A Passive Flow Control Technique of a Small-Scale HAWT and TED Analysis Under Yaw Condition Based on Airfoil Concavity
Abstract
1. Introduction
2. Conception of Airfoil Concavity and the Validation of Numerical Algorithms
2.1. Conception of Airfoil Concavity
2.2. Implementation of Airfoil Concavity
2.3. Validation of Numerical Algorithms
2.3.1. Numerical Calculation
- (a)
- Modelling
- (b)
- Governing equations
- (c)
- Boundary and initial conditions
- (d)
- Mesh evaluation
2.3.2. Wind Tunnel Experiment
- (a)
- Experimental principle
- (b)
- Main equipment and experiment principles
3. Results
3.1. Preliminary Results
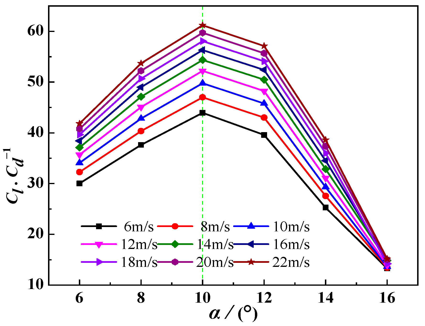
3.2. Determination of Concavity Position and the Optimal Concavity Type
3.2.1. Determination of Concavity Chordwise Position
3.2.2. Determination of Concavity Spanwise Position
3.2.3. Determination of the Optimal Concavity Type
3.3. Impact of Airfoil Concavity on Flow Field Under Axial Flow Conditions
3.3.1. Comparative Analysis of Pressure
3.3.2. Comparative Analysis of Velocity Vector
3.3.3. Comparative Analysis of Turbulent Kinetic Energy
3.4. Impact of Airfoil Concavity Under Yaw Conditions
3.4.1. Impact of Airfoil Concavity on the Working Capacity
3.4.2. Impact of Airfoil Concavity on TKE
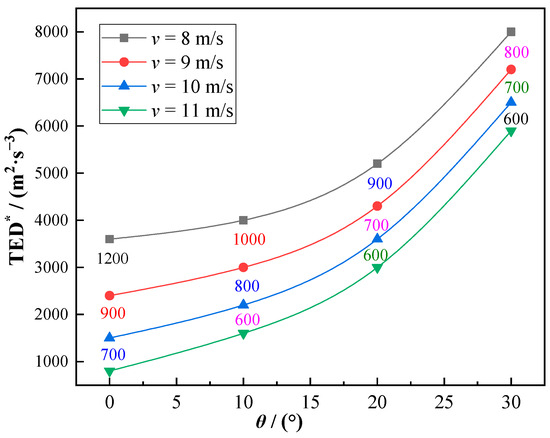
3.4.3. Impact of Airfoil Concavity on TED
- is the turbulent kinetic energy;
- is the kinetic viscosity;
- is the eddy viscosity ratio, which is set to 10 by default;
- is the eddy length scale.
4. Conclusions
Author Contributions
Funding
Data Availability Statement
Conflicts of Interest
Nomenclature and Abbreviations
| HAWT | Horizontal axis wind turbine |
| TKE | Turbulent kinetic energy |
| TED | Turbulent energy dissipation |
| WSS | Wall shear stress |
| TLF | Tip leakage flow |
| TED* | TED difference between concave edge and concave bottom |
| ΔTED* | TED* increments between adjacent vs |
| Δ2TED*1 | ΔTED* between different Δθs under the same Δv |
| Δ2TED*2 | ΔTED* between different Δvs under the same θ |
| Δv | Variation range of incoming wind speed |
| Δvx, x+1 | Incoming wind speed between v = x m/s and v = (x + 1) m/s |
| Δ2vx, x+2 | Variation range from Δvx, x+1 to Δvx+1, x+2 |
| Δθ | Variation range of yaw angle |
| Δθy, y+10 | Yaw angle between θ = y° and θ = (y + 10)° |
| {v/θ} | Parameter collection of v and θ with a synchronous change |
| c | Length of chord |
| v | Incoming wind speed |
| n | Rotation speed |
| γ | Azimuth angle |
| θ | Yaw angle |
| Cp | Pressure coefficient |
| A | Length of major axis |
| B | Length of minor axis |
| R | Radium of concave circle |
| M | Concave center |
References
- Hao, W.; Li, C.; Liu, Q.; Deng, Y. Review of Aerodynamic Load Reduction and Flow Separation Control Technology for Wind Turbine Blades. J. Eng. Therm. Energy Power 2019, 34, 13. [Google Scholar]
- Alipourtarzanagh, E.; Chinnici, A.; Nathan, G.J.; Dally, B.B. Impact of Flow Blowing and Suction strategies on the establishment of an aerodynamic barrier for solar cavity receivers. Appl. Therm. Eng. 2020, 180, 115841. [Google Scholar] [CrossRef]
- Benmoussa, A.; Páscoa, J.C. Enhancement of a cycloidal self-pitch vertical axis wind turbine performance through DBD plasma actuators at low tip speed ratio. Int. J. Thermofluids 2023, 17, 100258. [Google Scholar] [CrossRef]
- Xu, H.; Xing, S.; Ye, Z. Numerical Simulation of the Effect of a Co-flow Jet on the Wind Turbine Airfoil Aerodynamic Characteristics. Procedia Eng. 2015, 126, 706–710. [Google Scholar] [CrossRef]
- Moon, H.; Jeong, J.; Park, S.; Ha, K.; Jeong, J.-H. Numerical and experimental validation of vortex generator effect on power performance improvement in MW-class wind turbine blade. Renew. Energy 2023, 212, 443–454. [Google Scholar] [CrossRef]
- Ebrahimi, A.; Movahhedi, M. Wind turbine power improvement utilizing passive flow control with microtab. Energy 2018, 150, 575–582. [Google Scholar] [CrossRef]
- Kumar, P.M.; Samad, A. Introducing Gurney flap to Wells turbine blade and performance analysis with OpenFOAM. Ocean Eng. 2019, 187, 106212. [Google Scholar] [CrossRef]
- Zhang, D.; Liu, D.; Liu, X.; Xu, H.; Wang, Y.; Bi, R.; Qian, P. Unsteady effects of a winglet on the performance of horizontal-axis tidal turbine. Renew. Energy 2024, 225, 120334. [Google Scholar] [CrossRef]
- Akhter, M.Z.; Jawahar, H.K.; Omar, F.K.; Elnajjar, E. Performance characterization of a slotted wind turbine airfoil featuring passive blowing. Energy Rep. 2024, 11, 720–735. [Google Scholar] [CrossRef]
- Roy, S.; Das, B.; Biswas, A. A comprehensive review of the application of bio-inspired tubercles on the horizontal axis wind turbine blade. Int. J. Environ. Sci. Technol. 2022, 20, 4695–4722. [Google Scholar] [CrossRef]
- Zidane, I.F.; Saqr, K.M.; Swadener, G.; Ma, X.; Shehadeh, M.F. On the role of surface roughness in the aerodynamic performance and energy conversion of horizontal wind turbine blades: A review. Int. J. Energy Res. 2016, 40, 2054–2077. [Google Scholar] [CrossRef]
- Zou, Z.; Zhou, K.; Wang, P. Research Progress on Flow Mechanism and Aerodynamic Design Method of High-Bypass-Ratio Engine Turbine. Aeronaut. Manuf. Technol. 2012, 13, 49–54. [Google Scholar]
- Fish, F.E.; Weber, P.W.; Murray, M.M.; Howle, L.E. The Tubercles on Humpback Whales’ Flippers: Application of Bio-Inspired Technology. Integr. Comp. Biol. 2011, 51, 203–213. [Google Scholar] [CrossRef]
- Johari, H.; Henoch, C.; Custodio, D.; Levshin, A.J.A.J. Effects of Leading-Edge Protuberances on Airfoil Performance. AIAA J. 2007, 45, 2634–2642. [Google Scholar] [CrossRef]
- Gonçalves, A.N.C.; Pereira, J.M.C.; Sousa, J.M.M. Passive control of dynamic stall in a H-Darrieus Vertical Axis Wind Turbine using blade leading-edge protuberances. Appl. Energy 2022, 324, 119700. [Google Scholar] [CrossRef]
- Chang, H.; Li, D.; Zhang, R.; Wang, H.; He, Y.; Zuo, Z.; Liu, S. Effect of discontinuous biomimetic leading-edge protuberances on the performance of vertical axis wind turbines. Appl. Energy 2024, 364, 123117. [Google Scholar] [CrossRef]
- Zhao, M.; Zhao, Y.; Liu, Z. Dynamic Mode Decomposition Analysis of Flow Characteristics of an Airfoil with Leading Edge Protuberances. Aerosp. Sci. Technol. 2019, 98, 105684. [Google Scholar] [CrossRef]
- Zhang, Y.; Cao, H.; Liu, X.; Qi, L. Effect of the leading-edge protuberances on the aeroacoustic and aerodynamic performances of the wind turbine airfoil. Ocean Eng. 2022, 266, 113153. [Google Scholar] [CrossRef]
- Zhang, Y.; Zhao, M.; Zhang, M. Research on the aerodynamic performance of the wind turbine blades with leading-edge protuberances. Ocean Eng. 2023, 280, 114615. [Google Scholar] [CrossRef]
- Ethiraj, L.; Pillai, S.N. Effect of trailing-edge modification over aerodynamic characteristics of NACA 0020 airfoil. Wind. Struct. 2021, 33, 463–470. [Google Scholar]
- Ali, A.R.; Akhter, M.Z.; Omar, F.K. Performance enhancement of a small-scale wind turbine featuring morphed trailing edge. Sustain. Energy Technol. Assess. 2021, 46, 101229. [Google Scholar] [CrossRef]
- Chen, N.; Liu, H.; Liu, Q.; Wang, Y. Wake Modification and Noise Emission of Serrated NACA 65(12)-10 at Moderate Reynolds Number. J. Aerosp. Eng. 2021, 34, 04021056. [Google Scholar] [CrossRef]
- Gelot, M.B.; Kim, J.W. Effect of serrated trailing edges on aerofoil tonal noise. J. Fluid Mech. 2020, 904, A30. [Google Scholar] [CrossRef]
- Woodhead, P.C.; Chong, T.P.; Joseph, P.F.; Vathylakis, A. Aerofoil self-noise radiations subjected to serration flap angles. Exp. Fluids 2021, 62, 152. [Google Scholar] [CrossRef]
- Denton, J.D. Loss Mechanisms in Turbomachines. J. Turbomach. 1993, 115, 656. [Google Scholar] [CrossRef]
- Dovgal, A.V.; Kozlov, V.V.; Michalke, A. Laminar boundary layer separation: Instability and associated phenomena. Prog. Aerosp. Sci. 1994, 30, 61–94. [Google Scholar] [CrossRef]
- D’Alessandro, V.; Clementi, G.; Giammichele, L.; Ricci, R. Assessment of the dimples as passive boundary layer control technique for laminar airfoils operating at wind turbine blades root region typical Reynolds numbers. Energy 2019, 170, 102–111. [Google Scholar] [CrossRef]
- Keisar, D.; Arava, I.; Greenblatt, D. Dynamic-stall-driven vertical axis wind turbine: An experimental parametric study. Appl. Energy 2024, 365, 123199. [Google Scholar] [CrossRef]
- Zhang, W.; Tan, J.; Chen, Z. Investigation on characteristics of suction control on separation flow around an airfoil at low Reynolds number. Acta Aerodyn. Sin. 2015, 33, 119. [Google Scholar]
- Ge, M.; Fang, L.; Liu, Y. Drag reduction of wall bounded incompressible turbulent flow based on active dimples/pimples. J. Hydrodyn. 2017, 29, 261–271. [Google Scholar] [CrossRef]
- Ma, J.; Duan, Y.; Zhao, M. Influence of different blade vibration modes on fluid fluctuation in the tip vortex region: An experimental study. Energy Sources Part A Recovery Util. Environ. Eff. 2019, 44, 1478–1494. [Google Scholar] [CrossRef]
- Yang, X.; Tian, D.; Si, Q.R.; Liao, M.Q.; He, J.W.; He, X.K.; Liu, Z.H. Flow Loss Analysis and Optimal Design of a Diving Tubular Pump. Machines 2022, 10, 175. [Google Scholar] [CrossRef]
- Ji, L.; Li, W.; Shi, W.; Agarwal, R. Transient characteristics of internal flow fields of mixed-flow pump with different tip clearances under stall condition. Proc. Inst. Mech. Eng. Part A J. Power Energy 2020, 235, 700–717. [Google Scholar] [CrossRef]
- Faizal, W.M.; Ghazali, N.N.N.; Khor, C.Y.; Badruddin, I.A.; Zainon, M.Z.; Yazid, A.A.; Ibrahim, N.B.; Razi, R.M. Computational fluid dynamics modelling of human upper airway: A review. Comput. Methods Programs Biomed. 2020, 196, 105627. [Google Scholar] [CrossRef]
- Borque, P.; Luke, E.; Kollias, P. On the unified estimation of turbulence eddy dissipation rate using Doppler cloud radars and lidars. Journal of Geophysical Research. Atmospheres 2016, 121, 5972–5989. [Google Scholar]
- Kolmogorov, A.N.; Levin, V.; Hunt, J.C.R.; Phillips, O.M.; Williams, D. Dissipation of energy in the locally isotropic turbulence. Proc. R. Soc. Lond. Ser. A Math. Phys. Sci. 1997, 434, 15–17. [Google Scholar]
- ANSYS Inc. ANSYS Tutorials 2018; ANSYS Inc.: Canonsburg, PA, USA, 2018. [Google Scholar]





























| Grid Number/×106 | Simulated Power/W | Tested Power/W | Error/% |
|---|---|---|---|
| 6.09 | 220.9 | 272.8 | 19.0 |
| 6.80 | 258.4 | 5.3 | |
| 7.20 | 285.9 | 4.8 |
| f1/W | f2/W | φ/% | |
|---|---|---|---|
| a | 272.80 | 285.87 | 4.79 |
| b4 | 266.74 | 279.60 | 4.82 |
| Airfoil Number | Relative Inflow Angles α/° |
|---|---|
| 1 2 3 4 5 6 7 8 9 10 | 28.11 19.97 16.50 14.19 12.59 11.45 10.54 10.13 10.23 10.72 |
| Δ2TED*1 | Δv8, 9/m·s−1 | Δv9, 10/m·s−1 | Δv10, 11/m·s−1 |
|---|---|---|---|
| Δθ0, 10/° | 200 | 100 | 100 |
| Δθ10, 20/° | 100 | 100 | 0 |
| Δθ20, 30/° | 100 | 0 | 0 |
| Δ2TED*2 | θ = 0° | θ = 10° | θ = 20° | θ = 30° |
|---|---|---|---|---|
| Δ2v8,10 (Δv8,9~Δv9,10)/m·s−1 | 300 | 200 | 200 | 100 |
| Δ2v9,11 (Δv9,10~Δv10,11)/m·s−1 | 200 | 200 | 100 | 100 |
Disclaimer/Publisher’s Note: The statements, opinions and data contained in all publications are solely those of the individual author(s) and contributor(s) and not of MDPI and/or the editor(s). MDPI and/or the editor(s) disclaim responsibility for any injury to people or property resulting from any ideas, methods, instructions or products referred to in the content. |
© 2024 by the authors. Licensee MDPI, Basel, Switzerland. This article is an open access article distributed under the terms and conditions of the Creative Commons Attribution (CC BY) license (https://creativecommons.org/licenses/by/4.0/).
Share and Cite
Ma, J.; Li, Q.; Zhao, M.; Chen, Y.; Chai, X. A Passive Flow Control Technique of a Small-Scale HAWT and TED Analysis Under Yaw Condition Based on Airfoil Concavity. Energies 2024, 17, 6448. https://doi.org/10.3390/en17246448
Ma J, Li Q, Zhao M, Chen Y, Chai X. A Passive Flow Control Technique of a Small-Scale HAWT and TED Analysis Under Yaw Condition Based on Airfoil Concavity. Energies. 2024; 17(24):6448. https://doi.org/10.3390/en17246448
Chicago/Turabian StyleMa, Jianlong, Qiuyan Li, Ming Zhao, Yanan Chen, and Xiaohui Chai. 2024. "A Passive Flow Control Technique of a Small-Scale HAWT and TED Analysis Under Yaw Condition Based on Airfoil Concavity" Energies 17, no. 24: 6448. https://doi.org/10.3390/en17246448
APA StyleMa, J., Li, Q., Zhao, M., Chen, Y., & Chai, X. (2024). A Passive Flow Control Technique of a Small-Scale HAWT and TED Analysis Under Yaw Condition Based on Airfoil Concavity. Energies, 17(24), 6448. https://doi.org/10.3390/en17246448

