Abstract
Achieving transportation decarbonization and reducing carbon emissions are global initiatives that have attracted a lot of effort. The use of electric vehicles (EVs) has experienced a significant increase lately, which will have a considerable impact on current power systems. This study develops a framework to evaluate/mitigate the negative impact of increasing EV charging on urban power distribution systems. This framework includes data analytics of actual residential electrical load and EV charging profiles, and the development of optimal EV charging management and AC load flow models using an actual residential power distribution system in Saskatchewan, Canada. We use statistical methods to identify a statistically-extreme situation for a power system, which a power utility needs to prepare for. The philosophy is that if the power system can accommodate this situation, the power system will be stable 97.7% of the time. Simulation results show the house voltage and transformer loading at various EV penetration levels under this statistically-extreme situation. We also identify that the particular 22-house power distribution system can accommodate a maximum number of 11 EVs (representing 50% EV penetration) under this statistically-extreme situation. The results also show that the proposed optimal EV charging management model can reduce the peak demand by 43%. Since we use actual data for this study, it reflects the current real-world situation, which presents a useful reference for power utilities. The framework can also be used to evaluate/mitigate the impact of EV charging on power systems and optimize EV infrastructure development.
1. Introduction
The drive towards decarbonizing the transportation sector to mitigate carbon emissions has gained significant momentum [1]. This drive for the widespread adoption of electric vehicles (EVs) has led to extensive research aimed at addressing various challenges. These challenges include smoothly integrating EVs into existing power distribution networks and strategically planning public charging infrastructure [2,3]. Although planning public charging stations is essential, it is important to recognize that most EV charging will occur at residential locations, mainly due to the commonality of private parking in urban areas [4,5].
Electric vehicle charging primarily takes place at home due to the long periods vehicles are parked overnight and the convenience of home chargers [6]. This extra electrical load often aligns with existing demand peaks, which can shorten the lifespan of local infrastructure equipment and cause failures [7]. Research indicates that if EV penetration exceeds 50% with uncontrolled charging, it could harm grid infrastructure and reduce resilience by altering the timing, location, and magnitude of peak demand [8].
Distribution system operators face a formidable task in managing the uncertainties associated with residential EV charging and its impact on both the baseline power demand and the additional demand for EV charging [9,10]. Unlike public charging infrastructure, residential chargers are typically installed without prior notification to distribution system operators. Residential customers also possess the autonomy to utilize the available grid connection capacity, thereby potentially straining the capabilities of the power grid [11].
The extensive integration of EVs into the power system presents numerous challenges and drawbacks that can adversely affect the stability and reliability of the system [12,13]. The substantial surge in electricity demand resulting from the widespread penetration of EVs raises concerns and imposes various operational challenges for distribution systems [14].
Two primary approaches are commonly employed to address the escalating EV load and mitigate its adverse effects on distribution networks: supply-side control action and demand-side control action [15,16]. Supply-side control action entails the construction of new power plants and power distribution lines. However, this approach necessitates significant investments and meticulous considerations of long-term planning [17,18].
The examination of the existing literature on the evaluation of EV integration into the residential power distribution system has identified several research gaps. Access to data on the residential distribution system remains a persistent issue. This has resulted in many papers facing challenges when collecting data on residential EV charging or households’ baseload demand. Consequently, these studies have had to rely on surveys or assumptions to compensate for the lack of data. However, this reliance on surveys and assumptions hinders the ability to design an EV charging model that accurately reflects real-world conditions, thus affecting its reliability. For instance, the author in [19] omitted EV charging modeling and instead treated it as a battery storage system. However, this assumption fails to accurately capture the charging behavior of EV owners. Other studies resorted to making assumptions about missing data and utilizing surveys to model parameters that reflect the behavior of EV owners [20,21,22]. Furthermore, several studies have neglected to take into account the ratings and operational conditions of distribution transformers. Most of these studies assumed that the load should not exceed 100% of the maximum rating of the transformers, disregarding other relevant standard conditions. For instance, they did not consider the duration during which the transformer can operate while being overloaded and the average load applied before this period. In [23], it indicates that EVs can violate the power distribution system if the peak load exceeds 70–90% of the transformer ratings. The paper designed a smart charging mechanism to reduce the peak to less than 66%. In another study [3], the impact of integrating EVs into the distribution network was examined by assessing transformer loading during winter and summer seasons under various scenarios. However, this study only focuses on the transformer operation during peak hours, neglecting its operation throughout the entire day. Additionally, it disregards the possibility that the transformer can operate for a few hours beyond its rated capacity if the average load before this period is less than 75% of its ratings [24].
On the other hand, demand-side control action, commonly known as smart EV charging, provides an alternative solution. By implementing intelligent charging strategies, the demand for EV charging can be more efficiently managed. This approach seeks to optimize the charging process by taking into account factors such as electricity grid conditions, pricing signals, and user preferences. The primary goal of the smart charging models is to reduce peak demand with various incentive mechanisms and dynamic pricing. Both centralized and decentralized models are proposed for optimal pricing and charging schedules [25]. With technology advancement and privacy concerns, decentralized methods are increasing in favor of centralized methods [26,27]. Multiagent systems are common for developing decentralized optimal EV charging models [28,29]. Each player can be modeled individually by agents, and through the interaction, the optimal objective can be achieved. Other methods, such as primal decomposition, dual decomposition, and alternating direction method of multipliers (ADMM), can also be used to decompose a centralized model to sub-problems by resolving or replacing the global constraints [30,31,32]. Vehicle-to-grid (V2G) technology can be applied to further mitigate negative EV charging impact by demand shaving and renewable energy integration [33]. Since V2G may involve frequent charging/discharging, battery degradation needs to be considered [34]. However, it lacks a benchmark scenario based on actual EV charging data to evaluate the proposed optimal EV charging models.
This study focuses on the assessment of electric vehicle (EV) integration into urban residential power distribution systems using AC load flow models. The primary objective is to examine the impact on transformer loading and voltage levels at customer residences during on-peak demand periods. The selection of on-peak demand periods is based on an analysis of advanced metering infrastructure (AMI) data collected from 98 households in Saskatchewan. It is important to emphasize that the AMI data lacks information on EV charging load, which is referred to as the baseload in this study. To address this, the load flow model incorporates both the EV charging profiles and the baseload (excluding EV charging) to evaluate the effects of EV integration on transformer loading and voltage levels.
Furthermore, the study aims to determine the critical threshold for EV integration into the distribution system, ensuring that transformer loading remains within standard ratings and avoids the risk of collapse. In addition, optimal charging models were developed to effectively schedule and control EV charging. By treating EV charging as elastic demand within the framework of demand response, this model enables the aggregation of controlled EV charging to shift the load away from peak demand periods. The results are not meant to be used for individual EV charging control. Rather, it provides a utility reference/benchmark scenario as a “best” EV charging management case. Further policy or optimal control mechanisms can be designed and evaluated against this scenario. For example, a pilot EV charging program is conducted in Saskatchewan, where the participants are segmented into three groups with different incentives to evaluate how the EV charging behavior change impacts peak demand reduction [35]. We are currently working with the local utility to analyze and compare the results with the benchmark charging management scenario to evaluate the effectiveness of the incentives.
The contributions of this work are summarized as follows:
- The model and simulation we present are not based on hypothetical scenarios but on actual data from Saskatchewan, Canada. This real-world foundation enhances the reliability of our findings.
- We used the proposed EV charging model and defined a “statistically-extreme” situation, which a power utility is interested in or should prepare for, e.g., the summer peak scenario.
- The developed model can determine the maximum number of EVs that power systems can accommodate under various loading conditions (e.g., a defined statistically-extreme case).
- The proposed optimal EV charging management model considers the EV driving times/patterns identified from actual EV driving/charging data, and provides a utility reference/benchmark scenario as a “best” EV charging management case to evaluate EV management mechanisms (e.g., incentives, dynamic pricing, and renewable integration).
2. Methodology
Figure 1 shows the framework of this study. The load flow study used a typical 22-house power distribution system as an example to evaluate EV penetration. This power distribution system is described in Section 2.1. The electricity load profile without EV charging for each house is modelled, which is referred as baseload (discussed in Section 2.2). We used our earlier EV charging load model to simulate the EV charging profile. The method of using this model is introduced in Section 2.3. Lastly, we proposed an optimal EV charging management model to mitigate the negative impact of uncontrolled EV charging.
Figure 1.
Framework.
2.1. Residential Power Distribution System Modeling and Evaluation
In this section, we discuss the method to evaluate the impact of EV penetration on residential power distribution systems. We employed a residential distribution system topology comprising 22 houses located in Saskatchewan. The single-line diagram of the distribution system is depicted in Figure 2. It is essential to acknowledge that Saskatchewan exhibits a range of distribution system typologies, and Figure 2 shows one of the typologies.
Figure 2.
The 22-house distribution system single-line diagram.
The residential distribution systems in this study are supplied by a local utility through a 14.4 kV system. The system is linked to a 100 kVA single-phase padmount transformer. The secondary voltage to the houses’ terminals is provided as 120/240 V through a 2 × 500 MCM aluminum (AL) cable that connects all pedestals. The connection between the pedestals and houses is facilitated by cables of type 1/0 AL.
The 22-house distribution system has two feeders. The first feeder caters to customers residing between bus #8 and #19, while the second feeder serves houses from bus #20 to #29, as illustrated in Figure 2. The transformer’s primary and secondary sides are denoted by buses #6 and #7, respectively.
The current residential power distribution system is designed without the consideration of EV load. EV charging load can be the most extensive household consumer. Therefore, with EV load, the 14.4 kV to 120/240 V service transformers can easily be overloaded, and the voltage drop at customer houses can be significant. Also, the line limit of the distribution system can be reached.
An AC load flow model is developed to calculate and evaluate house terminal voltage and transformer load, based on the household baseload and EV charging load at different levels (e.g., 1 EV per house). We then identified the maximum number of EVs that can be penetrated into the distribution network without causing low house voltages or overloading the transformer.
According to the standards [36], the voltage at the lower voltage side of the transformer is set to 116 V as a common practice. The voltage level at customers’ houses is expected to be greater or equal to 110 V to ensure proper functionality. Additionally, it is essential to ensure that the transformer loading remains within the standard rating and does not exceed its designated capacity, which is specified as follows. The transformers can be loaded up to 144% of their specified ratings for a duration of four hours, under the condition that the ambient temperature remains below 40 °C. Furthermore, it is imperative to consider that the average load applied over the preceding twelve hours should not surpass 75% of the transformer’s nameplate ratings.
The proposed model to determine the maximum number of EVs begins integrating a substantial quantity of EVs (e.g., 2 EV per house). We then evaluate the transformer loading. If this number of EVs cause transformer overload, we will decrease the number of EVs until the transformer load is within the standard rating. Finally, we evaluate the house voltage. If the house volatage is low, we will decrease the number of EVs. The following steps describe the process to identify the critical number of EVs.
Step 1: The peak load must be less than or equal to 144% of the nameplate rating.
Step 2: Identify the index of the first point that exceeds 100% of the nameplate value.
Step 3: The average value of the last 12 h before this index is less than or equal to 75%.
Step 4: The duration of the aggregated load after this index which is between 100% to 144% must not exceed 4 h.
Step 5: If one of the previous steps has not been achieved, reduce the EV number by one and start from Step 1.
Step 6: Reduce EV numbers until house voltage is not lower than 110 V.
2.2. Baseload Modelling
In this section, we discuss how the baseload of the 22 houses are determined. We used the load profiles measured by the advanced metering infrastructure (AMI) in Saskatchewan, Canada. The data was collected by SaskPower (the local power utility in Saskatchewan) and consisted of the actual load profiles of 98 houses in the Saskatchewan province, spanning from 1 June to 18 July 2022. These 98 houses do not have EVs and, therefore, the measured load profiles do not have EV charging load.
Figure 3 visually presents the average load profiles of the 98 houses for each day ranging from 1 June to 18 July. The graph comprises 48 curves, representing the average load profiles for the 48 days. Figure 4 represents the average aggregated load profile of 98 houses on hot days in Regina, Saskatchewan. The hot days during June and July 2022 were 13 June (Monday), 17 June (Friday), 18 June (Saturday), 23 June (Thursday), 29 June (Wednesday), 16 July (Saturday), and 17 July (Sunday) according to Environment Canada [37].
Figure 3.
Per day average load profiles from 1 June to 18 July 2022 (each line represents the average load profile of 98 houses in one day).
Figure 4.
Per day average load profiles on hot days in 2022 (each line represents the average load profile of 98 houses in one day).
This study focuses on the situation when the baseload is statistically-high, which are the challenging scenarios that utilities need to prepare for. Two steps are conducted to select 22 individual household-based load profiles. The selected 22 household baseload profiles are then assigned to the power distribution system discussed in Section 2.1.
Firstly, we identify the day that has the highest peak demand. We examined the peak demand of the aggregated daily load profile. Figure 5 displays the peak demand values for the 48 load profiles spanning from 1 June to 18 July. As can be seen, 17 July (Sunday) recorded the highest peak demand, reaching 328.4 kVA. Given that 17 July (Sunday) exhibits the highest peak demand load, we selected it as the representative on-peak demand for the load flow model. Note that 17 July 2022 is also one of the hottest days among the available data.
Figure 5.
The daily peak demand from 1 June to 28 July. The red circle indicates the highest peak demand.
Secondly, we selected 22 household baseload profiles from the day (17 July) identified in the first step, such that the peak demand of the aggregated load profile is statistically-high among various aggregation of 22 houses among 96 houses.
More specifically, we randomly selected 22 household baseload profiles and aggregated them. We conducted the selection/aggregation 500 times to obtain 500 aggregated load profiles. We then conducted statistical analysis of the peak demand of the 500 load profiles. The histogram of the peak demand of the 500 load profiles is shown in Figure 6. The distribution of the peak demand is a normal distribution, where the mean () was 77 kVA and the standard deviation () was 7 kVA. Among the 500 aggregated load profiles, we selected the 22 household baseload profiles with peak demand at 98 kVA () as the statistically-high case. This means that the peak demand of 22 houses will be lower than 98 kVA in 99.7% of the time. In other words, if the power distribution system can accommodate the EV penetration in this scenario, the system will be reliable in 99.7% of time.
Figure 6.
Histogram of the aggregated peak demand of randomly selected 22 houses 500 times.
2.3. EV Load Modelling
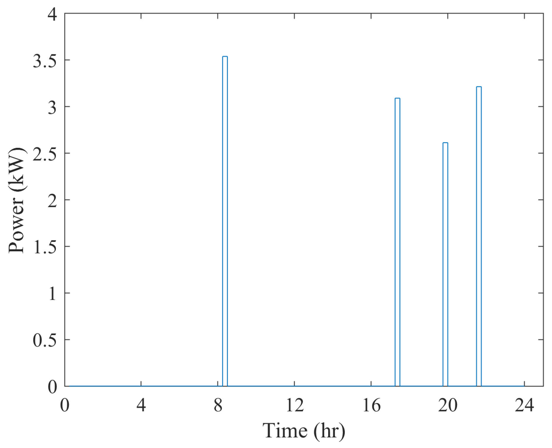
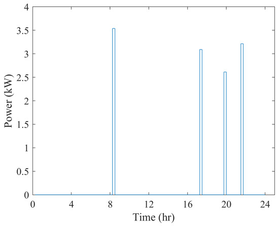
We adopted the data-driven and parameterized EV charging models developed in our earlier study [38] to simulate EV charging load in the urban residential sector. The model parameters include battery capacity, charging power level, start charging time, daily EV charging energy, and the initial state of charge (SOC). These parameters are modeled from actual EV charging data collected by SaskPower from April 2021 to March 2022. More specifically, the parameters are modeled by a certain distribution function, e.g., Burr and uniform distribution. Table 1 shows the typical ranges for battery capacity and charging power level. The Monte Carlo method can be used to simulate the EV charging profile. For example, Figure 7 shows an aggregated EV charging profile of 22 EVs. Figure 8 shows four individual EV charging profiles.
Table 1.
Typical ranges for EV battery capacity and charging power level.
Figure 7.
Example of simulation results of 22 EVs’ charging profiles.
Figure 8.
Examples of simulated individual EV charging profiles. (a–d) are generated from four random simulations.
Similar to the method to select household based load profiles discussed in Section 2.2, we need to select EV charging load profile for each house, such that the load by adding the additional EV charging is statistically-high. The following steps describe the process to select the EV charging profiles.
Step 1: Simulate 1000 EV charging profiles by running the EV charging model 1000 times.e charging power of EV batte
Step 2: Randomly assign EV charging profile to each house and pair it with their baseload, and aggregate the load profile (baseload + EV charging) of the 22 houses 500 times.
Step 3: Statistic analysis of the peak demand of the 500 aggregated load profiles and determine the average and standard deviations of the peak demand.
Step 4: Select the load profile with peak demand at as the relative high case.
2.4. Optimal EV Charging Management
EV charging can be managed to delay the need to upgrade the power distribution system for a great level of EV penetration. Optimal or smart charging systems use advanced algorithms and data analytics to mitigate the negative impact of EV charging, taking into account factors such as the availability of electricity, and the charging power level.
We formulated a linear program as follows to manage EV charging
subject to
In the objective function, Equation (1), M, and i represent the number of vehicles and the index of each vehicle, respectively; is time, and T is the time horizon. In addition, is the charging power of EV batteries. represents the aggregated baseload. The objective is to find the optimal EV charging to minimize the peak demand. The decision variables are .
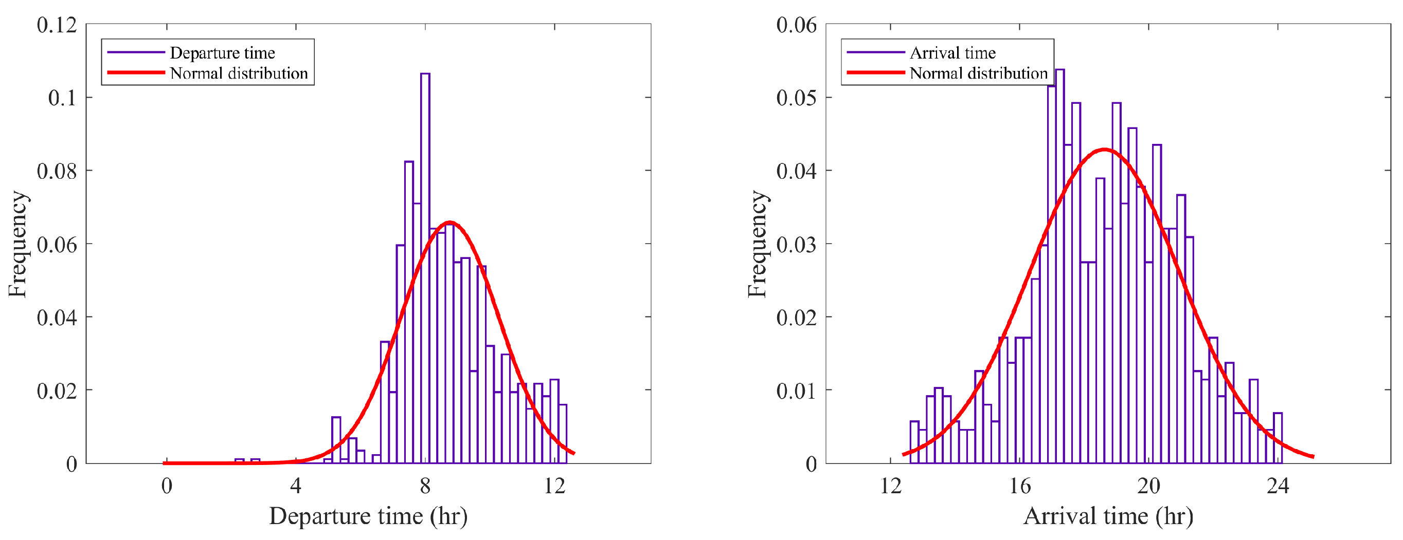
Equations (2) to (7) illustrate the model constraint. In Equation (2), is the rated power for each EV. Hence, the EV charging power should not exceed the maximum charging level for each EV. to is the period when EVs are away from homes. Apparently, the vehicles can only be charged when they are plugged in at home. Therefore, it is necessary to consider the times when the owners leave and return home when solving the optimization model for charging the vehicles. More specifically, is home departure time and home arrival time, as shown in Figure 9.
Figure 9.
EV plug-in time.
To identify the home arrival and home departure times for each vehicle, we used actual EV trip data which is retrieved from [36]. Figure 10 shows an example of daily EV driving during weekdays. Typically, there are multiple trips in a day. We assumed that the start driving time is the home departure time and the end of the last trip is the home arrival time. EV owners depart from home at and back at . EVs cannot be charged in the period from to .
Figure 10.
Examples of daily EV driving during weekdays.
Then, we used statistical analysis to find the distribution of home departure and arrival times. Figure 11 shows the histogram of the actual home departure () and arrival () times during September 2021. Due to similar daily routines as shown in the figure, and tend to be normally distributed as follows.
where and represent the average and the standard deviation values, respectively, and x is the distance along the horizontal axis. The parameters are calculated as shown in Table 2.
Figure 11.
Modeling of home departure and arrival times.
Table 2.
Normal distribution parameters of home departure and arrival times.
Equation (3) calculates the initial state of charge of each EV based on the daily consumption () and battery capacity (). Equations (4) and (5) constrain the at the arrival and departure times. In addition, 95% is the accepted value of before departure time so that each EV should be charged 95% before driving. Furthermore, when EVs arrive home, the value should be equal to the initial .
Equation (6) calculates the through the time horizon for each EV. Equation (7) illustrates the limits through the time horizon.
The optimization model being proposed is convex, with all constraints being linear functions, making it capable of being solved efficiently. The optimization model can schedule the charging time and charging power value for each EV.
3. Simulation Results
To test the impact of integrating EVs on the distribution network, we conducted five scenarios for a 22-house distribution system as follows.
Scenario #1: 1 No EV penetration.
Scenario #2: 30% EV penetration without EV charging management.
Scenario #3: 100% EV penetration without EV charging management.
Scenario #4: Identifying the maximum number of EVs without EV charging management.
Scenario #5: Charging management with different EV penetration levels.
The load flow problem is solved using Newton’s method. We used the load flow study toolbox developed by Hadi Saadat to solve the load flow problem [39].
3.1. Experimental Setup
To assess the influence of EV penetration on distribution networks, we examine transformer loading and voltage levels at customers’ residences. Load flow analyses were employed to assess the voltage levels at individual houses and the transformer loading in the distribution system. For each scenario, we determined the voltage at the house situated at the far end of the line. The diagram depicting the 22-house distribution system can be found in Figure 2. MATLAB 2020a was used to conduct simulations.
3.2. Scenario #1: No EV Penetration
In this scenario, we only consider the household baseload in the distribution system. We use the method discussed in Section 2.2 to select a baseload for each house, such that the aggregated load profile is statistically-high. Figure 12 shows the load profiles of House #1–#4 (Bus #8–#11), and Figure 13 shows the load profiles of the rest houses. Figure 14 shows the aggregated load profiles seen by the transformer. The peak demand was 97.3 kVA at 06:00 p.m. The probability for a higher peak demand appearance is 0.3%. In other words, if the power distribution system can accommodate this load profile, the system will be reliable 99.7% of time. Figure 15 shows the voltages at Bus #8 and Bus #29 which are located at the end of line 1 and line 2.
Figure 12.
Baseload profile of houses #1–#4.
Figure 13.
Baseload profile of houses #5–#22.
Figure 14.
Aggregated baseload profile.
Figure 15.
Scenario #1: Voltage profiles at bus #8 and 29.
3.3. Scenario #2: 30% EV Penetration Without EV Charging Management
In this scenario, we considered a distribution network containing seven EVs, where the EVs are separated randomly across houses. The data for EV charging was simulated and chosen using the statistical analysis discussed in detail in Section 2.3. Figure 16 shows the aggregated EV charging profiles. The peak demand was 17.7 kVA at 07:45 p.m.
Figure 16.
The aggregated profile of 30% EV penetration.
Figure 17 shows the baseload profile and the total load with 30% EV penetration. The peak demand of the total load was 126.2 kVA at 06:00 p.m., which was 126.2% of the transformer rating. This does not overload the transformer given that the transformers can be loaded up to 144% of their specified ratings for a duration of four hours, under the condition that the ambient temperature remains below 40 °C. Furthermore, it is imperative to consider that the average load applied over the preceding twelve hours should not surpass 75% of the transformer’s nameplate ratings. Again, the probability for a higher peak demand appearance was 0.3%.
Figure 17.
Scenario #2: Transformer loading results without and with 30% EV penetration.
Figure 18 shows the voltages at bus #8 and bus #29 which are located at the end of line 1 and line 2. The lowest voltage of house #8 was 111.6 V at 06:00 p.m., there was no voltage violation (below 110 V). The lowest voltage of house #29 was 110.9 at 08:00 p.m. with no voltage violation (below 110 V).
Figure 18.
Scenario #2: Voltage values of 22-house distribution system with 30% EV penetration at bus #8 and #29.
3.4. Scenario #3: 100% EV Penetration Without EV Charging Management
In this scenario, we assumed each household has one EV. Figure 19 shows the EV charging profiles of House #1–#4, and Figure 20 shows the ones of the rest houses. Figure 21 shows the aggregated EV charging profiles. The peak demand was 73.5 kVA at 06:15 p.m.
Figure 19.
EV charging profiles of house #1–#4.
Figure 20.
EV charging profiles of house #5–#22.
Figure 21.
The aggregated profile of 100% EV penetration.
Figure 22 shows the baseload profile and the total load profile with 22 EVs. The peak demand of the total load profile was 170.8 kVA, which is 170.8% of the transformer rating.
Figure 22.
Scenario #3: Transformer loading results with and without integrating 22 EVs.
Figure 23 shows the voltages at bus #8 and bus #29 which are located at the end of line 1 and line 2. The lowest voltage of house #8 was 109.4 at 06:00 p.m., and the duration of the violating voltage (below 110 V) was 30 min. The lowest voltage of house #29 was 109 at 08:00 p.m., and the duration of the violating voltage (below 110 V) was 75 min.
Figure 23.
Scenario #3: Voltage values of 22-house distribution system with 22 EVs at bus #8 and #29.
3.5. Scenario #4: Identifying the Maximum Number of EVs Without EV Charging Management
As mentioned, certain constraints may impose limitations on the integration of numerous EVs into the distribution system. Such restrictions include voltage levels at customers’ outlets and transformer standard ratings. In this section, we have determined the maximum number of EVs that can be accommodated in the distribution system, considering the standard transformer ratings. Furthermore, we assessed the resulting voltage values with the maximum number of EVs.
Figure 24 shows the output results of the proposed model. The magenta dash line shows the rated transformer loading (100 kVA). The black and green dash line shows 144% and 75% of the transformer rating, respectively. The blue curve represents the aggregated load (transformer load) while the red curve represents the 12-hour average load before the current time. To obtain the 12-hour moving average, we conducted the simulation for a period of 3 days and showed the middle-day simulation result. The maximum number of EVs that can be added to the 22-house distribution system was 11 EVs. The transformer loading from 18:00 to 20:00 is between 100% and 140%. The 12-hour average load before this period was right below 75%. As a result, the distribution system (22-house) can not be loaded to more than 11 EVs during on-peak demand.
Figure 24.
Maximum number of EVs for the 22-house distribution system.
3.6. Scenario #5: Charging Management with Different EV Penetration Levels
In this scenario, we applied and evaluated the proposed optimal EV charging management model for various EV penetration levels. Figure 25, Figure 26, Figure 27 and Figure 28 show the simulation results for the 50%, 100%, 150% and 200% EV penetration level, respectively. The red line represents the baseload profile. The blue line shows the total load profile without EV charging management. In contrast, the green line illustrates the total load profile with the optimal EV charging management. If we take the 100% penetration level as an example, without EV charging management, the peak demand was 170.8 kVA. The implementation of the proposed optimal EV charging model led to a significant reduction of the peak demand to 97.2 kVA, which represents 97.2% of the transformer rating. The results are not meant to be used for individual EV charging control. Rather, it provides a utility reference/benchmark scenario as a “best” EV charging management case. Further policy or optimal control mechanisms can be designed and evaluated against this scenario.
Figure 25.
Scenario #5: Load profiles of 22-house distribution system under on-peak demand with/without 11 EVs.
Figure 26.
Scenario #5: Load profiles of 22-house distribution system under on-peak demand with/without 22 EVs.
Figure 27.
Scenario #5: Load profiles of 22-house distribution system under on-peak demand with/without 33 EVs.
Figure 28.
Scenario #5: Load profiles of 22-house distribution system under on-peak demand with/without 44 EVs.
4. Discussion
This study’s primary aim is to assess EV penetration’s influence on distribution networks. This evaluation involves examining the transformer loading and voltage levels at customers’ residences in a situation where the load profile is statistically-high. The statistical method is used to determine the statistically-high case. The baseload and EV charging profiles are selected/simulated and integrated into the distribution system. This enables a comprehensive evaluation of the impact of EV penetration on the power distribution systems.
The major assumptions and limitations include the following: (1) The EV load model was developed based on EV charging data measured from the pilot program from April 2021 to March 2022. There were around 100 applicants (EV drivers). The data were measured by telematics devices, which are plugged into the vehicle’s diagnostics ports. The measured data include charging time, demand (kW), energy (kWh), location, SOC, travel distance, etc. The sample period was 15 min, with around 200,000 charging records. All data were from Saskatchewan, Canada. The evaluation results can be more directly used by locations with temperatures similar to those in Saskatchewan. However, the methodology can be applied to various locations. (2) We defined a statistically extreme situation for the power system, including selecting the hottest day household load as the baseload and conducting simulations 500 times. We selected the case with a peak demand of as a statistically-extreme situation. The probability of this appearance is 0.3%. In other words, if the power distribution system can accommodate this situation, the system will be reliable 99.7% of the time. This can be extended to study other potential situations, e.g., for normal days, winter peak, or . (3) We used a 24-house urban distribution system as an example to show the results. However, the method could be universally applicable to any distribution networks elsewhere as long as the distribution system data were given. (4) In the optimal EV charging management model, we minimized the peak demand and assumed that we could control EV users’ charging times without compromising their needs. In reality, this can be performed by two-way communication with EV drivers and incentivizing them to follow the optimized charging time.
Five scenarios are designed to evaluate the integration of EVs into the distribution systems. Based on the standard, the voltage at customers’ outlets should not be less than 110 V. Meanwhile, the transformer loading should not exceed the transformer standard rating that was described in Section 2.1. The load with EV charging cannot violate all requirements, including maintaining appropriate voltage levels and not exceeding transformer loading limits. Table 3 summarizes the evaluation results of the five scenarios. Buses #8 and #29 represent houses located at the ends of lines 1 and 2, respectively.
Table 3.
Summary of the simulation results.
In scenarios #1 and #2, the voltage at both buses remained above 110 V. In scenario #1, the transformer peak loading was below the rated value (100 kVA). In scenario #2, integrating 30% EV penetration resulted in the transformer being loaded to 126.2% of its rated capacity for a short time, which does not overload the transformer. However, in scenario #3, with 100% EV integration, the transformer loading reached 170.8% of its rated capacity, which overloaded the transformer. In addition, the voltage at both buses drops below 110 V. This indicates that this power system cannot accommodate 100% EV penetration. We further identify that this particular power distribution system can accommodate 11 EVs in scenario #4.
Scenario #5 evaluated the efficacy of the proposed optimal EV charging management model. More specifically, the managed EV charging reduced the peak demand from 170.8 kVA to 97.2 kVA. By using the proposed model, the power system can accommodate 100% EV penetration. Future study can be conducted to identify the maximum EV numbers by using the proposed optimal model. The results of the study indicate that the implementation of the proposed optimal EV charging model can effectively prevent excessive expenditure on upgrading the electric power system.
The proposed framework can help utilities evaluate the design standards of the power distribution systems (e.g., the transformer capacity and cable sizes) in the urban residential sector in the future under peak demand with EV integration. In addition, this study can be readily extended to evaluate other statistically-high cases, such as instances where higher peak demand occurs at 5% ().
5. Conclusions
In this study, load flow models and an optimal EV charging management model are developed to evaluate/mitigate the impact of EV charging on the current distribution system. We used the urban residential distribution systems in Saskatchewan, Canada as a case study. Actual, residential electrical load profiles in Saskatchewan are analyzed and used. EV charging profiles are simulated based on a data-driven EV charging model, which is also developed based on actual EV charging data in Saskatchewan. The simulation data showed how the EV load growth impacts the voltages at the customers’ houses and transformers’ loading at different penetration levels. The threshold of power distribution collapse is also identified. The infrastructure upgrade and new transformer installation can be determined based on the simulation. The mitigation strategy for future power distribution systems with consideration of EV penetration is proposed. This study provided an optimal EV charging model to schedule/manage EV charging. This model aggregates the managed EV charging to shift the load off from the peak demand period and minimize peak demand.
The results can provide the utility or EV aggregator with a day-ahead or hours-ahead plan for EV charging control. The argument of the optimal EV charging model (the scheduled/managed EV charging load profiles) can be used as a control policy for charging EVs. The models can schedule EV charging to reduce peak demand, improve energy efficiency, and delay infrastructure investment. As further recommendations and future studies, a data-driven model, including price elasticity or price response, can be developed to forecast EV charging load/behavior. In addition, a cost-effectiveness analysis is needed to evaluate optimal EV charging management.
Author Contributions
Conceptualization, Z.W. and R.P.; methodology, M.E.-H. and Z.W.; software, M.E.-H.; validation, J.F. and D.K.; formal analysis, M.E.-H. and S.P.; investigation, S.P.; resources, J.F. and D.K.; writing—original draft preparation, M.E.-H.; writing—review and editing, Z.W. and R.P.; visualization, S.P.; supervision, Z.W. and R.P.; project administration, J.F.; funding acquisition, J.F. All authors have read and agreed to the published version of the manuscript.
Funding
This research was funded by Natural Sciences and Engineering Research Council (ALLRP 586657-23) and Mitacs (IT25893 and IT37304).
Data Availability Statement
The datasets presented in this article are not readily available because the original data contain confidential information. Requests to access the datasets should be directed to Saskatchewan Power Corporation.
Conflicts of Interest
J.F., S.P. and D.K. were employed by Saskatchewan Power Corporation. The remaining authors declare that the research was conducted in the absence of any commercial or financial relationships that could be construed as a potential conflict of interest.
Nomenclature
| Standard deviation of normal distribution function | |
| Average of normal distribution function | |
| T | Time horizon |
| Operating power of EV batteries | |
| EV rated charging power | |
| Battery capacity of the EV | |
| Daily EV energy consumption | |
| Battery capacity | |
| SOC | State of Charge |
| EV | Electric Vehicle |
| AMI | Advanced metering infrastructure |
References
- Li, B.; Chen, M.; Ma, Z.; He, G.; Dai, W.; Liu, D.; Zhang, C.; Zhong, H. Modeling integrated power and transportation systems: Impacts of power-to-gas on the deep decarbonization. IEEE Trans. Ind. Appl. 2021, 58, 2677–2693. [Google Scholar] [CrossRef]
- Neto, N.K.; Piotrowski, L. Methodology for analysis of the impact of residential charging of electric vehicles. IEEE Lat. Am. Trans. 2019, 17, 953–961. [Google Scholar] [CrossRef]
- Awadallah, M.A.; Singh, B.N.; Venkatesh, B. Impact of EV charger load on distribution network capacity: A case study in Toronto. Can. J. Electr. Comput. Eng. 2016, 39, 268–273. [Google Scholar] [CrossRef]
- Gong, L.; Cao, W.; Liu, K.; Zhao, J. Optimal charging strategy for electric vehicles in residential charging station under dynamic spike pricing policy. Sustain. Cities Soc. 2020, 63, 102474. [Google Scholar] [CrossRef]
- Unterluggauer, T.; Rich, J.; Andersen, P.B.; Hashemi, S. Electric vehicle charging infrastructure planning for integrated transportation and power distribution networks: A review. eTransportation 2022, 12, 100163. [Google Scholar] [CrossRef]
- Cheng, A.J.; Tarroja, B.; Shaffer, B.; Samuelsen, S. Comparing the emissions benefits of centralized vs. decentralized electric vehicle smart charging approaches: A case study of the year 2030 California electric grid. J. Power Sources 2018, 401, 175–185. [Google Scholar] [CrossRef]
- Crozier, C.; Morstyn, T.; McCulloch, M. The opportunity for smart charging to mitigate the impact of electric vehicles on transmission and distribution systems. Appl. Energy 2020, 268, 114973. [Google Scholar] [CrossRef]
- Hudson, B.; Razeghi, G.; Samuelsen, S. Mitigating impacts associated with a high-penetration of plug-in electric vehicles on local residential smart grid infrastructure. J. Power Sources 2024, 593, 233961. [Google Scholar] [CrossRef]
- Su, J.; Lie, T.T.; Zamora, R. Integration of electric vehicles in distribution network considering dynamic power imbalance issue. IEEE Trans. Ind. Appl. 2020, 56, 5913–5923. [Google Scholar] [CrossRef]
- Ramadhani, U.H.; Fachrizal, R.; Shepero, M.; Munkhammar, J.; Widén, J. Probabilistic load flow analysis of electric vehicle smart charging in unbalanced LV distribution systems with residential photovoltaic generation. Sustain. Cities Soc. 2021, 72, 103043. [Google Scholar] [CrossRef]
- LaMonaca, S.; Ryan, L. The state of play in electric vehicle charging services–A review of infrastructure provision, players, and policies. Renew. Sustain. Energy Rev. 2022, 154, 111733. [Google Scholar] [CrossRef]
- Nizami, M.S.H.; Hossain, M.; Mahmud, K. A coordinated electric vehicle management system for grid-support services in residential networks. IEEE Syst. J. 2020, 15, 2066–2077. [Google Scholar] [CrossRef]
- Yu, H.; Lei, X.; Niu, S.; Shao, Z.; Jian, L. Enhancing electric vehicle penetration and grid operation performance in old residential communities through hybrid AC/DC microgrid reconstruction. Appl. Energy 2023, 347, 121459. [Google Scholar] [CrossRef]
- Ginigeme, K.; Wang, Z. Distributed optimal vehicle-to-grid approaches with consideration of battery degradation cost under real-time pricing. IEEE Access 2020, 8, 5225–5235. [Google Scholar] [CrossRef]
- Amin, A.; Tareen, W.U.K.; Usman, M.; Ali, H.; Bari, I.; Horan, B.; Mekhilef, S.; Asif, M.; Ahmed, S.; Mahmood, A. A review of optimal charging strategy for electric vehicles under dynamic pricing schemes in the distribution charging network. Sustainability 2020, 12, 10160. [Google Scholar] [CrossRef]
- Mocci, S.; Natale, N.; Pilo, F.; Ruggeri, S. Multi-agent control system to coordinate optimal electric vehicles charging and demand response actions in active distribution networks. In Proceedings of the 3rd Renewable Power Generation Conference (RPG 2014), Naples, Italy, 24–25 September 2014. [Google Scholar]
- Anastasiadis, A.G.; Kondylis, G.P.; Polyzakis, A.; Vokas, G. Effects of increased electric vehicles into a distribution network. Energy Procedia 2019, 157, 586–593. [Google Scholar] [CrossRef]
- Ni, X.; Lo, K.L. A Methodology to Model Daily Charging Load in the EV Charging Stations Based on Monte Carlo Simulation. In Proceedings of the 2020 International Conference on Smart Grid and Clean Energy Technologies (ICSGCE), Kuching, Malaysia, 4–7 October 2020; pp. 125–130. [Google Scholar]
- Richardson, P.; Moran, M.; Taylor, J.; Maitra, A.; Keane, A. Impact of electric vehicle charging on residential distribution networks: An Irish demonstration initiative. In Proceedings of the 22nd International Conference and Exhibition on Electricity Distribution (CIRED 2013), Stockholm, Sweden, 10–13 June 2013. [Google Scholar]
- Xia, Y.; Hu, B.; Xie, K.; Tang, J.; Tai, H.M. An EV charging demand model for the distribution system using traffic property. IEEE Access 2019, 7, 28089–28099. [Google Scholar] [CrossRef]
- Uthathip, N.; Bhasaputra, P.; Pattaraprakorn, W. Impact of SOC Estimation on EVs Charging Demand Using a Stochastic Modelling Approach. In Proceedings of the 2021 International Conference on Power, Energy and Innovations (ICPEI), Nakhon Ratchasima, Thailand, 20–22 October 2021; pp. 134–137. [Google Scholar]
- Yin, W.; Ji, J.; Wen, T.; Zhang, C. Study on orderly charging strategy of EV with load forecasting. Energy 2023, 278, 127818. [Google Scholar] [CrossRef]
- Unterluggauer, T.; Hipolito, F.; Rich, J.; Marinelli, M.; Andersen, P.B. Impact of cost-based smart electric vehicle charging on urban low voltage power distribution networks. Sustain. Energy Grids Netw. 2023, 35, 101085. [Google Scholar] [CrossRef]
- Ahmed, M.A.E. Integration of Electric Vehicles into Power Systems. Ph.D. Thesis, Faculty of Graduate Studies and Research, University of Regina, Regina, SK, Canada, 2023. [Google Scholar]
- Kapoor, A.; Patel, V.S.; Sharma, A.; Mohapatra, A. Centralized and decentralized pricing strategies for optimal scheduling of electric vehicles. IEEE Trans. Smart Grid 2022, 13, 2234–2244. [Google Scholar] [CrossRef]
- Wang, Z.; Paranjape, R. Optimal residential demand response for multiple heterogeneous homes with real-time price prediction in a multiagent framework. IEEE Trans. Smart Grid 2015, 8, 1173–1184. [Google Scholar] [CrossRef]
- Yoon, D.H.; Seo, H.; Lee, J.; Kim, Y. Online Electric Vehicle Charging Strategy in Residential Areas with Limited Power Supply. IEEE Trans. Smart Grid 2023, 15, 3141–3151. [Google Scholar] [CrossRef]
- Mudiyanselage, M.W.; Aghdam, F.H.; Kazemi-Razi, S.M.; Chaudhari, K.; Marzband, M.; Ikpehai, A.; Abusorrah, A.; Harris, G. A multi-agent framework for electric vehicles charging power forecast and smart planning of urban parking lots. IEEE Trans. Transp. Electrif. 2023, 10, 2844–2857. [Google Scholar] [CrossRef]
- Wang, Z.; Paranjape, R.; Chen, Z.; Zeng, K. Multi-agent optimization for residential demand response under real-time pricing. Energies 2019, 12, 2867. [Google Scholar] [CrossRef]
- Kiani, S.; Sheshyekani, K.; Dagdougui, H. ADMM-based hierarchical single-loop framework for EV charging scheduling considering power flow constraints. IEEE Trans. Transp. Electrif. 2023, 10, 1089–1100. [Google Scholar] [CrossRef]
- El-Hendawi, M.; Wang, Z.; Liu, X. Centralized and distributed optimization for vehicle-to-grid applications in frequency regulation. Energies 2022, 15, 4446. [Google Scholar] [CrossRef]
- Botkin-Levy, M.; Engelmann, A.; Mühlpfordt, T.; Faulwasser, T.; Almassalkhi, M.R. Distributed control of charging for electric vehicle fleets under dynamic transformer ratings. IEEE Trans. Control Syst. Technol. 2021, 30, 1578–1594. [Google Scholar] [CrossRef]
- Habib, H.U.R.; Waqar, A.; Hussien, M.G.; Junejo, A.K.; Jahangiri, M.; Imran, R.M.; Kim, Y.S.; Kim, J.H. Analysis of microgrid’s operation integrated to renewable energy and electric vehicles in view of multiple demand response programs. IEEE Access 2022, 10, 7598–7638. [Google Scholar] [CrossRef]
- ur Rehman, W.; Kimball, J.W.; Bo, R. Multilayered Energy Management Framework for Extreme Fast Charging Stations Considering Demand Charges, Battery Degradation, and Forecast Uncertainties. IEEE Trans. Transp. Electrif. 2023, 10, 760–776. [Google Scholar] [CrossRef]
- Join the Saskatchewan EV Charging Study Program. Available online: https://www.smartevrewards.com/sask (accessed on 10 November 2024).
- Saskpower Residential Power Rates. 2020. Available online: https://www.saskpower.com/Accounts-and-Services/Billing/Power-Rates/Power-Supply-Rates (accessed on 10 October 2022).
- Canada Historical Climate Data. 2022. Available online: https://climate.weather.gc.ca/ (accessed on 10 January 2023).
- El-Hendawi, M.; Wang, Z.; Paranjape, R.; Pederson, S.; Kozoriz, D.; Fick, J. Electric Vehicle Charging Model in the Urban Residential Sector. Energies 2022, 15, 4901. [Google Scholar] [CrossRef]
- Saadat, H. Load Flow Study Toolbox–User’s Manual; University of Wisconsin-Milwaukee: Milwaukee, WI, USA, 2011. [Google Scholar]
Disclaimer/Publisher’s Note: The statements, opinions and data contained in all publications are solely those of the individual author(s) and contributor(s) and not of MDPI and/or the editor(s). MDPI and/or the editor(s) disclaim responsibility for any injury to people or property resulting from any ideas, methods, instructions or products referred to in the content. |
© 2024 by the authors. Licensee MDPI, Basel, Switzerland. This article is an open access article distributed under the terms and conditions of the Creative Commons Attribution (CC BY) license (https://creativecommons.org/licenses/by/4.0/).



























