Next Article in Journal
Mechanical Behavior of Sediment-Type High-Impurity Salt Cavern Gas Storage during Long-Term Operation
Previous Article in Journal
Do Digital Adaptation, Energy Transition, Export Diversification, and Income Inequality Accelerate towards Load Capacity Factors across the Globe?
 
 
Font Type:
Arial Georgia Verdana
Font Size:
Aa Aa Aa
Line Spacing:
Column Width:
Background:
Article

An MPPT Control Strategy Based on Current Constraint Relationships for a Photovoltaic System with a Battery or Supercapacitor

1
College of Physical Science and Technology, Central China Normal University, Wuhan 430000, China
2
College of Intelligent Systems Science and Engineering, Hubei Minzu University, Enshi 445000, China
*
Authors to whom correspondence should be addressed.
Energies 2024, 17(16), 3982; https://doi.org/10.3390/en17163982
Submission received: 30 June 2024 / Revised: 29 July 2024 / Accepted: 9 August 2024 / Published: 11 August 2024
(This article belongs to the Section A2: Solar Energy and Photovoltaic Systems)

Abstract

When the battery or supercapacitor is connected to the output of a PV system, the conventional voltage equation expressing its mathematical model usually must be replaced by the current relationship to study the maximum power point tracking (MPPT) control theory. However, hitherto, there is a lack of an attempt to disclose the current constraint relationships at the maximum power point (MPP), which leads to the potential risk of MPPT failure. To solve this problem, in this paper, the MPPT constraint conditions on the basis of currents are built and then a new MPPT control strategy is proposed. In this strategy, a linearized model parameter of a PV cell is used as the bridge to find the current relationships. On the basis of them, some expressions involving the duty cycle are built to directly calculate the control signal of the MPPT controller. Meanwhile, an implementation method is designed to match this proposed MPPT strategy. Finally, some simulation experiments are conducted. The simulation results verify that the proposed MPPT constraint expressions are accurate and workable and that the proposed MPPT strategy and its implementation process are feasible and available. In addition, the simulation results also show that the proposed MPPT strategy has a better MPPT speed and the same MPPT accuracy when the P&O method and fuzzy algorithm are compared. By this work, the MPPT constraint conditions based on current relationships are first found, representing a breakthrough in disclosing the inherent relationships between different currents when the PV system is operating around the MPP.

1. Introduction

The battery and supercapacitor have been used in different PV systems more and more widely. As a result, more and more research is being conducted to involve these two energy storage devices. On the one hand, some works on a PV system with a battery have been given. For example, a battery-integrated boost DC/DC converter with MPPT control has been presented to save the voltage amplification stage and ensure the voltage stability [1]. Meanwhile, a robust MPPT strategy has been proposed to extract the global MPP and reduce the shadowing influence [2]. A consensus-based energy management system with a model predictive control has been presented to achieve better performance [3]. However, some works involving the supercapacitor have also been presented. For example, a hybrid storing system using a battery and supercapacitor has been analyzed to solve the mismatch problem between the source side and load side [4]. Meanwhile, in order to obtain better control effectiveness and performance and a low THD value, a hybrid storage system with a battery and supercapacitor involving the MPPT algorithm has been presented [5]. In addition, an active battery-supercapacitor hybrid energy system has managed to obtain better MPPT performance and improve low-frequency voltage oscillation [6]. In these contexts, the PV system with a battery and the PV system with a supercapacitor will be selected as the research subjects in this work. The main aim is to try to find a path for achieving fine MPPT performance and reducing the whole cost. In this paper, because there are similarities between the battery and supercapacitor, they will be analyzed together while their own equations will also be presented in a theoretical analysis.
Nowadays, a lot of works have been completed to analyze the issue of the MPPT methods or strategies for a PV system with a battery or supercapacitor. There are some conventional algorithms. For example, an improved P&O method with an adaptable step size has been proposed to reduce steady-state oscillation and power loss [7]. In order to efficiently charge a battery using a simple and robust MPPT method, an improved INC algorithm has been presented [8]. In order to achieve a better three-step charging process, a P&O method combining the INC algorithm has been proposed [9]. Meanwhile, a lot of intelligent MPPT algorithms have been presented. For example, a battery energy management algorithm using the ANN MPPT method has been proposed to ensure the safety of the battery and reduce the frequent fluctuation in load demand [10]. In order to rapidly acquire the MPP along with battery storage control, a PSO-ANFIS MPPT method has been presented [11]. In order to regulate the output current and ensure the effective battery utilization, a SMC MPPT method using a buck/boost converter has been proposed [12]. In addition, some SMC methods have also been used to achieve high-level robustness and better performance [13,14]. However, in these methods, the MPPT control process is relatively complex, especially for some intelligent algorithms, which usually leads to a longer calculation and processing time. Therefore, these algorithms usually imply a higher-cost microprocessor and longer design period. Meanwhile, there is no doubt that these shortcomings will be amplified with the incrementation of the number of batteries and supercapacitors. To solve this problem, in this work, three operating modes are designed to simplify the whole control process. In this conception, a PV system can quickly switch among three modes by judging whether the MPP can be successfully arrived at or not.
For these MPPT methods or strategies, the tracking speeds are usually different from each other. For example, the MPPT rapidity of the P&O method is determined by its tracking step size [7]. The main thought of the fuzzy controller for improving the MPPT performance is the flexible control of the step size [15]. The rapidity of the ANN MPPT method is determined by its training speed [16]. Except for these inherent characteristics, the rapidity of the MPPT method is also influenced by its sampling mode. For these existing MPPT methods or strategies, their real-time sampling data usually must be obtained by the measurement of the output parameters, which leads to a transmission delay from the input side to the output side. To deal with this question, the thought of some VWP methods in our previous works [17,18] is continuously used in this work and then a new MPPT control strategy is proposed. In this strategy, the fastest MPPT speed is ensured by the direct calculation of the real-time control signal. Meanwhile, the whole control process is also simplified by this direct calculation. In addition, when a PV system can not operate around the MPP, the control signal can still be directly calculated, which makes this very different from our previous works.
When the existing MPPT methods or strategies are implemented in practical application, some necessary data, which usually include the current, must be measured. For example, in order to track the global MPP, an MPPT method is implemented by scanning the current curves [19]. In order to improve the settling time and overshoot, an MPPT method with SMC and an ANN is proposed and implemented by measuring the charging current and SOC of the battery energy storage [20]. In order to improve the energy harvesting efficiency of a PV system with a battery, an MPPT method based on fuzzy logic and the jellyfish optimization algorithm is implemented by the measurement of the charging current and voltage [21]. In order to overcome the shortcomings of the unstable PV input and high randomness, a charging control strategy involved in MPPT control is implemented by measuring the charging current and voltage of a battery bank [22]. However, in practical application, it is usually inadvisable to use the current measurement circuit. The reason is that the implementation complexity and hardware cost of the current detected circuit are usually more than those of the voltage-detected one. To overcome this shortcoming, in this design of the implementation method, the current detected circuit is avoided and only a voltage measurement need be used, which greatly reduces the whole hardware cost.
As is known to all, some MPPT constraint conditions must be met to successfully track the MPP of a PV system. In our previous works [18,23], some equations were found to disclose the MPPT constraint conditions. For example, an MPPT control strategy for a PV system with an inverter was proposed by analyzing the MPPT constraint conditions [18]. Meanwhile, some MPPT constraint conditions based on the four-parameter cell model for 12 usual PV systems were proposed [23]. However, these constraint conditions constituted the disclosure of the relationships based on different voltages. Hitherto, there has been a lack of any work disclosing the MPPT constraint conditions based on different currents. This has led to a difficulty in analyzing the PV system with a battery or supercapacitor. The reason is that the current relationships under short-time constant voltage conditions are essential in this case. To fill in this gap, in this work, the MPPT constraint conditions based on current relationships are found, then an MPPT control process based on them is designed. Meanwhile, in this design, a linearized model parameter of a PV cell (a short-circuit current based on the Norton equivalent model of a PV cell) is used to reveal the inherent characteristics changing with irradiance and temperature. Therefore, these constraint conditions also disclose the relationships between output current and short-circuit current when the PV system is operating around the MPP under varying irradiance and temperature conditions.
The main aims, innovations, and contributions of this work can be illustrated as follows:
(1)
The MPPT constraint conditions of a PV system with a battery or supercapacitor are successfully found. This work is the first attempt to study this issue on the basis of the current relationships.
(2)
An MPPT control strategy is proposed. This work is the first attempt to design the MPPT strategy by using both proposed MPPT constraint conditions and an output current limitation.
(3)
The thought on three operating modes is proposed to design the control process. It is the key to implementing this proposed MPPT strategy without sampling any current data. Meanwhile, it is also the key to simplifying the whole control process, reducing the microprocessor cost, and shortening the whole design period.
(4)
Some equations corresponding to every mode are built to directly calculate the real-time control signal. They are the key to ensuring the good MPPT speed of this proposed MPPT strategy.
(5)
By this work, the MPPT constraint conditions based on current relationships are first found and the calculated control signal can be directly obtained in real time, which establishes a strong foundation for the later designing and application of a PV system with a battery or supercapacitor.
This manuscript can be arranged as follows: the theoretical analysis on the mathematical relationships between currents and the control signal is given, then the MPPT constraint conditions based on currents are studied in Section 2. Meanwhile, the MPPT control strategy and its implementation method are also presented in Section 2. By some simulation experiments, the accuracies of the proposed MPPT constraint conditions are tested; the feasibility, availability, and workability of the proposed MPPT strategy and its implementation method are verified; and the MPPT performance of the proposed MPPT strategy is compared with those of the P&O method and FLC method in Section 3. Finally, some discussions and conclusions are drawn in Section 4 and Section 5, respectively.

2. Materials and Methods

2.1. Principle

2.1.1. Mathematical Relationships between Currents and Control Signal

The configuration of PV system with battery or supercapacitor is shown in Figure 1. It consists of three parts: PV cell, buck DC/DC converter, and battery or supercapacitor. The mathematical model of PV cell can be expressed by Equation (1) [24,25,26], where C 1 and C 2 can be represented by Equations (2) and (3), respectively. It is a simplified model for the engineering application. A buck DC/DC converter is usually selected as the MPPT circuit and its mathematical model can be expressed by Equation (4) [27]. The mathematical expressions of battery and supercapacitor can be represented by Equations (5) and (6), respectively, where V B a t and V S u p represent the real-time voltages of battery and supercapacitor, respectively.
I P V = I sc [ 1 C 1 ( e V P V C 2 V oc 1 ) ]
C 1 = ( 1 I m / I sc ) exp ( V m / C 2 V oc )
C 2 = ( V m / V oc 1 ) / ln ( 1 I m / I sc )
V o = D V P V
V o = V B a t
V o = V S u p
If the power loss of the buck DC/DC converter can be ignored, Equation (7) can be given according to the law of conservation of energy.
I P V V P V = I o V o
Submitting Equation (4) into Equation (7), Equations (8) and (9) can be given.
I P V = D I o
D = I P V I o
Submitting Equations (1) and (4) into Equation (9), Equation (10) can be given.
D = I sc I o [ 1 C 1 ( e V o C 2 D V oc 1 ) ]
Finally, submitting Equations (5) and (6) into Equation (10), Equations (11) and (12) can be given.
D = I sc I o [ 1 C 1 ( e V B a t C 2 D V oc 1 ) ]
D = I sc I o [ 1 C 1 ( e V S u p C 2 D V oc 1 ) ]
Equation (11) is the mathematical relationship between output current and control signal for PV system with battery. Meanwhile, Equation (12) is the mathematical relationship between output current and control signal for PV system with supercapacitor. These two equations constitute the theoretical basis for calculating the real-time control signal when the output current is given or known.

2.1.2. Mathematical Relationships around the MPP

The mathematical relationships shown in Equations (11) and (12) are complex, which makes it difficult to quickly calculate the real-time control signal. Therefore, some tasks should be performed to find the simpler relationships between output current and control signal.
Because PV system usually operates around the MPP, in this work, the control signal corresponding to the MPP must be studied. When PV system is operating at the MPP, the model of PV cell (shown in Figure 2a) can be linearized as the linear equivalent model (shown in Figure 2b) according to our previous work in Ref. [28]. This model is called Norton equivalent model [28].
In this work, the Norton equivalent model of PV cell is used to find the relationship between output current and control signal at the MPP. Here, Figure 1 can be replaced in Figure 3 when the output is connecting with a battery. Meanwhile, Figure 1 can be replaced in Figure 4 when the output is connecting with a supercapacitor.
Some equations can be given by analyzing the PV systems shown in Figure 3 and Figure 4. Firstly, when these two PV systems are operating around the MPP, Equations (13) and (14) are satisfied for PV cell. Here, V M and I M represent the output voltage and current of PV cell, respectively, when PV system is operating around the MPP.
V P V = V M
I P V = I M
Meanwhile, according to our previous work in Ref. [28], Equation (15) is satisfied in this case.
I M = I s M 2
Secondly, for the battery, Equations (16) and (17) are satisfied when PV system is operating around the MPP. Here, V o M and I o M represent the output voltage and current of the DC/DC converter, respectively, corresponding to the MPP.
V o = V o M = V B a t
I o = I o M
Thirdly, for the supercapacitor, Equations (17) and (18) are satisfied when PV system is operating around the MPP.
V o = V o M = V S u p
Fourthly, for the buck DC/DC converter, Equation (19) is satisfied when PV system is operating around the MPP.
V o M = D M V M
In this case, Equation (7) can be replaced by Equation (20).
I M V M = I o M V o M
Submitting Equations (16), (17), and (19) into Equation (20), Equation (21) can be given.
I M = D M I o M | V o = V B a t
Meanwhile, submitting Equation (17)–(19) into Equation (20), Equation (22) can be also given.
I M = D M I o M | V o = V S u p
Finally, submitting Equation (15) into Equation (21), Equation (23) can be given.
D M = I s M 2 I o M | V o = V B a t
Meanwhile, submitting Equation (15) into Equation (22), Equation (24) can be also given.
D M = I s M 2 I o M | V o = V S u p
Obviously, Equation (23) is the mathematical relationship between currents and control signal for PV system with battery around its MPP. Meanwhile, Equation (24) is the mathematical relationship between currents and control signal for PV system with supercapacitor around its MPP. Therefore, when PV system is operating around the MPP, the control signal can be simply calculated by these two equations.

2.1.3. Constraint Conditions Based on Currents

In practical application, some constraint conditions must be met to ensure PV system is successfully operating around the MPP. Meanwhile, the charging current of battery or supercapacitor must be limited into a reasonable value. In this work, all these constraint conditions will be considered.
On the one hand, for the duty cycle of the PWM signal, it is obvious that Equation (25) is satisfied.
0 D 1
Submitting Equation (9) into Equation (25), Equation (26) can be given.
0 I P V I o
Obviously, when PV system is operating at the MPP, Equation (26) can be replaced by Equation (27).
0 I M I o M
Submitting Equation (15) into Equation (27), Equation (28) can be given.
0 I s M 2 I o M
On the other hand, in order to guarantee the safety, life, and steadiness of battery or supercapacitor, the charging current must be limited. Here, we assume that the limited value of the charging current is represented by I o U . In practical application, it will keep varying with different charging stages. Equation (29) can be used to express this constraint condition.
I o I o U
When PV system is operating at the MPP, Equation (29) can be replaced by Equation (30).
I o M I o U
Therefore, according to Equations (26) and (29), all constraint conditions can be expressed by Equation (31). When PV system is operating at the MPP, Equation (31) can be replaced by Equation (32).
{ 0 I P V I o I o I o U
{ 0 I s M 2 I o M I o M I o U
All in all, Equations (11), (12), (23), and (24) can be used to calculate the real-time control signal of PV system. Meanwhile, the expressions of the constraint conditions (expressed by Equations (31) and (32)) can be used as the judgement criteria to switch the control mode of the controller. These equations reflect the principle of the new MPPT control strategy based on current relationships in this work.

2.2. Proposition

According to the above-mentioned principle, a novel MPPT control strategy for PV system with battery or supercapacitor is proposed as follows. The MPPT control process is composed of two parts: on the one hand, when PV system exists the MPP and the charging current at this MPP is less than upper bound, PV system can operate around the MPP. The real-time control signal can be calculated by Equation (23) or Equation (24). On the other hand, when the charging current at the MPP is more than upper bound, PV system can not operate around the MPP. In this case, the control signal should be calculated by Equation (11) or Equation (12). In addition, Equations (31) and (32) can be used as the judgement criteria to switch the control mode of the controller.
There are some explanations, as follows: firstly, in the control process of this MPPT strategy, Equations (31) and (32) should be involved when the control signal is adjusted. Secondly, if there are two or more constraint conditions on the charging current, their minimum values should be always selected as the final limitation. Thirdly, some factors including the charging strategy, security, and so on should be also taken into account as part of current limitation.
The main aims of this MPPT control strategy can be illustrated as follows: on the one hand, for PV vehicle or PV car, it can be used to control the charging process of battery more simply. Obviously, in this strategy, only some simple calculation is needed to obtain the real-time control signal. On the other hand, for the battery or supercapacitor, some constraint conditions on the charging current can prolong their working life, ensure their changing safety, and guarantee their operational stability. In addition, the simple control process implies a low system cost, short design period, and concise hardware circuit, which is beneficial to the integration of the overall controller.

2.3. Implementation

2.3.1. System Structure and Control Process

The proposed MPPT strategy can be implemented by the system structure shown in Figure 5. Here, the real-time data of the irradiance and temperature should be measured by two sensors (irradiance sensor and temperature sensor). The real-time voltage of the battery or supercapacitor should be also measured. These three data can be used to calculate the real-time value of the control signal.
The main flow of the control process is shown in Figure 6. According to the system structure shown in Figure 5, Equations (33) and (34) are satisfied. Here, P o M represents the output power when PV system is operating at the MPP. P o U represents the output power when the output current is equal to I o U .
P o M = V o M I o M
P o U = V o I o U
Obviously, for PV system with battery, Equations (33) and (34) should be replaced by Equations (35) and (36), respectively. Meanwhile, for PV system with supercapacitor, Equations (33) and (34) should be replaced by Equations (37) and (38), respectively.
P o M = V B a t I o M
P o M = V S u p I o M
P o U = V B a t I o U
P o U = V S u p I o U
In the step “Sample V o , S and T“, the real-time data of the irradiance, temperature, and voltage (battery or supercapacitor) will be obtained. In the step “Calculate I o M ”, the output current of the DC/DC converter corresponding to the MPP will be calculated in real time. Its value will be compared with I o U . When it is less than I o U , it is possible that PV system operates around the MPP. In this case, if I s M is less than 2 I o M , PV system can successfully operate around the MPP. Now the operating mode is called “Mode I” and the duty cycle should be directly calculated by Equation (23) or Equation (24). By contrast, PV system can not operate around the MPP and the duty cycle is selected as 1. Now the operating mode is called “Mode II”. When I o M is more than I o U , it is impossible that PV system operates around the MPP. Now the operating mode is called “Mode III” and the duty cycle should be directly calculated by Equation (11) or Equation (12). Finally, in the step “Refresh PWM signal”, the PWM signal will be refreshed according to the calculated value of the duty cycle.

2.3.2. Acquisition of the Main Parameters

According to the control flow chart shown in Figure 6, it is very important to obtain the real-time values of some parameters. Firstly, according to our previous work in [17,28], I s M , P o M , V o c , and I s c are all functions of irradiance and temperature. They can be expressed by Equations (39)–(42), respectively. Obviously, when the real-time values of irradiance and temperature are measured by sensors, these parameters can be calculated by the corresponding equations in real time.
I s M = I s M ( S , T )
P o M = P o M ( S , T )
V o c = V o c ( S , T )
I s c = I s c ( S , T )
Secondly, when PV system with battery is operating around the MPP, Equation (23) should be replaced by Equation (43). Meanwhile, when PV system with supercapacitor is operating around the MPP, Equation (24) should be replaced by Equation (44). The main aim of these equations is to calculate the real-time value of the control signal corresponding to the MPP.
D M = I s M ( S , T ) × V B a t 2 × P o M ( S , T )
D M = I s M ( S , T ) × V S u p 2 × P o M ( S , T )
Thirdly, in the step “Calculate D“, when PV system with battery can not operate around the MPP, the real-time value of D should be calculated by Equation (45). Meanwhile, when PV system with supercapacitor can not operate around the MPP, the real-time value of the control signal should be calculated by Equation (46).
D = I sc ( S , T ) I o U [ 1 C 1 ( e V B a t C 2 D V oc ( S , T ) 1 ) ]
D = I sc ( S , T ) I o U [ 1 C 1 ( e V S u p C 2 D V oc ( S , T ) 1 ) ]

3. Results

3.1. Analysis for the MPPT Constraint Conditions

Some simulation experiments were conducted to verify the accuracy of the proposed MPPT constraint conditions. They were divided into two groups. The experiments in the first one were conducted under given different irradiance conditions and the results are shown in Table 1 and Figure 7, Figure 8, Figure 9 and Figure 10. The experiments in the second one were conducted under given different temperature conditions and the results are shown in Table 2 and Figure 11, Figure 12, Figure 13 and Figure 14. In these simulations, the four cell parameters I s c , V o c , I m , and V m were selected as 9.19 A, 22 V, 8.58 A, and 17.5 V at STC, respectively. In addition, a PV system with a supercapacitor was selected as the object in all experiments and the results for a PV system with a battery can be analyzed by analogy.

3.1.1. Results under Different Irradiance Conditions

In the first group of simulations, assume that T was set as 40 °C while both V S u p and S kept varying. In Table 1 and Figure 7, Figure 8, Figure 9 and Figure 10, I s M 1 , I s M 2 , I s M 3 , I s M 4 , and I s M 5 represent the values of I s M corresponding to 400 W/m2, 600 W/m2, 800 W/m2, 1000 W/m2, and 1200 W/m2, respectively. I o M 1 , I o M 2 , I o M 3 , I o M 4 , and I o M 5 represent the values of I o M corresponding to 400 W/m2, 600 W/m2, 800 W/m2, 1000 W/m2, and 1200 W/m2, respectively. Figure 7, Figure 8, Figure 9, and Figure 10 show the I o D curves when S was selected as 400 W/m2, 600 W/m2, 800 W/m2, and 1000 W/m2, respectively, under various V S u p conditions.
Table 1 shows that, firstly, both I s M and I o M keep varying with S. Their values keep increasing with the incrementation of S. Secondly, I o M decreases with the incrementation of V S u p . By contrast, I s M is not influenced by its incrementation. Thirdly, when the value of V S u p exceeds a certain boundary (critical value), the MPPT control will fail because the MPPT constraint conditions (expressed by Equation (28)) can not be satisfied. In Table 1, these values of 2 I o M have been marked by a box with a dotted line.
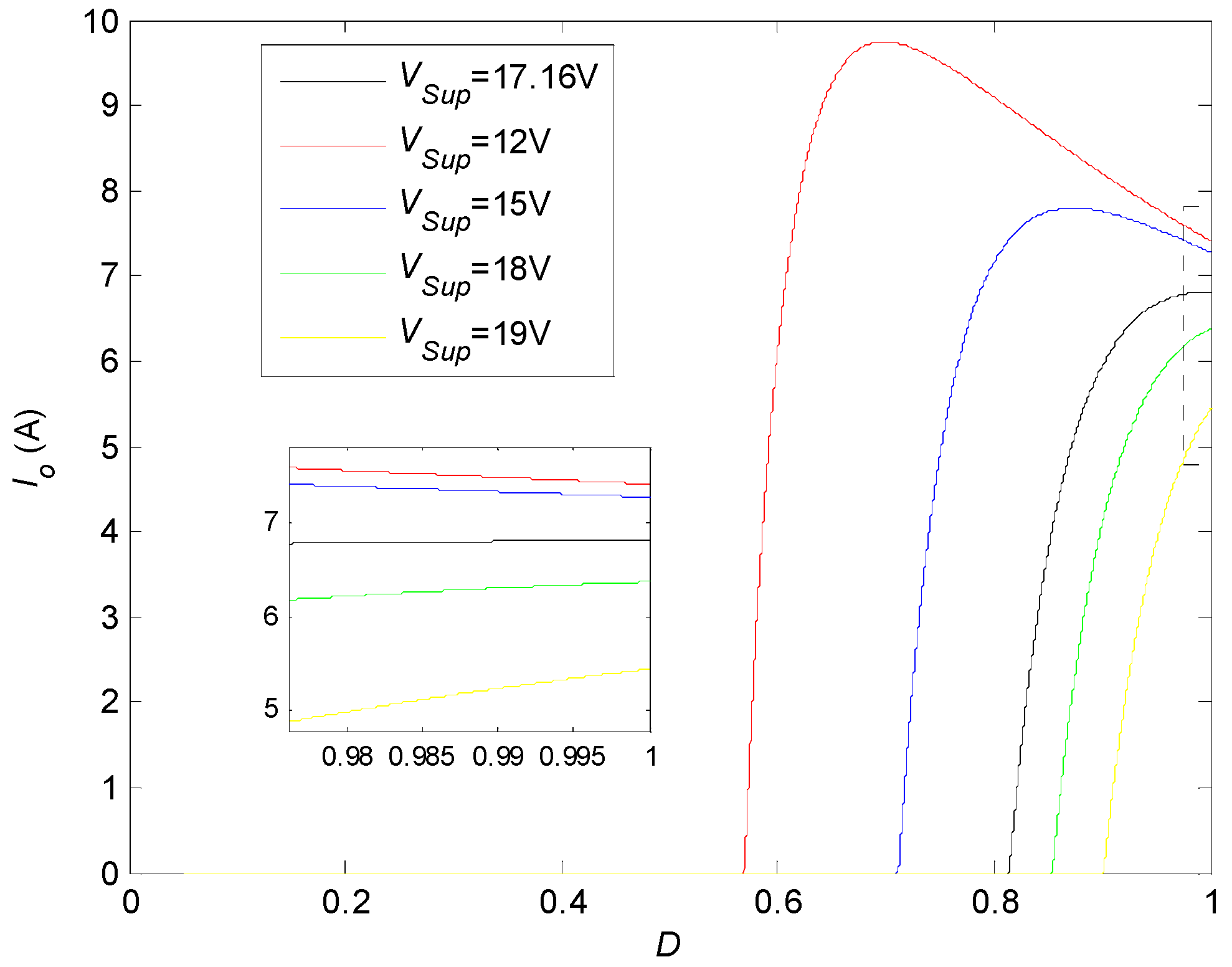
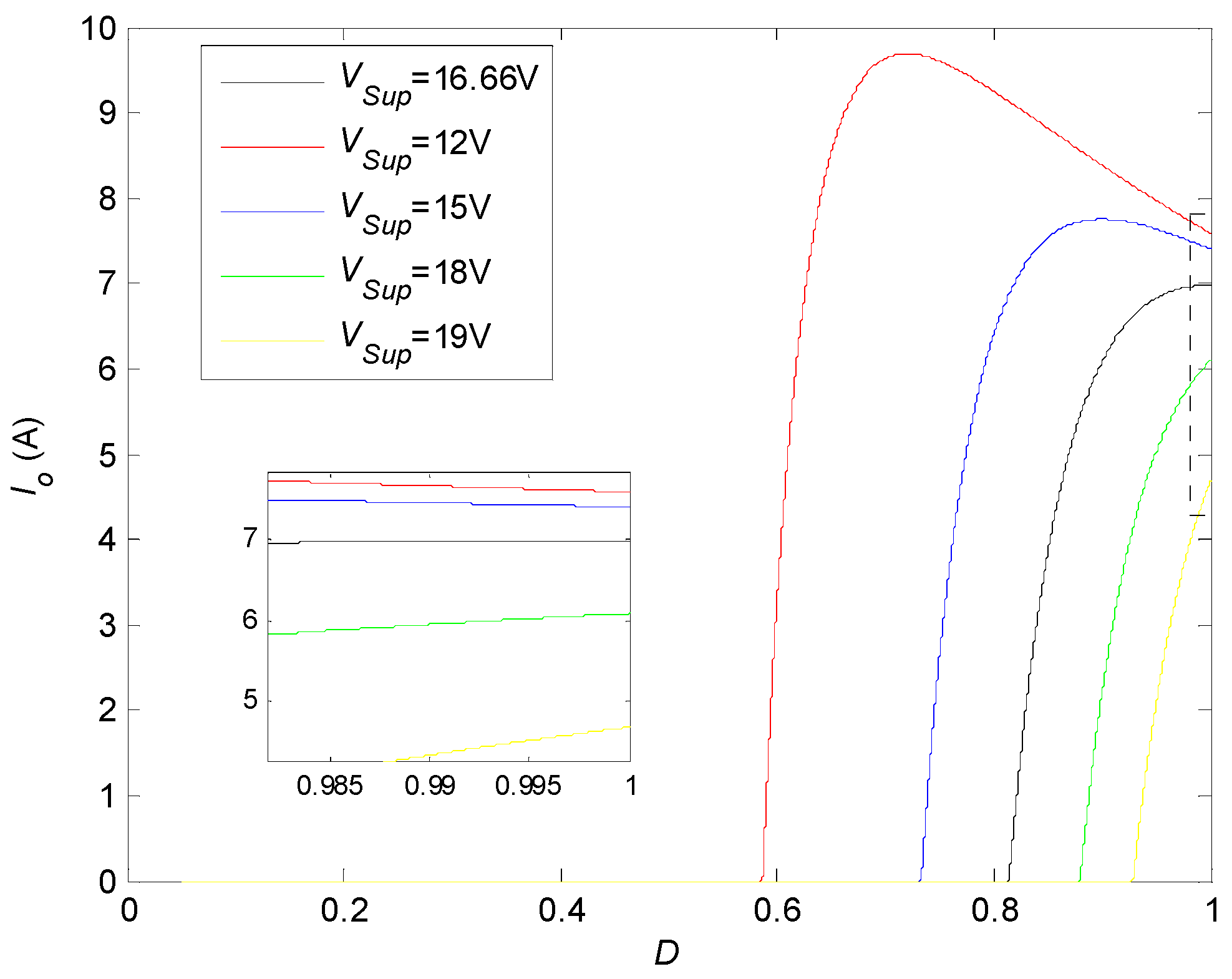
Figure 7, Figure 8, Figure 9 and Figure 10 show that, firstly, for the voltage of the supercapacitor ( V S u p ), there exists a critical value. When V S u p is less than it, such as when it is 12 V or 15 V, the PV system exists an MPP. By contrast, when V S u p is more than it, such as when it is 18 V or 19 V, there is no MPP for the PV system. In this case, the MPP can not be successfully tracked by any MPPT methods. In addition, the MPP can be just reached under the D = 1 condition when V S u p is just equal to this critical value. Secondly, the critical value of V S u p varies with S. Obviously, when S is selected as 400 W/m2, 600 W/m2, 800 W/m2, and 1000 W/m2, the values are equal to 16.8 V, 16.55 V, 16.66 V, and 17.13 V, respectively, under 40 °C conditions. Thirdly, the maximum values of the output current (corresponding to the MPP) will decrease with the incrementation of V S u p when T remains unchanged. Meanwhile, they will also decrease with the decrementation of S under unchanged T conditions.

3.1.2. Results under Different Temperature Conditions

In the second group of simulations, assume that S was set as 800 W/m2 while both V S u p and T kept varying. Table 1 and Figure 11, Figure 12, Figure 13 and Figure 14 shows the simulation results. Here, I s M 1 , I s M 2 , I s M 3 , I s M 4 , and I s M 5 represent the values of I s M corresponding to 0 °C, 15 °C, 30 °C, 45 °C, and 60 °C, respectively. I o M 1 , I o M 2 , I o M 3 , I o M 4 , and I o M 5 represent the values of I o M corresponding to 0 °C, 15 °C, 30 °C, 45 °C, and 60 °C, respectively. Figure 11, Figure 12, Figure 13 and Figure 14 show the I o D curves when T is selected as 0 °C, 15 °C, 30 °C, and 45 °C, respectively, under various V S u p conditions.
Table 2 shows that, firstly, both I s M and I o M keep varying with T. Their values keep decreasing with the incrementation of T. Secondly, I o M decreases with the incrementation of V S u p . By contrast, I s M is not influenced by its incrementation. Thirdly, when the value of V S u p exceeds a certain boundary (critical value), the MPPT control will fail because the MPPT constraint conditions (expressed by Equation (28)) can not be satisfied. In Table 2, these values of 2 I o M have been also marked by a box with a dotted line.
Figure 11, Figure 12, Figure 13 and Figure 14 show that, firstly, for the voltage of the supercapacitor ( V S u p ), there also exists a critical value. When V S u p is less than it, such as when it is 12 V or 15 V, the PV system exists an MPP. By contrast, when V S u p is more than it, such as when it is 19 V or 20 V as in Figure 11 and Figure 12, there is no MPP for the PV system. In this case, the MPP can not be successfully tracked by any MPPT methods. In addition, the MPP can be just reached under the D = 1 condition when V S u p is just equal to this critical value. Secondly, the critical value of V S u p varies with T. Obviously, when T is selected as 0 °C, 15 °C, 30 °C, and 45 °C, the values are equal to 18.67 V, 17.91 V, 17.16 V, and 16.41 V, respectively, under 800 W/m2 conditions. Thirdly, the maximum values of the output current (corresponding to the MPP) will decrease with the incrementation of V S u p , when S remains unchanged. Meanwhile, they will also decrease with the incrementation of T under unchanged S conditions.
In a word, a conclusion can be drawn that the MPPT constraint conditions expressed by Equation (28) are accurate regardless of the varying irradiance or temperature.

3.2. Verification of the Whole Control Process

Some simulation experiments were conducted to verify the feasibility, availability, and workability of the proposed MPPT control strategy. They were divided into three groups. The experiments in the first one were conducted under given different irradiance conditions (shown in Figure 15) and the results are shown in Table 3 and Figure 16, Figure 17 and Figure 18. The experiments in the second one were conducted under given different temperature conditions (shown in Figure 19) and the results are shown in Table 4 and Figure 20, Figure 21 and Figure 22. The experiments in the third one were conducted under given supercapacitor voltage conditions (shown in Figure 23) and the results are shown in Table 5 and Figure 24, Figure 25 and Figure 26. In these simulations, the four cell parameters were same as in Section 3.1. In addition, D 1 represents the calculated value of the duty cycle corresponding to “Mode I” in Figure 6. Clearly, D 1 is equal to D M . D 2 represents the value of the duty cycle corresponding to “Mode II” in Figure 6. Clearly, D 2 is equal to 1. D 3 represents the calculated value of the duty cycle corresponding to “Mode III” in Figure 6. Clearly, D 3 should be calculated by Equation (12). “/” represents a non-existent value.

3.2.1. Results under Different Irradiance Conditions

In the first group of simulations, assume that V S u p , T, and I o U were set as 17.3 V, 25 °C, and 8 A, respectively. Table 3 shows the simulation results of I s M , 2 I o M , P o M , P o U , D 1 , D 2 , D 3 , and I o under different irradiance conditions. Figure 15 shows the varying curve of the given irradiance. Figure 16, Figure 17 and Figure 18 show the corresponding curves of the power, control signal, and current, respectively.
Table 3 shows that, firstly, with the incrementation of irradiance, the values of I s M , 2 I o M , and P o M will increase. Meanwhile, when I o is not limited, its value also increases. Secondly, when the irradiance is selected as 400 W/m2, 450 W/m2, 750 W/m2, 800 W/m2, 850 W/m2, and 900 W/m2, both I s M 2 I o M and P o M P o U are satisfied. In these cases, the PV system is operating at “Mode I”. Thirdly, when the irradiance is selected as 500 W/m2, 550 W/m2, 600 W/m2, 650 W/m2, and 700 W/m2, both I s M > 2 I o M and P o M P o U are satisfied. In these cases, the PV system is operating at “Mode II”. Fourthly, when the irradiance is selected as 950 W/m2, 1000 W/m2, 1050 W/m2, 1100 W/m2, 1150 W/m2, and 1200 W/m2, both I s M 2 I o M and P o M > P o U are satisfied. In these cases, the output current is limited and the PV system is operating at “Mode III”.
Figure 16, Figure 17 and Figure 18 show that, firstly, in the time interval [0, 0.1], P o M is more than P o U . In this case, the PV system exists the MPP, but it can not operate at this point. The actual output power ( P o in Figure 16) is equal to P o U , and it is less than P o M . Meanwhile, the actual output current ( I o in Figure 18) is also less than I o M . Secondly, in time intervals [0.2, 0.4] and [0.5, 0.7], P o M is less than P o U but I s M is greater than 2 I o M . In these cases, the PV system does not exist the MPP and the duty cycle is equal to 1. Thirdly, in other intervals, P o M is less than P o U and I s M is less than 2 I o M . In these cases, the PV system exists the MPP and it can operate around this point.
In a word, the simulation results and curves illustrate that the PV system can operate along with the control process shown in Figure 6, which means that the proposed MPPT control strategy is feasible, available, and workable under varying irradiance conditions.

3.2.2. Results under Different Temperature Conditions

In the second group of simulations, assume that V S u p , S, and I o U were set as 17.3 V, 930 W/m2, and 8 A, respectively. Table 4 shows the simulation results of I s M , 2 I o M , P o M , P o U , D 1 , D 2 , D 3 , and I o under different temperature conditions. Figure 19 shows the varying curve of the given temperature. Figure 20, Figure 21 and Figure 22 show the corresponding curves of the power, control signal, and currents, respectively.
Table 4 shows that, firstly, with the incrementation of temperature, the values of 2 I o M and P o M will decrease while I s M will increase. Meanwhile, when I o is not limited, its value will decrease. Secondly, when the temperature is selected as 30 °C, both I s M 2 I o M and P o M P o U are satisfied. In this case, the PV system is operating at “Mode I”. Thirdly, when the temperature is selected as 35 °C, 40 °C, 45 °C, and 50 °C, both I s M > 2 I o M and P o M P o U are satisfied. In these cases, the PV system is operating at “Mode II”. Fourthly, when the temperature is selected as 0 °C, 5 °C, 10 °C, 15 °C, 20 °C, and 25 °C, both I s M 2 I o M and P o M > P o U are satisfied. In these cases, the output current is limited and the PV system is operating at “Mode III”.
Figure 20, Figure 21 and Figure 22 show that, firstly, in time interval [0, 0.1], P o M is more than P o U . In this case, the PV system exists the MPP, but it can not operate at this point. The actual output power ( P o in Figure 20) is equal to P o U , and it is less than P o M . Meanwhile, the actual output current ( I o in Figure 22) is also less than I o M . Secondly, in time intervals [0.1, 0.3], [0.4, 0.5], [0.6, 0.7], and [0.8, 1], P o M is less than P o U but I s M is greater than 2 I o M . In these cases, the PV system does not exist the MPP and the duty cycle is equal to 1. Thirdly, in other intervals, P o M is less than P o U and I s M is less than 2 I o M . In these cases, the PV system exists the MPP and it can operate around this point.
In a word, the simulation results and curves illustrate that a PV system can operate along with the control process shown in Figure 6, which means that the proposed MPPT control strategy is feasible, available, and workable under varying temperature conditions.

3.2.3. Results under Different Supercapacitor Voltage Conditions

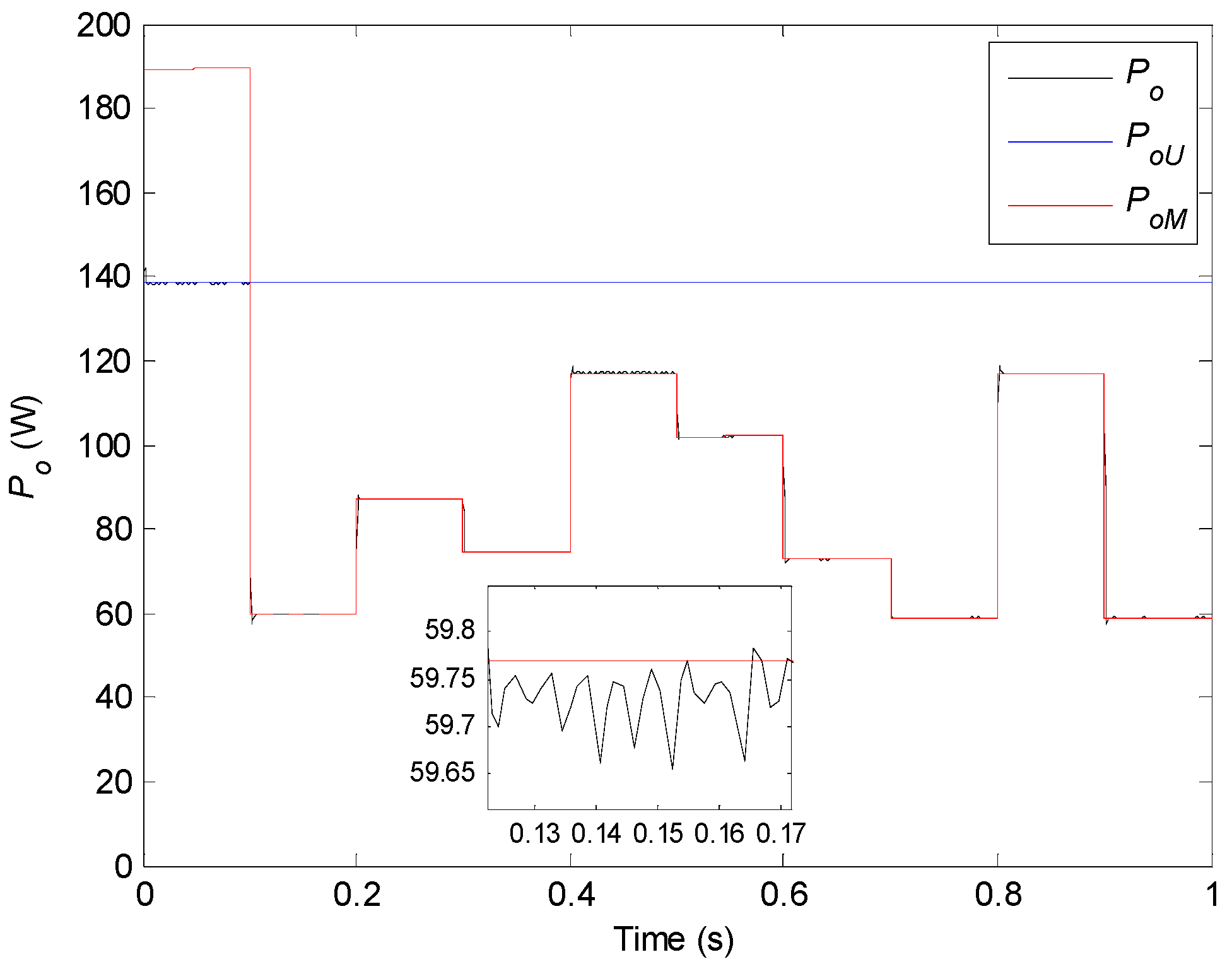
In the third group of simulations, assume that S, T, and I o U were set as 600 W/m2, 25 °C, and 8 A, respectively. Table 5 shows the simulation results of I s M , 2 I o M , P o M , P o U , D 1 , D 2 , D 3 , and I o under different supercapacitor voltage conditions. Figure 23 shows the varying curve of the given supercapacitor voltage. Figure 24, Figure 25 and Figure 26 show the corresponding curves of the power, control signal, and current, respectively.
Table 5 shows that, firstly, with the incrementation of the supercapacitor voltage, the values of I s M and P o M keep unchanged while 2 I o M will decrease. Meanwhile, P o U will increase. In addition, when I o is not limited, its value will decrease. Secondly, when the supercapacitor voltage is selected as 11 V, 12 V, 13 V, 14 V, 15 V, 16 V, and 17 V, both I s M 2 I o M and P o M P o U are satisfied. In these cases, the PV system is operating at “Mode I”. Thirdly, when the supercapacitor voltage is selected as 18 V, 19 V, and 20 V, both I s M > 2 I o M and P o M P o U are satisfied. In these cases, the PV system is operating at “Mode II”. Fourthly, when the supercapacitor voltage is selected as 8 V, 9 V, and 10 V, both I s M 2 I o M and P o M > P o U are satisfied. In these cases, the output current is limited and the PV system is operating at “Mode III”.
Figure 24, Figure 25 and Figure 26 show that, firstly, in time interval [0.9, 1], P o M is more than P o U . In this case, the PV system exists the MPP, but it can not operate at this point. The actual output power ( P o in Figure 24) is equal to P o U , and it is less than P o M . Meanwhile, the actual output current ( I o in Figure 26) is also less than I o M . Secondly, in time intervals [0, 0.1], [0.2, 0.3], and [0.5, 0.6], P o M is less than P o U but I s M is greater than 2 I o M . In these cases, the PV system does not exist the MPP and the duty cycle is equal to 1. Thirdly, in other intervals, P o M is less than P o U and I s M is less than 2 I o M . In these cases, the PV system exists the MPP and it can operate around this point.
In a word, the simulation results and curves illustrate that a PV system can operate along with the control process shown in Figure 6, which means that the proposed MPPT control strategy is feasible, available, and workable under varying supercapacitor voltage conditions.
All in all, the new MPPT control strategy proposed in Section 2.2 and implemented in Section 2.3 is feasible, available, and workable regardless of the varying irradiance, temperature, or supercapacitor voltage.

3.3. Comparison

To assess the MPPT performance of the proposed MPPT control strategy, some simulation experiments were also conducted under varying irradiance and temperature conditions when the supercapacitor voltage was selected as 15 V. Here, assume that S and T kept varying along with Figure 27 and Figure 28, respectively, and I o U was set as 15 A. Because the P&O method is the representative of the conventional MPPT methods while the fuzzy method is the representative of the intelligent MPPT methods, they were selected as the compared objects. Figure 29, Figure 30, Figure 31 and Figure 32 show the simulation results. Meanwhile, the main data corresponding to Figure 29, Figure 30, Figure 31 and Figure 32 are shown in Table 6. Here, the step size of the P&O method is set as 0.0015. In addition, because there was some oscillation for the P&O method and fuzzy method, their measured data on the current, power, and duty cycle in the table are average values. Meanwhile, the total simulation time (1 s) is divided into ten time intervals, just as Table 6 shows.
In Table 6, I o M p , I o M & , and I o M f represent the output currents of the proposed strategy, P&O method, and fuzzy method, respectively, corresponding to the MPP; P o M p , P o M & , and P o M f represent the output powers of the proposed strategy, P&O method, and fuzzy method, respectively, corresponding to the MPP; D M p , D M & , and D M f represent the duty cycles of the proposed strategy, P&O method, and fuzzy method, respectively, corresponding to the MPP; and t s p , t s & , and t s f represent the settling times of the proposed strategy, P&O method, and fuzzy method, respectively.
Figure 29, Figure 30, Figure 31 and Figure 32 show that, firstly, in time intervals [0.0, 0.1], [0.1, 0.2], [0.2, 0.3], [0.3, 0.4], and [0.4, 0.5], the P&O method can not track the MPP because of its low tracking speed. By contrast, the proposed strategy and fuzzy method can successfully track the MPP in all time intervals. Secondly, after the MPP has been successfully tracked, the accuracies of these three methods are approximately same. Thirdly, for the proposed strategy, its settling time for every time interval is always the best. Fourthly, there exists some oscillation for the P&O method and fuzzy method. By contrast, the proposed strategy can always make a PV system steadily operating operating at the MPP.
According to the specific data shown in Table 6, it can be seen that, firstly, the errors among P o M p , P o M & , and P o M f are always less than 0.01 W. Meanwhile, the errors between them and P o M are always less than 0.01 W. Therefore, by three MPPT methods, the maximum value of the output power can be successfully arrived. Secondly, the errors among I o M p , I o M & , and I o M f are always less than 0.002 A. Therefore, by three MPPT methods, the maximum value of the output current can be successfully arrived. Thirdly, the errors among D M p , D M & , and D M f are always less than 0.002. Therefore, the duty cycle corresponding to the MPP can be successfully obtained. Fourthly, for the proposed strategy, its settling time in every time interval is far less than those of the other two methods. Meanwhile, for the fuzzy method, its settling time in every time interval is far less than that of the P&O method. In other words, the MPPT speed of the proposed strategy is the best and the fuzzy method is second best.
In brief, a conclusions can be drawn from these figures and data that the proposed MPPT strategy has the same MPPT accuracy and a better MPPT speed than the P&O method and fuzzy method.

4. Discussions

There are some supplementary explanations for this work. On the one hand, in practical application, the battery has the similar characteristics as the supercapacitor, especially in terms of the charging process and discharging process. Meanwhile, the hybrid storage system based on their combination has also the similar characteristics. Therefore, in this work, we have assumed that they have the same characteristics and theoretical analysis on them has been given together. However, in order to make the description more convenient, their own equations have also been presented in the text. On the other hand, in the implementation of this proposed MPPT strategy, two sensors (irradiance sensor and temperature sensor) must be used, which maybe lead to a higher sensor cost. However, in practical application, to reduce their average cost, they can be shared by a lot of PV systems.
In the theoretical analysis, we have assumed that the buck DC/DC converter is an ideal circuit and its power loss has been ignored. However, in practical application, the internal resistance usually exists in some circuit components such as the switch, inductor, and diode. They cause not only power loss but also voltage drop. This voltage drop results in a phenomenon wherein the actual value of I o M will be less than its calculated value. According to Equation (30), this phenomenon may mean the greater security of the charging process in practical application because the actual I o M will be always less than I o U . By contrast, for other theoretical results or equations, there is hardly any influence. The reason is that in these results or equations, only the calculated value of I o M is used and its value is determined by only S and T. Therefore, when the internal resistance of the circuit components of the buck DC/DC converter is considered, the theoretical results or equations are still approximately accurate.
In addition, some state-of-the-art techniques are compared with our work to focus on the key findings and the major thoughts. The compared results are shown in Table 7. It is clearly seen that the main advantages of this work are the good MPPT speed, simple control process, low hardware cost, and short design period. Meanwhile, the key findings include the MPPT constraint conditions based on currents and the direct calculation method of the control signal corresponding to three operating modes. The major thought is the proposition of three operating modes that can switch between each other. This thought is also the key to simplifying the whole control process.

5. Conclusions

A new MPPT control strategy, which can directly calculate the real-time control signal at three modes, has been proposed. In the implementation of this strategy, the control system can freely switch among three modes according to the proposed MPPT constraint conditions based on current relationships. Finally, some simulation experiments verify that the proposed MPPT constraint conditions are accurate; that the proposed MPPT strategy is feasible, available, and workable; and that the MPPT performance of the proposed MPPT strategy is better than those of the P&O method and FLC method. This work is the first attempt to study the MPPT constraint conditions based on current relationships. By this work, on the one hand, the inherent relationships between different currents have been successfully disclosed when the PV system is operating around the MPP. On the other hand, the direct calculation method of the control signal at three operating modes has been presented. These results can be used as the theoretical basis to disclose the MPPT essence from the perspective of the current relationships.
Future work on the subject will be focused on an effort to apply this proposed MPPT strategy. On the one hand, some attempt will be made to reduce the hardware cost arising from the irradiance and temperature sensors. On the other hand, some attempt will be also made to consider the differences between the battery, the supercapacitor, and their combination.

Author Contributions

Conceptualization, S.L.; methodology, S.L.; software, G.L.; validation, G.L., G.Z. and S.L.; formal analysis, G.L.; investigation, G.L., G.Z. and S.L.; resources, S.L.; data curation, G.L., G.Z. and S.L.; writing—original draft preparation, S.L.; writing—review and editing, G.L., S.L. and G.Z.; visualization, G.L. and G.Z.; supervision, G.L. and G.Z.; project administration, G.L. and G.Z.; funding acquisition, G.L. and G.Z. All authors have read and agreed to the published version of the manuscript.

Funding

This research was funded by the National Natural Science Foundation of China (No. 61963014).

Data Availability Statement

All relevant data are within the paper.

Acknowledgments

The authors would like to sincerely thank the editor and anonymous reviewers for their valuable comments and suggestions to improve the quality of the article.

Conflicts of Interest

The authors declare no conflicts of interest.

Abbreviations and Nomenclature

MPPTmaximum power point tracking V m MPP voltage of PV cell at STC (V)
PVphotovoltaic V o output voltage of the DC/DC converter (V)
MPPmaximum power point I o output current of the DC/DC converter (A)
VWPvariable weather parameter V P V output voltage of PV cell (V)
P&Operturbation and observation I P V output current of PV cell (A)
SMCsliding mode control V B a t voltage of battery (V)
ANNartificial neural network V S u p voltage of supercapacitor (V)
INCincremental conductance P o M output power corresponding to the MPP (W)
PSOparticle swarm optimization P o U upper value of the charging power (W)
ANFISadaptive neuro-fuzzy inference system I o U upper value of the charging current (A)
SOCstate of charge I M I P V corresponding to the MPP (A)
THDtotal harmonic distortion V M V P V corresponding to the MPP (V)
PWMpulse–width modulation V o M V o corresponding to the MPP (V)
DCdirect current I o M I o corresponding to the MPP (A)
STCstandard test conditions R s M internal resistance of linear cell model (Ω)
PIproportional integral I s M short-circuit current of linear cell model (A)
PIDproportional integral derivativeDduty cycle of the PWM signal of the converter
I s c short-circuit current of PV cell at STC (A) D M D corresponding to the MPP
V o c open-circuit voltage of PV cell at STC (V)Ssolar irradiance (W/m2)
I m MPP current of PV cell at STC (A)Tcell temperature (°C)

References

  1. Du, Y.; Lu, D.D.C. Battery-integrated boost converter utilizing distributed MPPT configuration for photovoltaic systems. Sol. Energy 2011, 85, 1992–2002. [Google Scholar] [CrossRef]
  2. Alahmadi, A.N.M.; Rezk, H. A robust single-sensor MPPT strategy for shaded photovoltaic-battery system. Comput. Syst. Sci. Eng. 2021, 37, 63–71. [Google Scholar] [CrossRef]
  3. Ali, S.U.; Waqar, A.; Aamir, M.; Qaisar, S.M.; Iqbal, J. Model predictive control of consensus-based energy management system for DC microgrid. PLoS ONE 2023, 20, 0278110. [Google Scholar] [CrossRef] [PubMed]
  4. Şahin, M.E.; Blaabjerg, F. PV powered hybrid energy storage system control using bidirectional and boost converters. Electr. Power Compon. Syst. 2022, 49, 1260–1277. [Google Scholar] [CrossRef]
  5. Abousserhane, Z.; Abbou, A.; Bouzakri, H. Developed power flow control of PV/battery/SC hybrid storage system featuring two grid modes. Int. J. Renew. Energy Res. 2022, 12, 190–199. [Google Scholar]
  6. Kord, H.; Zamani, A.A.; Barakati, S.M. Active hybrid energy storage management in a wind-dominated standalone system with robust fractional-order controller optimized by gases brownian motion optimization algorithm. J. Energy Storage 2023, 66, 107492. [Google Scholar] [CrossRef]
  7. Chellakhi, A.; El Beid, S.; Abouelmahjoub, Y. An improved adaptable step-size P&O MPPT approach for standalone photovoltaic systems with battery station. Simul. Model. Pract. Theory 2022, 121, 102655. [Google Scholar]
  8. Chtita, S.; Motahhir, S.; El Ghzizal, A. A new design and embedded implementation of a low-cost maximum power point tracking charge controller for stand-alone photovoltaic systems. Energy Technol. 2024, 12, 202301324. [Google Scholar] [CrossRef]
  9. Chahar, S.; Razzaq, A. P&O and incremental conductance MPP tracking for solar PV array: A comparative ideal data and real-time study. J. Act. Passiv. Electron. Devices 2023, 17, 269–286. [Google Scholar]
  10. El Mezdi, K.; El Magri, A.; Watil, A.; El Myasse, I.; Bahatti, L.; Lajouad, R.; Ouabi, H. Nonlinear control design and stability analysis of hybrid grid-connected photovoltaic-battery energy storage system with ANN-MPPT method. J. Energy Storage 2023, 72, 108747. [Google Scholar] [CrossRef]
  11. Siddaraj, S.; Yaragatti, U.R.; Harischandrappa, N. Coordinated PSO-ANFIS-Based 2 MPPT control of microgrid with solar photovoltaic and battery energy storage system. J. Sens. Actuator Netw. 2023, 12, 45. [Google Scholar] [CrossRef]
  12. Fekik, A.; Hamida, M.L.; Azar, A.T.; Ghanes, M.; Hakim, A.; Denoun, H.; Hameed, I.A. Robust power control for photovoltaic and battery systems: Integrating sliding mode MPPT with dual buck converters. Front. Energy Res. 2024, 12, 1380387. [Google Scholar] [CrossRef]
  13. Zehra, S.S.; Rahman, A.U.; Armghan, H.; Ahmad, I.; Ammara, U. Artificial intelligence-based nonlinear control of renewable energies and storage system in a DC microgrid. ISA Trans. 2022, 121, 217–231. [Google Scholar] [CrossRef] [PubMed]
  14. Haroon, F.; Aamir, M.; Waqar, A.; Qaisar, S.M.; Ali, S.U.; Almaktoom, A.T. A composite exponential reaching law based SMC with rotating sliding surface selection mechanism for two level three phase VSI in vehicle to load applications. Energies 2023, 16, 346. [Google Scholar] [CrossRef]
  15. Pan, Z.; Quynh, N.V.; Ali, Z.M.; Dadfar, S.; Kashiwagi, T. Enhancement of maximum power point tracking technique based on PV-battery system using hybrid BAT algorithm and fuzzy controller. J. Clean. Prod. 2020, 274, 123719. [Google Scholar] [CrossRef]
  16. Sandeep, S.D.; Mohanty, S. Artificial rabbits optimized neural network-based energy management system for PV, battery, and supercapacitor based isolated DC microgrid system. IEEE Access 2023, 11, 142411–142432. [Google Scholar]
  17. Li, S.; Ping, A.; Liu, Y.; Ma, X.; Li, C. A variable-weather-parameter MPPT method based on a defined characteristic resistance of photovoltaic cell. Sol. Energy 2020, 199, 673–684. [Google Scholar] [CrossRef]
  18. Li, S. A variable-weather-parameter MPPT control strategy based on MPPT constraint conditions of PV system with inverter. Energy Convers. Manag. 2019, 197, 111873. [Google Scholar] [CrossRef]
  19. Goud, J.S.; Kalpana, R.; Singh, B.; Kumar, S. A global maximum power point tracking technique of partially shaded photovoltaic systems for constant voltage applications. IEEE Trans. Sustain. Energy 2019, 10, 1950–1959. [Google Scholar] [CrossRef]
  20. Roy, T.K.; Oo, A.M.T.; Ghosh, S.K. Designing a high-order sliding mode controller for photovoltaic and battery energy storage system-based DC microgrids with ANN-MPPT. Energies 2024, 17, 17020532. [Google Scholar] [CrossRef]
  21. Agoub, R.A.A.; Hançerlioğullari, A.; Rahebi, J.; Lopez-Guede, J.M. Battery charge control in solar photovoltaic systems based on fuzzy logic and jellyfish optimization algorithm. Appl. Sci. 2023, 13, 11409. [Google Scholar] [CrossRef]
  22. Fu, Z.; Fan, Y.; Cai, X.; Zheng, Z.; Xue, J.; Zhang, K. Lithium titanate battery management system based on MPPT and four-stage charging control for photovoltaic energy storage. Appl. Sci. 2019, 8, 2520. [Google Scholar] [CrossRef]
  23. Li, S. MPPT constraint conditions based on four-parameter cell model for some usual photovoltaic systems. Sustain. Energy Technol. Assess. 2024, 68, 103874. [Google Scholar] [CrossRef]
  24. Jordehi, A.R. Parameter estimation of solar photovoltaic (PV) cells: A review. Renew. Sustain. Energy Rev. 2016, 61, 354–371. [Google Scholar] [CrossRef]
  25. Mutoh, N.; Ohno, M.; Inoue, T. A method for MPPT control while searching for parameters corresponding to weather conditions for PV generation systems. IEEE Trans. Ind. Electron. 2006, 53, 1055–1065. [Google Scholar] [CrossRef]
  26. Li, Q.; Zhao, S.; Wang, M.; Zou, Z.; Wang, B.; Chen, Q. An improved perturbation and observation maximum power point tracking algorithm based on a PV module four-parameter model for higher efficiency. Appl. Energy 2017, 195, 523–537. [Google Scholar] [CrossRef]
  27. Gopi, R.R.; Sreejith, S. Converter topologies in photovoltaic applications—A review. Renew. Sustain. Energy Rev. 2018, 94, 1–14. [Google Scholar] [CrossRef]
  28. Li, S. Linear equivalent models at the maximum power point based on variable weather parameters for photovoltaic cell. Appl. Energy 2016, 182, 94–104. [Google Scholar] [CrossRef]
Figure 1. Configuration of PV system with battery or supercapacitor.
Figure 1. Configuration of PV system with battery or supercapacitor.
Energies 17 03982 g001
Figure 2. Linear equivalent model of PV cell at the MPP.
Figure 2. Linear equivalent model of PV cell at the MPP.
Energies 17 03982 g002
Figure 3. Equivalent model of PV system with battery.
Figure 3. Equivalent model of PV system with battery.
Energies 17 03982 g003
Figure 4. Equivalent model of PV system with supercapacitor.
Figure 4. Equivalent model of PV system with supercapacitor.
Energies 17 03982 g004
Figure 5. Structure of the whole system.
Figure 5. Structure of the whole system.
Energies 17 03982 g005
Figure 6. Flow chart of the main control process.
Figure 6. Flow chart of the main control process.
Energies 17 03982 g006
Figure 7. I o D curves with 400 W/m2 and various V S u p values.
Figure 7. I o D curves with 400 W/m2 and various V S u p values.
Energies 17 03982 g007
Figure 8. I o D curves with 600 W/m2 and various V S u p values.
Figure 8. I o D curves with 600 W/m2 and various V S u p values.
Energies 17 03982 g008
Figure 9. I o D curves with 800 W/m2 and various V S u p values.
Figure 9. I o D curves with 800 W/m2 and various V S u p values.
Energies 17 03982 g009
Figure 10. I o D curves with 1000 W/m2 and various V S u p values.
Figure 10. I o D curves with 1000 W/m2 and various V S u p values.
Energies 17 03982 g010
Figure 11. I o D curves under 0 °C and various V S u p conditions.
Figure 11. I o D curves under 0 °C and various V S u p conditions.
Energies 17 03982 g011
Figure 12. I o D curves under 15 °C and various V S u p conditions.
Figure 12. I o D curves under 15 °C and various V S u p conditions.
Energies 17 03982 g012
Figure 13. I o D curves under 30 °C and various V S u p conditions.
Figure 13. I o D curves under 30 °C and various V S u p conditions.
Energies 17 03982 g013
Figure 14. I o D curves under 45 °C and various V S u p conditions.
Figure 14. I o D curves under 45 °C and various V S u p conditions.
Energies 17 03982 g014
Figure 15. Curve of S in first group.
Figure 15. Curve of S in first group.
Energies 17 03982 g015
Figure 16. Compared curves of P o in first group.
Figure 16. Compared curves of P o in first group.
Energies 17 03982 g016
Figure 17. Curve of D in first group.
Figure 17. Curve of D in first group.
Energies 17 03982 g017
Figure 18. Curves of three currents in first group.
Figure 18. Curves of three currents in first group.
Energies 17 03982 g018
Figure 19. Curve of T in second group.
Figure 19. Curve of T in second group.
Energies 17 03982 g019
Figure 20. Curves of P o in second group.
Figure 20. Curves of P o in second group.
Energies 17 03982 g020
Figure 21. Curve of D in second group.
Figure 21. Curve of D in second group.
Energies 17 03982 g021
Figure 22. Curves of three currents in second group.
Figure 22. Curves of three currents in second group.
Energies 17 03982 g022
Figure 23. Curve of V S u p in third group.
Figure 23. Curve of V S u p in third group.
Energies 17 03982 g023
Figure 24. Curves of P o in third group.
Figure 24. Curves of P o in third group.
Energies 17 03982 g024
Figure 25. Curve of D in third group.
Figure 25. Curve of D in third group.
Energies 17 03982 g025
Figure 26. Curves of three currents in third group.
Figure 26. Curves of three currents in third group.
Energies 17 03982 g026
Figure 27. Curve of the varying irradiance.
Figure 27. Curve of the varying irradiance.
Energies 17 03982 g027
Figure 28. Curve of the varying temperature.
Figure 28. Curve of the varying temperature.
Energies 17 03982 g028
Figure 29. Compared duty cycle curves of three MPPT methods.
Figure 29. Compared duty cycle curves of three MPPT methods.
Energies 17 03982 g029
Figure 30. Compared power curves of three MPPT methods.
Figure 30. Compared power curves of three MPPT methods.
Energies 17 03982 g030
Figure 31. Compared output current curves of three MPPT methods.
Figure 31. Compared output current curves of three MPPT methods.
Energies 17 03982 g031
Figure 32. Compared curves of I s M and 2 I o M .
Figure 32. Compared curves of I s M and 2 I o M .
Energies 17 03982 g032
Table 1. Results under different irradiance conditions.
Table 1. Results under different irradiance conditions.
V S u p
(V)
I s M 1
(A)
2 I o M 1
(A)
I s M 2
(A)
2 I o M 2
(A)
I s M 3
(A)
2 I o M 3
(A)
I s M 4
(A)
2 I o M 4
(A)
I s M 5
(A)
2 I o M 5
(A)
56.980923.454810.471334.653713.961746.522017.452259.801120.942675.1229
66.980915.545710.471328.878113.961738.768317.452249.834320.942662.6024
76.980916.753410.471324.752613.961733.230017.452242.715120.942653.6592
86.980914.659210.471321.658513.961729.076217.452237.375720.942646.9518
96.980913.030410.471319.252013.961725.845517.452233.222820.942641.7349
106.980911.727410.471317.326813.961723.261017.452229.900620.942637.5615
116.980910.661310.471315.751713.961721.146417.452227.182320.942634.1468
126.98099.772810.471314.439013.961719.384217.452224.917120.942631.3012
136.98099.021110.471313.328313.961717.893117.452223.000420.942628.8934
146.98098.376710.471312.376313.961716.615017.452221.357520.942626.8296
156.98097.818310.471311.551213.961715.507317.452219.933720.942625.0410
166.98097.329610.471310.829313.961714.538117.452218.687820.942623.4759
176.98096.891910.471310.137713.961713.643517.452217.588620.942622.0950
186.98096.228710.47138.938313.961712.174417.452216.276820.942620.8657
196.98094.968010.47136.635513.96179.366417.452213.826320.942619.2006
206.98092.571010.47132.214413.96173.999217.45229.225220.942616.1611
Table 2. Results under different temperature conditions.
Table 2. Results under different temperature conditions.
V S u p
(V)
I s M 1
(A)
2 I o M 1
(A)
I s M 2
(A)
2 I o M 2
(A)
I s M 3
(A)
2 I o M 3
(A)
I s M 4
(A)
2 I o M 4
(A)
I s M 5
(A)
2 I o M 5
(A)
512.616047.099313.120747.009413.625346.767514.130046.373914.634645.8284
612.616039.249513.120739.174513.625338.973014.130038.644914.634638.1903
712.616033.642413.120733.578113.625333.405414.130033.124214.634632.7346
812.616029.437113.120729.380913.625329.229714.130028.983714.634628.6427
912.616026.166313.120726.116313.625325.982014.130025.763314.634625.4602
1012.616023.549713.120723.504713.625323.383814.130023.186914.634622.9142
1112.616021.408813.120721.367913.625321.258014.130021.079014.634620.8311
1212.616019.624713.120719.587213.625319.486514.130019.322414.634619.0952
1312.616018.115113.120718.080513.625317.987514.130017.836114.634617.6263
1412.616016.821213.120716.789113.625316.702714.130016.562114.634616.3673
1512.616015.699813.120715.669813.625315.589214.130015.458014.634615.2761
1612.616014.718513.120714.690413.625314.614914.130014.491814.634614.2735
1712.616013.852813.120713.826313.625313.755214.130013.508914.634612.5695
1812.616013.083213.120713.056213.625312.749314.130011.712914.63469.1745
1912.616012.367413.120711.997913.625310.876914.13008.246014.63462.4103
2012.616011.257613.120710.064713.62537.365114.13001.553314.63460
Table 3. Results under different irradiance conditions.
Table 3. Results under different irradiance conditions.
S
( W / m 2 )
I s M
(A)
2 I o M
(A)
P o M
(W)
P o U
(W)
D 1   ( D M ) D 2 D 3 I o   or   I o M
(A)
4006.72876.764858.52138.400.9947//3.4126
4507.56977.575465.53138.400.9993//3.8175
5008.41088.391672.59138.40/1/4.2239
5509.25199.216179.72138.40/1/4.6323
60010.093010.051486.94138.40/1/5.0447
65010.934110.900094.29138.40/1/5.4631
70011.775111.7645101.76138.40/1/5.8894
75012.616212.6474109.40138.400.9975//6.3252
80013.457313.5513117.22138.400.9931//6.7724
85014.298414.4787125.24138.400.9875//7.2324
90015.139515.4322133.49138.400.9810//7.7070
95015.980616.4143141.98138.40//0.92408.0000
100016.821617.4276150.75138.40//0.88438.0000
105017.662718.4747159.81138.40//0.85948.0000
110018.503819.5580169.18138.40//0.83918.0000
115019.344920.6802178.88138.40//0.82118.0000
120020.185921.8438188.95138.40//0.80438.0000
Table 4. Results under different temperature conditions.
Table 4. Results under different temperature conditions.
T
(°C)
I s M
(A)
2 I o M
(A)
P o M
(W)
P o U
(W)
D 1   ( D M ) D 2 D 3 I o   or   I o M
(A)
014.666416.1479139.68138.40//0.88888.0000
514.861916.1219139.45138.40//0.90158.0000
1015.057516.0959139.23138.40//0.91558.0000
1515.253016.0699139.00138.40//0.93118.0000
2015.448616.0439138.78138.40//0.94928.0000
2515.644116.0179138.55138.40//0.97618.0000
3015.839715.9918138.33138.400.9905//7.9826
3516.035215.9658138.10138.40/1/7.9608
4016.230815.9398137.88138.40/1/7.9140
4516.426315.9138137.65138.40/1/7.8323
5016.621915.8878137.43138.40/1/7.7063
Table 5. Results under different supercapacitor voltage conditions.
Table 5. Results under different supercapacitor voltage conditions.
V S u p
( V )
I s M
(A)
2 I o M
(A)
P o M
(W)
P o U
(W)
D 1     ( D M ) D 2 D 3 I o   or   I o M
(A)
810.093021.736286.9464.00//0.40338.0000
910.093019.321086.9472.00//0.46238.0000
1010.093017.388986.9480.00//0.52878.0000
1110.093015.808186.9488.000.6385//7.9332
1210.093014.490886.9496.000.6965//7.2721
1310.093013.376186.94104.000.7546//6.7127
1410.093012.420786.94112.000.8126//6.2332
1510.093011.592686.94120.000.8706//5.8177
1610.093010.868186.94128.000.9287//5.4541
1710.093010.228886.94136.000.9867//5.1332
1810.09309.660586.94144.00/1/4.7876
1910.09309.152186.94152.00/1/4.1580
2010.09308.694586.94160.00/1/2.9830
Table 6. Data corresponding to Figure 27, Figure 28, Figure 29, Figure 30, Figure 31 and Figure 32.
Table 6. Data corresponding to Figure 27, Figure 28, Figure 29, Figure 30, Figure 31 and Figure 32.
Time Intervals
(s)
[0.0, 0.1][0.1, 0.2][0.2, 0.3][0.3, 0.4][0.4, 0.5][0.5, 0.6][0.6, 0.7][0.7, 0.8][0.8, 0.9][0.9, 1.0]
S (W/m2)400119547010005259256904007991195
T (°C)4.440.20.819.843.230.014.45.626.649.8
I s M (A)6.382120.86577.427816.60309.233115.754511.29936.402313.494321.3482
2 I o M (A)7.925624.96569.257820.131110.043318.330513.43097.918415.598424.9080
I o M p (A)3.956712.44984.614010.05825.05779.15006.71483.95637.797212.3661
I o M & (A)/////9.15016.71473.95627.788812.3697
I o M f (A)3.956712.45034.614310.05825.05949.15076.71473.95637.787312.3698
P o M (W)59.3513186.754569.2147150.873575.8919137.2530100.724859.3448116.9325185.5479
P o M p (W)59.3504186.746969.2107150.872675.8671137.2460100.724759.3438116.9110185.4907
P o M & (W)/////137.2507100.713159.3415116.7987185.5477
P o M f (W)59.3497186.753469.2147150.872675.8905137.2504100.721659.3437116.8060185.5478
D M p 0.80530.83580.80230.82470.91930.85950.84130.80850.86510.8571
D M & /////0.86100.84150.81000.86550.8625
D M f 0.80600.83610.80400.82440.91200.86050.84120.80850.86550.8622
t s p (ms)633.53.53.83.843.53.84.5
t s & (ms)/////7512183311
t s f (ms)68776.5202765.5810
Table 7. Results comparing some state-of-the-art techniques.
Table 7. Results comparing some state-of-the-art techniques.
Methods or WorksMain AdvantagesMain ShortcomingsKey Findings or Thoughts
Proposed method(1) fastest MPPT speed;
(2) simple control process;
(3) low hardware cost and short design period.
use of irradiance and temperature sensors(1) MPPT constraint conditions based on currents;
(2) thoughts of three operating modes and switching among them;
(3) techniques of directly calculating the control signal to match three operating modes.
work in Ref. [8](1) low cost;
(2) strong robustness.
relatively complex control process(1) avoiding all mathematical division in conventional INC algorithm;
(2) a designed feedback control based on two PI compensators.
work in Ref. [16](1) good voltage steadiness of DC bus;
(2) minimized battery stress.
complex algorithm involving in high-cost microprocessor and slower MPPT speed(1) power losses considered during design;
(2) artificial rabbit-optimized neural network combined with INC algorithm.
work in Ref. [20](1) strong robustness;
(2) good performance.
high-cost microprocessor arising from complex algorithm and slower MPPT speed(1) a combination of PID, SMC, and ANN algorithms;
(2) use of Lyapunov stability theory.
work in Ref. [23](1) relatively complete findings for MPPT constraint conditions;
(2) an involvement with four parameter cell model.
No consideration for relationships between currents(1) MPPT constraint conditions based on voltages;
(2) MPPT constraint relationships among circuit parameters, cell parameters, and load.
Disclaimer/Publisher’s Note: The statements, opinions and data contained in all publications are solely those of the individual author(s) and contributor(s) and not of MDPI and/or the editor(s). MDPI and/or the editor(s) disclaim responsibility for any injury to people or property resulting from any ideas, methods, instructions or products referred to in the content.

Share and Cite

MDPI and ACS Style

Lai, G.; Zhang, G.; Li, S. An MPPT Control Strategy Based on Current Constraint Relationships for a Photovoltaic System with a Battery or Supercapacitor. Energies 2024, 17, 3982. https://doi.org/10.3390/en17163982

AMA Style

Lai G, Zhang G, Li S. An MPPT Control Strategy Based on Current Constraint Relationships for a Photovoltaic System with a Battery or Supercapacitor. Energies. 2024; 17(16):3982. https://doi.org/10.3390/en17163982

Chicago/Turabian Style

Lai, Guohong, Guoping Zhang, and Shaowu Li. 2024. "An MPPT Control Strategy Based on Current Constraint Relationships for a Photovoltaic System with a Battery or Supercapacitor" Energies 17, no. 16: 3982. https://doi.org/10.3390/en17163982

APA Style

Lai, G., Zhang, G., & Li, S. (2024). An MPPT Control Strategy Based on Current Constraint Relationships for a Photovoltaic System with a Battery or Supercapacitor. Energies, 17(16), 3982. https://doi.org/10.3390/en17163982

Note that from the first issue of 2016, this journal uses article numbers instead of page numbers. See further details here.

Article Metrics

Back to TopTop