Model-Based PID Tuning Method for a Reactor for Microwave-Assisted Chemistry
Abstract
1. Introduction
2. Related Work
3. The Controlled Microwave Reactor
4. Results—The Software PID Controller and the Reactor Model
4.1. The Modeling Method
- Set the general algorithm parameters:
- time step: s
- mass of the tube: kg
- specific heat of the tube: J/kg/°C
- cooling factor: s−1
- temperature measurement delay: s
- standard deviation of the temperature measurement fluctuation:
- PID function call interval: s
- Set the parameters describing the specific experiment:
- mass of the substance to be heated:
- its specific heat:
- ambient temperature:
- desired temperature:
- switch-off time:
- Init variables:
- time index:
- initial power: W
- current temperature equal to the ambient temperature:
- Calculate the temperature change based on Equation (5) and
- Update the current temperature:
- Check whether the maximum heating time has elapsed:
- If , then and go to 8
- If seconds have passed since the last PID function call:
- i.
- Retrieve the temperature value with the account of the measurement delay:
- ii.
- Add some fluctuation:
- iii.
- Call the PID function to obtain the attenuation value:
- iv.
- Update the current power:
- Update the time index:
- Go to 4
4.2. Microwave Absorption in the Cavity
4.3. Heating and Cooling the Reacting Mixture
4.4. The Temperature Measurement Fluctuations
4.5. The Cooling Factor
4.6. The Delay of the Temperature Measurement
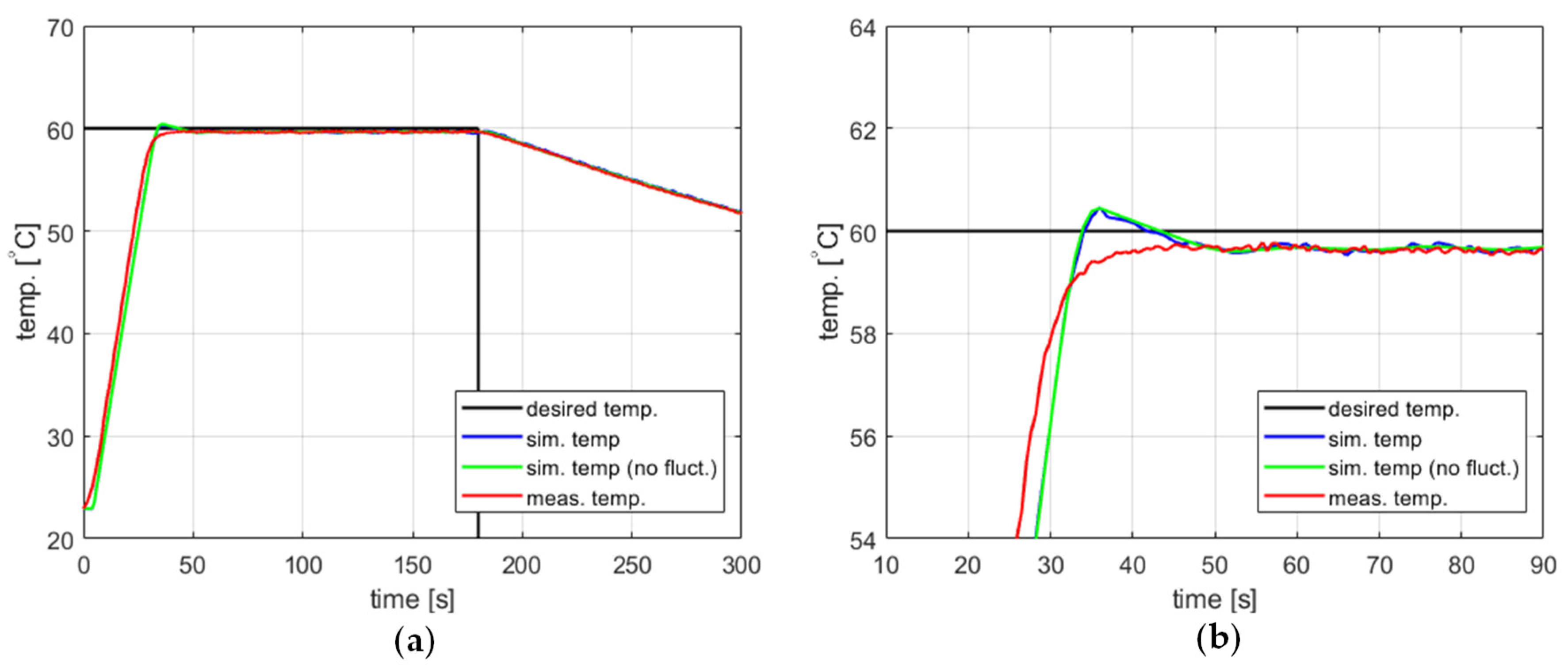
5. Discussion—Model Validation
5.1. The Effect of the Temperature Measurement Fluctuations
5.2. Controller Tuning for Various Setpoints
5.3. Poorly Tuned Controller
5.4. Heating the Substance Other Than Water
6. Conclusions
Author Contributions
Funding
Data Availability Statement
Acknowledgments
Conflicts of Interest
References
- Osepchuk, J.M. A History of Microwave Heating Applications. IEEE Trans. Microw. Theory Technol. 1984, 32, 1200–1224. [Google Scholar] [CrossRef]
- Sun, J.; Wang, W.; Yue, Q. Review on Microwave-Matter Interaction Fundamentals and Efficient Microwave-Associated Heating Strategies. Materials 2016, 9, 231. [Google Scholar] [CrossRef] [PubMed]
- Horikoshi, S.; Schiffmann, R.F.; Fukushima, J.; Serpone, N. Microwave Chemical and Materials Processing, 1st ed.; Springer Nature: Singapore, 2018; pp. 183–373. [Google Scholar] [CrossRef]
- Mohabeer, C.; Guilhaume, N.; Laurenti, D.; Schuurman, Y. Microwave-Assisted Pyrolysis of Biomass with and without Use of Catalyst in a Fluidised Bed Reactor: A Review. Energies 2022, 15, 3258. [Google Scholar] [CrossRef]
- Gerbec, J.A.; Magana, D.; Washington, A.; Strouse, G.F. Microwave-enhanced reaction rates for nanoparticle synthesis. J. Am. Chem. Soc. 2005, 127, 15791–15800. [Google Scholar] [CrossRef] [PubMed]
- Shibatani, A.; Matsumura, S.; Asakuma, Y.; Saptoro, A. Promoting Nucleation in Microwave-Assisted Nanoparticle Synthesis Using Combined Two-Stage Irradiation and Anti-Solvent Addition. Crys. Res. Technol. 2019, 54, 1800205. [Google Scholar] [CrossRef]
- Bálint, E.; Tajti, Á.; Keglevich, G. Application of the Microwave Technique in Continuous Flow Processing of Organophosphorus Chemical Reactions. Materials 2019, 12, 788. [Google Scholar] [CrossRef] [PubMed]
- Priecel, P.; Lopez-Sanchez, J.A. Advantages and Limitations of Microwave Reactors: From Chemical Synthesis to the Catalytic Valorization of Biobased Chemicals. ACS Sustain. Chem. Eng. 2019, 7, 3–21. [Google Scholar] [CrossRef]
- Nain, S.; Singh, R.; Ravichandran, S. Importance of Microwave Heating in Organic Synthesis. Adv. J. Chem. 2019, 2, 94–104. [Google Scholar] [CrossRef]
- Antonio, C.; Deam, R.T. Can ‘microwave effects’ be explained by enhanced diffusion? Phys. Chem. Chem. Phys. 2007, 9, 2976–2982. [Google Scholar] [CrossRef] [PubMed]
- Lew, A.; Krutzik, P.O.; Hart, M.E.; Chamberlin, A.R. Increasing Rates of Reaction: Microwave-Assisted Organic Synthesis for Combinatorial Chemistry. J. Comb. Chem. 2002, 4, 95–105. [Google Scholar] [CrossRef] [PubMed]
- Åström, K.J.; Hägglund, T. PID Controllers: Theory, Design and Tuning, 2nd ed.; Instrument Society of America: Pittsburgh, PA, USA, 1995. [Google Scholar]
- O’Dwyer, A. Handbook of PI and PID Controller Tuning Rules, 3rd ed.; Imperial College Press: London, UK, 2009. [Google Scholar]
- Ziegler, J.G.; Nichols, N.B. Optimum settings for automatic controllers. Trans. ASME 1942, 64, 759–768. [Google Scholar] [CrossRef]
- Cohen, G.H.; Coon, G.A. Theoretical Consideration of Retarded Control. Trans. ASME 1953, 75, 827–834. [Google Scholar] [CrossRef]
- Veronesi, M.; Visioli, A. On the Selection of Lambda in Lambda Tuning for PI(D) Controllers. IFAC-PapersOnLine 2020, 53, 4599–4604. [Google Scholar] [CrossRef]
- Bashishtha, T.K.; Singh, V.P.; Yadav, U.K.; Varshney, T. Reaction Curve-Assisted Rule-Based PID Control Design for Islanded Microgrid. Energies 2024, 17, 1110. [Google Scholar] [CrossRef]
- Zeng, D.; Zheng, Y.; Luo, W.; Hu, Y.; Cui, Q.; Li, Q.; Peng, C. Research on Improved Auto-Tuning of a PID Controller Based on Phase Angle Margin. Energies 2019, 12, 1704. [Google Scholar] [CrossRef]
- Olszewska-Placha, M.; Gryglewski, D.; Wojtasiak, W.; Celuch, M. Demonstration of a Combined Active-Passive Methodology for the Design of Solid-State-Fed Microwave Ovens. In Proceedings of the 18th International Conference on Microwave and High Frequency Applications AMPERE, Gothenburg, Sweden, 13–16 September 2021. [Google Scholar]
- Gwarek, W.; Jankowski, K.; Wojtasiak, W.; Borowska, M.; Korpas, P.; Kozłowski, S.; Gryglewski, D.; Kołodziej, D. Aplikator Mikrofalowy do Przeprowadzania Reakcji Chemicznych. Polish Patent 244854, 11 March 2024. Available online: https://api-ewyszukiwarka.pue.uprp.gov.pl/api/collection/749039c36da775a0df0ff024830b480c (accessed on 1 July 2024).
- Korpas, P.; Borowska, M.; Celuch, M.; Gryglewski, D.; Jankowski, K.; Kozłowski, S.; Wojtasiak, W. A Reactor for Microwave-Assisted Chemistry. IEEE Microwave Magazine accepted.
- Matlab Help Center. “Fit” Function Documentation. Available online: https://www.mathworks.com/help/curvefit/fit.html (accessed on 1 June 2024).















| Parameter | Value | Step (If Tunable) | Unit |
|---|---|---|---|
| Operating frequency | 5.7 ÷ 6 | 0.001 | GHz |
| Maximum power | 40 | - | W |
| Output power control range | −31 ÷ 0 | 1 | dB |
| Reaction vessel inner diameter | 10 | - | mm |
| Reaction vessel outer diameter | 12 | - | mm |
| Reaction vessel height (working part) | 70 | - | mm |
| Setpoint [°C] | Rise Time * [s] | Overshoot [°C] | Steady-State Err. [°C] | Power Variations [dBm] | ||||
|---|---|---|---|---|---|---|---|---|
| sim | meas | sim | meas | sim | meas | sim | meas | |
| 40 | 12.1 | 13.3 | 0.5 | 1 | <0.5 | <0.5 | 1 ** | 2 ** |
| 60 | 25.0 | 26.5 | 0 | 0 | <0.5 | <1 | 1 | 1 |
| 90 | 43.9 | 44.4 | 0 | 0 | <1.5 | <1 | 1 | 1 |
Disclaimer/Publisher’s Note: The statements, opinions and data contained in all publications are solely those of the individual author(s) and contributor(s) and not of MDPI and/or the editor(s). MDPI and/or the editor(s) disclaim responsibility for any injury to people or property resulting from any ideas, methods, instructions or products referred to in the content. |
© 2024 by the authors. Licensee MDPI, Basel, Switzerland. This article is an open access article distributed under the terms and conditions of the Creative Commons Attribution (CC BY) license (https://creativecommons.org/licenses/by/4.0/).
Share and Cite
Kozłowski, S.; Korpas, P.; Wojtasiak, W.; Borowska, M. Model-Based PID Tuning Method for a Reactor for Microwave-Assisted Chemistry. Energies 2024, 17, 4657. https://doi.org/10.3390/en17184657
Kozłowski S, Korpas P, Wojtasiak W, Borowska M. Model-Based PID Tuning Method for a Reactor for Microwave-Assisted Chemistry. Energies. 2024; 17(18):4657. https://doi.org/10.3390/en17184657
Chicago/Turabian StyleKozłowski, Sebastian, Przemysław Korpas, Wojciech Wojtasiak, and Magdalena Borowska. 2024. "Model-Based PID Tuning Method for a Reactor for Microwave-Assisted Chemistry" Energies 17, no. 18: 4657. https://doi.org/10.3390/en17184657
APA StyleKozłowski, S., Korpas, P., Wojtasiak, W., & Borowska, M. (2024). Model-Based PID Tuning Method for a Reactor for Microwave-Assisted Chemistry. Energies, 17(18), 4657. https://doi.org/10.3390/en17184657

