Next Article in Journal
Research on the Design of a MIMO Management System for Lithium-Ion Batteries Based on Radiation–Conductivity–Convection Coupled Thermal Analysis
Next Article in Special Issue
Classification Method of Heavy Oil Based on Chemical Composition and Bulk Properties
Previous Article in Journal
Transformer-Based Deep Learning Models for State of Charge and State of Health Estimation of Li-Ion Batteries: A Survey Study
 
 
Font Type:
Arial Georgia Verdana
Font Size:
Aa Aa Aa
Line Spacing:
Column Width:
Background:
Article

Carbon Dioxide Oil Repulsion in the Sandstone Reservoirs of Lunnan Oilfield, Tarim Basin

1
School of Petroleum Engineering, China University of Petroleum (East China), Qingdao 266580, China
2
Tarim Oilfield Company, PetroChina, Korla 841000, China
3
R&D Center for Ultra-Deep Complex Reservoir Exploration and Development, China National Petroleum Corporation, Korla 841000, China
4
Research Institute of Petroleum Exploration & Development, China National Petroleum Corporation, Beijing 100083, China
5
School of Energy Resource, China University of Geosciences, Beijing 100083, China
*
Author to whom correspondence should be addressed.
Energies 2024, 17(14), 3503; https://doi.org/10.3390/en17143503
Submission received: 6 June 2024 / Revised: 4 July 2024 / Accepted: 11 July 2024 / Published: 17 July 2024

Abstract

The Lunnan oilfield, nestled within the Tarim Basin, represents a prototypical extra-low-permeability sandstone reservoir, distinguished by high-quality crude oil characterised by a low viscosity, density, and gel content. The effective exploitation of such reservoirs hinges on the implementation of carbon dioxide (CO2) flooding techniques. This study, focusing on the sandstone reservoirs of Lunnan, delves into the mechanisms of CO2-assisted oil displacement under diverse operational parameters: injection pressures, CO2 concentration levels, and variations in crude oil properties. It integrates analyses on the high-pressure, high-temperature behaviour of CO2, the dynamics of CO2 injection and expansion, prolonged core flood characteristics, and the governing principles of minimum miscible pressure transitions. The findings reveal a nuanced interplay between variables: CO2’s density and viscosity initially surge with escalating injection pressures before stabilising, whereas they experience a gradual decline with increasing temperature. Enhanced CO2 injection correlates with a heightened expansion coefficient, yet the density increment of degassed crude oil remains marginal. Notably, CO2 viscosity undergoes a substantial reduction under stratigraphic pressures. The sequential application of water alternating gas (WAG) followed by continuous CO2 flooding attains oil recovery efficiency surpassing 90%, emphasising the superiority of uninterrupted CO2 injection over processes lacking profiling. The presence of non-miscible hydrocarbon gases in segmented plug drives impedes the oil displacement efficiency, underscoring the importance of CO2 purity in the displacement medium. Furthermore, a marked trend emerges in crude oil recovery rates as the replacement pressure escalates, exhibiting an initial rapid enhancement succeeded by a gradual rise. Collectively, these insights offer a robust theoretical foundation endorsing the deployment of CO2 flooding strategies for enhancing oil recovery from sandstone reservoirs, thereby contributing valuable data to the advancement of enhanced oil recovery (EOR) technologies in challenging, low-permeability environments.

1. Introduction

Accompanied by the rapid growth of global energy demand, traditional oil extraction technology cannot meet the actual demand and the difficulty of oil reservoir extraction is gradually increasing, resulting in a gradual decrease in the oil recovery rate; thus, improving the oil recovery rate has become an urgent task. Carbon dioxide drive as an effective means to improve the crude oil recovery rate by injecting carbon dioxide into the reservoir to improve the mobility of oil to enhance the oil recovery rate [1]. The Tarim Basin oilfield is rich in oil and gas resources, and the physical properties of the marine clastic reservoir are good. Its Lunnan oilfield is a typical extra-low-permeability sandstone reservoir, which has a rather complex pore structure and extremely poor permeability. It is difficult to achieve a high recovery rate using traditional oil recovery methods, so it is suitable to carry out the strategy of gas injection to improve the recovery rate. It is of great significance to improve the recovery rate of sandstone reservoirs by studying the mechanism of CO2 oil driving in sandstone reservoirs [2,3,4,5].
Some research results were achieved in experiments including carbon dioxide oil repulsion in reservoirs. Mohammed et al. (2022) studied the effect of different volume fractions of carbon dioxide on oil repulsion in sandstone reservoirs, and their study showed that the volume fraction of carbon dioxide had a very obvious effect on oil repulsion, and with an increase in the volume fraction of carbon dioxide, the effect on oil repulsion was first significantly improved and then stabilised in the region; when the volume fraction of carbon dioxide exceeded 60%, the effect on oil repulsion was most obviously improved. When the volume fraction of carbon dioxide exceeded 60%, the oil repellent effect was most obvious, which provides a theoretical basis for the application of carbon dioxide oil repellent in sandstone reservoirs [6]. Rahmad et al. (2021) studied the oil repellent mechanism of carbon dioxide in sandstone reservoirs and concluded that carbon dioxide is mainly realised through three mechanisms, namely dissolution, disassembly, and displacement, to carry out oil repellent in sandstone reservoirs. This study provides an important reference for the mechanism study of carbon dioxide oil driving in sandstone reservoirs [7]. Wen et al. (2020) investigated the simulation of the carbon dioxide oil driving process by using a microscopic model, and concluded that the carbon dioxide injection method, injection pressure, the nature of the crude oil, the nature of the reservoir rock, and other factors have a significant impact on the oil driving efficiency. By analysing the influence of the different factors on the efficiency of the drive, it provides a theoretical basis for the optimisation of the carbon dioxide oil driving scheme [8]. Fakher et al. (2020) used nuclear magnetic resonance (NMR) technology to monitor the CO2 oil driving process in real time and studied the transport law and oil driving mechanism of CO2 in the reservoir, and concluded that the NMR technology can effectively monitor the CO2 injection and oil driving process and provide rich microscopic information, which provides a new method to optimise the CO2 oil driving scheme and to improve the oil driving efficiency [9]. Talapatra et al. (2020) studied the influence of the layer rock properties on the oil driving efficiency, and by using different rock samples to conduct the CO2 oil driving experiments, it was concluded that the permeability, porosity, mineral composition, and other factors of the reservoir rock affect the CO2 mobility and the oil driving effect, which provides a basis for selecting suitable reservoirs for CO2 oil driving [10].
The Tarim Basin is rich in oil and gas resources, and the Lunnan oilfield is a typical extra-low-permeability sandstone reservoir. The efficient development of extra-low-permeability reservoirs can be realised through CO2 driving. This paper takes the sandstone reservoir in the Lunnan oilfield of Tarim Basin as the research object, and according to the geological characteristics of the sandstone reservoir, it carries out analyses of the carbon dioxide high-temperature and high-pressure physical characteristics, the carbon dioxide injection expansion characteristics of the long core displacement characteristics, the minimum mixed-phase pressure change rule under conditions of no injection pressure, the carbon dioxide concentration, and crude oil properties. It also performs analyses of the carbon dioxide oil driving mechanism and provides theoretical data that support carbon dioxide oil driving technology for sandstone reservoirs. The analysis will provide theoretical data that support the use of sandstone reservoir carbon dioxide oil driving technology.

2. Research Methods

2.1. Geological Characteristics of the Study Area

The Lunnan oilfield is situated on the northern fringe of the vast Taklamakan Desert, within Luntai County, Xinjiang Uygur Autonomous Region, approximately 35 km to the south of Luntai’s county seat. Accessibility to the oilfield is favourable, with railways serving as the primary transportation artery, complemented by a comprehensive network of mining roads. Notably, the northern commencement points of the desert highway—a vital thoroughfare traversing the Tarim Basin in a north–south direction—is nestled within the oilfield’s boundaries. The terrain of Lunnan oilfield is predominantly flat, averaging an elevation of around 930 m above sea level, and is sparsely vegetated, save for isolated patches of tamarisk and reed woods [11].
Geologically, the Lunnan oilfield resides within the Lunnan Fault Zone of the Tabei Uplift’s Lunnan Low Convexity in the Tarim Basin, characterised by a chain of elongated, near-east–west trending back slopes. The stratigraphy of the oil-bearing formations displays remarkable stability both vertically and horizontally, with the thickness of individual layers across the plane remaining consistent, ranging from 1.4 to 9.2 m and averaging 5.5 m [12].
Drilling and coring investigations have illuminated the Lunnan Formation’s lithology, dominated primarily by medium-grained sandstones. These consist of quartz, feldspar, clasts (comprising granite, volcanic debris, and metamorphic rocks), and various matrix components. Feldspathic lithic sandstone prevails as the dominant rock type, with kaolinite and mud serving as the chief pore fillers. Reservoir rocks contain potassium feldspar in quantities ranging from 9% to 25%. Clastic grains exhibit point-to-line contacts, with pore, fill-pore, and contact-pore cementation types dominating. Grain sorting is poor, with sub-rounded shapes prevailing in grain abrasion, moderate weathering of feldspars, and low compositional and textural maturity of the reservoir sandstones [13]. The non-outcropping rocks in Lunan oilfield’s sandstone reservoirs, situated at depths between 3031 and 3410 m beneath the Earth’s surface, remain concealed due to a combination of geological factors. The Tarim Basin’s history of tectonic activity, including rifting and subsidence, has resulted in the progressive burial of older formations beneath accumulating sediments. Furthermore, the continuous deposition in this basin setting has contributed to the obscuration of the Lunan Formation. These tight reservoir rocks are characterised by extra-low-permeability, which allows them to resist erosion and weathering, thereby preserving them beneath less resistant surface layers. Furthermore, the geological structuring of the Lunan Fault Zone has contributed to the burial of certain rock strata through differential uplift and subsidence processes. Consequently, the direct observation of these sandstones in the outcrop is precluded.
The Lunnan oilfield lies in the Tarim Basin’s Lunnan Fault Zone, a key location in a large inland rift basin shaped by extensive tectonic activity and sedimentation over millions of years. This rift basin setting facilitated hydrocarbon formation through a sequence of rifting, sediment deposition, and thermal maturation of source rocks. The Lunnan Formation, hosting oil reservoirs, consists of sandstones indicative of a mixed volcanic and continental sediment origin, reflecting the active margin conditions of a rift environment. These geological factors, including the basin’s structure and sedimentary history, were pivotal for hydrocarbon generation, migration to porous sandstones, and ultimate entrapment within reservoirs (as Figure 1).
Characterising the sandstone reservoir cores in the Lunnan oilfield reveals substantial pore sizes, low fluid conductivity, and a predominance of large, coarse throat apertures, followed by medium-sized pores and throats. While the capillary pressure curves exhibit a general pattern of similarity, significant disparities exist in their characteristic parameters. On average, these reservoirs exhibit porosities of 16.2% and permeabilities of 39.3 mD, categorising them as medium-porosity, low-permeability reservoirs [14].

2.2. Rock Sample and Fluid Preparation and Testing

The experimental cores were carefully selected from the sandstone reservoir of the 2TI oil group within the Lunnan oilfield, specifically dense sandstone cores extracted from depths spanning 3031 m to 3410 m [15]. To ensure representativeness, the chosen sandstone cores underwent a rigorous preprocessing regimen comprising cleaning, drying, and weighing, followed by precise cutting and shaping to align with the exact specifications required for experimentation.
In mirroring the actual reservoir conditions, a tailored oil–water mixture was formulated, crafted to match the compositional and property profiles encountered in situ. This was accomplished by blending varied hydrocarbon compounds to emulate the physiochemical characteristics of the native crude oil. Lighter crude components were subsequently extracted using solvents, yielding a simulated oil that closely resembled the original crude in terms of its properties (detailed in Table 1) [16]. Table 1 outlines the physical characteristics of an analogue oil, formulated to imitate the native crude oil extracted from the Lunnan oilfield. This synthesis entailed a precise process whereby a blend of assorted hydrocarbon compounds was thoroughly assembled to replicate the in situ crude oil’s intricate composition. By selecting and combining these hydrocarbons in a specific manner, the resulting mixture was designed to reflect not only the chemical properties, but also the physical attributes observed in the natural crude. A crucial phase in the formulation process involved the isolation of lighter crude fractions from their heavier counterparts through a solvent extraction procedure. This step was crucial in producing a synthetic oil with a viscosity, density, gas–oil ratio, expansion coefficient, and bubble point pressure similar to those of the native crude. These parameters are strictly detailed in Table 1.
Subsequently, the prepared cores were positioned within a high-pressure vessel and subjected to saturation with a crafted saturating fluid. Throughout this saturation phase, precise control over temperature and pressure parameters was maintained to guarantee comprehensive saturation and the attainment of equilibrium within the cores. Following saturation, the cores were transferred to a vacuum setting to evacuate internal air pressure and forestall gas infiltration, effectively readied as sandstone reservoir samples for CO2 flooding experiments. The comprehensive details outlining the parameters of these sandstone reservoir samples utilised in the CO2 oil displacement experiments are provided in Table 2 [17]. Table 2 provides a detailed overview of the parameters of the sandstone reservoir samples that were rigorously prepared for CO2 flooding experiments. In this process, rock cores were diligently selected from the Lunnan oilfield’s sandstone reservoir, specifically from depths spanning 3031 to 3410 m, in order to ensure that the characteristics of the reservoir were adequately represented. The cores were subjected to a rigorous preprocessing procedure, which included cleaning to remove impurities, drying, weighing, and precision cutting to ensure conformity with the experimental protocol’s dimensions. Subsequently, the cores were subjected to saturation in a high-pressure environment, utilising a fluid that had been crafted to mimic the reservoir’s natural conditions. The saturation process was rigorously controlled for both temperature and pressure, ensuring comprehensive saturation and establishing a stable equilibrium within the cores. Subsequently, in order to optimise conditions for CO2 injection, the saturated cores were subjected to vacuum treatment, effectively eliminating internal air pressures and averting any unintended gas intrusion, thereby priming them for the impending CO2 flooding assessments. This comprehensive preparatory sequence is crucial for ensuring the reliability and validity of the experimental outcomes related to CO2 enhanced oil recovery techniques.

2.3. Experimental Process and Method

The experimental protocols encompass a multifaceted approach to examining the high-temperature, high-pressure physical characteristics of carbon dioxide, its injection-induced expansion traits, the expulsion characteristics of a long core, and determining the minimum miscible pressure (MMP) for CO2-driven displacement.
Commencing with the evaluation of carbon dioxide’s high-temperature, high-pressure behaviour, specialised equipment, including a high-pressure kettle, sensors for pressure and temperature, a flow metre, and a data acquisition system are employed. Cores are secured at a 180-degree orientation within the kettle post insertion and sealed. Utilizing 99.99% pure CO2 subjected to dehydration and deoxygenation, a controlled infusion of gas and water is facilitated by an advection pump, with pressure stabilisation managed via a return valve. Once the treated CO2 is introduced into the autoclave, the system’s parameters are carefully monitored until stability prevails, enabling the measurement of key physical properties like density and viscosity [18,19].
The study of CO2’s expansion characteristics involves a careful autoclave preparation, including cleaning, drying, and instrument connection, followed by the introduction of CO2 at a specified purity level to a predetermined pressure while maintaining a controlled temperature of 128 °C. Pressure reduction under constant temperature conditions yields data essential for plotting pressure-volume curves and deciphering the gas’s compressibility and expansion behaviour across various thermodynamic conditions [20].
In exploring long-core expulsion dynamics, cores saturated with crude oil are placed in a displacement apparatus. Monitoring the saturation process captures pressure and flow fluctuations. A subsequent injection of displacing agent simulates reservoir-relevant conditions, with outputs diligently documented for analysis, including fluid composition changes and displacement efficiency reflected through generated curves [21].
Lastly, the determination of MMP employs a quartz sand-filled thin-tube model, where after ensuring airtightness through a nitrogen pressurisation test, experiments at a reservoir temperature of 50 °C progressively vary the return pressure to induce CO2–oil displacement. Observations of fluid phases, colour shifts, and quantification of expelled oil and gas volumes, coupled with pressure measurements, elucidate MMP under the defined experimental scenarios [22].
This holistic experimental framework provides a robust basis for understanding the intricate interplay between carbon dioxide’s physiochemical properties and reservoir dynamics, thereby informing strategies for enhanced oil recovery (shown in Figure 2).

2.3.1. Experimental Setup and Procedures

The cores’ preparation for CO2 flooding requires careful saturation and conditioning. This starts with pressurised, temperature-regulated saturation to imitate reservoir conditions, followed by vacuum degassing to ready cores for CO2 injection studies. Injection experiments are carefully planned to cover a spectrum of parameters for understanding CO2-EOR, including pressure, CO2 concentration, and oil properties, using varied injection techniques. Comprehensive analysis of CO2 properties under reservoir conditions and determining MMP are critical. Data gathered from extensive core flooding experiments were rigorously analysed using advanced statistics to refine the models, enhance prediction accuracy, and strategize for optimised CO2-EOR, thereby deeply informing and advancing the practical application of CO2 flooding techniques.

2.3.2. Data Analysis and Interpretation

Collected data from the various experiments were analysed to understand the CO2 oil displacement mechanisms, including the impact of reservoir rock properties (porosity, permeability, mineralogy) on CO2 mobility and oil recovery efficiency.

3. Experimental Results

3.1. Physical Characteristics of High Temperature and High Pressure of Carbon Dioxide

The investigation into the relationship between CO2 injection pressure and oil recovery efficiency is a crucial step in refining the parameters for carbon dioxide-enhanced oil recovery (CO2-EOR) operations. It is anticipated that elevated pressures will result in enhanced sweep efficiency and increased oil displacement. However, there is a risk that they will exceed a critical threshold, which could lead to an impairment of the reservoir. The research demonstrated a statistically significant positive correlation between the applied injection pressure and the incremental recovery of oil, with efficiency reaching a maximum of approximately 90% under rigorously optimised pressures. This discovery emphasises the importance of precise pressure regulation to enhance EOR efficacy without compromising the reservoir’s structural integrity. As a result, these findings have immediate implications for the tactical planning of operational procedures in the Lunnan oilfield and analogous reservoir environments. They highlight the importance of pressure management as a strategic lever for maximising recovery outputs.
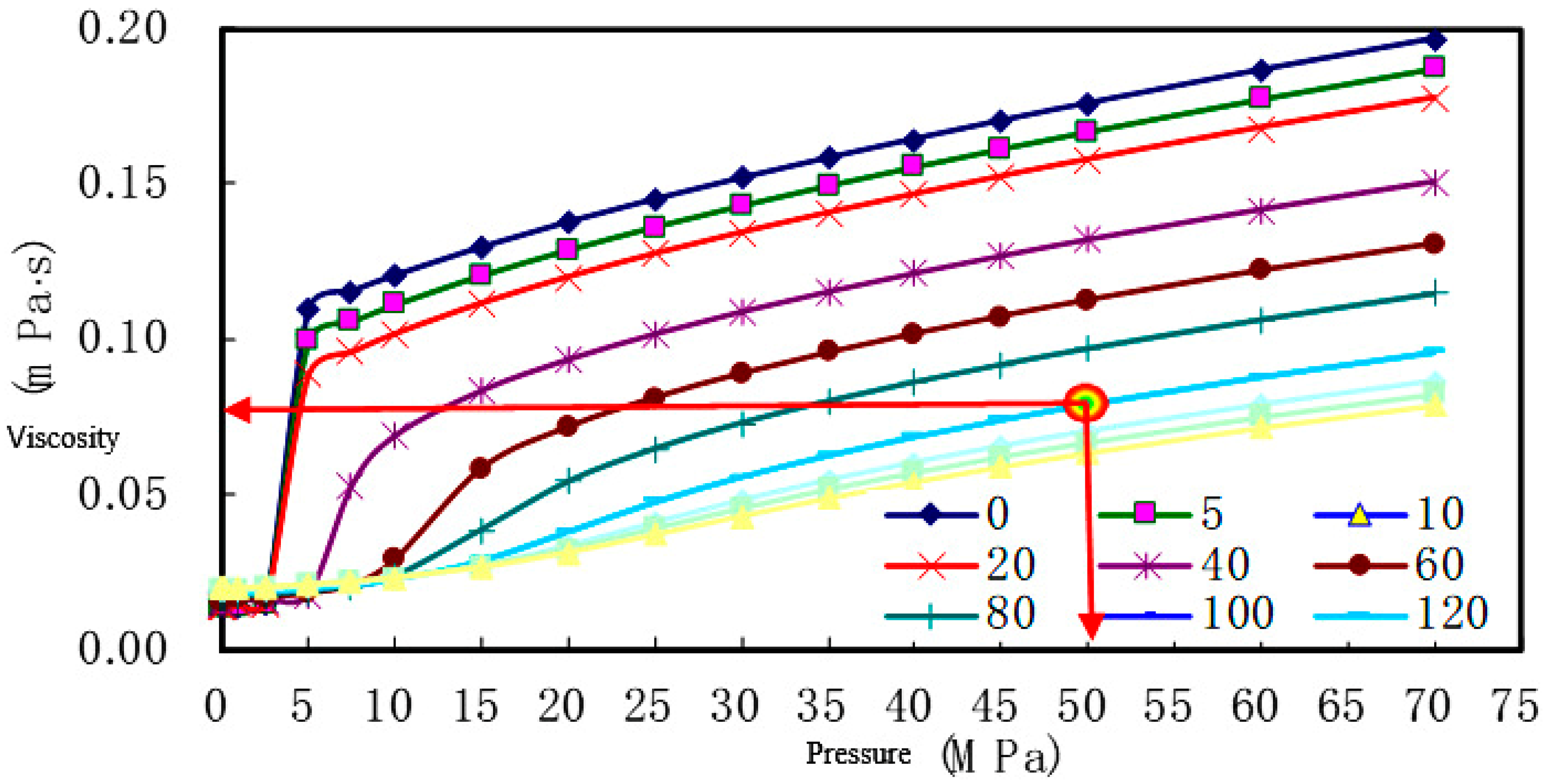
The physical properties of carbon dioxide under different temperatures and pressures were obtained through experiments, to determine the physical properties of carbon dioxide at high temperatures and pressures under reservoir conditions. Figure 3 outlines a graph of the variation in carbon dioxide density with the pressure at different temperatures, and Figure 4 a graph of the variation in carbon dioxide viscosity with the pressure at different temperatures. From Figure 3 and Figure 4, it can be seen that with the increase in pressure, the density of carbon dioxide shows the first rapid increase and then tends to increase slowly; at the same time, with the increase in temperature, the density of carbon dioxide decreases gradually, and under the condition of pressure of 50 MPa and temperature of 120 °C, the density of carbon dioxide is 0.74 g/cm3 and the crude oil is close. With the increase in pressure, the viscosity of carbon dioxide also shows the first rapid increase and then tends to increase slowly. With the increase in pressure, the viscosity of carbon dioxide also shows a rapid increase first and then tends to increase slowly; at the same time, with the increase in temperature, the viscosity of carbon dioxide decreases gradually. When the pressure is 50 MPa, the temperature is 120 °C, and the density of carbon dioxide is viscosity 0.0681 mPa·s, the flow ratio can be greatly improved and the carbon dioxide drive has a good adaptability.
Through precise experimentation, we have garnered insights into the physical characteristics of carbon dioxide when exposed to diverse temperature and pressure regimes, specifically tailored to replicate reservoir conditions. Figure 3 and Figure 4 serve as graphical representations highlighting the nuanced behaviour of carbon dioxide. Figure 1 illustrates the pressure-induced variations in carbon dioxide density across a spectrum of temperatures, while Figure 3 delineates a similar pattern for viscosity.

3.2. Gas Injection Expansion Characteristics

In light of the significant disparities in displacement efficiency and ultimate recovery potential between various CO2 injection methodologies, particularly continuous versus pulsed injection, a comprehensive assessment of these strategies is essential to identify the most effective approach that strikes a balance between recovery augmentation, operational practicality, and cost-efficiency. The findings revealed that continuous injection resulted in a stable increase in oil recovery, whereas pulsed injection, despite initial fluctuations, achieved comparable recovery levels while utilising less CO2. This comparative analysis highlights the potential of pulsed injection as a more conservationist strategy that preserves resource consumption without compromising recovery yields. This insight is of considerable relevance for enhancing the economic viability of CO2-EOR projects, indicating potential avenues for improving profitability through the strategic selection of injection techniques.
Through the experiment of gas injection expansion characteristics, Figure 5 gives the changes in expansion characteristics under different injection gas conditions. From Figure 5, it can be seen that the expansion coefficient increases with the increase in injected carbon dioxide from 1 to 1.4, an increase of 40%; the density of degassed crude oil on the ground increases weakly; the viscosity of carbon dioxide under the formation pressure decreases rapidly, from 3.6 mPa·s to 1 mPa·s, a decrease of 70%, which is mainly because the pumping of crude oil gradually reduces the viscosity, so a carbon dioxide injection into the reservoir can achieve a good expansion and viscosity reduction effect.
According to the experiment of gas injection and expansion characteristics, it was concluded that with the increase in injection pressure, the efficiency of CO2 oil repulsion also increases. This is because with the increase in injection pressure, the solubility and diffusion ability of CO2 in the reservoir are enhanced, which improves the efficiency of oil repulsion. With the higher concentration of carbon dioxide, the efficiency of oil repulsion is also higher. This is because the higher the concentration of carbon dioxide, the stronger its dissolution repulsion and gas repulsion, which improves the efficiency. High-viscosity, high-density crude oil is more sensitive to the response of carbon dioxide driving, and the recovery rate is higher. This is because high-viscosity, high-density crude oil has poor fluidity; therefore, carbon dioxide is easier to dissolve and drive it, which improves the efficiency of oil driving.
Table 3 presents a set of core parameters that are crucial for examining the efficacy of carbon dioxide injections as a secondary recovery method following waterflooding in the targeted oil group. All experimental cores maintain a consistent length of 100 cm, ensuring direct comparability across diverse tests and facilitating a standardised evaluation of displacement efficiency. With a diameter of 3.8 cm, each core allows for a precise calculation of the cross-sectional area, which is vital in determining volumetric flow rates during both injection and production stages.
Two categories of permeability are detailed, namely 45 mD and 190 mD, which reflect the variable ease of fluid migration through the rocks. Lower permeability (45 mD) is indicative of a denser formation, whereas a higher value (190 mD) denotes a more porous and permeable structure, thereby enabling the assessment of CO2 flooding performance across a spectrum of reservoir conditions. Porosity is reported at 17.3% and 15.1%, indicating the proportion of void spaces within the rock available for fluid occupancy. The diversity in porosity aligns with the heterogeneous nature commonly observed in natural reservoirs.
It is noteworthy that the cores were extracted from wild outcrops, indicating that they originate from natural rock specimens gathered from exposed geological strata. This is distinct from the more traditional approach of drilling cores. This methodology offers unique insights into the reservoir’s geological past and attributes. The preparation of these cores involved a triad of techniques: bonding to reunite fragmented sections, pressing to mould or compact the material, and wire cutting for precise dimensioning using a fine, high-tensile wire.
Figure 6 gives the experimental results of a long core replacement with different gas injection methods. As can be seen from Figure 6, the oil driving efficiency of carbon dioxide mixed-phase driving is over 80%, and the oil driving efficiency can be further improved greatly under different gas injection methods after water driving; the efficiency of cycle carbon dioxide driving and WAG after water driving is over 90%, and both of them can effectively control the increase in gas–oil ratio; the continuous carbon dioxide driving has no conditioning process, and the hydrocarbons and gases in the compound in question is a mixture of carbon dioxide and hydrocarbon gas section plug driving are non-mixed-phase components, which affect the oil driving efficiency of these two kinds of methods. The continuous CO2 drive without profiling process and the hydrocarbon gas in the mixture of carbon dioxide and hydrocarbon gas plugging drive are non-mixed phase components, which affect the oil driving efficiency of these two gas injection methods.

3.3. Minimum Mixed-Phase Pressure Experiment

The fine tube experiment is a simulated drive experiment in the fine tube model. It is an accurate method for experimentally determining the minimum mixed-phase pressure, which is more in line with the characteristics of the oil and gas drive process in the porous medium of the oil reservoir. It excludes the influence brought about by unfavourable fluidity ratios, viscous fingering, gravity separation, non-homogeneous nature of the lithology, and other factor as much as possible. In this paper, we utilise the configuration of formation fluid samples to ascertain the minimum mixing pressure of carbon dioxide and formation crude oil, thereby determining the feasibility of carbon dioxide mixed-phase drive in this reservoir. The experimental temperature was that of the formation, and six pressure points (including the original formation pressure point) were tested in the mixed-phase pressure experiment. Table 4 presents the degree of recovery of the injected gas drive under varying experimental pressures. From Table 4, it can be seen that with the increase in replacement pressure, the crude oil recovery rate shows a rapid increase and then a slow increase; at the same time, when the CH4 content in the output gas of the extraction well is less than 13 mol%, the influence on the lowest mixed-phase pressure is less than 5%, and the carbon dioxide purity in the output gas meets the requirements of mixed-phase drive in the reservoir, and it can be directly circulated for re-injection.

4. Discussion

The study’s findings on CO2 displacement in Lunnan oilfield’s sandstone reservoirs offer a wealth of insights into the complexities of enhanced oil recovery (EOR) techniques, particularly when applied to ultra-low-permeability reservoirs. The intricate interplay between injection pressures, CO2 concentration, and crude oil properties, as revealed through our meticulous experimentation, has profound implications for the optimisation and scalability of CO2 flooding methods.
One of the most significant findings concerns the behaviour of CO2 under varying thermal and hydraulic conditions. The initial rise in both density and viscosity at elevated pressures, followed by a decline with increasing temperatures, indicates that operational strategies must carefully consider these dynamics in order to achieve an optimal balance between maximising CO2 solubility and diffusion, while minimising viscosity-related flow restrictions. The observed reduction in CO2 viscosity at reservoir pressures, attributed in part to crude oil dissolution and CO2 pumping, underscores the potential for enhanced sweep efficiency during CO2 injection.
The correlation between the injection volume and the expansion coefficient, coupled with the marginal increase in degassed crude oil density, emphasises the significance of injection strategy optimisation. It was found that higher injection pressures and CO2 concentrations significantly improved displacement efficiency, which is a critical consideration for high-viscosity and high-density crude oils, typically encountered in challenging reservoirs like Lunnan.
The experimental demonstration of recovery rates surpassing 90% with the WAG, followed by continuous CO2 flooding, further substantiates the superiority of uninterrupted CO2 injection in comparison to less sophisticated methods. This finding reinforces the necessity for injection profiles to be tailored to exploit CO2’s distinctive displacement properties, particularly its capacity to reduce oil viscosity and enhance sweep efficiency.
Our examination of minimum miscible pressure (MMP) transitions and the subsequent impact on recovery rates highlights the importance of accurately determining MMPs in situ. The data presented in Table 4 indicate that as the replacement pressure increases, the recovery rate initially exhibits a sharp rise, followed by a more gradual incline. This suggests that beyond a certain threshold, further pressure increments yield diminishing returns on oil recovery. This insight could inform the design of more efficient and cost-effective injection programmes.
Furthermore, the detrimental effect of non-miscible hydrocarbon gases on displacement efficiency highlights the importance of maintaining CO2 purity, which becomes increasingly vital as we strive for more sustainable and efficient EOR practises.
Considering these findings, future research should focus on refining models that predict CO2-EOR performance under various reservoir conditions and crude oil properties. Furthermore, investigations into advanced injection strategies, such as the integration of nanoparticles or tailored WAG cycles, could further enhance oil recovery, while concurrently addressing the challenge of CO2 sequestration. In conclusion, this study paves the way for advancements in EOR technology, offering a roadmap for the sustainable exploitation of unconventional resources in the context of growing energy demands and environmental concerns.
The study’s investigation of CO2 flooding for enhanced oil recovery in the Lunnan Oilfield, resulting in a notable 90% recovery rate under laboratory conditions, is subject to inherent limitations that must be taken into account for comprehensive interpretation and future advancements. Firstly, although meticulous, laboratory settings cannot fully replicate the heterogeneities and dynamic complexities of real-world reservoirs. This may influence scalability due to factors such as permeability variations and environmental unpredictability. Secondly, static core flood experiments, despite their informative value, fail to capture the dynamic behaviour of the reservoir in question. They lack real-time pressure changes and ongoing geochemical reactions, which dynamic simulations attempt to address. However, these simulations still fall short due to the assumptions made. While the 90% recovery figure is undoubtedly remarkable, it is important to recognise that it is an idealised laboratory-based outcome. In practicse, there may be significant challenges in the field concerning operations, economics, and reservoir preservation. Furthermore, the absence of long-term monitoring data on the effects of CO2 injection hinders a full assessment of the sustainability and stability of the reservoir over extended periods. Finally, the absence of a comprehensive cost–benefit analysis, which weighs the financial implications against the benefits of CO2-EOR implementation, leaves a critical gap for stakeholders. It is therefore imperative that these limitations are addressed in subsequent research in order to refine the application of CO2 flooding techniques and enhance their viability in similar reservoir contexts globally.

5. Conclusions

The Lunnan oilfield in the Tarim Basin represents an archetypal example of an ultra-low-permeability sandstone oil reservoir. The oil produced from this reservoir is of high quality, yet, paradoxically, presents low viscosity and density, along with minimal gel content. This paper examines the potential for the efficient development of such reservoirs through CO2 flooding, with a particular focus on a sandstone reservoir within the Lunnan oilfield. By meticulously examining the geological attributes of the reservoir and conducting meticulous studies on CO2’s high-temperature, high-pressure physical characteristics, along with replacement features in long core tests and the intricate variations in minimum miscible pressure under diverse conditions, this research aims to elucidate the mechanisms behind CO2-enhanced oil recovery (EOR) and furnish a robust theoretical and empirical foundation for CO2-based EOR techniques tailored to sandstone reservoirs. The research aims to elucidate the mechanisms behind CO2-enhanced oil recovery (EOR) and furnish a robust theoretical and empirical foundation for CO2-based EOR techniques tailored to sandstone reservoirs. This will be achieved by examining injection pressures, CO2 concentrations, and crude oil properties.
The results of laboratory analyses have yielded crucial insights into the behaviour of CO2 under a range of thermal and hydraulic conditions. These insights reveal an initial rapid rise in density and viscosity, followed by a gradual increase in both properties with escalating pressures. Furthermore, these properties have been observed to inversely decline with temperature increments. Moreover, the experiments demonstrate a direct correlation between the volume of CO2 injected and the expansion coefficient, with a concurrent yet mild increase in the density of the degassed crude oil at the surface and a substantial decline in CO2 viscosity at reservoir pressures. It is noteworthy that elevated injection pressures and CO2 concentrations markedly enhance displacement efficiency, particularly in the context of high-viscosity, high-density crude oils.
To provide further clarification, the study employs a range of gas injection methodologies through the use of long-core flooding experiments. The results of these trials demonstrate remarkable enhanced oil recovery (EOR) efficiencies, with CO2 injection yielding recovery rates in excess of 80%, which increase to over 90% when cycles of water alternating with the CO2 injection are employed after the initial water flooding. In contrast, uninterrupted CO2 flooding without any profiling procedure and a mixture of carbon dioxide and hydrocarbon gas, where the latter behaves as a non-miscible component, has a less favourable impact on displacement efficiency. It is noteworthy that the study also observes that as the methane fraction in recovered gases declines below 13 mol%; its influence on the minimum miscible pressure remains negligible, exhibiting a change of less than 5%.
In conclusion, the comprehensive research not only provides essential data on the physiochemical behaviour of CO2, but also elucidates the complex dynamics influencing the effectiveness of CO2 flooding in ultra-low-permeability sandstone reservoirs. This research, therefore, contributes invaluable insights that can be used to enhance oil recovery strategies.

Author Contributions

Conceptualization, Z.W. and Q.F.; methodology, Z.W. and Q.F.; software, Z.W. and Q.F.; validation, L.L., X.M. and D.Z.; formal analysis, L.L., X.M. and D.Z.; investigation, L.L., X.M. and D.Z.; resources, M.L. and H.C.; data curation, M.L. and H.C.; writing—original draft preparation, M.L. and H.C.; writing—review and editing, Z.W. and Q.F.; visualization, Z.W. and Q.F.; supervision, Z.W. and Q.F. All authors have read and agreed to the published version of the manuscript.

Funding

This research received no external funding.

Data Availability Statement

The experimental data used to support the findings of this study are included in the article, further inquiries are available from the corresponding author upon request.

Acknowledgments

All the authors would like to sincerely thank those who have contributed to this research.

Conflicts of Interest

The authors acknowledge the following non-financial affiliations that may be perceived as potential conflicts of interest: Zangyuan Wu, Qihong Feng, Xiangjuan Meng, Daiyu Zhou, and Min Luo are affiliated with both academic institutions and industry organizations (Tarim Oilfield Company, PetroChina, and R&D Center for Ultra-Deep Complex Reservoir Exploration and Development, China National Petroleum Corporation). The author Liming Lian was employed by the Research Institute of Petroleum Exploration & Development, China National Petroleum Corporation. To the best of our knowledge, no financial benefits have been received from any organization related to this study, and the research was conducted independently of any external pressures.

References

  1. Tan, Y.; Li, Q.; Xu, L.; Ghaffar, A.; Zhou, X.; Li, P. A critical review of carbon dioxide enhanced oil recovery in carbonate reservoirs. Fuel 2022, 328, 125256. [Google Scholar] [CrossRef]
  2. Godoi, J.M.A.; dos Santos Matai, P.H.L. Enhanced oil recovery with carbon dioxide geosequestration: First steps at Pre-salt in Brazil. J. Pet. Explor. Prod. 2021, 11, 1429–1441. [Google Scholar] [CrossRef]
  3. Jadhawar, P.; Yang, J.; Chapoy, A.; Tohidi, B. Subsurface carbon dioxide sequestration and storage in methane hydrate reservoirs combined with clean methane energy recovery. Energy Fuels 2020, 35, 1567–1579. [Google Scholar] [CrossRef]
  4. Liao, G.; He, D.; Wang, G.; Wang, L.; Wang, Z.; Su, C.; Qin, Q.; Bai, J.; Hu, Z.; Huang, Z.; et al. Discussion on the limit recovery factor of carbon dioxide flooding in a permanent sequestration scenario. Pet. Explor. Dev. 2022, 49, 1463–1470. [Google Scholar] [CrossRef]
  5. Wang, L.; Zhao, Q.; Li, Z. Experimental investigation of carbon dioxide flooding in heavy oil reservoirs for enhanced oil recovery. Energy Rep. 2022, 8, 10754–10761. [Google Scholar] [CrossRef]
  6. Al-Shargabi, M.; Davoodi, S.; Wood, D.A.; Rukavishnikov, V.S.; Minaev, K.M. Carbon dioxide applications for enhanced oil recovery assisted by nanoparticles: Recent developments. ACS Omega 2022, 7, 9984–9994. [Google Scholar] [CrossRef]
  7. Syah, R.; Alizadeh, S.M.; Nasution, M.K.M.; Kashkouli, M.N.I.; Elveny, M.; Khan, A. Carbon dioxide-based enhanced oil recovery methods to evaluate tight oil reservoirs productivity: A laboratory perspective coupled with geo-sequestration feature. Energy Rep. 2021, 7, 4697–4704. [Google Scholar] [CrossRef]
  8. Wen, H.; Cheng, X.; Chen, J.; Zhang, C.; Yu, Z.; Li, Z.; Fan, S.; Wei, G.; Cheng, B. Micro-pilot test for optimized pre-extraction boreholes and enhanced coalbed methane recovery by injection of liquid carbon dioxide in the Sangshuping coal mine. Process Saf. Environ. Prot. 2020, 136, 39–48. [Google Scholar] [CrossRef]
  9. Fakher, S.; Imqam, A. Application of carbon dioxide injection in shale oil reservoirs for increasing oil recovery and carbon dioxide storage. Fuel 2020, 265, 116944. [Google Scholar] [CrossRef]
  10. Talapatra, A. A study on the carbon dioxide injection into coal seam aiming at enhancing coal bed methane (ECBM) recovery. J. Pet. Explor. Prod. Technol. 2020, 10, 1965–1981. [Google Scholar] [CrossRef]
  11. Zhu, L.; Yao, X.; Zhang, X. Evaluation of cooperative mitigation: Captured carbon dioxide for enhanced oil recovery. Mitig. Adapt. Strateg. Glob. Change 2020, 25, 1261–1285. [Google Scholar] [CrossRef]
  12. Kandy, M.M.; Sankaralingam, M. Development of proficient photocatalytic systems for enhanced photocatalytic reduction of carbon dioxide. Sustain. Energy Fuels 2021, 5, 12–33. [Google Scholar] [CrossRef]
  13. Mohammed, R.H.; Alsagri, A.S.; Wang, X. Performance improvement of supercritical carbon dioxide power cycles through its integration with bottoming heat recovery cycles and advanced heat exchanger design: A review. Int. J. Energy Res. 2020, 44, 7108–7135. [Google Scholar] [CrossRef]
  14. Dilshad, S.; Kalair, A.R.; Khan, N. Review of carbon dioxide (CO2) based heating and cooling technologies: Past, present, and future outlook. Int. J. Energy Res. 2020, 44, 1408–1463. [Google Scholar] [CrossRef]
  15. Kalam, S.; Olayiwola, T.; Al-Rubaii, M.M.; Amaechi, B.I.; Jamal, M.S.; Awotunde, A.A. Carbon dioxide sequestration in underground formations: Review of experimental, modeling, and field studies. J. Pet. Explor. Prod. 2021, 11, 303–325. [Google Scholar] [CrossRef]
  16. Massarweh, O.; Abushaikha, A.S. A review of recent developments in CO2 mobility control in enhanced oil recovery. Petroleum 2022, 8, 291–317. [Google Scholar] [CrossRef]
  17. Bahrun, M.H.V.; Bono, A.; Othman, N.; Zaini, M.A.A. Carbon dioxide removal from biogas through pressure swing adsorption–A review. Chem. Eng. Res. Des. 2022, 183, 285–306. [Google Scholar] [CrossRef]
  18. Zheng, J.; Chong, Z.R.; Qureshi, M.F.; Linga, P. Carbon dioxide sequestration via gas hydrates: A potential pathway toward decarbonization. Energy Fuels 2020, 34, 10529–10546. [Google Scholar] [CrossRef]
  19. Srivastava, S.; Hitzmann, B.; Zettel, V. A future road map for carbon dioxide (CO2) gas hydrate as an emerging technology in food research. Food Bioprocess Technol. 2021, 14, 1758–1762. [Google Scholar] [CrossRef]
  20. Variar, A.G.; Ramyashree, M.S.; Ail, V.U.; Sudhakar, K.; Tahir, M. Influence of various operational parameters in enhancing photocatalytic reduction efficiency of carbon dioxide in a photoreactor: A review. J. Ind. Eng. Chem. 2021, 99, 19–47. [Google Scholar] [CrossRef]
  21. Tovar, F.D.; Barrufet, M.A.; Schechter, D.S. Enhanced oil recovery in the wolfcamp shale by carbon dioxide or nitrogen injection: An experimental investigation. SPE J. 2021, 26, 515–537. [Google Scholar] [CrossRef]
  22. Sahu, C.; Sircar, A.; Sangwai, J.S.; Kumar, R. Effect of methylamine, amylamine, and decylamine on the formation and dissociation kinetics of CO2 hydrate relevant for carbon dioxide sequestration. Ind. Eng. Chem. Res. 2022, 61, 2672–2684. [Google Scholar] [CrossRef]
Figure 1. Location map of the Lunnan oilfield (The arrow is pointing in the direction North).
Figure 1. Location map of the Lunnan oilfield (The arrow is pointing in the direction North).
Energies 17 03503 g001
Figure 2. Experimental process.
Figure 2. Experimental process.
Energies 17 03503 g002
Figure 3. Variation in carbon dioxide density with the pressure at different temperatures.
Figure 3. Variation in carbon dioxide density with the pressure at different temperatures.
Energies 17 03503 g003
Figure 4. Variation in carbon dioxide viscosity with the pressure under different temperature conditions.
Figure 4. Variation in carbon dioxide viscosity with the pressure under different temperature conditions.
Energies 17 03503 g004
Figure 5. Variation in expansion characteristics under different injection gas conditions.
Figure 5. Variation in expansion characteristics under different injection gas conditions.
Energies 17 03503 g005
Figure 6. Experimental results of the long core replacement with different gas injection methods. Green: oil drive efficiency; Orange: gas-oil ratio; Red represents: WAG, Cyclic CO2 drive, Continuous CO2 drive, CO2 + hydrocarbon gas segment plug drive separately.
Figure 6. Experimental results of the long core replacement with different gas injection methods. Green: oil drive efficiency; Orange: gas-oil ratio; Red represents: WAG, Cyclic CO2 drive, Continuous CO2 drive, CO2 + hydrocarbon gas segment plug drive separately.
Energies 17 03503 g006aEnergies 17 03503 g006b
Table 1. The physical characteristics of an analogue oil.
Table 1. The physical characteristics of an analogue oil.
Gas–Oil Ratio (m3/m3)Expansion CoefficientVolume CoefficientBubble Point Pressure (MPa)Crude Oil Density (g/cm3)Crude Oil Viscosity at Formation Pressure (mPa·s)Water Fraction Specification (mg/L)
42.521.00001.140112.0600.79783.617TDS ≈ 20,000
TDS: Total dissolved solids. Water fraction specification: Brine solution (TDS ≈ 20,000 mg/L). Predominantly NaCl, CaCl2, MgCl2, with trace ions mirroring Lunnan reservoir salinity and ionic balance.
Table 2. Parameters of sandstone reservoir samples for carbon dioxide oil drive experiments.
Table 2. Parameters of sandstone reservoir samples for carbon dioxide oil drive experiments.
Core NumberLength (cm)Diameter (cm)Porosity (%)Permeability (10−3 μm2)
15.012.5210.250.55
24.982.519.430.54
35.112.4810.320.51
44.962.5411.540.53
55.102.5511.330.49
64.892.479.340.61
75.062.4611.530.58
85.122.5510.330.54
95.042.508.330.61
Table 3. Core parameters of different replacement methods of carbon dioxide injections after a water drive in the oil group.
Table 3. Core parameters of different replacement methods of carbon dioxide injections after a water drive in the oil group.
Length (cm)100
Diameter (cm)3.8
Permeability (mD)45/190
Porosity (%)17.3/15.1
MaterialWild outcrop
Production methodBonding, pressing, wire cutting
Table 4. Extraction degree of the injected gas drive under different experimental pressures.
Table 4. Extraction degree of the injected gas drive under different experimental pressures.
Replacement Pressure (MPa)45.4040.0030.0027.5025.0020.00
Recovery rate (%)93.07292.54691.74490.54179.25154.087
Disclaimer/Publisher’s Note: The statements, opinions and data contained in all publications are solely those of the individual author(s) and contributor(s) and not of MDPI and/or the editor(s). MDPI and/or the editor(s) disclaim responsibility for any injury to people or property resulting from any ideas, methods, instructions or products referred to in the content.

Share and Cite

MDPI and ACS Style

Wu, Z.; Feng, Q.; Lian, L.; Meng, X.; Zhou, D.; Luo, M.; Cheng, H. Carbon Dioxide Oil Repulsion in the Sandstone Reservoirs of Lunnan Oilfield, Tarim Basin. Energies 2024, 17, 3503. https://doi.org/10.3390/en17143503

AMA Style

Wu Z, Feng Q, Lian L, Meng X, Zhou D, Luo M, Cheng H. Carbon Dioxide Oil Repulsion in the Sandstone Reservoirs of Lunnan Oilfield, Tarim Basin. Energies. 2024; 17(14):3503. https://doi.org/10.3390/en17143503

Chicago/Turabian Style

Wu, Zangyuan, Qihong Feng, Liming Lian, Xiangjuan Meng, Daiyu Zhou, Min Luo, and Hanlie Cheng. 2024. "Carbon Dioxide Oil Repulsion in the Sandstone Reservoirs of Lunnan Oilfield, Tarim Basin" Energies 17, no. 14: 3503. https://doi.org/10.3390/en17143503

APA Style

Wu, Z., Feng, Q., Lian, L., Meng, X., Zhou, D., Luo, M., & Cheng, H. (2024). Carbon Dioxide Oil Repulsion in the Sandstone Reservoirs of Lunnan Oilfield, Tarim Basin. Energies, 17(14), 3503. https://doi.org/10.3390/en17143503

Note that from the first issue of 2016, this journal uses article numbers instead of page numbers. See further details here.

Article Metrics

Back to TopTop