Experimental Study of a Silica Sand Sensible Heat Storage System Enhanced by Fins
Abstract
1. Introduction
2. Materials and Methods
2.1. Apparatus and Experimental Methods
2.2. Fin Configurations
2.3. Error Evaluation
3. Results and Discussion
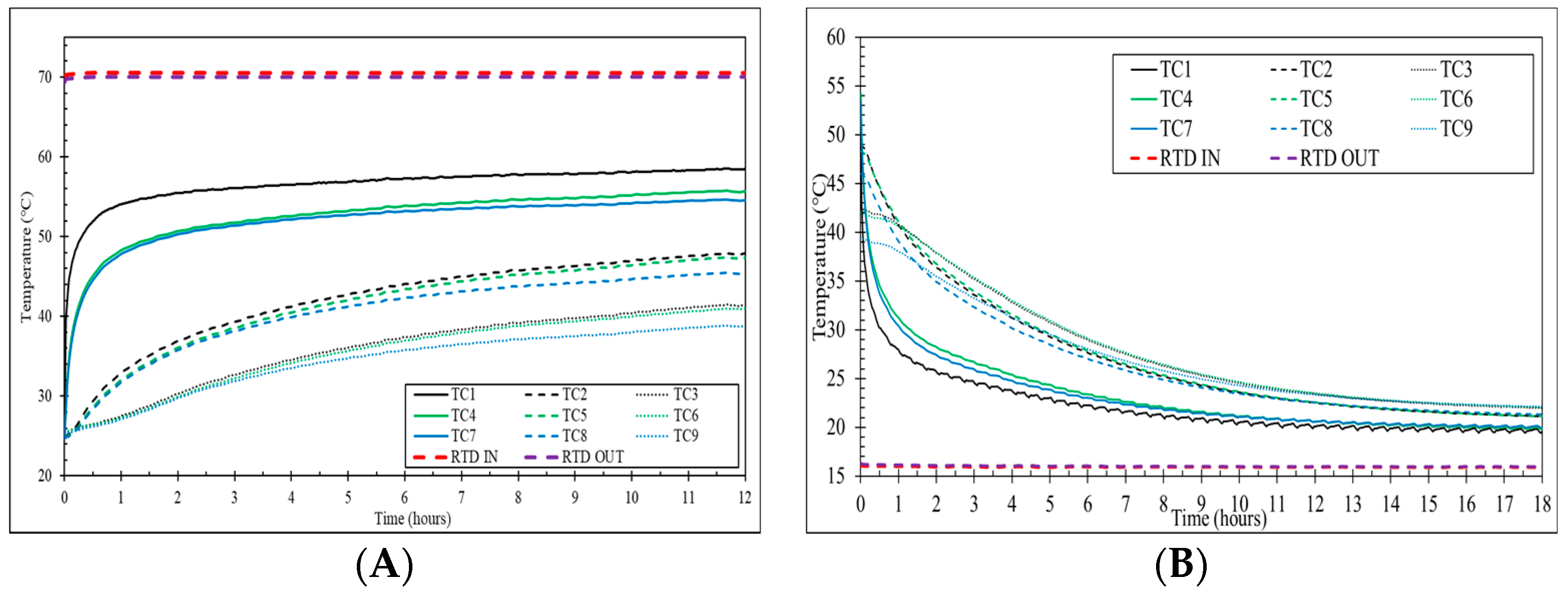
3.1. Benchmark Case
3.2. Annular Fin Configuration
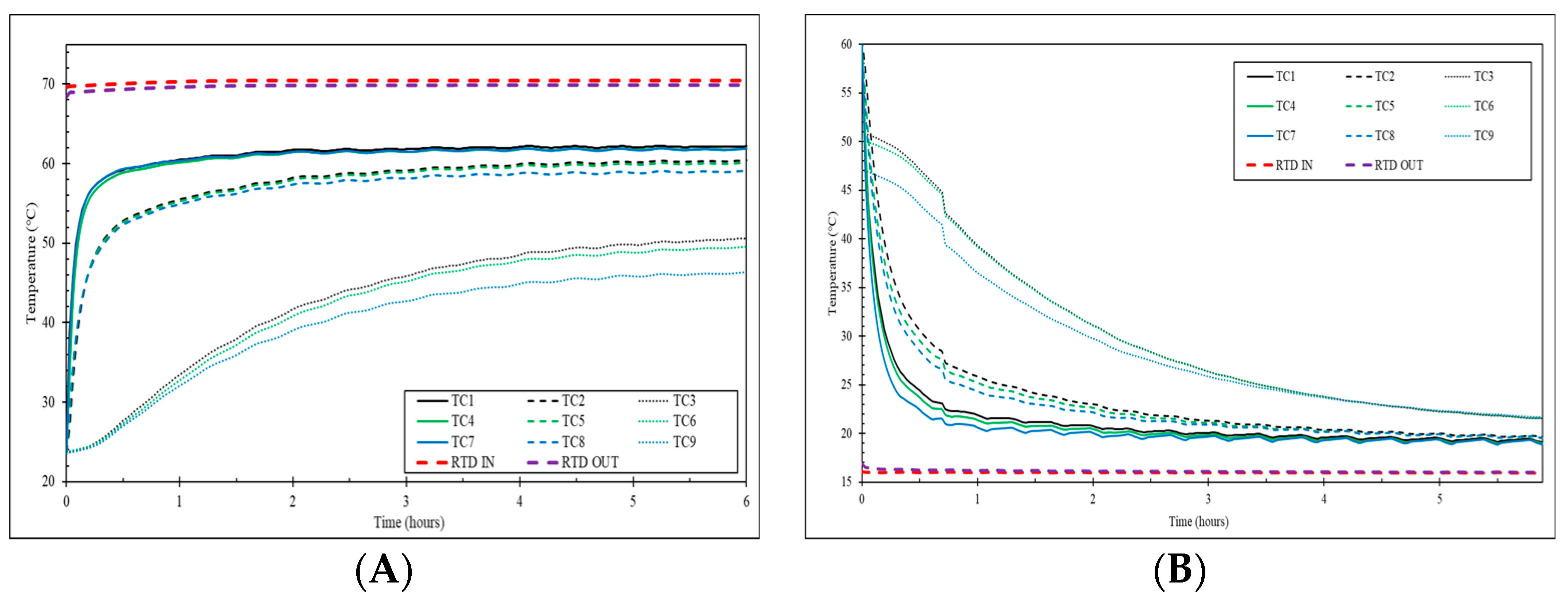
3.2.1. Ten-Annular-Fin Configuration
3.2.2. Twenty-Annular-Fin Configuration
3.3. Radial Fin Configurations
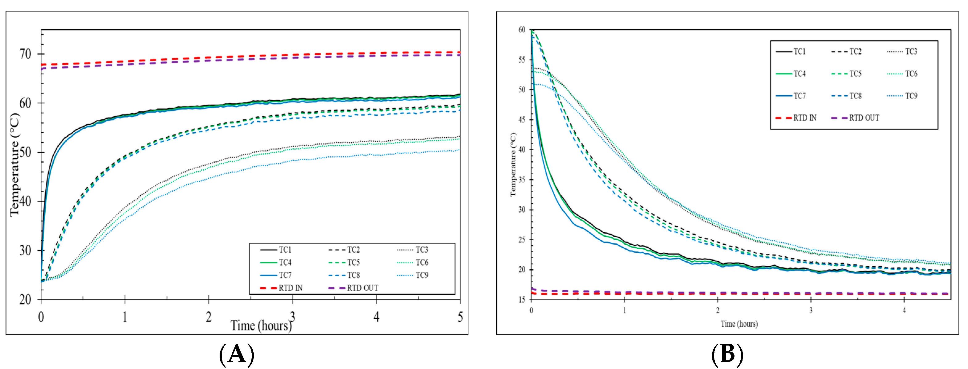
3.3.1. Four-Radial-Fin Configuration
3.3.2. Eight-Radial-Fin Configuration
3.4. System Energy Response
4. Conclusions
Author Contributions
Funding
Data Availability Statement
Acknowledgments
Conflicts of Interest
References
- Gautam, A.; Saini, R. A review on sensible heat based packed bed solar thermal energy storage system for low temperature applications. Sol. Energy 2020, 207, 937–956. [Google Scholar] [CrossRef]
- Shank, K.; Tiari, S. Computational thermal analysis of a latent heat storage unit augmented with porous fins. Case Stud. Therm. Eng. 2023, 49, 103383. [Google Scholar] [CrossRef]
- Shank, K.; Tiari, S. A Review on Active Heat Transfer Enhancement Techniques within Latent Heat Thermal Energy Storage Systems. Energies 2023, 16, 4165. [Google Scholar] [CrossRef]
- Fernandez, A.I.; Martínez, M.; Segarra, M.; Martorell, I.; Cabeza, L.F. Selection of materials with potential in sensible thermal energy storage. Sol. Energy Mater. Sol. Cells 2010, 94, 1723–1729. [Google Scholar] [CrossRef]
- Suresh, C.; Saini, R.P. Thermal performance of sensible and latent heat thermal energy storage systems. Int. J. Energy Res. 2020, 44, 4743–4758. [Google Scholar] [CrossRef]
- Mabrouk, R.; Naji, H.; Benim, A.C.; Dhahri, H. A State of the Art Review on Sensible and Latent Heat Thermal Energy Storage Processes in Porous Media: Mesoscopic Simulation. Appl. Sci. 2022, 12, 6995. [Google Scholar] [CrossRef]
- Lugolole, R.; Mawire, A.; Lentswe, K.; Okello, D.; Nyeinga, K. Thermal performance comparison of three sensible heat thermal energy storage systems during charging cycles. Sustain. Energy Technol. Assess. 2018, 30, 37–51. [Google Scholar] [CrossRef]
- Shank, K.; Bernat, J.; Justice, Q.; Niksiar, P.; Tiari, S. Experimental study of a latent heat thermal energy storage system assisted by variable-length radial fins. J. Energy Storage 2023, 68, 107692. [Google Scholar] [CrossRef]
- Khatod, K.J.; Katekar, V.P.; Deshmukh, S.S. An evaluation for the optimal sensible heat storage material for maximizing solar still productivity: A state-of-the-art review. J. Energy Storage 2022, 50, 104622. [Google Scholar] [CrossRef]
- Chandra Sekhara Reddy, M. (Ed.) Volume 1: Aerospace Heat Transfer; Computational Heat Transfer; Education; Environmental Heat Transfer; Fire and Combustion Systems; Gas Turbine Heat Transfer; Heat Transfer in Electronic Equipment; Heat Transfer in Energy Systems. In Proceedings of the ASME 2017 Heat Transfer Summer Conference, Bellevue, WA, USA, 8–11 July 2017; American Society of Mechanical Engineers: New York, NY, USA, 2017; Volume 1, p. 07092017. [Google Scholar]
- Kuravi, S.; Trahan, J.; Goswami, Y.; Jotshi, C.; Stefanakos, E.; Goel, N. Investigation of a High-Temperature Packed-Bed Sensible Heat Thermal Energy Storage System With Large-Sized Elements. J. Sol. Energy Eng. 2016, 135, 041008. [Google Scholar] [CrossRef]
- Sorour, M. Performance of a small sensible heat energy storage unit. Energy Convers. Manag. 1988, 28, 211–217. [Google Scholar] [CrossRef]
- Tehrani, S.S.M.; Shoraka, Y.; Taylor, R.A.; Menictas, C. Performance Analysis of High Temperature Sensible Heat Thermal Energy Storage Systems for Concentrated Solar Thermal Power Plants. In Proceedings of the ASME 2017 Heat Transfer Summer Conference, American Society of Mechanical Engineers Digital Collection, Bellevue, WA, USA, 9–12 July 2017. [Google Scholar] [CrossRef]
- Sharma, P.; Kshetrimayum, C.; A Faruqui, T.; Chauhan, A.; Kumar, P. Experimental characterization of a Sensible Heat Thermal Energy Storage using pebbles for charging. IOP Conf. Ser. Mater. Sci. Eng. 2020, 912, 042063. [Google Scholar] [CrossRef]
- Rao, C.R.C.; Niyas, H.; Muthukumar, P. Performance tests on lab–scale sensible heat storage prototypes. Appl. Therm. Eng. 2018, 129, 953–967. [Google Scholar] [CrossRef]
- Tiskatine, R.; Oaddi, R.; El Cadi, R.A.; Bazgaou, A.; Bouirden, L.; Aharoune, A.; Ihlal, A. Suitability and characteristics of rocks for sensible heat storage in CSP plants. Sol. Energy Mater. Sol. Cells 2017, 169, 245–257. [Google Scholar] [CrossRef]
- Prasad, L.; Muthukumar, P. Design and optimization of lab-scale sensible heat storage prototype for solar thermal power plant application. Sol. Energy 2013, 97, 217–229. [Google Scholar] [CrossRef]
- Elouali, A.; Kousksou, T.; El Rhafiki, T.; Hamdaoui, S.; Mahdaoui, M.; Allouhi, A.; Zeraouli, Y. Physical models for packed bed: Sensible heat storage systems. J. Energy Storage 2019, 23, 69–78. [Google Scholar] [CrossRef]
- Özrahat, E.; Ünalan, S. Thermal performance of a concrete column as a sensible thermal energy storage medium and a heater. Renew. Energy 2017, 111, 561–579. [Google Scholar] [CrossRef]
- Vijayan, S.; Arjunan, T.; Kumar, A.; Matheswaran, M. Experimental and thermal performance investigations on sensible storage based solar air heater. J. Energy Storage 2020, 31, 101620. [Google Scholar] [CrossRef]
- Zhang, L.; Qiao, L.; Wang, E.; Guan, C.; Fan, L.; Yu, Z. Thermal performance of a novel high-temperature sensible heat thermal storage steam generation system using solid graphite as material. J. Energy Storage 2023, 64, 107204. [Google Scholar] [CrossRef]
- Wang, S.; Abdulridha, A.; Naito, C.; Quiel, S.; Suleiman, M.; Romero, C.; Neti, S. Enhancement of conventional concrete mix designs for sensible thermal energy storage applications. J. Energy Storage 2023, 61, 106735. [Google Scholar] [CrossRef]
- Türkakar, G. Performance analysis and optimal charging time investigation of solar air heater with packed bed sensible heat storage device. Sol. Energy 2021, 224, 718–729. [Google Scholar] [CrossRef]
- Qiu, K.; Huang, Y.; Han, F.; Yang, Q.; Yu, W.; Cheng, L.; Cao, H. Numerical Simulation of Heat Transfer of Porous Rock Layers in Cold Sandy Regions. Atmosphere 2023, 14, 1812. [Google Scholar] [CrossRef]
- Tiari, S.; Hockins, A. An experimental study on the effect of annular and radial fins on thermal performance of a latent heat thermal energy storage unit. J. Energy Storage 2021, 44, 103541. [Google Scholar] [CrossRef]
- Thermocouple Probes with PFA Insulated Lead Wire|Omega. Available online: https://www.omega.com/en-us/temperaturemeasurement/temperature-probes/probes-with-lead-wires/tj36-icin/p/TJ36-CASS-18G-6-BX (accessed on 11 March 2024).
- RTD Probe with Insulated Wire and Shrink-Tube Support. Available online: https://www.omega.com/en-us/temperature-measurement/temperatureprobes/probes-with-lead-wires/pr-10/p/PR-10E-3-100-1-4-4 (accessed on 11 March 2024).
- F-1000-Blue-White Industries. Available online: https://www.blue-white.com/product/f-1000-digital-paddlewheel-flow-meter/ (accessed on 11 March 2024).
- “HT-18 Thermal Imager (220 × 160),” Hti. Available online: https://hti-instrument.com/products/ht18-thermal-imager (accessed on 11 March 2024).
- Moffat, R.J. Describing the uncertainties in experimental results. Exp. Therm. Fluid Sci. 1988, 1, 3–17. [Google Scholar] [CrossRef]
















| Configuration | Number of Fins | Thickness (mm) | Length from Central Pipe (cm) |
|---|---|---|---|
| 1a | 10 | 1.59 | 4.0 |
| 1b | 20 | 0.8 | 4.0 |
| 2a | 4 | 1.59 | 7.87 |
| 2b | 8 | 0.8 | 7.87 |
| Fin Configuration | Charging Time (Hours) | Percent Decrease (%) | Discharge Time (Hours) | Percent Decrease (%) |
|---|---|---|---|---|
| Benchmark | 11.86 | - | 17.58 | - |
| 10 Annular | 6.81 | 42.58 | 6.61 | 62.40 |
| 20 Annular | 5.19 | 56.24 | 5.58 | 68.26 |
| Fin Configuration | Charging Time (hours) | Percent Decrease (%) | Discharge Time (hours) | Percent Decrease (%) |
|---|---|---|---|---|
| Benchmark | 11.86 | - | 17.58 | - |
| 4 Radial Fins | 4.86 | 59.02 | 5.42 | 69.17 |
| 8 Radial Fins | 4.30 | 63.74 | 3.78 | 78.50 |
Disclaimer/Publisher’s Note: The statements, opinions and data contained in all publications are solely those of the individual author(s) and contributor(s) and not of MDPI and/or the editor(s). MDPI and/or the editor(s) disclaim responsibility for any injury to people or property resulting from any ideas, methods, instructions or products referred to in the content. |
© 2024 by the authors. Licensee MDPI, Basel, Switzerland. This article is an open access article distributed under the terms and conditions of the Creative Commons Attribution (CC BY) license (https://creativecommons.org/licenses/by/4.0/).
Share and Cite
Niksiar, P.; Rogillio, C.; Torab, H.; Tiari, S. Experimental Study of a Silica Sand Sensible Heat Storage System Enhanced by Fins. Energies 2024, 17, 5402. https://doi.org/10.3390/en17215402
Niksiar P, Rogillio C, Torab H, Tiari S. Experimental Study of a Silica Sand Sensible Heat Storage System Enhanced by Fins. Energies. 2024; 17(21):5402. https://doi.org/10.3390/en17215402
Chicago/Turabian StyleNiksiar, Paniz, Claire Rogillio, Hamid Torab, and Saeed Tiari. 2024. "Experimental Study of a Silica Sand Sensible Heat Storage System Enhanced by Fins" Energies 17, no. 21: 5402. https://doi.org/10.3390/en17215402
APA StyleNiksiar, P., Rogillio, C., Torab, H., & Tiari, S. (2024). Experimental Study of a Silica Sand Sensible Heat Storage System Enhanced by Fins. Energies, 17(21), 5402. https://doi.org/10.3390/en17215402

