Study on the Co-Combustion Behavior of Municipal Sludge and Bagasse: Evaluation of Ultrasonic Pretreatment
Abstract
1. Introduction
2. Materials and Methods
2.1. Materials
2.2. Experimental Facility and Methods
2.2.1. Orthogonal Experimental Design
2.2.2. Experimental Facility
2.3. Data Analysis
3. Results and Discussion
3.1. Co-Combustion Characteristics Before Pretreatment
3.2. The Interactions Between BA and MS Before Pretreatment
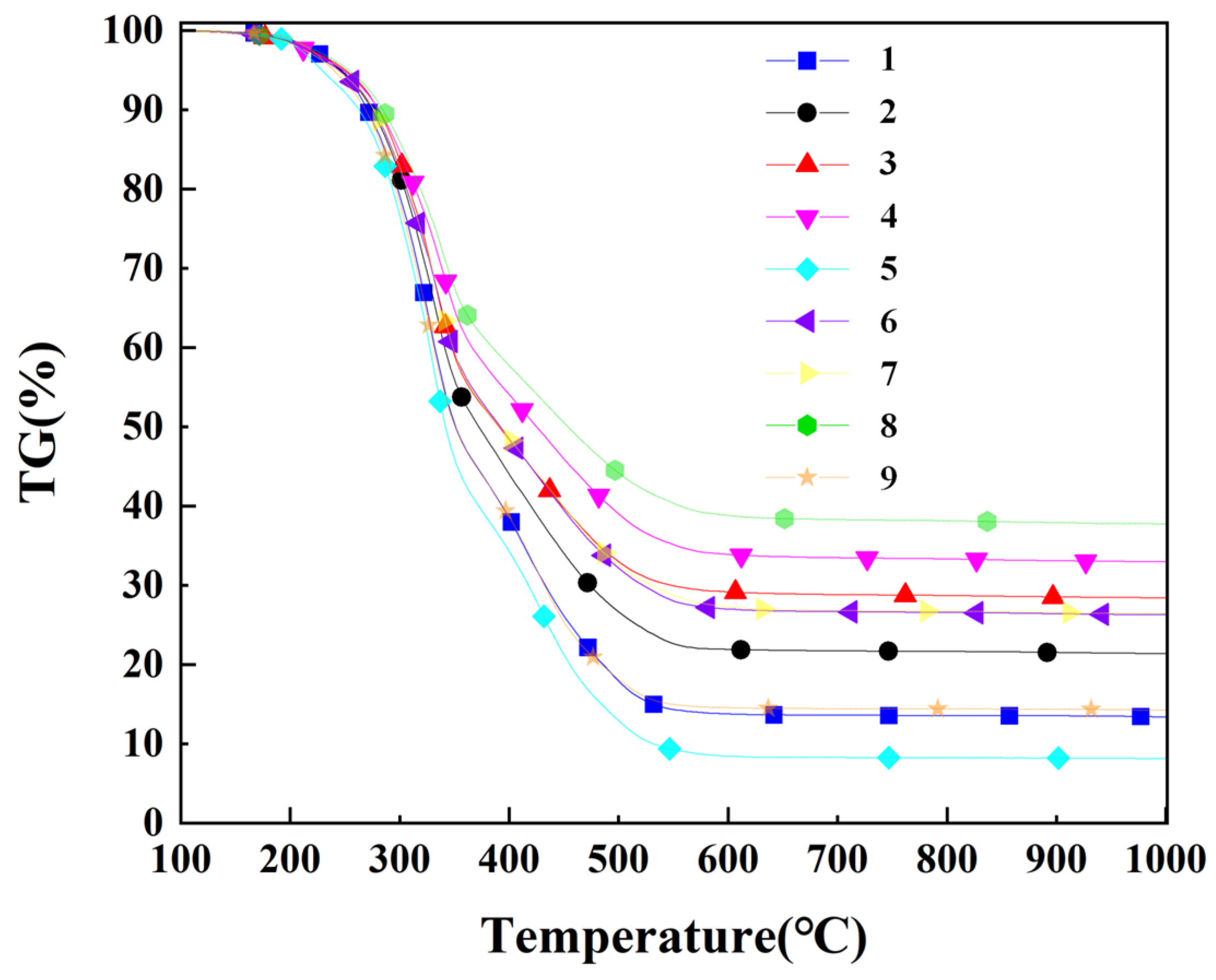
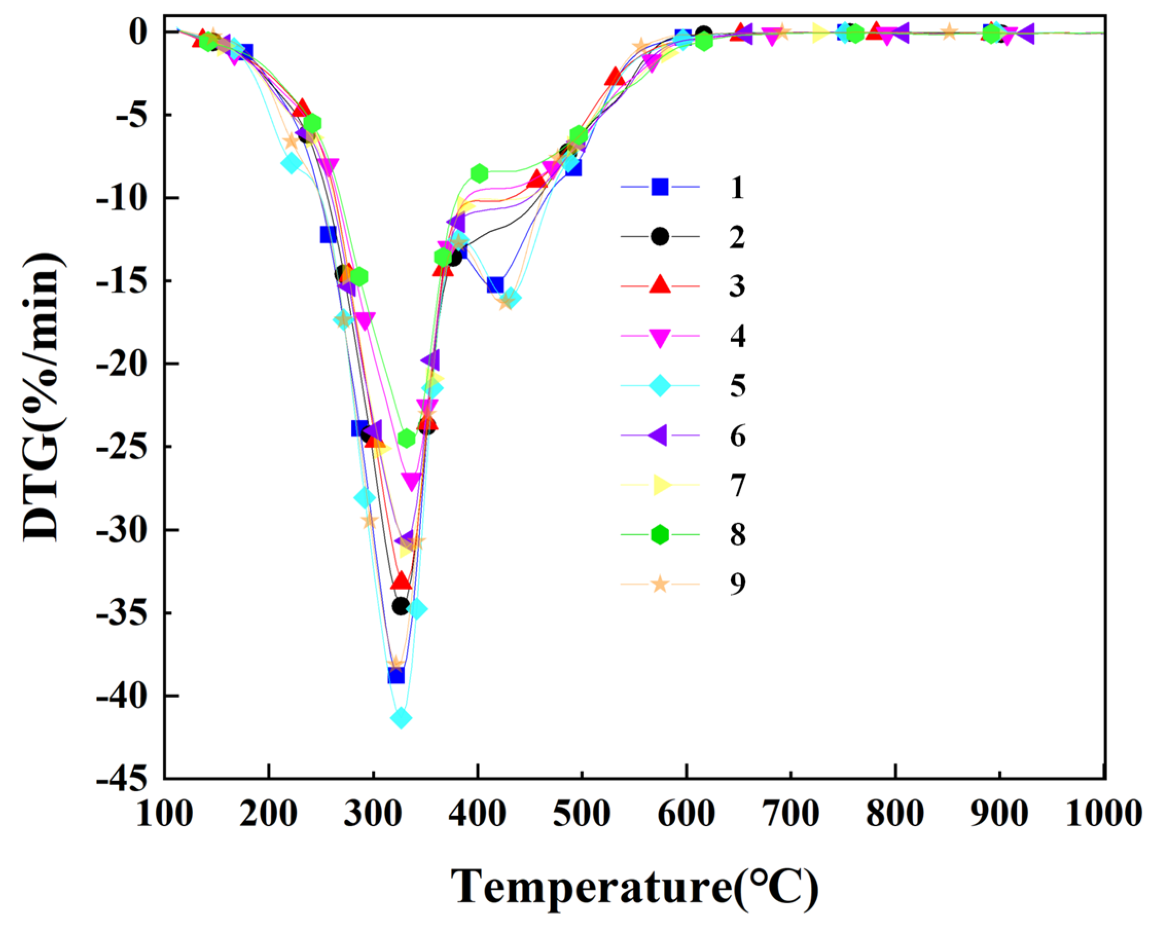
3.3. Co-Combustion Characteristics After Pretreatment
3.4. Kinetic Analysis Before and After Pretreatment
3.5. Orthogonal Analysis
4. Conclusions
Author Contributions
Funding
Data Availability Statement
Acknowledgments
Conflicts of Interest
References
- Bin Anwar, T.; Behrose, B.; Ahmed, S. Utilization of textile sludge and public health risk assessment in Bangladesh. Sustain. Environ. Res. 2018, 28, 228–233. [Google Scholar] [CrossRef]
- Zhou, A.; Yu, S.; Deng, S.; Mikulčić, H.; Tan, H.; Wang, X. Enrichment characteristics and environmental risk assessment of heavy metals in municipal sludge pyrolysis biochar. J. Energy Inst. 2023, 111, 101417. [Google Scholar] [CrossRef]
- Jiang, G.; Xu, D.; Hao, B.; Liu, L.; Wang, S.; Wu, Z. Thermochemical methods for the treatment of municipal sludge. J. Clean. Prod. 2021, 311, 127811. [Google Scholar] [CrossRef]
- National Bureau of Statistics of China. China Statistical Yearbook; China Statistics Press: Beijing, China, 2019. [Google Scholar]
- Xu, T.; Wang, C.; Hong, D.; Li, S.; Yue, S. The synergistic effect during co-combustion of municipal sludge and coal: Experimental and ReaxFF molecular dynamic study. Energy 2023, 262, 125553. [Google Scholar] [CrossRef]
- Li, T.; Duan, Y.; Wang, Y.; Zhou, M.; Duan, L. Research progress of ammonia combustion toward low carbon energy. Fuel Process. Technol. 2023, 248, 107821. [Google Scholar] [CrossRef]
- Han, H.; Du, K.; An, X.; Song, Y.; Zhao, Z.; Xu, J.; Jiang, L.; Wang, G.; Wang, Y.; Su, S.; et al. Migration and transformation of trace elements during sewage sludge and coal slime Co-combustion. Chemosphere 2023, 345, 140342. [Google Scholar] [CrossRef]
- Verma, S.; Kumar, M.; Kaur, R.; Kumar, P.; Sillanpää, M.; Štangar, U.L. Comprehensive study of the kinetics of combustion and pyrolysis of petrochemical sludge: Experimentation and application of artificial neural network. J. Anal. Appl. Pyrolysis 2023, 174, 106140. [Google Scholar] [CrossRef]
- Lin, Y.; Liao, Y.; Yu, Z.; Fang, S.; Ma, X. The investigation of co-combustion of sewage sludge and oil shale using thermogravimetric analysis. Thermochim. Acta 2017, 653, 71–78. [Google Scholar] [CrossRef]
- Wei, D.; An, D.; Wang, T.; Zhang, H.; Guo, Y.; Sun, B. Influence of fuel distribution on co-combustion of sludge and coal in a 660 MW tangentially fired boiler. Appl. Therm. Eng. 2023, 227, 120344. [Google Scholar] [CrossRef]
- Wu, W.; Duan, L.; Duan, Y.; Li, L.; Liu, D.; Pallarès, D. Three-dimensional full-loop numerical simulation of coal and sludge co-combustion in a circulating fluidized bed. Fuel 2023, 337, 127235. [Google Scholar] [CrossRef]
- Ji, X.; Yang, Q.; Huang, X.; Wei, D.; Wang, T.; Sun, B. Combustion characteristics and NOx release of sludge combustion with coal in a 660 MW boiler. Appl. Therm. Eng. 2025, 258, 124749. [Google Scholar] [CrossRef]
- Kumar, R.; Singh, R.I. An investigation of co-combustion municipal sewage sludge with biomass in a 20kW BFB combustor under air-fired and oxygen-enriched condition. Waste Manag. 2017, 70, 114–126. [Google Scholar] [CrossRef] [PubMed]
- Pio, D.; Tarelho, L.; Nunes, T.; Baptista, M.; Matos, M. Co-combustion of residual forest biomass and sludge in a pilot-scale bubbling fluidized bed. J. Clean. Prod. 2020, 249, 119309. [Google Scholar] [CrossRef]
- Iordanidis, A.; Asvesta, A.; Vasileiadou, A. Combustion behaviour of different types of solid wastes and thier blends with lignite. Therm. Sci. 2019, 22, 1077–1088. [Google Scholar] [CrossRef]
- Wang, Y.; Jia, L.; Guo, J.; Wang, B.; Zhang, L.; Xiang, J.; Jin, Y. Thermogravimetric analysis of co-combustion between municipal sewage sludge and coal slime: Combustion characteristics, interaction and kinetics. Thermochim. Acta 2021, 706, 179056. [Google Scholar] [CrossRef]
- Wang, Y.; Liu, Y.; Yang, W.; Zhao, Q.; Dai, Y. Evaluation of combustion properties and pollutant emission characteristics of blends of sewage sludge and biomass. Sci. Total Environ. 2020, 720, 137365. [Google Scholar] [CrossRef]
- Gao, Y.; Wang, H.; You, C. On the co-combustion characteristics and kinetics of sludge, wood chips, and bituminous coal. Chem. Eng. Res. Des. 2024, 209, 237–247. [Google Scholar] [CrossRef]
- Rawat, S.S.; Sharma, A. Sugarcane bagasse ash—The future composite material: A literature review. Mater. Today Proc. 2023; in press. [Google Scholar]
- Iwuozor, K.O.; Adeniyi, A.G.; Emenike, E.C.; Ojeyemi, T.; Egbemhenghe, A.U.; Okorie, C.J.; Ayoku, B.D.; Saliu, O.D. Prospects and challenges of utilizing sugarcane bagasse as a bio-coagulant precursor for water treatment. Biotechnol. Rep. 2023, 39, e00805. [Google Scholar] [CrossRef]
- Karp, S.G.; Burgos, W.J.M.; Vandenberghe, L.P.S.; Diestra, K.V.; Torres, L.A.Z.; Woiciechowski, A.L.; Letti, L.A.J.; Pereira, G.V.M.; Thomaz-Soccol, V.; Rodrigues, C.; et al. Sugarcane: A Promising Source of Green Carbon in the Circular Bioeconomy. Sugar Tech 2022, 24, 1230–1245. [Google Scholar] [CrossRef]
- Chen, C.; Qin, S.; Chen, F.; Lu, Z.; Cheng, Z. Co-combustion characteristics study of bagasse, coal and their blends by thermogravimetric analysis. J. Energy Inst. 2019, 92, 364–369. [Google Scholar] [CrossRef]
- Beuel, P.; Torres, F.; Rieker, C.; Bursche, J.; Hensel, O. Effects of thermo-biological pretreatments on the combustion properties of wheat straw in a cascaded biorefinery concept. Fuel 2023, 332, 125836. [Google Scholar] [CrossRef]
- Zhang, Z.; Yan, G.; Zhu, G.; Zhao, P.; Ma, Z.; Zhang, B. Using microwave pretreatment to improve the high-gradient magnetic-separation desulfurization of pulverized coal before combustion. Fuel 2020, 274, 117826. [Google Scholar] [CrossRef]
- Rinsha, P.; Kavitha, S.; Ravi, Y.K.; Kathiresan, S.; Banu, J.R. Effect of surfactant on microwave pretreatment of sago waste for cost effective biomethane production. Fuel 2025, 381, 133433. [Google Scholar] [CrossRef]
- Fang, S.; Li, C.; Yan, S.; Huang, Z.; Lin, Y.; Zou, H.; Zhang, L. Ultrasonic pretreatment effect on the co-pyrolysis characteristics and products of bagasse and municipal sludge. J. Energy Inst. 2023, 111, 101240. [Google Scholar] [CrossRef]
- Ren, L.; Gong, Y.; Guo, Q.; Yu, G. Enhanced flotation of coal gasification fine slag based on ultrasonic pretreatment pulp and composite collector. Powder Technol. 2023, 424, 118530. [Google Scholar] [CrossRef]
- Fang, S.; Lin, Y.; Lin, Y.; Chen, S.; Shen, X.; Zhong, T.; Ding, L.; Ma, X. Influence of ultrasonic pretreatment on the co-pyrolysis characteristics and kinetic parameters of municipal solid waste and paper mill sludge. Energy 2020, 190, 116310. [Google Scholar] [CrossRef]
- Xu, X.; Tu, R.; Sun, Y.; Wu, Y.; Jiang, E.; Zhen, J. The influence of combined pretreatment with surfactant/ultrasonic and hydrothermal carbonization on fuel properties, pyrolysis and combustion behavior of corn stalk. Bioresour. Technol. 2019, 271, 427–438. [Google Scholar] [CrossRef]
- GB/T 212-2008; Proximate Analysis of Coal. Standardization Administration of China: Beijing, China, 2008.
- D5373−08; StandardTest Methods for Instrumental Determination of Carbon, Hydrogen, and Nitrogen in Laboratory Samples of Coal. ASTM International: West Conshohocken, PA, USA, 2008.
- Li, Y. Experimental Design and Data Processing; Chemical Industry Press: Beijing, China, 2017. [Google Scholar]
- Hu, S.; Ma, X.; Lin, Y.; Yu, Z.; Fang, S. Thermogravimetric analysis of the co-combustion of paper mill sludge and municipal solid waste. Energy Convers. Manag. 2015, 99, 112–118. [Google Scholar] [CrossRef]
- Ahmad, M.B.; Embaye, T.M.; Meng, Z.; Wang, F.; Cui, W.; Bukhsh, K.; Deng, S.; Bai, Z.; Ruan, R.; Wang, X. Experimental study on co-combustion of domestic garbage and sewage sludge: Evaluation of synergistic effect and thermo-kinetic behavior. J. Energy Inst. 2024, 114, 101658. [Google Scholar] [CrossRef]
- Hoang, N.V.; Furtado, A.; Donnan, L.; Keeffe, E.C.; Botha, F.C.; Henry, R.J. High-Throughput Profiling of the Fiber and Sugar Composition of Sugarcane Biomass. BioEnergy Res. 2016, 10, 400–416. [Google Scholar] [CrossRef]
- Fang, S.; Yu, Z.; Ma, X.; Lin, Y.; Lin, Y.; Chen, L.; Fan, Y.; Liao, Y. Co-pyrolysis characters between combustible solid waste and paper mill sludge by TG-FTIR and Py-GC/MS. Energy Convers. Manag. 2017, 144, 114–122. [Google Scholar] [CrossRef]
- Ni, Z.; Bi, H.; Jiang, C.; Sun, H.; Zhou, W.; Tian, J.; Lin, Q. Investigation of co-combustion of sewage sludge and coffee industry residue by TG-FTIR and machine learning methods. Fuel 2022, 309, 122082. [Google Scholar] [CrossRef]
- Zhi, Y.; Xu, D.; Jiang, G.; Yang, W.; Chen, Z.; Duan, P.; Zhang, J. A review of hydrothermal carbonization of municipal sludge: Process conditions, physicochemical properties, methods coupling, energy balances and life cycle analyses. Fuel Process. Technol. 2024, 254, 107943. [Google Scholar] [CrossRef]
- Cherpozat, L.; Loranger, E.; Daneault, C. Ultrasonic pretreatment effects on the bio-oil yield of a laboratory-scale slow wood pyrolysis. J. Anal. Appl. Pyrolysis 2017, 126, 31–38. [Google Scholar] [CrossRef]
- Nguyen, T.D.B.; Kang, T.-H.; Lim, Y.-I.; Eom, W.-H.; Kim, S.-J.; Yoo, K.-S. Application of urea-based SNCR to a municipal incinerator: On-site test and CFD simulation. Chem. Eng. J. 2009, 152, 36–43. [Google Scholar] [CrossRef]
- Singh, S.; Bharadwaja, S.T.P.; Yadav, P.K.; Moholkar, V.S.; Goyal, A. Mechanistic Investigation in Ultrasound-Assisted (Alkaline) Delignification of Parthenium hysterophorus Biomass. Ind. Eng. Chem. Res. 2014, 53, 14241–14252. [Google Scholar] [CrossRef]
- Esfahani, M.R.; Azin, M. Pretreatment of sugarcane bagasse by ultrasound energy and dilute acid. Asia-Pac. J. Chem. Eng. 2012, 7, 274–278. [Google Scholar] [CrossRef]
- Wang, Z.; He, Z.; Zhao, Z.; Yi, S.; Mu, J. Influence of ultrasound-assisted extraction on the pyrolysis characteristics and kinetic parameters of eucalyptus. Ultrason. Sonochem. 2017, 37, 47–55. [Google Scholar] [CrossRef]
- Koutsianitis, D.; Mitani, C.; Giagli, K.; Tsalagkas, D.; Halász, K.; Kolonics, O.; Gallis, C.; Csóka, L. Properties of ultrasound extracted bicomponent lignocellulose thin films. Ultrason. Sonochem. 2015, 23, 148–155. [Google Scholar] [CrossRef]






| Samples | Ultimate Analyses (wt.%) | Proximate Analyses (wt.%) | ||||||
|---|---|---|---|---|---|---|---|---|
| C | H | O | N | S | Volatile | Fixed Carbon | Ash | |
| BA | 42.98 | 6.25 | 43.42 | 0.69 | 0.16 | 76.2 | 17.3 | 6.5 |
| MS | 21.26 | 3.72 | 16.78 | 3.52 | 0.52 | 42.7 | 3.1 | 54.2 |
| Treatment Numbers | Factors | |||
|---|---|---|---|---|
| A | B | C | D | |
| 1 | 45 | 200 | 1 | 0.1 |
| 2 | 45 | 350 | 2 | 0.3 |
| 3 | 45 | 500 | 3 | 0.5 |
| 4 | 80 | 200 | 2 | 0.5 |
| 5 | 80 | 350 | 3 | 0.1 |
| 6 | 80 | 500 | 1 | 0.3 |
| 7 | 100 | 200 | 3 | 0.3 |
| 8 | 100 | 350 | 1 | 0.5 |
| 9 | 100 | 500 | 2 | 0.1 |
| Samples | ||||||
|---|---|---|---|---|---|---|
| 100BA | 100MS | 90BA10MS | 70BA30MS | 50BA50MS | ||
| Ti a | (°C) | 268.8 | 259.3 | 268.7 | 268.6 | 267.5 |
| Tf b | (°C) | 568.68 | 647.72 | 550.72 | 735.76 | 708.74 |
| Mf c | (%) | 12.47 | 55.1 | 18.92 | 13.43 | 24.59 |
| DTG1 d | (%/min) | −21.85 | −10.07 | −19.77 | −19.27 | −15.57 |
| DTGmean1 e | (%/min) | −7.19 | −5.58 | −6.66 | −6.66 | −5.71 |
| T1 f | (°C) | 239.0 | 300.0 | 238.2 | 239.1 | 239.7 |
| S1 g | ×10−7 | 38.21 | 12.89 | 33.12 | 24.17 | 17.52 |
| η1 h | % | 20.28 | 61.82 | 20.36 | 19.04 | 18.86 |
| DTG2 d | (%/min) | −30.18 | −6.97 | −27.52 | −25.67 | −22.74 |
| DTGmean2 e | (%/min) | −21.34 | −1.63 | −19.41 | −20.67 | −16.62 |
| T2 f | (°C) | 323.8 | 476.2 | 323.5 | 325.3 | 327.1 |
| S2 g | ×10−7 | 156.77 | 2.61 | 134.35 | 111.63 | 74.53 |
| η2 h | % | 47.23 | 38.18 | 46.59 | 46.36 | 46.63 |
| DTG3 d | (%/min) | −15.9 | − | −12.94 | −13.01 | −10.13 |
| DTGmean3 e | (%/min) | −2.63 | − | −2.47 | −2.75 | −2.42 |
| T3 f | (°C) | 440.0 | − | 441.8 | 444.1 | 458.8 |
| S3 g | ×10−7 | 10.17 | − | 8.05 | 6.75 | 4.83 |
| η3 h | % | 32.49 | − | 33.05 | 34.6 | 34.51 |
| S i | ×10−7 | 85.09 | 8.96 | 71.99 | 58.69 | 39.72 |
| Samples | ||||||||||
|---|---|---|---|---|---|---|---|---|---|---|
| 1 | 2 | 3 | 4 | 5 | 6 | 7 | 8 | 9 | ||
| Ti | (°C) | 276.4 | 275.2 | 266.9 | 262.4 | 266.4 | 264.2 | 264.9 | 262.3 | 266.2 |
| Tf | (°C) | 642.97 | 637.74 | 630.87 | 640.91 | 707.79 | 632.71 | 636.98 | 626.83 | 622.77 |
| Mf | (%) | 13.36 | 21.36 | 28.4 | 32.95 | 8.11 | 26.25 | 26.42 | 37.76 | 14.22 |
| DTG1 | (%/min) | −38.98 | −34.61 | −33.41 | −26.99 | −41.33 | −30.67 | −31.09 | −24.73 | −38.18 |
| DTGmean1 | (%/min) | −13.22 | −5.32 | −4.85 | −4.52 | −14.21 | −4.99 | −4.97 | −4.19 | −13.22 |
| T1 | (°C) | 324.7 | 327.4 | 330.5 | 336.2 | 326.1 | 331.1 | 333 | 335.9 | 323.2 |
| S1 | ×10−7 | 104.94 | - | - | - | 116.91 | - | - | - | 114.4 |
| η1 | % | 66.31 | 1.00 | 1.00 | 1.00 | 67.37 | 1.00 | 1.00 | 1.00 | 66.91 |
| DTG2 | (%/min) | −15.29 | - | - | - | −16.08 | - | - | - | −16.34 |
| DTGmean2 | (%/min) | −2.65 | - | - | - | −2.73 | - | - | - | −2.58 |
| T2 | (°C) | 413.9 | - | - | - | 428.3 | - | - | - | 423.8 |
| S2 | ×10−7 | 8.25 | - | - | - | 8.75 | - | - | - | 9.56 |
| η2 | % | 33.69 | - | - | - | 32.63 | - | - | - | 33.09 |
| S | ×10−7 | 72.36 | 38.15 | 36.03 | 27.63 | 81.61 | 34.63 | 34.57 | 24 | 79.7 |
| Mf | DTG1 | S | ||||||||||
|---|---|---|---|---|---|---|---|---|---|---|---|---|
| A | B | C | D | A | B | C | D | A | B | C | D | |
| K1 | 63.12 | 72.73 | 77.37 | 35.69 | −107.00 | −97.06 | −94.38 | −118.49 | 146.54 | 134.56 | 130.99 | 233.67 |
| K2 | 67.31 | 78.40 | 68.53 | 74.03 | −98.99 | −94.00 | −99.78 | −96.37 | 143.87 | 138.27 | 145.48 | 107.35 |
| K3 | 78.40 | 68.87 | 62.93 | 99.11 | −94.00 | −102.26 | −105.83 | −85.13 | 138.27 | 150.36 | 152.21 | 87.66 |
| k1 | 21.04 | 24.24 | 25.79 | 11.90 | −35.67 | −32.35 | −31.46 | −39.50 | 48.85 | 44.85 | 43.66 | 77.89 |
| k2 | 22.44 | 26.13 | 22.84 | 24.68 | −33.00 | −31.33 | −33.26 | −32.12 | 47.96 | 46.09 | 48.49 | 35.78 |
| k3 | 26.13 | 22.96 | 20.98 | 33.04 | −31.33 | −34.09 | −35.28 | −28.38 | 46.09 | 50.12 | 50.74 | 29.22 |
| R | 5.09 | 3.18 | 4.81 | 21.14 | 4.33 | 2.75 | 3.82 | 11.12 | 2.76 | 5.27 | 7.07 | 48.67 |
Disclaimer/Publisher’s Note: The statements, opinions and data contained in all publications are solely those of the individual author(s) and contributor(s) and not of MDPI and/or the editor(s). MDPI and/or the editor(s) disclaim responsibility for any injury to people or property resulting from any ideas, methods, instructions or products referred to in the content. |
© 2024 by the authors. Licensee MDPI, Basel, Switzerland. This article is an open access article distributed under the terms and conditions of the Creative Commons Attribution (CC BY) license (https://creativecommons.org/licenses/by/4.0/).
Share and Cite
Fang, S.; Zhang, L.; Chen, S.; Xie, Z.; Wang, L.; Chen, L.; Liang, W.; Lei, P. Study on the Co-Combustion Behavior of Municipal Sludge and Bagasse: Evaluation of Ultrasonic Pretreatment. Energies 2024, 17, 5882. https://doi.org/10.3390/en17235882
Fang S, Zhang L, Chen S, Xie Z, Wang L, Chen L, Liang W, Lei P. Study on the Co-Combustion Behavior of Municipal Sludge and Bagasse: Evaluation of Ultrasonic Pretreatment. Energies. 2024; 17(23):5882. https://doi.org/10.3390/en17235882
Chicago/Turabian StyleFang, Shiwen, Lifa Zhang, Shu Chen, Ziyuan Xie, Lanke Wang, Luyou Chen, Wei Liang, and Pengfei Lei. 2024. "Study on the Co-Combustion Behavior of Municipal Sludge and Bagasse: Evaluation of Ultrasonic Pretreatment" Energies 17, no. 23: 5882. https://doi.org/10.3390/en17235882
APA StyleFang, S., Zhang, L., Chen, S., Xie, Z., Wang, L., Chen, L., Liang, W., & Lei, P. (2024). Study on the Co-Combustion Behavior of Municipal Sludge and Bagasse: Evaluation of Ultrasonic Pretreatment. Energies, 17(23), 5882. https://doi.org/10.3390/en17235882
