi-Source Power System |
| MPPT | Maximum Power Point Tracking |
| MSO | Minimal Structural Over-Determined |
| NiCd | Nickel Cadmium |
| NiMH | Nickel Metal Hydride |
| PV | PhotoVoltaic |
| RES | Renewable Energy Sources |
| SG | Synchronous Generator |
| Voc | Open Circuit Voltage |
References
- Croci, L. Gestion de l’énergie dans un Système Multi-Sources Photovoltaïque et éolien avec Stockage Hybride Batteries/Supercondensateurs. Ph.D. Thesis, Université de Poitiers, Poitiers, France, 2013. [Google Scholar]
- Tabanjat, A. Modelling, Control and Supervision of Multi-Source System Connected to the Network with a Buffer Storage of Electrical Energy via Hydrogen Vector. Ph.D. Thesis, Université de Technologie de Belfort-Montbeliard, Belfort-Montbeliard, France, 2015. [Google Scholar]
- Collard, F. Les énergies renouvelables. Courr. Hebd. Cris. 2015, 2252–2253, 5–72. [Google Scholar] [CrossRef]
- Mazzeo, D.; Matera, N.; De Luca, P.; Baglivo, C.; Congedo, P.M.; Oliveti, G. A literature review and statistical analysis of photovoltaic-wind hybrid renewable system research by considering the most relevant 550 articles: An upgradable matrix literature database. J. Clean. Prod. 2021, 295, 126070. [Google Scholar] [CrossRef]
- Manwell, J. Hybrid energy systems. Encycl. Energy 2004, 3, 215–229. [Google Scholar]
- Bi, B.E.B.; Koua, K.B.; Gbaha, P.; Koffi, E.P.M. Étude d’un système hybride de production d’énergie. Afr. Sci. 2020, 16, 203–217. [Google Scholar]
- Chalal, L. Coordination de Systémes Multisources Pour Favoriser la Production d’énergie électrique Renouvelable. Ph.D. Thesis, Université Lille, Sciences et Technologies, Lille, France, 2013. [Google Scholar]
- Saidi, R. Développement d’un Outil de Dimensionnement et de Gestion énergétique Optimisés de systèmes Multisources: Application à une Installation de Production électrique Autonome. Ph.D. Thesis, Nantes University, Nantes, France, 2019. [Google Scholar]
- Tawfik, T.; Badr, M.; El-Kady, E.; Abdellatif, O. Optimization and energy management of hybrid standalone energy system: A case study. Renew. Energy Focus 2018, 25, 48–56. [Google Scholar] [CrossRef]
- Ismail, M.S.; Moghavvemi, M.; Mahlia, T. Design of an optimized photovoltaic and microturbine hybrid power system for a remote small community: Case study of Palestine. Energy Convers. Manag. 2013, 75, 271–281. [Google Scholar] [CrossRef]
- Barakat, M. Development of Models for Inegrating Renewables and Energy Storage Components in Smart Grid Applications. Ph.D. Thesis, Normandie Université, Normandy, France, 2018. [Google Scholar]
- Yin, C.; Wu, H.; Locment, F.; Sechilariu, M. Energy management of DC microgrid based on photovoltaic combined with diesel generator and supercapacitor. Energy Convers. Manag. 2017, 132, 14–27. [Google Scholar] [CrossRef]
- Khorasgani, H.; Biswas, G. Structural fault detection and isolation in hybrid systems. IEEE Trans. Autom. Sci. Eng. 2017, 15, 1585–1599. [Google Scholar] [CrossRef]
- Hofbaur, M.; Williams, B. Hybrid estimation of complex systems. IEEE Trans. Syst. Man, Cybern. Part (Cybernetics) 2004, 34, 2178–2191. [Google Scholar] [CrossRef] [PubMed]
- Cocquempot, V.; El Mezyani, T.; Staroswiecki, M. Fault detection and isolation for hybrid systems using structured parity residuals. In Proceedings of the 2004 5th Asian Control Conference (IEEE Cat. No.04EX904), Melbourne, Australia, 20–23 July 2004; Volume 2, pp. 1204–1212. [Google Scholar]
- Narasimhan, S.; Biswas, G. Model-based diagnosis of hybrid systems. IEEE Trans. Syst. Man.-Cybern.-Part Syst. Humans 2007, 37, 348–361. [Google Scholar] [CrossRef]
- Köntges, M.; Kurtz, S.; Packard, C.; Jahn, U.; Berger, K.A.; Kato, K.; Friesen, T.; Liu, H.; Van Iseghem, M.; Wohlgemuth, J.; et al. Review of Failures of Photovoltaic Modules; Report; IEA International Energy Agency: Paris, France, 2014. [Google Scholar]
- Aghaei, M.; Fairbrother, A.; Gok, A.; Ahmad, S.; Kazim, S.; Lobato, K.; Oreski, G.; Reinders, A.; Schmitz, J.; Theelen, M.; et al. Review of degradation and failure phenomena in photovoltaic modules. Renew. Sustain. Energy Rev. 2022, 159, 112160. [Google Scholar] [CrossRef]
- Manganiello, P.; Balato, M.; Vitelli, M. A survey on mismatching and aging of PV modules: The closed loop. IEEE Trans. Ind. Electron. 2015, 62, 7276–7286. [Google Scholar] [CrossRef]
- Mellit, A.; Tina, G.M.; Kalogirou, S.A. Fault detection and diagnosis methods for photovoltaic systems: A review. Renew. Sustain. Energy Rev. 2018, 91, 1–17. [Google Scholar] [CrossRef]
- AbdulMawjood, K.; Refaat, S.S.; Morsi, W.G. Detection and prediction of faults in photovoltaic arrays: A review. In Proceedings of the 2018 IEEE 12th International Conference on Compatibility, Power Electronics and Power Engineering (CPE-POWERENG 2018), Doha, Qatar, 10–12 April 2018; IEEE: Piscataway, NJ, USA, 2018; pp. 1–8. [Google Scholar]
- Pillai, D.S.; Rajasekar, N. A comprehensive review on protection challenges and fault diagnosis in PV systems. Renew. Sustain. Energy Rev. 2018, 91, 18–40. [Google Scholar] [CrossRef]
- Tran, M.K.; Fowler, M. A review of lithium-ion battery fault diagnostic algorithms: Current progress and future challenges. Algorithms 2020, 13, 62. [Google Scholar] [CrossRef]
- Wu, C.; Zhu, C.; Ge, Y.; Zhao, Y. A review on fault mechanism and diagnosis approach for Li-ion batteries. J. Nanomater. 2015, 2015, 631263. [Google Scholar] [CrossRef]
- Young, K.h.; Yasuoka, S. Capacity degradation mechanisms in nickel/metal hydride batteries. Batteries 2016, 2, 3. [Google Scholar] [CrossRef]
- Xiong, R.; Sun, W.; Yu, Q.; Sun, F. Research progress, challenges and prospects of fault diagnosis on battery system of electric vehicles. Appl. Energy 2020, 279, 115855. [Google Scholar] [CrossRef]
- Pei, P.; Wang, K.; Ma, Z. Technologies for extending zinc–air battery’s cyclelife: A review. Appl. Energy 2014, 128, 315–324. [Google Scholar] [CrossRef]
- Palacín, M.R.; de Guibert, A. Why do batteries fail? Science 2016, 351, 1253292. [Google Scholar] [CrossRef]
- Nandi, S.; Toliyat, H.A. Fault diagnosis of electrical machines-a review. In Proceedings of the IEEE International Electric Machines and Drives Conference. IEMDC’99. Proceedings (Cat. No. 99EX272), Seattle, WA, USA, 9–12 May 1999; IEEE: Piscataway, NJ, USA, 1999; pp. 219–221. [Google Scholar]
- Basak, D.; Tiwari, A.; Das, S. Fault diagnosis and condition monitoring of electrical machines-A Review. In Proceedings of the 2006 IEEE International Conference on Industrial Technology, Mumbai, India, 15–17 December 2006; IEEE: Piscataway, NJ, USA, 2006; pp. 3061–3066. [Google Scholar]
- Edwards, S.; Lees, A.W.; Friswell, M.I. Fault diagnosis of rotating machinery. Shock Vib. Dig. 1998, 30, 4–13. [Google Scholar] [CrossRef]
- Ondel, O. Diagnostic par Reconnaissance des Formes: Application à un Ensemble Convertisseur-Machine Asynchrone. Ph.D. Thesis, Ecole Centrale de Lyon, Lyon, France, 2006. [Google Scholar]
- He, J.; Yang, Q.; Wang, Z. On-line fault diagnosis and fault-tolerant operation of modular multilevel converters—A comprehensive review. Ces Trans. Electr. Mach. Syst. 2020, 4, 360–372. [Google Scholar] [CrossRef]
- Kumar, G.K.; Elangovan, D. Review on fault-diagnosis and fault-tolerance for DC–DC converters. IET Power Electron. 2020, 13, 1–13. [Google Scholar] [CrossRef]
- Costa, L.F.; Liserre, M. Failure analysis of the DC-DC converter: A comprehensive survey of faults and solutions for improving reliability. IEEE Power Electron. Mag. 2018, 5, 42–51. [Google Scholar] [CrossRef]
- Guilbert, D.; Gaillard, A.; N’diaye, A.; Djerdir, A. Diagnostic de défauts d’un convertisseur DC/DC boost entrelacé pour véhicules électriques à pile à combustible. In Proceedings of the Electrical Engineering Symposium (SGE’14): EF-EPF-MGE, Cachan, France, 8–9 July 2014; pp. 8–10. [Google Scholar]
- Khan, S.S.; Wen, H. A Comprehensive Review of Fault Diagnosis and Tolerant Control in DC-DC Converters for DC Microgrids. IEEE Access 2021, 9, 80100–80127. [Google Scholar] [CrossRef]
- Boovaragavan, V.; Methakar, R.N.; Ramadesigan, V.; Subramanian, V.R. A mathematical model of the lead-acid battery to address the effect of corrosion. J. Electrochem. Soc. 2009, 156, A854. [Google Scholar] [CrossRef]
- Takehara, Z.I. Dissolution and precipitation reactions of lead sulfate in positive and negative electrodes in lead acid battery. J. Power Source 2000, 85, 29–37. [Google Scholar] [CrossRef]
- Shi, Y.; Ferone, C.A.; Rahn, C.D. Identification and remediation of sulfation in lead-acid batteries using cell voltage and pressure sensing. J. Power Source 2013, 221, 177–185. [Google Scholar] [CrossRef]
- Romaissa, H. Etude de l’effet de l’étain sur la Qualité du Plomb pour les Batteries de Démarrage. Master’s Thesis, Université Mohamed El Bachir El Ibrahimi de Bordj Bou Arréridj, El Anceur, Algeria, 2020. [Google Scholar]
- Kaewert, W.F. Genset Starting Education Module#3: Solutions to Leading Causes of Battery Failure in Gensets; SENS Stored Energy Systems LLC: Longmont, CO, USA, 2013. [Google Scholar]
- Yang, J.; Hu, C.; Wang, H.; Yang, K.; Liu, J.B.; Yan, H. Review on the research of failure modes and mechanism for lead–acid batteries. Int. J. Energy Res. 2017, 41, 336–352. [Google Scholar] [CrossRef]
- Osório, W.R.; Aoki, C.S.; Garcia, A. Hot corrosion resistance of a Pb–Sb alloy for lead acid battery grids. J. Power Source 2008, 185, 1471–1477. [Google Scholar] [CrossRef]
- Rocca, E.; Bourguignon, G.; Steinmetz, J. Corrosion management of PbCaSn alloys in lead-acid batteries: Effect of composition, metallographic state and voltage conditions. J. Power Source 2006, 161, 666–675. [Google Scholar] [CrossRef]
- Culpin, B.; Rand, D. Failure modes of lead/acid batteries. J. Power Source 1991, 36, 415–438. [Google Scholar] [CrossRef]
- Rosa, D.M.; Spinelli, J.E.; Osório, W.R.; Garcia, A. Effects of cell size and macrosegregation on the corrosion behavior of a dilute Pb–Sb alloy. J. Power Source 2006, 162, 696–705. [Google Scholar] [CrossRef]
- Osório, W.R.; Rosa, D.M.; Garcia, A. The roles of cellular and dendritic microstructural morphologies on the corrosion resistance of Pb–Sb alloys for lead acid battery grids. J. Power Source 2008, 175, 595–603. [Google Scholar] [CrossRef]
- Achaïbou, N.; Malek, A.; Bacha, N. Modèle de Vieillissement des Batteries Plomb-Acide dans les Systèmes PV. Rev. Des Énerg. Renouvelables 2000, 61–66. [Google Scholar]
- Zuckerbrod, D. Program to Analyze the Failure Mode of Lead-Acid Batteries; Technical Report; Westinghouse Research and Development Center: Pittsburgh, PA, USA, 1986. [Google Scholar]
- Ruetschi, P. Aging mechanisms and service life of lead–acid batteries. J. Power Source 2004, 127, 33–44. [Google Scholar] [CrossRef]
- Qiu, L.; Liu, Z.; Zhang, W.; Gong, A.; Liu, Y. An Optimized Preparation Procedure of Tetrabasic Lead Sulfate for Lead-Acid Batteries. J. Electrochem. Soc. 2021, 168, 090531. [Google Scholar] [CrossRef]
- AMMAR, I. The Fault tree analysis of the lead acid Systems battery’s degradation. J. Electr. Syst. 2008, 4, 1–12. [Google Scholar]
- Lailler, P.; Zaninotto, F.; Nivet, S.; Torcheux, L.; Sarrau, J.F.; Vaurijoux, J.P.; Devilliers, D. Study of the softening of the positive active-mass in valve-regulated lead-acid batteries for electric-vehicle applications. J. Power Source 1999, 78, 204–213. [Google Scholar] [CrossRef]
- Liu, X.; Teng, T. Failure Causes and Effective Repair Methods of Lead-acid Battery. Iop Conf. Ser. Earth Environ. Sci. 2021, 859, 012083. [Google Scholar] [CrossRef]
- Gandhi, K. Modeling of sulfation in a flooded lead-acid battery and prediction of its cycle life. J. Electrochem. Soc. 2020, 167, 013538. [Google Scholar] [CrossRef]
- Singh, A.; Karandikar, P.; Kulkarni, N. Mitigation of sulfation in lead acid battery towards life time extension using ultra capacitor in hybrid electric vehicle. J. Energy Storage 2021, 34, 102219. [Google Scholar] [CrossRef]
- Ma, T.; Xu, G.L.; Li, Y.; Wang, L.; He, X.; Zheng, J.; Liu, J.; Engelhard, M.H.; Zapol, P.; Curtiss, L.A.; et al. Revisiting the corrosion of the aluminum current collector in lithium-ion batteries. J. Phys. Chem. Lett. 2017, 8, 1072–1077. [Google Scholar] [CrossRef] [PubMed]
- Puzakov, A.V.; Smirnov, D.A. Physical simulation of the faults of starter batteries. Iop Conf. Ser. Mater. Sci. Eng. 2020, 971, 052066. [Google Scholar] [CrossRef]
- Catherino, H.A.; Feres, F.F.; Trinidad, F. Sulfation in lead–acid batteries. J. Power Source 2004, 129, 113–120. [Google Scholar] [CrossRef]
- Franke, M.; Kowal, J. Empirical sulfation model for valve-regulated lead-acid batteries under cycling operation. J. Power Source 2018, 380, 76–82. [Google Scholar] [CrossRef]
- Gibson, I.; Peters, K. Sulphation in discharged lead-acid batteries. J. Power Source 1982, 8, 143–157. [Google Scholar] [CrossRef]
- Yamaguchi, Y.; Shiota, M.; Nakayama, Y.; Hirai, N.; Hara, S. In situ analysis of electrochemical reactions at a lead surface in sulfuric acid solution. J. Power Source 2000, 85, 22–28. [Google Scholar] [CrossRef]
- Guo, Y.; Tang, S.; Meng, G.; Yang, S. Failure modes of valve-regulated lead-acid batteries for electric bicycle applications in deep discharge. J. Power Source 2009, 191, 127–133. [Google Scholar] [CrossRef]
- Kolesnikov, A.; Kolek, M.; Dohmann, J.F.; Horsthemke, F.; Börner, M.; Bieker, P.; Winter, M.; Stan, M.C. Galvanic corrosion of lithium-powder-based electrodes. Adv. Energy Mater. 2020, 10, 2000017. [Google Scholar] [CrossRef]
- Zhang, S.; Jow, T. Aluminum corrosion in electrolyte of Li-ion battery. J. Power Source 2002, 109, 458–464. [Google Scholar] [CrossRef]
- Maurel, F.; Leblanc, P.; Knosp, B.; Backhaus-Ricoult, M. Effect of yttrium on the corrosion of AB5-type alloys for nickel–metal hydride batteries. J. Alloys Compd. 2000, 309, 88–94. [Google Scholar] [CrossRef]
- Pourabdollah, K. Fouling and corrosion of electrode plates in nickel cadmium batteries. Eng. Fail. Anal. 2021, 130, 105797. [Google Scholar] [CrossRef]
- Bernard, P. Effects on the Positive Electrode of the Corrosion of AB 5 Alloys in Nickel-Metal-Hydride Batteries. J. Electrochem. Soc. 1998, 145, 456. [Google Scholar] [CrossRef]
- Nguyen, V.T.; Lee, J.c.; Jeong, J.; Kim, B.S.; Pandey, B. The separation and recovery of nickel and lithium from the sulfate leach liquor of spent lithium ion batteries using PC-88A. Korean Chem. Eng. Res. 2015, 53, 137–144. [Google Scholar] [CrossRef]
- Nguyen, V.T.; Lee, J.c.; Jeong, J.; Kim, B.S.; Pandey, B. Selective recovery of cobalt, nickel and lithium from sulfate leachate of cathode scrap of Li-ion batteries using liquid-liquid extraction. Met. Mater. Int. 2014, 20, 357–365. [Google Scholar] [CrossRef]
- Alazard, R.; Chaintreuil, N.; Moine, G. Maîtriser le Risque lié aux Installations Photovoltaïques; Direction de la Défense et de la Sécurité Civiles: Asnières sur Seine, France, 2013. [Google Scholar]
- Fadhel, S.; Delpha, C.; Diallo, D.; Bahri, I.; Migan, A.; Trabelsi, M.; Mimouni, M.F. PV shading fault detection and classification based on IV curve using principal component analysis: Application to isolated PV system. Sol. Energy 2019, 179, 1–10. [Google Scholar] [CrossRef]
- Ferrara, C.; Philipp, D. Why do PV modules fail? Energy Procedia 2012, 15, 379–387. [Google Scholar] [CrossRef]
- Cristaldi, L.; Faifer, M.; Lazzaroni, M.; Khalil, A.; Catelani, M.; Ciani, L. Failure modes analysis and diagnostic architecture for photovoltaic plants. In Proceedings of the 13th IMEKO TC10 Workshop on Technical Diagnostics Advanced Measurement Tools in Technical Diagnostics for Systems’ Reliability and Safety, Warsaw, Poland, 26–27 June 2014; pp. 206–211. [Google Scholar]
- Hariharan, R.; Chakkarapani, M.; Ilango, G.S.; Nagamani, C. A Method to Detect Photovoltaic Array Faults and Partial Shading in PV Systems. IEEE J. Photovoltaics 2016, 6, 1278–1285. [Google Scholar] [CrossRef]
- Khaing, H.H.; Liang, Y.J.; Htay, N.N.M.; Fan, J. Characteristics of different solar PV modules under partial shading. Int. J. Energy Power Eng. 2014, 8, 1418–1422. [Google Scholar]
- Bulanyi, P.; Zhang, R. Shading analysis & improvement for distributed residential grid-connected photovoltaics systems. In Proceedings of the 52nd Annual Conference of the Australian Solar Council, Boulder, CO, USA, 8–11 August 2014. [Google Scholar]
- Bany, J.; Appelbaum, J. The effect of shading on the design of a field of solar collectors. Sol. Cells 1987, 20, 201–228. [Google Scholar] [CrossRef]
- Vieira, R.G.; de Araújo, F.M.; Dhimish, M.; Guerra, M.I. A comprehensive review on bypass diode application on photovoltaic modules. Energies 2020, 13, 2472. [Google Scholar] [CrossRef]
- Ramabadran, R.; Mathur, B. Effect of shading on series and parallel connected solar PV modules. Mod. Appl. Sci. 2009, 3, 32–41. [Google Scholar] [CrossRef]
- Kaushika, N.; Rai, A.K. An investigation of mismatch losses in solar photovoltaic cell networks. Energy 2007, 32, 755–759. [Google Scholar] [CrossRef]
- Pern, F.; Czanderna, A.; Emery, K.; Dhere, R. Weathering degradation of EVA encapsulant and the effect of its yellowing on solar cell efficiency. In Proceedings of the Conference Record of the 22nd IEEE Photovoltaic Specialists Conference-1991, Las Vegas, NV, USA, 7–11 October 1991; IEEE: Piscataway, NJ, USA, 1991; Volume 1, pp. 557–561. [Google Scholar]
- Hasyim, E.S.; Wenham, S.; Green, M. Shadow tolerance of modules incorporating integral bypass diode solar cells. Sol. Cells 1986, 19, 109–122. [Google Scholar] [CrossRef]
- Silvestre, S.; Chouder, A. Effects of shadowing on photovoltaic module performance. Prog. Photovoltaics Res. Appl. 2008, 16, 141–149. [Google Scholar] [CrossRef]
- Sabbaghpur Arani, M.; Hejazi, M.A. The comprehensive study of electrical faults in PV arrays. J. Electr. Comput. Eng. 2016, 2016, 8712960. [Google Scholar] [CrossRef]
- Masoum, A.S.; Padovan, F.; Masoum, M.A. Impact of partial shading on voltage-and current-based maximum power point tracking of solar modules. In Proceedings of the IEEE PES General Meeting, Minneapolis, MN, USA, 25–29 July 2010; IEEE: Piscataway, NJ, USA, 2010; pp. 1–5. [Google Scholar]
- Dolara, A.; Lazaroiu, G.C.; Leva, S.; Manzolini, G. Experimental investigation of partial shading scenarios on PV (photovoltaic) modules. Energy 2013, 55, 466–475. [Google Scholar] [CrossRef]
- Dhimish, M.; Holmes, V.; Mehrdadi, B.; Dales, M.; Mather, P. Detecting defective bypass diodes in photovoltaic modules using Mamdani fuzzy logic system. Glob. J. Res. Eng. F Electr. Electron. Eng. 2017, 33–44. [Google Scholar]
- Sarikh, S.; Raoufi, M.; Bennouna, A.; Benlarabi, A.; Ikken, B. Implementation of a plug and play IV curve tracer dedicated to characterization and diagnosis of PV modules under real operating conditions. Energy Convers. Manag. 2020, 209, 112613. [Google Scholar] [CrossRef]
- Sera, D.; Baghzouz, Y. On the impact of partial shading on PV output power. In Proceedings of the RES’08, Wilderness, South Africa, 6–8 October 2008. [Google Scholar]
- Ping, Y.; Yuzheng, L.; Heng, L.; Zhixiang, Z. Analysis and diagnosis of hot spot failure in c-Si PV module. IOP Conf. Ser. Earth Environ. Sci. 2019, 332, 042011. [Google Scholar] [CrossRef]
- Deline, C.; Marion, B.; Granata, J.; Gonzalez, S. Performance and Economic Analysis of Distributed Power Electronics in Photovoltaic Systems; Technical Report; National Renewable Energy Lab. (NREL): Golden, CO, USA, 2011. [Google Scholar]
- Herrmann, W.; Wiesner, W.; Vaassen, W. Hot spot investigations on PV modules-new concepts for a test standard and consequences for module design with respect to bypass diodes. In Proceedings of the Conference Record of the 26th IEEE Photovoltaic Specialists Conference-1997, Anaheim, CA, USA, 29 September–3 October 1997; IEEE: Piscataway, NJ, USA, 1997; pp. 1129–1132. [Google Scholar]
- Guerriero, P.; Tricoli, P.; Daliento, S. A bypass circuit for avoiding the hot spot in PV modules. Sol. Energy 2019, 181, 430–438. [Google Scholar] [CrossRef]
- Haeberlin, H.; Kaempfer, M. Measurement of damages at bypass diodes by induced voltages and currents in PV modules caused by nearby lightning currents with standard waveform. In Proceedings of the 23rd European Photovoltaic Solar Energy Conference, Valencia, Spain, 1–5 September 2008. [Google Scholar]
- Lee, C.G.; Shin, W.G.; Lim, J.R.; Kang, G.H.; Ju, Y.C.; Hwang, H.M.; Chang, H.S.; Ko, S.W. Analysis of electrical and thermal characteristics of PV array under mismatching conditions caused by partial shading and short circuit failure of bypass diodes. Energy 2021, 218, 119480. [Google Scholar] [CrossRef]
- Zhang, Z.; Wohlgemuth, J.; Kurtz, S. Thermal Reliability Study of Bypass Diodes in Photovoltaic Modules (Poster); Technical Report; National Renewable Energy Lab. (NREL): Golden, CO, USA, 2013. [Google Scholar]
- Xiao, C.; Hacke, P.; Johnston, S.; Sulas-Kern, D.B.; Jiang, C.S.; Al-Jassim, M. Failure analysis of field-failed bypass diodes. Prog. Photovoltaics Res. Appl. 2020, 28, 909–918. [Google Scholar] [CrossRef]
- Ardjouna, C. Etude d’Identification et Localisation des défauts d’un générateur Photovoltaïque. Master’s Thesis, Universite de Mohamed Boudiaf M’sila Faculte de Technologie, M’sila, Algeria, 2016. [Google Scholar]
- Shiradkar, N.S.; Schneller, E.; Dhere, N.G.; Gade, V. Predicting thermal runaway in bypass diodes in photovoltaic modules. In Proceedings of the 2014 IEEE 40th Photovoltaic Specialist Conference (PVSC), Denver, CO, USA, 8–13 June 2014; IEEE: Piscataway, NJ, USA, 2014; pp. 3585–3588. [Google Scholar]
- Dhere, N.G.; Shiradkar, N.; Schneller, E.; Gade, V. The reliability of bypass diodes in PV modules. In Proceedings of the Reliability of Photovoltaic Cells, Modules, Components, and Systems VI, San Diego, CA, USA, 26–29 August 2013; SPIE: Wallisellen, Switerland, 2013; Volume 8825, pp. 110–117. [Google Scholar]
- Ko, S.W.; Ju, Y.C.; Hwang, H.M.; So, J.H.; Jung, Y.S.; Song, H.J.; Song, H.e.; Kim, S.H.; Kang, G.H. Electric and thermal characteristics of photovoltaic modules under partial shading and with a damaged bypass diode. Energy 2017, 128, 232–243. [Google Scholar] [CrossRef]
- Dhimish, M.; Chen, Z. Novel open-circuit photovoltaic bypass diode fault detection algorithm. IEEE J. Photovoltaics 2019, 9, 1819–1827. [Google Scholar] [CrossRef]
- Mathew, J.K.; Kuitche, J.; TamizhMani, G. Test-to-failure of pv modules: Hotspot testing. In Proceedings of the 2010 35th IEEE Photovoltaic Specialists Conference, Honolulu, HI, USA, 20–25 June 2010; IEEE: Piscataway, NJ, USA, 2010; pp. 002839–002843. [Google Scholar]
- Wohlgemuth, J.; Herrmann, W. Hot spot tests for crystalline silicon modules. In Proceedings of the Conference Record of the Thirty-First IEEE Photovoltaic Specialists Conference, Lake Buena Vista, FL, USA, 3–7 January 2005; IEEE: Piscataway, NJ, USA, 2005; pp. 1062–1063. [Google Scholar]
- Kim, K.A.; Krein, P.T. Hot spotting and second breakdown effects on reverse IV characteristics for mono-crystalline Si photovoltaics. In Proceedings of the 2013 IEEE Energy Conversion Congress and Exposition, Denver, CO, USA, 15–19 September 2013; IEEE: Piscataway, NJ, USA, 2013; pp. 1007–1014. [Google Scholar]
- Zhang, Q.; Li, Q. Temperature and reverse voltage across a partially shaded Si PV cell under hot spot test condition. In Proceedings of the 2012 38th IEEE Photovoltaic Specialists Conference, Austin, TX, USA, 3–8 June 2012; IEEE: Piscataway, NJ, USA, 2012; pp. 001344–001347. [Google Scholar]
- Gallon, J.; Horner, G.; Hudson, J.; Vasilyev, L.; Lu, K. PV Module Hotspot Detection; Tau Science Corporation: Hillsboro, OR, USA, 2015. [Google Scholar]
- Ma, M.; Liu, H.; Zhang, Z.; Yun, P.; Liu, F. Rapid diagnosis of hot spot failure of crystalline silicon PV module based on IV curve. Microelectron. Reliab. 2019, 100, 113402. [Google Scholar] [CrossRef]
- Dhimish, M.; Badran, G. Photovoltaic hot-spots fault detection algorithm using fuzzy systems. IEEE Trans. Device Mater. Reliab. 2019, 19, 671–679. [Google Scholar] [CrossRef]
- Chamberlin, C.E.; Rocheleau, M.; Marshall, M.W.; Reis, A.; Coleman, N.; Lehman, P. Comparison of PV module performance before and after 11 and 20 years of field exposure. In Proceedings of the 2011 37th IEEE Photovoltaic Specialists Conference, Seattle, WA, USA, 19–24 June 2011; IEEE: Piscataway, NJ, USA, 2011; pp. 101–105. [Google Scholar]
- Kaplanis, S.; Kaplani, E. Energy performance and degradation over 20 years performance of BP c-Si PV modules. Simul. Model. Pract. Theory 2011, 19, 1201–1211. [Google Scholar] [CrossRef]
- Danner, M.; Bucher, K. Reverse characteristics of commercial silicon solar cells-impact on hot spot temperatures and module integrity. In Proceedings of the Conference Record of the Twenty Sixth IEEE Photovoltaic Specialists Conference, Anaheim, CA, USA, 29 September–3 October 1997; IEEE: Piscataway, NJ, USA, 1997; pp. 1137–1140. [Google Scholar]
- Molenbroek, E.; Waddington, D.; Emery, K. Hot spot susceptibility and testing of PV modules. In Proceedings of the Photovoltaic Specialists Conference, Las Vegas, NV, USA, 7–11 October 1991; Volume 1, pp. 547–552. [Google Scholar]
- de Oliveira, M.C.C.; Cardoso, A.S.A.D.; Viana, M.M.; Lins, V.d.F.C. The causes and effects of degradation of encapsulant ethylene vinyl acetate copolymer (EVA) in crystalline silicon photovoltaic modules: A review. Renew. Sustain. Energy Rev. 2018, 81, 2299–2317. [Google Scholar] [CrossRef]
- Dunn, L.; Gostein, M.; Stueve, B. Literature review of the effects of UV exposure on PV modules. In Proceedings of the NREL PV Module Reliability Workshop, Golden, CO, USA, 26–27 February 2013; NREL: Golden, CO, USA, 2013; Volume 16. [Google Scholar]
- Bouaichi, A.; Merrouni, A.A.; El Hassani, A.; Naimi, Z.; Ikken, B.; Ghennioui, A.; Benazzouz, A.; El Amrani, A.; Messaoudi, C. Experimental evaluation of the discoloration effect on PV-modules performance drop. Energy Procedia 2017, 119, 818–827. [Google Scholar] [CrossRef]
- Jordan, D.C.; Silverman, T.J.; Sekulic, B.; Kurtz, S.R. PV degradation curves: Non-linearities and failure modes. Prog. Photovoltaics: Res. Appl. 2017, 25, 583–591. [Google Scholar] [CrossRef]
- Jordan, D.C.; Wohlgemuth, J.H.; Kurtz, S.R. Technology and Climate Trends in PV Module Degradation; Technical Report; National Renewable Energy Lab. (NREL): Golden, CO, USA, 2012. [Google Scholar]
- Sánchez-Friera, P.; Piliougine, M.; Peláez, J.; Carretero, J.; Sidrach de Cardona, M. Analysis of degradation mechanisms of crystalline silicon PV modules after 12 years of operation in Southern Europe. Prog. Photovoltaics Res. Appl. 2011, 19, 658–666. [Google Scholar] [CrossRef]
- Reis, A.M.; Coleman, N.T.; Marshall, M.W.; Lehman, P.A.; Chamberlin, C.E. Comparison of PV module performance before and after 11-years of field exposure. In Proceedings of the Conference Record of the Twenty-Ninth IEEE Photovoltaic Specialists Conference, New Orleans, LA, USA, 19–24 May 2002; IEEE: Piscataway, NJ, USA, 2002; pp. 1432–1435. [Google Scholar]
- Berman, D.; Biryukov, S.; Faiman, D. EVA laminate browning after 5 years in a grid-connected, mirror-assisted, photovoltaic system in the Negev desert: Effect on module efficiency. Sol. Energy Mater. Sol. Cells 1995, 36, 421–432. [Google Scholar] [CrossRef]
- Smith, R.M.; Jordan, D.C.; Kurtz, S.R. Outdoor PV Module Degradation of Current-Voltage Parameters; Technical Report; National Renewable Energy Lab. (NREL): Golden, CO, USA, 2012. [Google Scholar]
- Realini, A. Mean Time before Failure of Photovoltaic Modules; Final Report (MTBF Project); Federal Office for Education and Science Technology Representative; BBW: Canobbio, Switzerland, 2003; Volume 99. [Google Scholar]
- Bandou, F.; Arab, A.H.; Belkaid, M.S.; Logerais, P.O.; Riou, O.; Charki, A. Evaluation performance of photovoltaic modules after a long time operation in Saharan environment. Int. J. Hydrogen Energy 2015, 40, 13839–13848. [Google Scholar] [CrossRef]
- Zhang, S.; Zhang, S.; Wang, B.; Habetler, T.G. Deep learning algorithms for bearing fault diagnostics—A comprehensive review. IEEE Access 2020, 8, 29857–29881. [Google Scholar] [CrossRef]
- Nandi, S.; Toliyat, H.A. Condition monitoring and fault diagnosis of electrical machines-a review. In Proceedings of the Conference Record of the 1999 IEEE Industry Applications Conference. 34th IAS Annual Meeting (Cat. No. 99CH36370), New York, NY, USA, 3 October 1999; IEEE: Piscataway, NJ, USA, 1999; Volume 1, pp. 197–204. [Google Scholar]
- Kliman, G.; Premerlani, W.; Koegl, R.; Hoeweler, D. A new approach to on-line turn fault detection in AC motors. In Proceedings of the IAS’96. Conference Record of the 1996 IEEE Industry Applications Conference Thirty-First IAS Annual Meeting, San Diego, CA, USA, 6–10 October 1996; IEEE: Piscataway, NJ, USA, 1996; Volume 1, pp. 687–693. [Google Scholar]
- Alameh, K. Contribution au Diagnostic et a l’analyse de défauts d’une machine Synchrone à Aimants Permanents. Ph.D. Thesis, Normandie Université, Normandie, France, 2017. [Google Scholar]
- Bensalem, Y.; Abbassi, A.; Abbassi, R.; Jerbi, H.; Alturki, M.; Albaker, A.; Kouzou, A.; Abdelkrim, M. Speed tracking control design of a five-phase PMSM-based electric vehicle: A backstepping active fault-tolerant approach. Electr. Eng. 2022, 104, 2155–2171. [Google Scholar] [CrossRef]
- Bensalem, Y.; Kouzou, A.; Abbassi, R.; Jerbi, H.; Kennel, R.; Abdelrahem, M. Sliding-Mode-Based Current and Speed Sensors Fault Diagnosis for Five-Phase PMSM. Energies 2021, 15, 71. [Google Scholar] [CrossRef]
- Bensalem, Y.; Abbassi, R.; Jerbi, H. Fuzzy logic based-active fault tolerant control of speed sensor failure for five-phase PMSM. J. Electr. Eng. Technol. 2021, 16, 287–299. [Google Scholar] [CrossRef]
- Ojaghi, M.; Sabouri, M.; Faiz, J. Analytic model for induction motors under localized bearing faults. IEEE Trans. Energy Convers. 2017, 33, 617–626. [Google Scholar] [CrossRef]
- Tandon, N.; Choudhury, A. A review of vibration and acoustic measurement methods for the detection of defects in rolling element bearings. Tribol. Int. 1999, 32, 469–480. [Google Scholar] [CrossRef]
- Zandi, O.; Poshtan, J. Brushless DC motor bearing fault detection using Hall effect sensors and a two-stage wavelet transform. In Proceedings of the Electrical Engineering (ICEE), Iranian Conference on Electrical Engineering, Mashhad, Iran, 8–10 May 2018; IEEE: Piscataway, NJ, USA, 2018; pp. 827–833. [Google Scholar]
- Gong, X.; Qiao, W. Bearing fault diagnosis for direct-drive wind turbines via current-demodulated signals. IEEE Trans. Ind. Electron. 2013, 60, 3419–3428. [Google Scholar] [CrossRef]
- Khadersab, A.; Shivakumar, S. Vibration analysis techniques for rotating machinery and its effect on bearing faults. Procedia Manuf. 2018, 20, 247–252. [Google Scholar] [CrossRef]
- Abed, W.; Sharma, S.; Sutton, R. Diagnosis of bearing fault of brushless DC motor based on dynamic neural network and orthogonal fuzzy neighborhood discriminant analysis. In Proceedings of the 2014 UKACC International Conference on Control (CONTROL), Loughborough, UK, 9–11 July 2014; IEEE: Piscataway, NJ, USA, 2014; pp. 378–383. [Google Scholar]
- Stack, J.R.; Habetler, T.G.; Harley, R.G. Bearing fault detection via autoregressive stator current modeling. IEEE Trans. Ind. Appl. 2004, 40, 740–747. [Google Scholar] [CrossRef]
- Schoen, R.R.; Habetler, T.G.; Kamran, F.; Bartfield, R. Motor bearing damage detection using stator current monitoring. IEEE Trans. Ind. Appl. 1995, 31, 1274–1279. [Google Scholar] [CrossRef]
- Sunnersjö, C. Varying compliance vibrations of rolling bearings. J. Sound Vib. 1978, 58, 363–373. [Google Scholar] [CrossRef]
- Tallian, T.; Gustafsson, O. Progress in rolling bearing vibration research and control. ASLE Trans. 1965, 8, 195–207. [Google Scholar] [CrossRef]
- Meyer, L.; Ahlgren, F.; Weichbrodt, B. An analytic model for ball bearing vibrations to predict vibration response to distributed defects. J. Mech. Des. 1980, 102, 205–210. [Google Scholar] [CrossRef]
- Choudhury, A.; Tandon, N. A theoretical model to predict vibration response of rolling bearings to distributed defects under radial load. J. Vib. Acoust. 1998, 120, 214–220. [Google Scholar] [CrossRef]
- Sunnersjö, C. Rolling bearing vibrations—The effects of geometrical imperfections and wear. J. Sound Vib. 1985, 98, 455–474. [Google Scholar] [CrossRef]
- Faiz, J.; Ebrahimi, B.; Valavi, M.; Toliyat, H.A. Mixed eccentricity fault diagnosis in salient-pole synchronous generator using modified winding function method. Prog. Electromagn. Res. 2009, 11, 155–172. [Google Scholar] [CrossRef]
- Hajiaghajani, M.; Toliyat, H.A.; Panahi, I.M. Advanced fault diagnosis of a DC motor. IEEE Trans. Energy Convers. 2004, 19, 60–65. [Google Scholar] [CrossRef]
- Haji, M.; Toliyat, H.A. Rotor eccentricity fault detection of a DC motor. In Proceedings of the IECON’01. 27th Annual Conference of the IEEE Industrial Electronics Society (Cat. No. 37243), Denver, CO, USA, 29 November–2 December 2001; IEEE: Piscataway, NJ, USA, 2001; Volume 1, pp. 591–596. [Google Scholar]
- Faiz, J.; Ebrahimi, B.M.; Akin, B.; Toliyat, H.A. Comprehensive eccentricity fault diagnosis in induction motors using finite element method. IEEE Trans. Magn. 2009, 45, 1764–1767. [Google Scholar] [CrossRef]
- Faiz, J.; Ebrahimi, B.; Sharifian, M. Finite element transient analysis of an on-load three-phase squirrel-cage induction motor with static eccentricity. Electromagnetics 2007, 27, 207–227. [Google Scholar] [CrossRef]
- Rosero, J.; Romeral, J.; Cusido, J.; Ortega, J.; Garcia, A. Fault detection of eccentricity and bearing damage in a PMSM by means of wavelet transforms decomposition of the stator current. In Proceedings of the 2008 23rd Annual IEEE Applied Power Electronics Conference and Exposition, Austin, TX, USA, 24–28 February 2008; IEEE: Piscataway, NJ, USA, 2008; pp. 111–116. [Google Scholar]
- Glowacz, Z.; Zdrojewski, A. Mathematical modelling of commutator DC motor in failure conditions. In Proceedings of the 2005 5th IEEE International Symposium on Diagnostics for Electric Machines, Power Electronics and Drives, Vienna, Austria, 7–9 September 2005; IEEE: Piscataway, NJ, USA, 2005; pp. 1–5. [Google Scholar]
- Glowacz, Z.; Zdrojewski, A. Diagnostics of commutator DC motor basing on spectral analysis of signals. In Proceedings of the 2007 IEEE International Symposium on Diagnostics for Electric Machines, Power Electronics and Drives, Cracow, Poland, 6–8 September 2007; IEEE: Piscataway, NJ, USA, 2007; pp. 497–500. [Google Scholar]
- Batzel, T.D.; Becker, N.C.; Comanescu, M. Analysis of brushed DC machinery faults with coupled finite element method and equivalent circuit model. IJME 2011, 11, 5–13. [Google Scholar]
- Trigeassou, J.C. Diagnostic des Machines électriques; Lavoisier: Paris, France, 2011. [Google Scholar]
- Iamamura, B.; Le Menach, Y.; Tounzi, A.; Sadowski, N.; Guillot, E. Study of static and dynamic eccentricities of a synchronous generator using 3-D FEM. IEEE Trans. Magn. 2010, 46, 3516–3519. [Google Scholar] [CrossRef]
- Ruiz, J.R.R.; Rosero, J.A.; Espinosa, A.G.; Romeral, L. Detection of demagnetization faults in permanent-magnet synchronous motors under nonstationary conditions. IEEE Trans. Magn. 2009, 45, 2961–2969. [Google Scholar] [CrossRef]
- Faiz, J.; Ojaghi, M. Different indexes for eccentricity faults diagnosis in three-phase squirrel-cage induction motors: A review. Mechatronics 2009, 19, 2–13. [Google Scholar] [CrossRef]
- Rajagopalan, S.; Roux, W.l.; Habetler, T.G.; Harley, R.G. Dynamic Eccentricity and Demagnetized Rotor Magnet Detection in Trapezoidal Flux (Brushless DC) Motors Operating Under Different Load Conditions. IEEE Trans. Power Electron. 2007, 22, 2061–2069. [Google Scholar] [CrossRef]
- le Roux, W.G.; Harley, R.G.; Habetler, T.G. Detecting Rotor Faults in Low Power Permanent Magnet Synchronous Machines. IEEE Trans. Power Electron. 2007, 22, 322–328. [Google Scholar] [CrossRef]
- Vaseghi, B. Contribution a L’etude des Machines Electriques en Presence de Defaut Entre-Spires Modélisation–Réduction du courant de défaut. Ph.D. Thesis, Institut National Polytechnique de Lorraine—INPL, Lorraine, France, 2009. [Google Scholar]
- Ibrahim, A. Contribution au Diagnostic de Machines électromécaniques: Exploitation des Signaux électriques et de la Vitesse Instantanée. Ph.D. Thesis, Université Jean Monnet, Saint-Etienne, France, 2009. [Google Scholar]
- Chahmi, A. Identification Paramétrique de la Machine Asynchrone dédiée au Diagnostic. Ph.D. Thesis, Université des Sciences et Technologie d‘Oran-MB, Bir El Djir, Algeriam, 2017. [Google Scholar]
- Hao, L.; Sun, Y.; Qiu, A.; Wang, X. Steady-state calculation and online monitoring of interturn short circuit of field windings in synchronous machines. IEEE Trans. Energy Convers. 2011, 27, 128–138. [Google Scholar] [CrossRef]
- Ammar, M. Surveillance et Diagnostic des défauts des Machines électriques: Applications aux Moteurs Asynchrones. Ph.D. Thesis, Université du 20 Août 1955, Skikda, Algeria, 2012. [Google Scholar]
- Shifat, T.A.; Hur, J.W. An effective stator fault diagnosis framework of BLDC motor based on vibration and current signals. IEEE Access 2020, 8, 106968–106981. [Google Scholar] [CrossRef]
- Sadeghi, I.; Ehya, H.; Faiz, J.; Akmal, A.A.S. Online condition monitoring of large synchronous generator under short circuit fault—A review. In Proceedings of the 2018 IEEE international conference on industrial technology (ICIT), Lyon, France, 20–22 February 2018; IEEE: Piscataway, NJ, USA, 2018; pp. 1843–1848. [Google Scholar]
- Elez, A.; Tomcic, B.; Petrinic, M. Detection of inter-coil short circuits in coils of salient pole synchronous generator field winding on the basis of analysis of magnetic field in the machine. In Proceedings of the ICREPQ 2010, Granada, Spain, 23–25 March 2010. [Google Scholar]
- Darbas, C. Commande décentralisée et Modulaire des Convertisseurs MMC intégrée au Coeur des Gate-Drivers. Ph.D. Thesis, Nantes Université, Nantes, France, 2022. [Google Scholar]
- Zhang, W.; Xu, D.; Enjeti, P.N.; Li, H.; Hawke, J.T.; Krishnamoorthy, H.S. Survey on fault-tolerant techniques for power electronic converters. IEEE Trans. Power Electron. 2014, 29, 6319–6331. [Google Scholar] [CrossRef]
- Radu, P.V.; Lewandowski, M.; Szelag, A.; Steczek, M. Short-Circuit Fault Current Modeling of a DC Light Rail System with a Wayside Energy Storage Device. Energies 2022, 15, 3527. [Google Scholar] [CrossRef]









Disclaimer/Publisher’s Note: The statements, opinions and data contained in all publications are solely those of the individual author(s) and contributor(s) and not of MDPI and/or the editor(s). MDPI and/or the editor(s) disclaim responsibility for any injury to people or property resulting from any ideas, methods, instructions or products referred to in the content. |
© 2024 by the authors. Licensee MDPI, Basel, Switzerland. This article is an open access article distributed under the terms and conditions of the Creative Commons Attribution (CC BY) license (https://creativecommons.org/licenses/by/4.0/).
Share and Cite
Hadj Salem, M.; Mansouri, K.; Chauveau, E.; Ben Salem, Y.; Abdelkrim, M.N. Multi-Power System Electrical Source Fault Review. Energies 2024, 17, 1187. https://doi.org/10.3390/en17051187
Hadj Salem M, Mansouri K, Chauveau E, Ben Salem Y, Abdelkrim MN. Multi-Power System Electrical Source Fault Review. Energies. 2024; 17(5):1187. https://doi.org/10.3390/en17051187
Chicago/Turabian StyleHadj Salem, Mariem, Karim Mansouri, Eric Chauveau, Yemna Ben Salem, and Mohamed Naceur Abdelkrim. 2024. "Multi-Power System Electrical Source Fault Review" Energies 17, no. 5: 1187. https://doi.org/10.3390/en17051187
APA StyleHadj Salem, M., Mansouri, K., Chauveau, E., Ben Salem, Y., & Abdelkrim, M. N. (2024). Multi-Power System Electrical Source Fault Review. Energies, 17(5), 1187. https://doi.org/10.3390/en17051187

