Abstract
An accurate simulation and computational analysis of temperature distribution in large power transformers used in power plants is crucial during both the design and operational phases. This study introduces a thermal modeling analysis encompassing two- and three-dimensional (2D and 3D) approaches for power transformers. The mathematical model for heat diffusion follows the Finite Element Method (FEM) approach. Validation of the computed results involves comparing them against measurements from Hyundai’s test report for both 2D and 3D models, aiming to identify the most effective solution. Additionally, the thermal dynamics of power transformers under diverse operational conditions, specifically oil-immersed ones, are examined. The efficacy of this model is confirmed through testing on a step-up transformer at Kureimat station in Egypt, with specifications including three-phase, 50 Hz, 16.5/240 KV, nine taps, and cooling type (ONAN/ONAF1/ONAF2).
1. Introduction
A power plant’s significant generator transformers represent some of the most expensive and crucial components within an electrical system. According to [1], breakdowns in coil insulation account for 80% of transformer failures. The acceptable temperature limits of the active components significantly influence transformers’ structural design, size, cost, load capacity, and operating conditions. Increased operating temperatures result from losses in the transformer windings, posing safety and longevity concerns. To ensure safe and sustainable operation, understanding the temperature distribution at various points is vital. Temperature increases can affect the insulating materials in the winding coils, with different materials having varying maximum temperature tolerances that impact the transformer’s lifespan. Certain areas on the windings experience higher temperatures than average, as noted in [2].
The main reason for such damage is the heat-related deterioration of transformer windings while in regular use [3]. Studies have shown that an increase of 10 degrees Kelvin in ambient temperature within the operational range decreases the average lifespan by 2.5%. The longevity of a transformer is significantly influenced by its thermal capacity [2]. The topic of hot spot temperature has garnered attention from research organizations, electrical divisions, and transformer producers due to its critical impact on operational parameters, physical states, and insulation durability [4,5].
Transformer losses lead to excessive heat generation, contributing to the deterioration of insulation and a decline in the transformer’s operational efficiency. Insulation system failures are the primary cause of transformer breakdowns [6,7], with significant power incidents often stemming from such failures. Consequently, the lifespan of a transformer aligns with that of its insulation system [8].
The impact of cooling arrangements and ambient temperatures on transformer efficiency is explored in [9]. Ref. [10] considers the longevity of transformers by analyzing oil circulation cooling methods and moisture levels to propose a novel approach. In [11], the distribution of liquid flow in oil-filled (OF) cooled power transformers is investigated concerning different geometric and operational variables. Ref. [12] assesses the effect of heat source placement by measuring the heat transfer coefficient (α) of insulating liquids utilized in power transformers. Several scholars [13,14,15,16] have delved into the heat transfer characteristics of diverse electrical transformers, employing thermal modeling and various numerical techniques for simulation, analysis, and computations using either 2D or 3D models. However, there has been limited research comparing the efficacy of 2D versus 3D models.
Thermal investigations are currently underway on natural esters to evaluate their viability as replacements for mineral oils in power transformers. A combined electromagnetic and thermo-fluid model was developed in Ref. [17] to simulate the thermal characteristics of an 8.5 MVA disk-type power transformer. This study showcased the effective use of biodegradable ester oils as cooling and insulating agents in power transformers. Ref. [18] delves into the fluid dynamics and thermal attributes of a 315 kVA ONAN distribution transformer, with a focus on the impact of substituting mineral oil with a biodegradable ester for cooling. The research revealed that transformers cooled with natural esters maintain higher average temperatures compared to those using mineral oil for cooling.
In Ref. [19], a comprehensive model of a medium-power distribution transformer was developed to compare the cooling efficacy of mineral oil and three biodegradable oils under different climate conditions. The results indicated minor temperature field variations between mineral and ester oil cooling, particularly in summertime ambient conditions. Ref. [20] introduced a mathematical model to analyze heat transfer in palm kernel oil methyl esters (PKOMEs) within transformers, demonstrating that PKOMEs maintain safe operating temperatures, with recorded maximum temperatures of 81.8 °C and 66.9 °C in practical transformer scenarios. These findings suggest that PKOME is a feasible substitute for mineral oils in distribution transformers.
This study utilizes 2D and 3D simulations to compute temperature distributions in power transformers. Model accuracy is validated against recorded values from Hyundai test reports and real-time readings. The research compares the performance of both models, with the 3D model aligning closely with actual conditions. Consequently, the 3D model is employed to simulate transient performance across a typical 24 h load cycle at ambient temperature, analyzing key factors influencing transformer operations.
To achieve optimal performance from a transformer, this paper conducts a thorough analysis of various factors. It employs a simulation approach using a two-dimensional and three-dimensional thermal model with the Finite Element Method (FEM) for a 300 MVA power transformer. The simulation results are then compared with actual test data from a Hyundai test report to determine the most effective model. The simulation focuses on identifying the temperature and location of hot spots within the transformer, aligning these findings with empirical measurements.
Boundary conditions are carefully set for both internal and external geometries of the transformer models, accounting for material properties. Additionally, the study investigates key operational parameters influencing transformer performance through a 3D model. These parameters include oil viscosity, the impact of employing nonflammable SF6 insulation gas under high pressure as a cooling medium (with variations in pressure and velocity), transient performance analysis, ambient temperature effects, cooling modes (ONAN/ONAF1/ONAF2), oil velocity influence, and transformer overload conditions.
The Finite Element Method (FEM) is a numerical technique used to approximate solutions for fractional differential and integral equations [21]. Its core principle involves breaking down the object into finite elements, often called elements, connected by nodes to approximate a solution. FEM’s major advantage over other numerical methods lies in its capability to handle non-uniform, anisotropic, and nonlinear characteristics in the solution diagram. This formulation remains unaffected by geometric complexities.
Various commercial programs offer FEM capabilities, with time-domain FEM being the most widely adopted and notably accurate option [22]. However, some quasi-nonlinear FEMs proposed for modeling and assessing losses in power transformers have encountered divergence issues and complex implementations. In recent years, FEM has gained popularity for modeling nonlinear materials and permanent magnets across different scenarios, supporting sinusoidal waveforms or virtually any excitation pulse waveform [23].
2. Methodology
This methodology outlines the procedure for employing the Finite Element Method (FEM) to address thermal issues in power transformers. The methodology uses ANSYS 15 software to create 2D and 3D models of a power transformer and analyzes its thermal performance.
- Model Creation
Software Selection
Use ANSYS software to model the transformer.
Components of the Model
- Iron core: The central part of the transformer that guides the magnetic flux.
- High-voltage windings: Copper windings designed to handle high voltage.
- Low-voltage windings: Copper windings designed to handle low voltage.
- Insulating oil: Used for cooling and insulation within the transformer.
- External tank: The enclosure that contains the core, windings, and oil.
Transformer Specifications
- Rating: 300 MVA
- Voltage: 16.5/240 KV
- Configuration: ∆/Y (Delta/Star)
- Phase: Three-phase unit
- Location: Kureimat Station, Egypt
- Application: Combined cycle power plant
Losses and Heat Generation
- Core losses: Heat generated due to hysteresis and eddy currents in the core.
- Winding losses: Heat generated due to the resistance in the copper windings.
- Operational losses: Additional heat generated during the operation of the transformer.
Heat Dissipation
- Heat generated within the transformer is dissipated to the ambient air.
- The dissipation process occurs in multiple stages, driven by temperature differentials at each boundary.
- Model Analysis
Input Loss Calculations
- Calculate the losses occurring within the transformer.
- Input these loss values into the 2D and 3D FEM models.
Temperature Distribution Analysis
- Use the models to analyze the temperature distribution within the transformer under different load conditions.
Validation
- Compare the temperature distribution results obtained from the FEM analysis with actual temperature measurements.
- Use the test report from Hyundai to verify the accuracy of the FEM model predictions.
Geometry Description
This particular transformer is a three-phase oil-immersed unit linked to a turbo generator, designed to elevate its voltage from 16.5 kV to the transmission level of 220 kV using a Delta–Star Connection. Detailed specifications of the transformer are outlined in Table 1. The structural elements of the transformer encompass various components, such as an external tank, insulating oil, an iron core, and copper windings.
Table 1.
Specifications of the transformer.
3. Finite Element Method
Governing Equations
FEM models were developed for 2D and 3D simulations based on the actual dimensions and geometry of the transformers. Within the FEM methodology, a complex region representing a continuum is segmented into simpler geometric entities termed finite elements.
The material properties and relationships governing the elements are represented using unspecified values at the corners. Through the assembly process, a set of equations is derived based on the imposed loading and constraints. These equations yield an approximate representation of the continuous behavior of the series. The finite element approach divides the solution field into regions or simple elements within the transformer. The transformer comprises several key components: an iron core, LV and HV copper windings, insulating oil, and an external tank.
Figure 1 illustrates a finite element network for both the 2D and 3D models. Each component of the power transformer is associated with a thermal differential equation. To ensure continuity at the boundaries of the elements, the individual solutions are meticulously interconnected to form the overall solution.
Figure 1.
Schematic of transformer with elements layout for finite element formulation: (a) 2D model; (b) 3D model.
The theoretical thermal model for this type of transformer is constrained by several assumptions. These include the uniform distribution of heat generation per unit volume across the core and coils (both LV and HV windings). To simplify computations, only the right half of the transformer is incorporated into the 2D model, while the right back quarter is included in the 3D model, taking advantage of the transformer’s symmetry. This approach reduces computation time significantly. Additionally, the bottom of the transformer is fully insulated to prevent heat transfer, and harmonic losses are not factored into the model. Ambient temperature measurements are always considered, and the thermos-physical properties of the transformer components are assumed to vary with temperature, as detailed in [24].
The heat transfer through conduction is modeled in a multidimensional state using the following governing partial differential equation [25]:
In the two-dimensional model, the differential equation that controls the heat transfer’s thermal conductivity is:
where
- T temperature (K)
- x, y, and z spatial variables (m)
- K thermal conductivity (W/m·K)
- q′ heat transfer rate (W/m3)
- ρ density (Kg/m3)
- C specific heat (J/kg·K)
- t time (s)
4. Heat Flow and Boundary Conditions
All power losses within the transformer’s components are transformed into thermal energy, which then disperses into the environment through various pathways due to temperature disparities at phase boundaries. Thermal conduction facilitates the transfer of heat from the core or windings to the exterior oiled surfaces and subsequently through the transformer’s tank walls. Additionally, convection aids in moving heat from the windings’ and core’s outer surfaces to the insulating oil, and from there to the inner tank surfaces. The temperature contrast with the surrounding air prompts the release of heat from the tank’s outer surfaces into the air through convection and radiation.
As per the manufacturer’s guidelines, the convective heat transfer in the proposed model can be either natural or forced, contingent upon the load levels. The temperature of the transformer’s windings is influenced by the load and plays a critical role in managing the cooling process. For a 180 MVA load, the cooling system operates in an oil-natural, air-natural (ONAN) mode, maintaining winding temperatures below 65 °C. At higher loads of 240 MVA (ONAF1) and 300 MVA (ONAF2), the cooling system shifts to an oil-natural and air-forced mode. This change occurs when winding temperatures exceed 65 °C and 75 °C, respectively. The first set of fans (ONAF1) is activated with ten fans (five on each side) to drive convection when needed. The second set (ONAF2) engages when coil temperatures rise above 75 °C, deploying 10 fans on each side for enhanced cooling.
4.1. Convection
The mathematical expression for the convective boundary condition in isotropic (three-dimensional) systems is derived by considering the energy balance on the specified surface, as explained in Ref. [26]:
In the two-dimensional model, the variable z is simplified. The heat transfer coefficient can be characterized using traditional Nusselt number correlations:
Depending on the type of convection, the average Nusselt number for forced and natural convection between various interfaces such as the outer surfaces of the iron core, the LV and HV windings, and the surrounding fluid, as well as between the fluid and the tank’s inner surface, and finally between the outer surface and the ambient air, are determined.
4.1.1. Free Convection
When an object bounces, it generates fluid motion or movement. In the case of a vertical plate experiencing laminar or turbulent flows with a consistent wall temperature:
In free convection on a horizontal plate, the average Nusselt number changes based on the surface orientation and the temperature variance between the plate and the surrounding fluid [26].
When the hot surface is oriented upward:
When the hot surface is oriented downward:
Ref. [26] elaborates on the Rayleigh number (Ra), Grashof number (Gr), Prandtl number (Pr), and other dimensionless parameters related to free convection.
4.1.2. Forced Convection
Fluids are coerced into motion to enhance heat flow in this type of heat transfer. The Reynolds number governs whether flow over a flat plate is laminar or turbulent [26].
Laminar flow is identified by a Reynolds number below 5 × 105. Based on laminar flow over a flat plate, the formula for computing the Nusselt number is as follows [26]:
When the Reynolds number surpasses 5 × 105, the flow transitions to turbulent. The subsequent formula for calculating the Nusselt number for turbulent flow over a flat plate is presented in [26].
4.2. Radiation
In many instances, the boundary conditions alone in a heat transfer analysis reveal the influence of radiation. Radiation evaluations are inherently nonlinear because the heat flux attributable to radiation varies with the fourth power of the absolute temperature.
By assuming an energy equilibrium at the surface, the radiation boundary condition for three dimensions can be expressed mathematically as follows [26,27]:
The term involving z is simplified for the two-dimensional model. The process of estimating the view factor between surfaces is carried out through the following integration [27]:
Fundamental areas on each surface, d Ai and d Aj, are connected by a line of length R, which respectively defines the polar angles θi and θj. The values of R, θi, and θj vary depending on the location of the elemental areas on Ai and Aj.
5. Transformer Losses
The high efficiency of the transformer during operation primarily stems from its static nature. However, losses still occur due to various factors, manifesting as heat, which increases temperature and decreases efficiency. These losses can be categorized into iron losses PNL, dielectric losses PD, and load losses PLL, which encompass ohmic loss and stray loss [28,29].
5.1. Iron Losses (PNL)
The magnetization current needed for the core of the transformer results in no-load losses, which remain constant regardless of the load. These losses are stable irrespective of the load and can be classified into losses from eddy currents and hysteresis within the core due to the alternating flow, which remains fixed. These power losses are unaffected by the load and are determined through an open-circuit test on the transformer.
5.2. Load Losses (PLL)
Load losses, on the other hand, vary based on the transformer’s loading. They include ohmic loss PR in the primary and secondary conductors and winding stray loss PEC, and are mainly caused by heat losses in the winding materials. Additional stray losses, known as POSL, arise from structures apart from windings and can be determined through short-circuit tests.
5.2.1. Ohmic Losses (PR)
Copper losses, which occur in the winding resistance of the transformer, are also known as ohmic losses. Eddy current losses in windings result from the skin effect and the proximity effect, influenced by the resistance and load current square of the trans-former’s primary and secondary windings (PW and SW). The rate of heat generation per unit volume of the copper coils for nonlinear loads is determined accordingly.
5.2.2. Winding Stray Loss (PEC)
Eddy current losses due to electromagnetic radiation in windings are proportional to the square of the root mean square current. The formula provided in Equation (16) applies to winding eddy current losses caused by any load and harmonics.
where:
- PEC−r rated eddy current losses, W
- K load coefficient with respect to the rated load value
- I1−r primary rated current, A.
5.2.3. Other Stray Loss (POSL)
Additional stray losses occur due to the electromagnetic flux–conductor relationship, inducing voltage in the conductor and forming eddy currents that cause loss and increase temperature. The amount of eddy current loss in the structural components apart from windings is also considered stray loss [30], albeit only for sinusoidal loads.
where POSL−r is rated other stray losses (W).
5.2.4. Total Stray Losses (PTSL)
Stray losses arise from the leakage field produced by the primary winding. To calculate total stray losses, ohmic losses are subtracted from the recorded load losses during impedance tests, including eddy current losses in windings and stray losses in structural components like the transformer’s tank. Distinguishing winding eddy losses from other stray losses lacks a specific test method, hence the estimation based on the IEEE standard [31] for oil-type transformers.
5.3. Dielectric Losses (PD)
Dielectric loss occurs in the transformer insulating material, such as oil. If the oil insulation of the transformer breaks down, the dielectric loss increases. The percentages of these losses are so small compared to those of iron and copper losses that they can be neglected.
Table 2 displays the calculated losses of the turbine generator transformer at 300 MVA.
Table 2.
The model calculated losses at 300 MVA.
6. Simulation and Results
6.1. Power Transformer Simulation Model
Under constant loading conditions, the temperature distribution is determined through steady-state analysis, solving thermal models in two and three dimensions. In this context, the variation of heat storage over time can be disregarded. Material properties in steady-state thermal analysis are temperature dependent and exhibit nonlinearity. Incorporating radiation effects makes the study highly nonlinear.
6.1.1. 2D Modelling
To validate the accuracy of the two-dimensional model, a thermal assessment is conducted to calculate the temperature distribution within transformer components. The input parameters for the model, such as thermal material properties, boundary conditions, and transformer dimensions, remain consistent with those of the 3D model. The power transformer used for validating the proposed model is operating at 50 Hz with a rating of 16.5/240 KV (with tap voltage options at 240 KV ± 4 × 2.5% steps across nine taps), and a capacity of (180/240/300) MVA, employing ONAN/ONAF1/ONAF2 cooling methods. This transformer’s representation is created using ANSYS 15 software.
Figure 2 illustrates a contour plot depicting the nodal temperature distribution of a power transformer in two dimensions under full load (300 MVA) at an ambient temperature of 24.3 °C. Notably, the highest temperature is recorded at 1.59 m from the base of the 2D model, precisely at the junction between the LV coil and the iron core, reaching 74.8 °C. The average temperatures of the LV coil and HV coil are 73.45 °C and 71.7 °C, respectively.
Figure 2.
Calculated temperature distribution in 2D at the full load of 300 MVA.
Assuming the highest oil temperatures are near the outer windings’ surface, approximately 5 cm from the windings, and tank temperatures at the outer surface, Figure 3 showcases temperature estimations along the height (longitudinal cross-section) of various transformer components, including inner and outer surfaces of LV and HV coils and the outer surface of the core’s middle leg.
Figure 3.
Variation of 2D intended temperatures at the full load of 300 MVA vs. the height (longitude cross-sections) of the transformer.
6.1.2. 3D Modelling
The 3D thermal model’s outcomes, specifically nodal temperatures, are derived from the modeling effort. The assessment of the thermal model’s reliability involves comparing results from the 3D model with those from a previous 2D model. Validation of the numerical values’ accuracy is achieved by comparing them to load measurements (full load), as documented in the Hyundai test report [32].
Figure 4 illustrates the utilization of 3D FEM to simulate the power transformer, aligning with the outlined hypotheses.
Figure 4.
3D simulation model.
The model for the ONAF2 power transformer is validated at 300 MVA with a continuous rating of 100% (tap 9 = 222 KV for primary voltage) and an ambient temperature of 24.3 °C. Figure 5 displays the contour diagram of the nodal temperature distribution for the power transformer under these specified conditions, focusing on the right rear quarter of the transformer.
Figure 5.
Calculated temperature distribution in 3D of a rear right quarter of the transformer at the full load of 300 MVA.
The iron core’s temperature ranges from 57.97 to 68.28 °C, as depicted in Figure 6a. Specifically, the iron core near the LV winding surface shows a higher temperature of 68.28 °C. The LV winding’s temperature varies from 65.67 °C to 68.28 °C, as shown in Figure 6b. The highest temperature occurs at the LV winding, located 1.59 m from the model’s bottom (representing 30% of the transformer’s height), matching the hottest temperature of the iron core. This higher temperature in the LV coil and iron core is due to the lower heat dissipation capacity of the cooling oil in this region.
Figure 6.
Calculated temperature distribution of rear right quarter of (a) the core at the full load of 300 MVA; (b) LV winding at the full load of 300 MVA; (c) HV winding at the full load of 300 MVA.
In contrast, the HV coil temperature ranges from 64.91 to 66.4 °C, as illustrated in Figure 6c. The temperature readings within the LV coil are consistently higher than those in the external HV coil. This is attributed to better heat transfer for HV windings, as the HV thermal coil is situated outside and surrounded by a larger volume of cooling oil, facilitating heat loss through convection.
The iron core, HV coil, and LV coil exhibit average estimated temperatures of approximately 63, 65.65, and 66.97 °C, respectively. By juxtaposing the computed average temperatures of the LV and HV coils with their corresponding average temperatures noted in the Hyundai test report [32], as delineated in Table 3, the accuracy of the suggested 3D model is validated.
Table 3.
The measured and calculated temperatures.
It is evident that the temperature values recorded in the Hyundai test report align with those derived from the model’s calculations. Table 3 outlines the comparison between the average calculated temperatures using the proposed model and the empirical data from the Hyundai test report [32].
A line is delineated intersecting the rear right quarter of the transformer’s components, corresponding to the calculated peak temperature of each component in the 3D model. This delineation captures where the highest temperature occurs within the transformer and extends through the other parts of the transformer on its breadth side in the YZ plane.
Figure 7 illustrates the temperatures of various elements such as the iron core, the inner and outer surfaces of the LV and HV coils, the oil temperature at a distance of 0.05 m from the outer surface of the HV windings, and the tank’s temperature, based on the results of steady-state thermal analysis.
Figure 7.
Variation of 3D intended temperatures at the full load of 300 MVA vs. the width plane cross-section of the rear quadrant of the transformer.
The model reveals that the maximum temperature is situated at the point where the core meets the LV winding, attributed to heat transfer predominantly via conduction in the inner diameter. As heat is dissipated through convection with the cooling oil, the temperature of the outer diameter of LV and HV windings decreases, along with a gradual decrease in oil temperature towards the external tank due to convection and radiation.
In both the 2D and 3D models, the higher temperature occurs at the same position. However, temperatures in the 2D model are 6.5 °C higher than the corresponding values in the 3D model. This difference arises because the 2D model overlooks certain elements, such as the oil dynamics within and outside the transformer. In the 2D setup, the internal oil region, confined by sealing, retains more heat than the outer oil due to heat generation. This slower cooling process in 2D is attributed to heat transfer through the core, coils, and outer oil.
Despite the high temperature of the oil aiding in cooling model components, it is noted that this cooling effect is limited, leading to temperature readings higher than those predicted in the three-dimensional models. However, the oil’s presence throughout the transformer’s 3D model facilitates heat transfer within the components, aiding in cooling. This indicates that the oils inside the transformer have direct contact with each other, contributing to the cooling process.
Table 4 presents a comparison of temperature computations between 3D and 2D models.
Table 4.
Comparison between 2D and 3D temperatures.
Conversely, the 3D analysis closely aligns with Hyundai’s reported temperatures, with the average LV winding temperature at 66.97 °C (0.41 °C higher than reported) and the HV winding temperature at 65.65 °C (1.19 °C difference). In contrast, the 2D model exhibits a significant deviation of 6.89 °C and 7.24 °C from the reported values for LV and HV winding, respectively.
These findings underscore the inadequacy of 2D modeling in providing accurate solutions, highlighting the superior performance of 3D modeling in approaching real-world conditions.
6.2. Transient Performance for Oil-Immersed Transformer
To analyze the temperature distribution across all components of the transformer and explore its transient behavior, a 3D thermal model is utilized, focusing on a quarter of the oil-immersed transformer due to its symmetrical properties. This model assumes a horizontal division through key points illustrated in Figure 8, representing the areas of the highest temperature.
Figure 8.
Locations of the estimated temperatures.
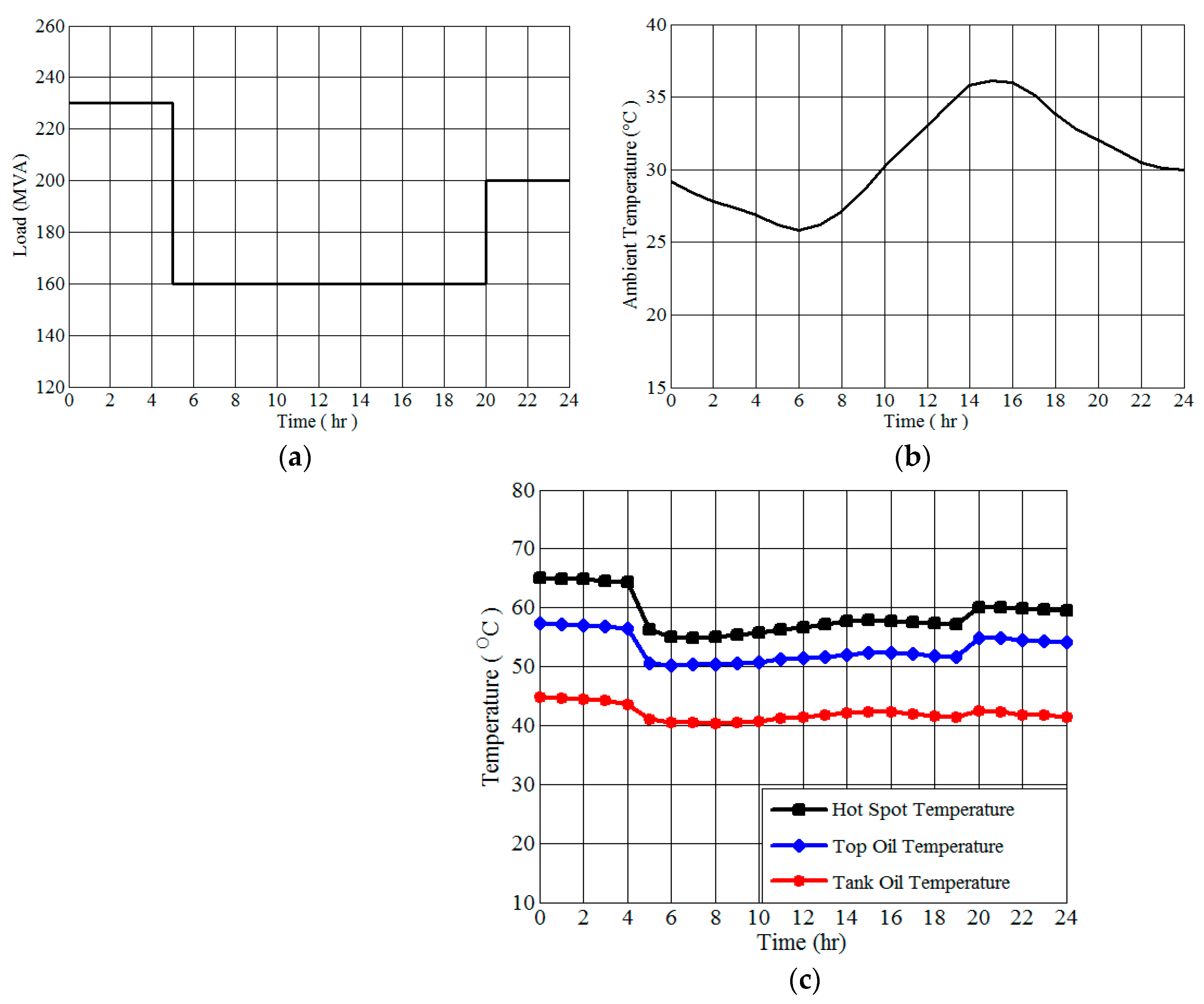
The simulation involves applying loads and adjusting ambient temperatures across a twenty-hour period, as depicted in Figure 9a, b. Given an unknown initial temperature, establishing a steady-state solution becomes crucial to set the starting condition. The initial setup involves a steady-state solution with a power of 235 MVA at an ambient temperature of 29.3 °C. Figure 9c presents the model’s assessment of hot spot temperature at three specified locations (hot spot temperature, top oil temperature, and tank temperature).
Figure 9.
(a) Actual load over 24 h; (b) time changes of ambient temperatures; (c) variation in 3D calculated temperatures vs. the width plane cross-section of the rear quadrant of the transformer.
Over the initial three hours, the transformer operates at a load of 235 MVA, equivalent to 78.3% of its maximum capacity. During this period, component temperatures decrease notably as ambient temperatures also decrease significantly.
As the power demand decreases from 235 MVA to 160 MVA at 05:00, there is a noticeable 3 °C difference between the predicted and observed temperatures. This difference arises because the calculated temperature of the transformer requires time to reach a stable temperature state. The transformer operates at a constant load of 160 MVA from 05:00 to 20:00, while the ambient temperature gradually increases, reaching a peak of 36 °C at 15:00. Consequently, we observe an increase in the transformer’s temperature relative to the ambient temperature.
Between 20:00 and 23:00, the load is increased to 200 MVA, leading to a higher heat generation rate per unit volume of copper in the windings. This increase in heat production results in elevated temperatures across the transformer’s components. Research findings indicate that as the load increases, both the core and the windings produce more heat per unit volume per unit time, leading to elevated temperatures in the transformer’s components.
The calculated transformer temperature is influenced by varying loads and changes in ambient temperature, showcasing the effectiveness of the thermal model used. Figure 10 illustrates a 24 h comparison of winding temperatures against measured temperatures in the specified area shown in Figure 8. The thermal model demonstrates good agreement between estimated and measured winding temperatures, validating its accuracy.
Figure 10.
Comparison between evaluated and measured hot spot temperature.
6.3. Thermal Performance of the Transformer under Different Conditions
This part considers the key operational factors affecting the transformer’s performance through the utilization of the 3D model. The temperatures estimated for the hot spot, top oil, and tank, as depicted in Figure 8, are analyzed to explore their impacts. The hot spot refers to the highest temperature calculated, situated between the LV winding and the core, representing the areas in the transformer experiencing the highest temperatures.
6.3.1. Different Oil Viscosities
The 3D thermal model was used to analyze the impact of oil viscosity on transformer cooling and temperature distribution. Simulations are conducted at viscosities of 4, 8, and 12 mm²/s, with an 80% load (240 MVA) and an ambient temperature of 20.6 °C. The resulting temperatures of the hot spot, top oil, and tank (where the hottest spot is located and which influences other transformer components in the YZ plane) are calculated and depicted in Figure 11a–c for each viscosity.
Figure 11.
The calculated temperatures of the 240 MVA model with different oil viscosities for (a) hot spot temperatures vs. the width plane cross-section of the rear quadrant of the transformer; (b) top oil temperatures vs. the width plane cross-section of the rear quadrant of the transformer; (c) tank temperatures vs. the width plane cross-section of the rear quadrant of the transformer.
The figures show the top oil temperatures relative to the width plane cross-section of the rear quadrant of the transformer, as well as the tank temperatures relative to the same cross-section. The analysis reveals that transformer component temperatures are indeed influenced by oil viscosity. Specifically, the hot spot temperature ranges from 50.6 °C to 74.6 °C across the tested viscosities, indicating a decrease in transformer temperature with increasing oil viscosity.
Furthermore, the computations indicate that a 1 mm²/s increase in viscosity leads to a 3 °C increase in operating temperature. Thus, utilizing lower-viscosity oil is recommended for efficient and rapid transformer cooling.
6.3.2. Ambient Temperature
In this study, the model is employed to analyze 240 MVA oil-immersed power transformers under varying ambient temperatures of 20, 30, and 40 °C. The analysis compares and examines the hot spot temperature, top oil temperature, and tank temperature.
The simulation maintains the same heat source (with identical losses) while altering the ambient temperature.
Figure 12a–c illustrate the variations in hot spot temperature, top oil temperature, and tank temperature across the length cross-sections of the transformer at 80% load (240 MVA).
Figure 12.
The calculated temperatures of the 240 MVA model with different ambient temperatures for (a) hot spot temperatures vs. the width plane cross-section of the rear quadrant of the transformer; (b) top oil temperatures vs. the width plane cross-section of the rear quadrant of the transformer; (c) tank temperatures vs. the width plane cross-section of the rear quadrant of the transformer.
As depicted in Figure 12a–c, the hot spot temperature, average top oil temperature, and tank temperature increase with higher ambient temperatures. These findings highlight the direct correlation between transformer temperatures and ambient air temperature. Specifically, the hot spot temperature peaks at 71.7 °C at 40 °C ambient temperature, decreases to 63.6 °C at 30 °C, and further decreases to 57.7 °C at 20 °C ambient temperature.
6.3.3. Effect of Cooling Modes (ONAN/ONAF1/ONAF2)
This transformer, originally designed for 180/240/300 MVA, incorporates cooling mechanisms such as ONAN/ONAF1/ONAF2. The choice of cooling mode depends on the oil and winding temperatures, which dictate the operating conditions. Here, we explore these modes using a model set at the same ambient temperature and constant load, with 18 fans providing forced cooling.
- ONAN (Oil Natural Air Natural):
Oil Circulation: The cooling oil inside the transformer circulates naturally without any mechanical assistance. The heat generated by the transformer’s core and windings causes the oil to rise due to natural convection. As the hot oil rises, it transfers heat to the cooler parts of the tank and eventually to the radiators.
Air Cooling: The heat from the oil is then dissipated into the surrounding air through natural convection. The air around the radiators or cooling fins absorbs the heat and carries it away.
- ONAF1 (Oil Natural Air Forced Stage 1):
Oil Circulation: Similar to ONAN, the oil circulation within the transformer is natural, driven by convection currents created by the heat generated within the transformer.
Air Cooling: The air cooling is assisted by fans. In the ONAF1 mode, a single stage of fans is used to blow air over the radiators or cooling fins, enhancing the heat dissipation process. The forced air flow increases the rate of heat transfer from the transformer oil to the surrounding air. At this point, nine fans are activated to assist in cooling when the winding or oil temperature exceeds the operational threshold.
- ONAF2 (Oil Natural Air Forced Stage 2):
Oil Circulation: Again, the oil circulates naturally due to convection currents.
Air Cooling: This mode involves a second stage of forced air cooling. In addition to the first set of fans (ONAF1), a second set of fans is activated to further increase the air flow over the cooling surfaces. This dual-stage air-forced cooling significantly enhances the transformer’s cooling capacity. It involves a second group (additional nine fans) complementing the first set that accelerate heat transfer. Here, all 18 fans are engaged to enhance cooling.
To assess the impact of these cooling modes, the thermal model was evaluated at 80% load and an ambient temperature of 20.6 °C. Figure 13a–c depict the results of the simulation for the three cooling modes mentioned earlier.
Figure 13.
The calculated temperatures of the 240 MVA model with different cooling modes for (a) hot spot temperatures vs. the width plane cross-section of the rear quadrant of the transformer; (b) top oil temperatures vs. the width plane cross-section of the rear quadrant of the transformer; (c) tank temperatures vs. the width plane cross-section of the rear quadrant of the transformer.
Comparing the core hot spot temperatures for ONAN, ONAF1, and ONAF2 at 240 MVA, we observe values of 81.2 °C, 57.7 °C, and 52 °C, respectively. Transitioning from ONAN to ONAF2 leads to a decrease in winding temperatures of 29.1 °C, in top oil temperatures of roughly 20.8 °C, and in tank surface temperatures of 16.7 °C. This underscores the significant impact of forced cooling on the transformer’s temperature regulation across its components.
6.3.4. Effect of Oil Velocity
To emphasize the impact of oil velocity on the model, we calculate the temperature distribution for specific points indicated in Figure 8 at velocities of 1 mm/s, 3 mm/s, and 5 mm/s under a load of 240 MVA.
According to Figure 14, the hot spot temperature calculated in the model at 5 mm/s is 66.38 °C, which is higher than the temperatures at 3 mm/s and 1 mm/s by 8.67 °C and 14.68 °C, respectively.
Figure 14.
The calculated temperatures of the 240 MVA model with different oil velocities for (a) hot spot temperatures vs. the width plane cross-section of the rear quadrant of the transformer; (b) top oil temperatures vs. the width plane cross-section of the rear quadrant of the transformer; (c) tank temperatures vs. the width plane cross-section of the rear quadrant of the transformer.
This difference is due to the fact that the oil velocity correlates with the flow rate of oil circulating through the transformer’s radiator, which is cooled by cooling fans. As the oil velocity increases, the temperature decreases, leading to lower winding and core temperatures. This demonstrates that higher oil velocities result in more evenly distributed temperatures across the transformer’s components.
6.3.5. Overloading the Transformer
At 20.6 °C ambient temperature, the transformer’s overload condition is evaluated at 110% of its rated capacity in ONAF2 cooling mode. The temperatures of various transformer components at specified locations (refer to Figure 8) are computed based on the 3D model simulation and the transformer’s width (in the Y direction). The anticipated temperature in the high-temperature region, positioned between the core and the LV winding, reaches 79.6 °C.
Figure 15 demonstrates the contrast in transformer temperatures between its rated full load and an overload condition of 110% of its capacity (330 MVA). It is evident that as the load escalates, the transformer’s losses and subsequent temperature distribution also increase.
Figure 15.
Comparison between the calculated temperatures at a 110% load and full load vs. the width plane cross-section of the rear quadrant of the transformer.
The core and winding temperatures, with an approximate value of 79.6 °C, are notably affected by the load increment, surpassing the temperature difference in the full load model by 11.33 °C. The top oil temperatures exhibit an increase of 6 °C, whereas the tank temperatures show a comparatively minor increase averaging 3.9 °C. This disparity may stem from the concentration of heat within the transformer’s center, where the heat generation per unit volume per unit time from the windings escalates with the load.
6.3.6. Changing the Fluid with SF6
The thermal 3D model developed undergoes validation using SF6 gas as the insulating medium instead of oil while operating under identical conditions. This model is employed to explore the impact of utilizing non-flammable SF6 gas for both insulation and cooling purposes. Consequently, the proposed thermal model is applied to a 16.5/220 kV/300 MVA transformer. To contrast an isolated SF6 gas-cooled power transformer with an oil-immersed power transformer, the model is subjected to a standard load cycle spanning 24 h and varying ambient temperatures (representing transient performance), as depicted in Figure 9a and Figure 9b, respectively.
The comparison is conducted under two scenarios: The first scenario (case A) involves the model under pressure using oil and SF6 gas at 0.24 MPa and a velocity of 1.5 m/s, while the second scenario (case B) increases the model’s medium pressure from 0.24 to 2 MPa and boosts the forced gas velocity from 1.5 m/s to 4.5 m/s. The hot spot temperature distribution of the winding, along with the top oil and top gas temperatures for both models, is illustrated in Figure 16. In comparison to the SF6 model, the oil transformer model exhibits a more favorable temperature distribution. This is due to the lower heat transfer coefficient of SF6 gas compared to oil at a specified gas pressure and forced gas velocity, alongside the higher thermal capacitance of oil compared to SF6 gas, resulting in elevated temperatures for SF6 transformers.
Figure 16.
Temperature distribution for both models (Case A).
The temperature distribution of the oil and SF6 gas models is illustrated in Figure 17, following an increase in gas velocity from 1.5 to 4.5 m/s and in gas pressure from 0.24 to 2 MPa. As the pressure and velocity of the SF6 gas rise, the temperature of the transformer components decreases, as shown in Figure 17. With an increase in the thermal capacity and flow speed of the SF6 gas, the temperature of the transformer component decreases as the gas pressure increases. Additionally, the temperature of the transformer component decreases as gas flows through the system more quickly.
Figure 17.
Temperature distribution for both models (Case B).
It was observed that there is a correlation between the temperatures of the SF6 gas component and both the forced gas velocity and the gas pressure at 2 MPa and 4.5 m/s, respectively. The transformer winding temperatures decrease while the SF6 gas temperatures increase, in line with increases in the SF6 gas pressure or velocity, and vice versa. This aligns with the finding that heat transmission in the SF6 gas is comparable to that in oil in [33]. To decrease the temperature of the SF6 gas transformer component while enhancing heat transfer, the gas pressure should be increased from 0.24 to 2 MPa and the forced gas velocity should be increased from 1.5 to 4.5 m/s.
According to Figure 17, the SF6 transformer’s temperature decreases and the gas temperature range is between 56.5 °C and 64.2 °C, yet oil still maintains the advantage of being at a lower temperature. However, the load cycle’s time-dependent variation results in a decrease in winding temperature and a very slight change in gas temperature compared to the oil temperature change. Under identical conditions, both transformers experience the same losses.
7. Conclusions
A simulation model for transformers using the Finite Element Method (FEM) is presented. Both 2D and 3D models are utilized to calculate temperature distribution, validated by comparing measured temperatures from Hyundai’s test report with calculated ones. The 3D model shows good agreement with reality, emphasizing the need for 3D analysis for improved accuracy.
Transient performance of an oil-immersed power transformer is studied across a typical 24 h load cycle at ambient temperature. Comparisons between assessed and measured hot spot values yield strong agreement.
Key factors impacting transformer operation are examined, including:
- The impact of oil viscosity on component temperatures, where a 1 mm3/s viscosity increase leads to a 3 °C temperature increase, highlighting lower-viscosity oils for better cooling.
- Ambient temperature variations from 20 to 40 °C affect the 3D oil-immersed transformer model’s behavior at 240 MVA, demonstrating noticeable effects.
- Different cooling modes (ONAN/ONAF1/ONAF2) at 80% load and 20.6 °C ambient temperature reveal significant impacts on transformer component temperatures, with forced cooling showing a pronounced effect.
- Oil velocity’s influence on temperature distribution is analyzed, showing that higher oil velocities enhance cooling and reduce transformer temperatures.
- Overloading the transformer at 110% load is investigated, comparing computed temperatures with maximum load model outputs.
- A 3D model comparison between SF6 and oil-immersed transformers under load cycles and varying ambient conditions shows SF6’s superior performance in certain scenarios.
Author Contributions
Conceptualization, M.S.S.; Methodology, M.S.S.; Software, M.S.S.; Validation, M.S.S.; Formal analysis, M.B.E.; Investigation, J.S. and M.B.E.; Visualization, J.S.; Supervision, J.S. and M.B.E. All authors have read and agreed to the published version of the manuscript.
Funding
This research received no external funding.
Conflicts of Interest
The authors declare no conflict of interest.
References
- Prytkov, S.F.; Gorbachev, V.M. Handbook Reliability of Radioelements; Moscow, Russia, 2012. [Google Scholar]
- Susa, D.; Lehtonen, M. Dynamic Thermal Modeling of Power Transformers: Further Development—Part I. IEEE Trans. Power Deliv. 2006, 21, 1961–1970. [Google Scholar] [CrossRef]
- AValuyskih, O.; Dulkin, I.N.; Filippov, A.A.; Tsfasman, G.M. Modeling of the thermal regime of the transformer in the control, monitoring and diagnostics. Electro 2008, 1, 15–19. [Google Scholar]
- Jahromi, A.; Piercy, R.; Cress, S.; Service, J.; Fan, W. An approach to power transformer asset management using health index. IEEE Electr. Insul. Mag. 2009, 25, 20–34. [Google Scholar] [CrossRef]
- Bicen, Y.; Cilliyuz, Y.; Aras, F.; Aydugan, G. An assessment on aging model of IEEE/IEC standards for natural and mineral oil-immersed transformer. In Proceedings of the IEEE International Conference on Dielectric Liquids, Trondheim, Norway, 26–30 June 2011; pp. 1–4. [Google Scholar]
- Jin, L.; Kim, D.; Abu-Siada, A.; Kumar, S. Oil-Immersed Power Transformer Condition Monitoring Methodologies: A Review. Energies 2022, 15, 3379. [Google Scholar] [CrossRef]
- Islam, M.M.; Lee, G.; Hettiwatte, S.N. A Review of Condition Monitoring Techniques and Diagnostic Tests for Lifetime Estimation of Power Transformers. Electr. Eng. 2018, 100, 581–605. [Google Scholar] [CrossRef]
- Polanský, R.; Hahn, P.; Kadlec, P.; Moravcová, D.; Prosr, P. Quantifying the Effect of Catalysts on the Lifetime of Transformer Oil. Appl. Sci. 2020, 10, 1309. [Google Scholar] [CrossRef]
- Janic, Z.; Gavrilov, N.; Roketinec, I. Influence of Cooling Management to Transformer Efficiency and Ageing. Energies 2023, 16, 4626. [Google Scholar] [CrossRef]
- Liang, Z.; Fang, Y.; Cheng, H.; Sun, Y.; Li, B.; Li, K.; Zhao, W.; Sun, Z.; Zhang, Y. Innovative Transformer Life Assessment Considering Moisture and Oil Circulation. Energies 2024, 17, 429. [Google Scholar] [CrossRef]
- Plaznik, U.; Breznik, B.; Prašnikar, B. Theoretical Study of Liquid Flow and Temperature Distribution in OF-Cooled Power Transformers. Energies 2024, 17, 571. [Google Scholar] [CrossRef]
- Goscinski, P.; Nadolny, Z.; Nawrowski, R.; Boczar, T. The Tools and Parameters to Consider in the Design of Power Transformer Cooling Systems. Energies 2023, 16, 8000. [Google Scholar] [CrossRef]
- Henriques, H.O.; Vizeu, C.E.; Souza, P.C.; Costa, M.C.; Sotelo, G.G.; Sousa, J.M.; Fortes, M.Z.; Ferreira, V.H. Coupled electromagnetic-thermal simulation of a power transformer by 3D fem. Acta Politec 2020, 60, 400–409. [Google Scholar] [CrossRef]
- Santisteban, A.; Piquero, A.; Ortiz, F.; Delgado, F.; Ortiz, A. Thermal modelling of a power transformer disc type winding immersed in mineral and ester-based oils using network models and CFD. IEEE Access 2019, 7, 174651–174661. [Google Scholar] [CrossRef]
- Tello Campos, A.R.; García Hernández, S.; Vicente Rodríguez, W.; Carbajal Mariscal, I.; Ocon Valdez, R. 2D Thermal simulation of a mixed cooled power transformer and its analysis of the flow dynamics affecting the cooling of the windings. Int. J. Eng. Adv. Res. Technol. 2018, 4, 6–12. [Google Scholar]
- Tenbohlen, S.; Schmidt, N.; Breuer, C.; Khandan, S.; Lebreton, R. Investigation of thermal behavior of an oil-directed cooled transformer winding. IEEE Trans. Power Deliv. 2017, 33, 1091–1098. [Google Scholar] [CrossRef]
- Stebel, M.; Kubiczek, K.; Rodriguez, G.R.; Palacz, M.; Garelli, L.; Melka, B.; Haida, M.; Bodys, J.; Nowak, A.J.; Lasek, P.; et al. Thermal analysis of 8.5 MVA disk-type power transformer cooled by biodegradable ester oil working in ONAN mode by using advanced EMAG–CFD–CFD coupling. Int. J. Electr. Power Energy Syst. 2022, 136, 107737. [Google Scholar] [CrossRef]
- Garelli, L.; Rodriguez, G.A.R.; Kubiczek, K.; Lasek, P.; Stepien, M.; Smolka, J.; Storti, M.; Pessolani, F.; Amadei, M. Thermo-magnetic-fluid dynamics analysis of an ONAN distribution transformer cooled with mineral oil and biodegradable esters. Therm. Sci. Eng. Prog. 2021, 23, 100861. [Google Scholar] [CrossRef]
- Melka, B.; Stebel, M.; Bodys, J.; Kubiczek, K.; Lasek, P.; Rodriguez, G.R.; Garelli, L.; Haida, M.; Palacz, M.; Nowak, A.J.; et al. Effective Cooling of a Distribution Transformer Using Biodegradable Oils at Different Climate Conditions. IEEE Trans. Dielectr. Electr. Insul. 2023, 30, 1557–1565. [Google Scholar] [CrossRef]
- Kamhoua, A.; Mengounou, G.M.; Monkam, L.; Imano, A.M. Contribution to the use of palm kernel oil methyl esters as liquid bio-insulators in distribution transformers: Experimentation and simulation of heat transfer. Results Eng. 2024, 22, 102316. [Google Scholar] [CrossRef]
- Emad, D. A simplified iron loss model for laminated magnetic cores. IEEE Trans. Magn. 2008, 44, 3169–3172. [Google Scholar]
- GChitaliya, H.; Joshi, S.K. Finite Element Method for Designing and Analysis of the Transformer—A Retrospective. In Proceedings of the International Conference on Recent Trends in Power, Control and Instrumentation Engineering, Hyderabad, India, 8–9 November 2013; pp. 54–58. [Google Scholar]
- SHosseini, M.H.; Madar, S.M.E.; Vakilian, M. Using the finite element method to calculate parameters for a detailed model of transformer winding for partial discharge research. Turk. J. Electr. Eng. Comput. Sci. 2015, 23, 709–718. [Google Scholar] [CrossRef]
- John, H.; Lienhard, I.V. A Heat Transfer Textbook, 3rd ed.; Phlogiston Press: Cambridge, MA, USA, 2005. [Google Scholar]
- Naterer, G.F. Advanced Heat Transfer, 2nd ed.; CRC Press: Boca Raton, FL, USA, 2018; Volume 53. [Google Scholar]
- Ozisik, M.N. Heat Transfer a Basic Approach; McGrawHill: New York, NY, USA, 1985. [Google Scholar]
- Böckh, P.; Wetzel, T. Heat Transfer (Basics and Practice); Springer: Berlin/Heidelberg, Germany; New York, NY, USA, 2012. [Google Scholar]
- Sadati, S.B.; Tahani, A.; Jafari, M.; Dargahi, M. Derating of transformers under Non-sinusoidal Loads. In Proceedings of the 11th IEEE International Conference on Optimization of Electrical and Electronic Equipment, Brasov, Romania, 22–24 May 2008; pp. 263–268. [Google Scholar]
- Sadati, S.B.; Tahani, A.; Darvishi, B.; Drgahi, M.; Youefi, H. Comparison of Distribution Transformer Losses and Capacity under Linear and Harmonic Loads. In Proceedings of the 2nd IEEE International Power and Energy Conference, Johor Bharu, Malaysia, 1–3 December 2008; pp. 1265–1269. [Google Scholar]
- Jayasinghe, N.R.; Lucas, J.R.; Perera, K.B.I.M. Power System Harmonic Effects on Distribution Transformer and New Design considerations for K Factor transformers. In IEE Sri Lanka Annual Sessions; IEEE: Colombo, Sri Lanka, 2003; Available online: https://studylib.net/doc/18432711/power-system-harmonic-effects-on-distribution-transformer (accessed on 25 May 2024).
- C57.110-2008; IEEE Recommended Practice for Establishing Liquid-Field and Dry-Type Power and Distribution Transformer Capability When Supplying Nonsinusoidal Load Currents. IEEE: Piscataway, NJ, USA, 2008.
- Manual manufacturer, Technical Documentation for Hyundai Test Report, 2006.
- Conti-Elektro-Berichte. July/September 1966, p. 189.
Disclaimer/Publisher’s Note: The statements, opinions and data contained in all publications are solely those of the individual author(s) and contributor(s) and not of MDPI and/or the editor(s). MDPI and/or the editor(s) disclaim responsibility for any injury to people or property resulting from any ideas, methods, instructions or products referred to in the content. |
© 2024 by the authors. Licensee MDPI, Basel, Switzerland. This article is an open access article distributed under the terms and conditions of the Creative Commons Attribution (CC BY) license (https://creativecommons.org/licenses/by/4.0/).
















