A Finite-Element-Based Investigation of the Influence of the Production Environment on Fuel Cell Membrane Electrode Assemblies During Manufacturing
Abstract
1. Introduction
2. Materials and Methods
3. Experimental Results
3.1. Mechanical Properties
3.2. Hygroscopic Expansion Properties
4. FEM Analysis of the MEA Production Process
4.1. The Model and Assumption
- Step 1
- The web tension was applied in the form of a shell edge load onto the subgaskets. The initial temperature and humidity fields were set up to 21 °C and 50% RH (RH0, ideal conditions). The temperature was held constant throughout the rest of the simulation.
- Step 2
- The CCM was disposed between two subgaskets with adhesive components. The humidity was changed linearly from the initial conditions to the next humidity level (RH1).
- Step 3
- One GDL was glued onto the bottom of the subgasketed CCM. The humidity level was again modified (RH2).
- Step 4
- The second GDL was attached to the other side of the subgasketed CCM to form a five-layer MEA. The humidity level was set up to the next potential value (RH3).
4.2. Validation of the FEM Model
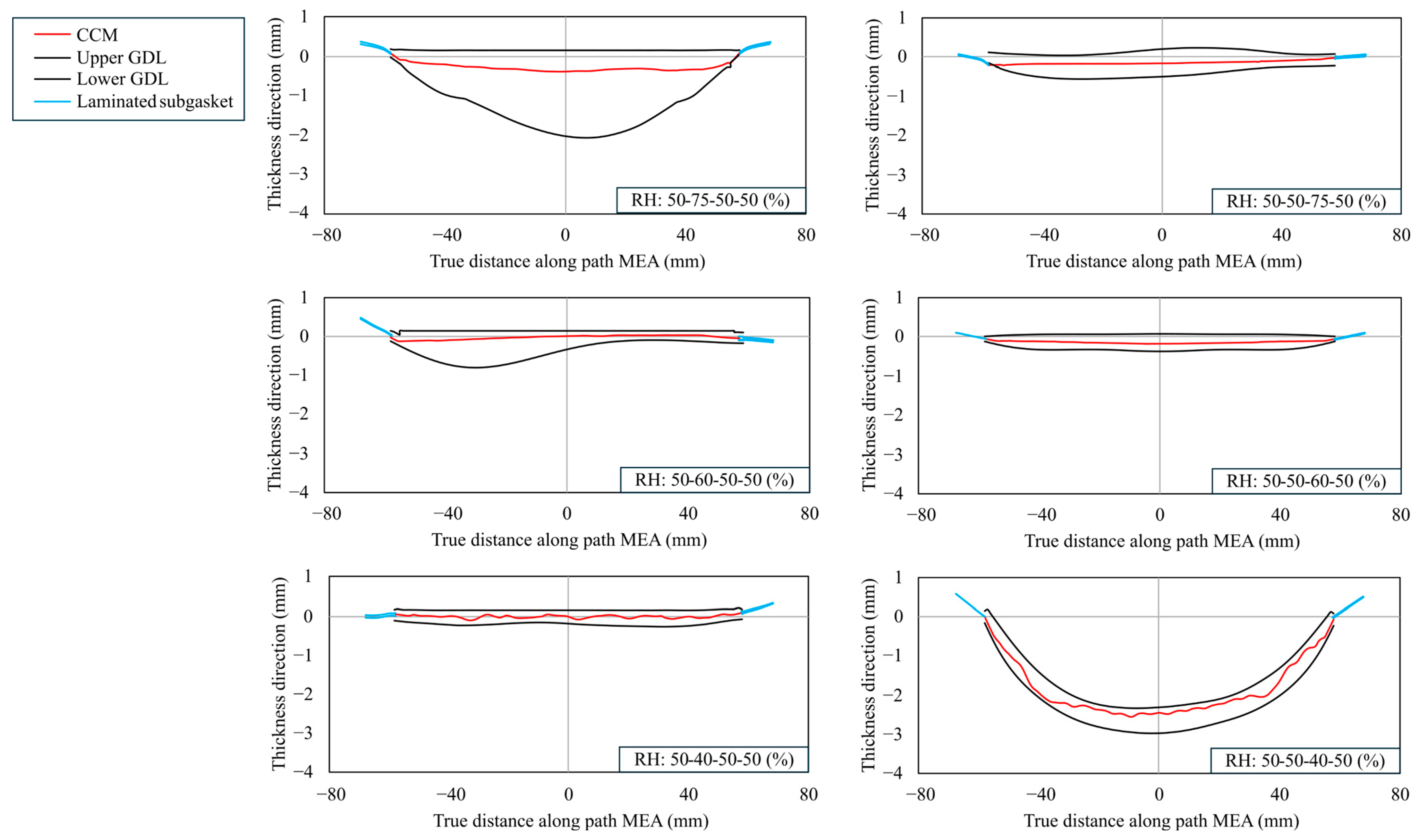
5. Results and Discussion
6. Conclusions
- (1)
- The mechanical properties of the CCM, such as its Young’s modulus and proportional limit stress, exhibit significant anisotropy and are influenced by humidity changes. The CCM experiments demonstrated isotropic hygroscopic swelling and shrinkage behavior. Any humidity changes during the MEA assembly process will result in in-plane stress and deformation.
- (2)
- For the five-layer MEA, an excessive reduction in humidity causes great stress on the CCM and the GDL, leading to bending of the whole MEA assembly. Hence, the final product of the MEA’s assembly should be stored in such an environment where excessively low humidity does not occur. On the contrary, humidity fluctuations above 50% can be quite well tolerated if the humidity can be restored before stacking.
- (3)
- During the R2R process of MEA assembly, humidity control exactly at the step of the installation of the first GDL is more crucial. The humidity control after the attachment of the first GDL can be less strict, as resetting the humidity back to 50% afterward will not significantly increase the stress on the CCM.
- (4)
- MEAs with only one GDL assembled should not be subjected to a humidity reduction process, as this will result in substantial bending deformation in the final assembled MEAs, which will not pass quality control for the stacking process and should be counted as scrap.
Author Contributions
Funding
Data Availability Statement
Conflicts of Interest
References
- Basu, S. (Ed.) Recent trends in Fuel Cell Science and Technology; Springer: New York, NY, USA, 2007. [Google Scholar]
- Wang, S.; Jiang, S.P. Prospects of fuel cell technologies. Natl. Sci. Rev. 2017, 4, 163–166. [Google Scholar] [CrossRef]
- Thomas, C.E. Fuel cell and battery electric vehicles compared. Int. J. Hydrog. Energy 2009, 34, 6005–6020. [Google Scholar] [CrossRef]
- Fultz, D.W.; Chuang, P.-Y.A. The Property and Performance Differences Between Catalyst Coated Membrane and Catalyst Coated Diffusion Media. J. Fuel Cell Sci. Technol. 2011, 8, 041010. [Google Scholar] [CrossRef]
- Bock, A.; Klein, K.; Rakousky, C.; Barsch, H. Gas Diffusion Layer for Fuel Cells. US20220393184A1, 8 December 2022. Available online: https://patents.google.com/patent/US20220393184A1/en (accessed on 4 October 2024).
- Tang, H.; Wang, S.; Jiang, S.P.; Pan, M. A comparative study of CCM and hot-pressed MEAs for PEM fuel cells. J. Power Sources 2007, 170, 140–144. [Google Scholar] [CrossRef]
- Arcella, V.; Merlo, L.; Ghielmi, A. Proton exchange membranes for fuel cells. In Advanced Membrane Science and Technology for Sustainable Energy and Environmental Applications; Elsevier: Amsterdam, The Netherlands, 2011; pp. 465–495. [Google Scholar]
- Kundu, S.; Simon, L.C.; Fowler, M.; Grot, S. Mechanical properties of NafionTM electrolyte membranes under hydrated conditions. Polymer 2005, 46, 11707–11715. [Google Scholar] [CrossRef]
- Tang, Y.; Karlsson, A.M.; Santare, M.H.; Gilbert, M.; Cleghorn, S.; Johnson, W.B. An experimental investigation of humidity and temperature effects on the mechanical properties of perfluorosulfonic acid membrane. Mater. Sci. Eng. A 2006, 425, 297–304. [Google Scholar] [CrossRef]
- Shang, Z.; Hossain, M.d.M.; Wycisk, R.; Pintauro, P.N. Poly(phenylene sulfonic acid)-expanded polytetrafluoroethylene composite membrane for low relative humidity operation in hydrogen fuel cells. J. Power Sources 2022, 535, 231375. [Google Scholar] [CrossRef]
- Kolde, J.A. Advanced Composite Polymer Electrolyte Fuel Cell Membranes. ECS Proc. Vol. 1995, 1995–23, 193–201. [Google Scholar] [CrossRef]
- Tang, Y.; Kusoglu, A.; Karlsson, A.M.; Santare, M.H.; Cleghorn, S.; Johnson, W.B. Mechanical properties of a reinforced composite polymer electrolyte membrane and its simulated performance in PEM fuel cells. J. Power Sources 2008, 175, 817–825. [Google Scholar] [CrossRef]
- Goulet, M.-A.; Khorasany, R.M.H.; De Torres, C.; Lauritzen, M.; Kjeang, E.; Wang, G.G.; Rajapakse, N. Mechanical properties of catalyst coated membranes for fuel cells. J. Power Sources 2013, 234, 38–47. [Google Scholar] [CrossRef]
- Uchiyama, T.; Kato, M.; Ikogi, Y.; Yoshida, T. Mechanical Degradation Mechanism of Membrane Electrode Assemblies in Buckling Test Under Humidity Cycles. J. Fuel Cell Sci. Technol. 2012, 9, 061005. [Google Scholar] [CrossRef]
- Sadeghi Alavijeh, A.; Bhattacharya, S.; Thomas, O.; Chuy, C.; Yang, Y.; Zhang, H.; Kjeang, E. Effect of hygral swelling and shrinkage on mechanical durability of fuel cell membranes. J. Power Sources 2019, 427, 207–214. [Google Scholar] [CrossRef]
- Ramani, D.; Singh, Y.; White, R.T.; Wegener, M.; Orfino, F.P.; Dutta, M.; Kjeang, E. 4D in situ visualization of mechanical degradation evolution in reinforced fuel cell membranes. Int. J. Hydrog. Energy 2020, 45, 10089–10103. [Google Scholar] [CrossRef]
- Park, J.; Kang, Z.; Bender, G.; Ulsh, M.; Mauger, S.A. Roll-to-roll production of catalyst coated membranes for low-temperature electrolyzers. J. Power Sources 2020, 479, 228819. [Google Scholar] [CrossRef]
- Kang, H.; Lee, C. Effect of tension on conductivity of gravure printed Ag layer in roll-to-roll process. Int. J. Precis. Eng. Manuf. 2015, 16, 99–104. [Google Scholar] [CrossRef]
- Lee, J.; Byeon, J.; Lee, C. Theories and Control Technologies for Web Handling in the Roll-to-Roll Manufacturing Process. Int. J. Precis. Eng. Manuf.-Green Technol. 2020, 7, 525–544. [Google Scholar] [CrossRef]
- Grenfell, K.P. Tension Control Paper-Making and Converting Machinery. IEEE Trans. Appl. Ind. 1964, 83, 234–240. [Google Scholar] [CrossRef]
- Finn, M.; Martens, C.J.; Zaretski, A.V.; Roth, B.; Søndergaard, R.R.; Krebs, F.C.; Lipomi, D.J. Mechanical stability of roll-to-roll printed solar cells under cyclic bending and torsion. Sol. Energy Mater. Sol. Cells 2018, 174, 7–15. [Google Scholar] [CrossRef]
- Zhang, X.A.; Jiang, Y.; Venkatesh, R.B.; Raney, J.R.; Stebe, K.J.; Yang, S.; Lee, D. Scalable Manufacturing of Bending-Induced Surface Wrinkles. ACS Appl. Mater. Interfaces 2020, 12, 7658–7664. [Google Scholar] [CrossRef]
- Kusoglu, A.; Karlsson, A.M.; Santare, M.H.; Cleghorn, S.; Johnson, W.B. Mechanical response of fuel cell membranes subjected to a hygro-thermal cycle. J. Power Sources 2006, 161, 987–996. [Google Scholar] [CrossRef]
- Uchiyama, T.; Kumei, H.; Yoshida, T. Catalyst layer cracks by buckling deformation of membrane electrode assemblies under humidity cycles and mitigation methods. J. Power Sources 2013, 238, 403–412. [Google Scholar] [CrossRef]
- DIN EN ISO 527-3; Plastics—Determination of Tensile Properties—Part 3: Test Conditions for Films and Sheets. DIN Deutsches Institut für Normung e. V.: Berlin, Germany, 2019.
- Valentine, S.; James, R.L.; Healy, J.P.; Lakshmanan, B. Manufacture of Unitized Electrode Assembly for PEM Fuel Cells. US7569082B2, 4 August 2009. Available online: https://patents.google.com/patent/US7569082B2/en?oq=US+7%2c569%2c082+B2 (accessed on 28 June 2024).
- Ouerghemmi, M.; Carral, C.; Mele, P. Determination of the Orthotropic Mechanical Elastic Properties of Gas Diffusion Layers for PEMFCs. J. Electrochem. Soc. 2023, 170, 104508. [Google Scholar] [CrossRef]
- Jamshidi, M.; Shokrieh, M.M. On the Schapery nonlinear viscoelastic model: A review. Eur. J. Mech.-A/Solids 2024, 108, 105403. [Google Scholar] [CrossRef]
- Chailleux, E.; Davies, P. Modelling the Non-Linear Viscoelastic and Viscoplastic Behaviour of Aramid Fibre Yarns. Mech. Time-Depend. Mater. 2003, 7, 291–303. [Google Scholar] [CrossRef]
- ASTM D882; Standard Test Method for Tensile Properties of Thin Plastic Sheeting. ASTM International: West Conshohocken, PA, USA, 2018.
- Woo, H.J.; Lee, K.S. Membrane Electrode Assembly. US10886550B2, 5 January 2021. Available online: https://patents.google.com/patent/US10886550B2/en?q=(subgasket)&q=(gas+diffusion+layer)&assignee=hyundai (accessed on 5 October 2024).
- Iverson, E.J.; Pierpont, D.M.; Yandrasits, M.A.; Hamrock, S.J.; Obradovich, S.J.; Peterson, D.G. Fuel Cell Subassemblies Incorporating Subgasketed Thrifted Membranes. US20110151350A1, 23 June 2011. Available online: https://patents.google.com/patent/US20110151350A1/en?oq=US20110151350A1 (accessed on 1 March 2024).
- Ringk, A.; Ringel, A. Membrane-Electrode Unit for an Electrochemical Cell, and Method for Manufacturing a Membrane-Electrode Unit. US20230378506A1, 23 November 2023. Available online: https://patents.google.com/patent/US20230378506A1/en?oq=US20230378506A1 (accessed on 7 February 2024).
- Joye, O. Assemblage Membrane-Électrode de Pile à Combustible, Procédé de Fabrication d’un tel Assemblage et Pile à Combustible Comprenant au Moins un tel Assemblage. FR3132394B3, 22 March 2024. Available online: https://patents.google.com/patent/FR3132394B3/en?oq=FR3132394B3 (accessed on 5 October 2024).
- Chen, J.; Liu, H.; Huang, Y.; Yin, Z. High-rate roll-to-roll stack and lamination of multilayer structured membrane electrode assembly. J. Manuf. Process. 2016, 23, 175–182. [Google Scholar] [CrossRef]
- Randová, A.; Bartovská, L.; Hovorka, Š.; Kačírková, M.; Vychodilová, H.; Sedláková, Z.; Šťastná, L.Č.; Brožová, L.; Žitka, J.; Sysel, P.; et al. Sorption of enantiomers and alcohols into Nafion® and the role of air humidity in the experimental data evaluation. Sep. Purif. Technol. 2015, 144, 232–239. [Google Scholar] [CrossRef]


















| Material | Density (g/mm3) | Poisson’s Ratio | Ex (MPa) | Ey (MPa) | Ez (MPa) | Yield Stress (MPa) |
|---|---|---|---|---|---|---|
| GDL | 6.25 × 10−4 | 0.25 | 3380 | 950 | 4.5 | 8.90 |
| Subgasket | 1.30 × 10−3 | 0.34 | 1973.00 | - | - | 110.30 |
| Relative Humidity (%) | Density (g/mm3) | EMD (MPa) | ETD (MPa) | Poisson’s Ratio | Proportional Limit Stress in MD (MPa) | Proportional Limit Stress in TD (MPa) |
|---|---|---|---|---|---|---|
| 25 | 1.5 × 10−3 | 593.80 | 499.30 | 0.3 | 6.63 | 5.00 |
| 40 | 1.5 × 10−3 | 587.53 | 478.41 | 0.3 | 6.08 | 4.73 |
| 50 | 1.5 × 10−3 | 588.30 | 477.41 | 0.3 | 5.84 | 4.49 |
| 60 | 1.5 × 10−3 | 576.42 | 453.40 | 0.3 | 5.65 | 4.24 |
| 75 | 1.5 × 10−3 | 568.62 | 347.25 | 0.3 | 5.47 | 3.98 |
| Length (mm) | Width (mm) | Thickness (mm) | |
|---|---|---|---|
| CCM | 200 | 116 | 0.030 |
| GDL | 200 | 116 | 0.185 |
| Window for active area | 194 | 110 | 0 |
| Subgasket | 360 | 136 | 0.040 |
Disclaimer/Publisher’s Note: The statements, opinions and data contained in all publications are solely those of the individual author(s) and contributor(s) and not of MDPI and/or the editor(s). MDPI and/or the editor(s) disclaim responsibility for any injury to people or property resulting from any ideas, methods, instructions or products referred to in the content. |
© 2024 by the authors. Licensee MDPI, Basel, Switzerland. This article is an open access article distributed under the terms and conditions of the Creative Commons Attribution (CC BY) license (https://creativecommons.org/licenses/by/4.0/).
Share and Cite
Ma, L.; Yan, Z.; Schabel, S.; Fleischer, J. A Finite-Element-Based Investigation of the Influence of the Production Environment on Fuel Cell Membrane Electrode Assemblies During Manufacturing. Energies 2024, 17, 5737. https://doi.org/10.3390/en17225737
Ma L, Yan Z, Schabel S, Fleischer J. A Finite-Element-Based Investigation of the Influence of the Production Environment on Fuel Cell Membrane Electrode Assemblies During Manufacturing. Energies. 2024; 17(22):5737. https://doi.org/10.3390/en17225737
Chicago/Turabian StyleMa, Ling, Zhuoqi Yan, Sebastian Schabel, and Jürgen Fleischer. 2024. "A Finite-Element-Based Investigation of the Influence of the Production Environment on Fuel Cell Membrane Electrode Assemblies During Manufacturing" Energies 17, no. 22: 5737. https://doi.org/10.3390/en17225737
APA StyleMa, L., Yan, Z., Schabel, S., & Fleischer, J. (2024). A Finite-Element-Based Investigation of the Influence of the Production Environment on Fuel Cell Membrane Electrode Assemblies During Manufacturing. Energies, 17(22), 5737. https://doi.org/10.3390/en17225737

