A Review of Coupled Geochemical–Geomechanical Impacts in Subsurface CO2, H2, and Air Storage Systems
Abstract
1. Introduction

| Mechanism: | References: | |
|---|---|---|
| Structural Trapping |
| (Saadatpoor et al., 2010) [14] |
| Residual Trapping |
| (Krevor et al., 2015) [15] |
| Solubility Trapping |
| (Emami-Meybodi et al., 2015) [16] |
| Mineral Trapping |
| (Bachu, 2008; Zhang and DePaolo, 2017) [17,18] |
2. Geochemical Reactions
2.1. CO2 Geological Sequestration
2.2. Underground H2 Storage
2.3. Compressed Air Energy Storage
3. Geochemical Alteration of Porosity and Permeability
3.1. Experimental Approach
3.2. CO2 Geological Sequestration
3.3. Underground H2 Storage
3.4. Compressed Air Energy Storage
4. Geochemical Alteration of Mechanical Properties
4.1. Experimental Approach
4.2. CO2 Geological Sequestration
4.3. Underground H2 Storage and Compressed Air Energy Storage
5. Pilot-Scale Observations
5.1. Decatur, Illinois, United States
5.2. Heletz, Israel
5.3. Hontomín, Spain
6. Conclusions
- In GCS systems, mineral dissolution accounts for most of the reported increases in porosity. Generally, mineral dissolution generates a larger porosity and leads to an increase in permeability while mineral precipitation reduces the porosity and causes reductions in permeability. Due to opening or closure of pore throats and the creation of new flow paths, slight changes in porosity can significantly affect the permeability.
- In UHS systems, the H2-induced reductive dissolution leads to complex changes in porosity and permeability. There is no clear trend in these changes.
- In CAES systems, the study on the impact of oxidation reactions on porosity and permeability is very limited. Geochemical modeling of a long-term operation reported insignificant changes in porosity and permeability.
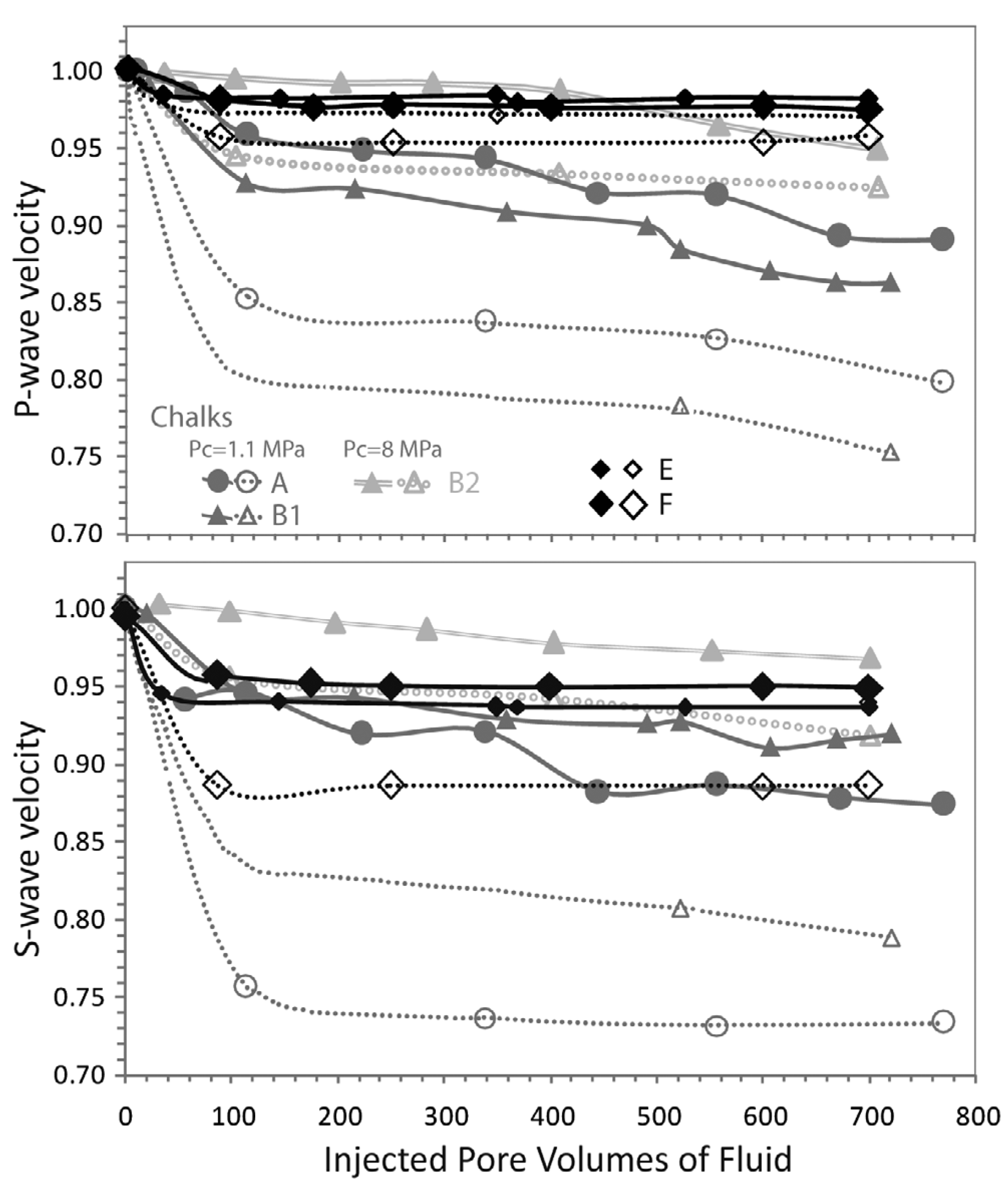
- In GCS systems, CO2-induced mineral dissolution is commonly reported, and leads to reductions in strength, the elastic modulus, and wave velocity. For sandstone samples with low carbonate content or quartz-cemented, even if carbonate dissolution occurs, their mechanical properties can be retained. Salt precipitation can lead to reduction in permeability and an increase in wave velocity.
- In UHS systems, the study of the geochemical alteration of mechanical properties of formation rock is limited. H2-induced dissolution is anticipated to cause reductions in strength, the elastic modulus, and the effective friction angle. The complex H2 induced reactions in the UHS systems raise the necessity of investigations into the H2-induced alteration of mechanical properties.
- In CAES systems, the geochemical alteration of the mechanical properties of rock formations has not been studied yet due to their relatively low reactivity. However, potential reaction-induced local mineral swelling may have a negative impact on caprock integrity and is worth further investigation.
- The review of pilot scale observations in three GCS systems highlight the importance of studying the coupled geochemical–geomechanical impact of these subsurface energy storage systems.
7. Future Research
- More studies on the mechanical properties of formation samples under in situ conditions in GCS systems are suggested because ex situ measurements cannot ensure the tested samples are always under reservoir conditions.
- In GCS systems, the simultaneous collection of information about chemical reactions and mechanical properties during interaction between rock and fluid is valuable in studying coupled geochemical–geomechanical processes. Core-flooding experiments combined with wave velocity measurements are a promising way to reach this goal.
- In GCS system, more long-term investigations of coupled geochemical–geomechanical process are needed to simulate the real time scale of GCS.
- In UHS systems, more studies need to be carried out to investigate H2-induced reductive dissolution with different types of rock because the reactivity of different minerals to H2 is still not well understood.
- In UHS systems, an investigation into the effect of reactions on the porosity and permeability of rock samples should be conducted at wider temperature and pressure range, and longer periods.
- In UHS systems, the stress state of the reservoir changes frequently due to the injection–extraction operation mode. More studies about the effect of these reactions on mechanical properties of rock samples, which are insufficient now, need to be carried out.
- In CAES systems, more investigations into the reaction between O2 and pyrite-bearing rock samples are suggested because this will also benefit other gas storage applications using air as cushion gas [159].
- In CAES systems, where CO2 works as a cushion gas, studies on the impact of oxidation reaction and CO2-induced reaction on mechanical properties of rock samples are suggested. Even though the CO2-induced dissolution can be suppressed in this system, the porosity increase at the location close to the injection well was relatively significant [100].
Funding
Conflicts of Interest
References
- Bachu, S. Sequestration of CO2 in geological media: Criteria and approach for site selection in response to climate change. Energy Convers. Manag. 2000, 41, 953–970. [Google Scholar] [CrossRef]
- Black, J.R.; Carroll, S.A.; Haese, R.R. Rates of mineral dissolution under CO2 storage conditions. Chem. Geol. 2015, 399, 134–144. [Google Scholar] [CrossRef]
- Bensinger, J.; Beckingham, L.E. CO2 storage in the Paluxy formation at the Kemper County CO2 storage complex: Pore network properties and simulated reactive permeability evolution. Int. J. Greenh. Gas Control 2020, 93, 102887. [Google Scholar] [CrossRef]
- Cole, D.R.; Chialvo, A.A.; Rother, G.; Vlcek, L.; Cummings, P.T. Supercritical fluid behavior at nanoscale interfaces: Implications for CO2 sequestration in geologic formations. Philos. Mag. 2010, 90, 2339–2363. [Google Scholar] [CrossRef]
- Raza, A.; Rezaee, R.; Bing, C.H.; Gholami, R.; Hamid, M.A.; Nagarajan, R. Carbon dioxide storage in subsurface geologic medium: A review on capillary trapping mechanism. Egypt. J. Pet. 2016, 25, 367–373. [Google Scholar] [CrossRef]
- Yang, J.; Lian, H.; Liang, W.; Nguyen, V.P.; Chen, Y. Experimental investigation of the effects of supercritical carbon dioxide on fracture toughness of bituminous coals. Int. J. Rock Mech. Min. Sci. 2018, 107, 233–242. [Google Scholar] [CrossRef]
- Pan, B.; Lei, J.; Zhang, L.; Guo, Y. Research on the physical properties of supercritical CO2 and the log evaluation of CO2-bearing volcanic reservoirs. J. Geophys. Eng. 2017, 14, 1052–1060. [Google Scholar] [CrossRef]
- Gislason, S.R.; Wolff-Boenisch, D.; Stefansson, A.; Oelkers, E.H.; Gunnlaugsson, E.; Sigurdardottir, H.; Sigfusson, B.; Broecker, W.S.; Matter, J.M.; Stute, M.; et al. Mineral sequestration of carbon dioxide in basalt: A pre-injection overview of the CarbFix project. Int. J. Greenh. Gas Control 2010, 4, 537–545. [Google Scholar] [CrossRef]
- McGrail, B.P.; Spane, F.A.; Sullivan, E.C.; Bacon, D.H.; Hund, G. The Wallula basalt sequestration pilot project. Energy Procedia 2011, 4, 5653–5660. [Google Scholar] [CrossRef]
- Kelemen, P.B.; Matter, J. In situ carbonation of peridotite for CO2 storage. Proc. Natl. Acad. Sci. USA 2008, 105, 17295–17300. [Google Scholar] [CrossRef]
- Chopping, C.; Kaszuba, J.P. Supercritical carbon dioxide–brine–rock reactions in the Madison Limestone of Southwest Wyoming: An experimental investigation of a sulfur-rich natural carbon dioxide reservoir. Chem. Geol. 2012, 322–323, 223–236. [Google Scholar] [CrossRef]
- Gadikota, G.; Matter, J.; Kelemen, P.; Park, A.-h.A. Chemical and morphological changes during olivine carbonation for CO2 storage in the presence of NaCl and NaHCO3. Phys. Chem. Chem. Phys. 2014, 16, 4679–4693. [Google Scholar] [CrossRef] [PubMed]
- Beckingham, L.E.; Winningham, L. Critical Knowledge Gaps for Understanding Water–Rock–Working Phase Interactions for Compressed Energy Storage in Porous Formations. ACS Sustain. Chem. Eng. 2020, 8, 2–11. [Google Scholar] [CrossRef]
- Saadatpoor, E.; Bryant, S.L.; Sepehrnoori, K. New Trapping Mechanism in Carbon Sequestration. Transp. Porous Media 2010, 82, 3–17. [Google Scholar] [CrossRef]
- Krevor, S.; Blunt, M.J.; Benson, S.M.; Pentland, C.H.; Reynolds, C.; Al-Menhali, A.; Niu, B. Capillary trapping for geologic carbon dioxide storage—From pore scale physics to field scale implications. Int. J. Greenh. Gas Control 2015, 40, 221–237. [Google Scholar] [CrossRef]
- Emami-Meybodi, H.; Hassanzadeh, H.; Green, C.P.; Ennis-King, J. Convective dissolution of CO2 in saline aquifers: Progress in modeling and experiments. Int. J. Greenh. Gas Control 2015, 40, 238–266. [Google Scholar] [CrossRef]
- Bachu, S. CO2 storage in geological media: Role, means, status and barriers to deployment. Prog. Energy Combust. Sci. 2008, 34, 254–273. [Google Scholar] [CrossRef]
- Zhang, S.; DePaolo, D.J. Rates of CO2 Mineralization in Geological Carbon Storage. Acc. Chem. Res. 2017, 50, 2075–2084. [Google Scholar] [CrossRef] [PubMed]
- Amid, A.; Mignard, D.; Wilkinson, M. Seasonal storage of hydrogen in a depleted natural gas reservoir. Int. J. Hydrogen Energy 2016, 41, 5549–5558. [Google Scholar] [CrossRef]
- Hassannayebi, N.; Azizmohammadi, S.; De Lucia, M.; Ott, H. Underground hydrogen storage: Application of geochemical modelling in a case study in the Molasse Basin, Upper Austria. Environ. Earth Sci. 2019, 78, 177. [Google Scholar] [CrossRef]
- Liu, W.; Zhang, Z.; Chen, J.; Jiang, D.; Wu, F.; Fan, J.; Li, Y. Feasibility evaluation of large-scale underground hydrogen storage in bedded salt rocks of China: A case study in Jiangsu province. Energy 2020, 198, 117348. [Google Scholar] [CrossRef]
- Ozarslan, A. Large-scale hydrogen energy storage in salt caverns. Int. J. Hydrogen Energy 2012, 37, 14265–14277. [Google Scholar] [CrossRef]
- Lankof, L.; Tarkowski, R. Assessment of the potential for underground hydrogen storage in bedded salt formation. Int. J. Hydrogen Energy 2020, 45, 19479–19492. [Google Scholar] [CrossRef]
- Sainz-Garcia, A.; Abarca, E.; Rubi, V.; Grandia, F. Assessment of feasible strategies for seasonal underground hydrogen storage in a saline aquifer. Int. J. Hydrogen Energy 2017, 42, 16657–16666. [Google Scholar] [CrossRef]
- Paluszny, A.; Graham, C.C.; Daniels, K.A.; Tsaparli, V.; Xenias, D.; Salimzadeh, S.; Whitmarsh, L.; Harrington, J.F.; Zimmerman, R.W. Caprock integrity and public perception studies of carbon storage in depleted hydrocarbon reservoirs. Int. J. Greenh. Gas Control 2020, 98, 103057. [Google Scholar] [CrossRef]
- Schimmel, M.T.W.; Hangx, S.J.T.; Spiers, C.J. Impact of Chemical Environment on Compaction Behaviour of Quartz Sands during Stress-Cycling. Rock Mech. Rock Eng. 2021, 54, 981–1003. [Google Scholar] [CrossRef]
- Guo, C.; Li, C.; Zhang, K.; Cai, Z.; Ma, T.; Maggi, F.; Gan, Y.; El-Zein, A.; Pan, Z.; Shen, L. The promise and challenges of utility-scale compressed air energy storage in aquifers. Appl. Energy 2021, 286, 116513. [Google Scholar] [CrossRef]
- Koohi-Fayegh, S.; Rosen, M.A. A review of energy storage types, applications and recent developments. J. Energy Storage 2020, 27, 101047. [Google Scholar] [CrossRef]
- Zhang, X.; Gao, Z.; Zhou, B.; Guo, H.; Xu, Y.; Ding, Y.; Chen, H. Advanced Compressed Air Energy Storage Systems: Fundamentals and Applications. Engineering 2024, 34, 246–269. [Google Scholar] [CrossRef]
- Succar, S.; Williams, R.H. Compressed air energy storage: Theory, resources, and applications for wind power. Princet. Environ. Inst. Rep. 2008, 8, 81. [Google Scholar]
- Allen, R.D.; Doherty, T.J.; Erikson, R.L.; Wiles, L.E. Factors Affecting Storage of Compressed Air in Porous-Rock Reservoirs; Pacific Northwest National Lab: Richland, WA, USA, 1983. [CrossRef]
- Li, Y.; Li, Y.; Liu, Y.; Cao, X. Compressed air energy storage in aquifers: Basic principles, considerable factors, and improvement approaches. Rev. Chem. Eng. 2021, 37, 561–584. [Google Scholar] [CrossRef]
- Bui, H.; Herzog, R.; Jacewicz, D.; Lange, G.; Scarpace, E.; Thomas, H. Compressed-Air Energy Storage: Pittsfield Aquifer Field Test; Electric Power Research Institute: Palo Alto, CA, USA; ANR Storage Co.: Detroit, MI, USA, 1990. [Google Scholar]
- DePaolo, D.J.; Cole, D.R. Geochemistry of Geologic Carbon Sequestration: An Overview. Rev. Mineral. Geochem. 2013, 77, 1–14. [Google Scholar] [CrossRef]
- McGrail, B.P.; Schaef, H.T.; Spane, F.A.; Cliff, J.B.; Qafoku, O.; Horner, J.A.; Thompson, C.J.; Owen, A.T.; Sullivan, C.E. Field Validation of Supercritical CO2 Reactivity with Basalts. Environ. Sci. Technol. Lett. 2017, 4, 6–10. [Google Scholar] [CrossRef]
- Peuble, S.; Godard, M.; Luquot, L.; Andreani, M.; Martinez, I.; Gouze, P. CO2 geological storage in olivine rich basaltic aquifers: New insights from reactive-percolation experiments. Appl. Geochem. 2015, 52, 174–190. [Google Scholar] [CrossRef]
- Yekta, A.E.; Pichavant, M.; Audigane, P. Evaluation of geochemical reactivity of hydrogen in sandstone: Application to geological storage. Appl. Geochem. 2018, 95, 182–194. [Google Scholar] [CrossRef]
- Bo, Z.; Zeng, L.; Chen, Y.; Xie, Q. Geochemical reactions-induced hydrogen loss during underground hydrogen storage in sandstone reservoirs. Int. J. Hydrogen Energy 2021, 46, 19998–20009. [Google Scholar] [CrossRef]
- Hemme, C.; Van Berk, W. Hydrogeochemical Modeling to Identify Potential Risks of Underground Hydrogen Storage in Depleted Gas Fields. Appl. Sci. 2018, 8, 2282. [Google Scholar] [CrossRef]
- Pichler, M. Assesment of Hydrogen—Rock Interactions during Geological Storage of CH4–H2 Mixtures. Master’s Thesis, University of Leoben, Leoben, Austria, 2013. [Google Scholar]
- Zeng, L.; Keshavarz, A.; Xie, Q.; Iglauer, S. Hydrogen storage in Majiagou carbonate reservoir in China: Geochemical modelling on carbonate dissolution and hydrogen loss. Int. J. Hydrogen Energy 2022, 47, 24861–24870. [Google Scholar] [CrossRef]
- Shi, Z.; Jessen, K.; Tsotsis, T.T. Impacts of the subsurface storage of natural gas and hydrogen mixtures. Int. J. Hydrogen Energy 2020, 45, 8757–8773. [Google Scholar] [CrossRef]
- Heinemann, N.; Alcalde, J.; Miocic, J.M.; Hangx, S.J.T.; Kallmeyer, J.; Ostertag-Henning, C.; Hassanpouryouzband, A.; Thaysen, E.M.; Strobel, G.J.; Schmidt-Hattenberger, C.; et al. Enabling large-scale hydrogen storage in porous media—The scientific challenges. Energy Environ. Sci. 2021, 14, 853–864. [Google Scholar] [CrossRef]
- Thiyagarajan, S.R.; Emadi, H.; Hussain, A.; Patange, P.; Watson, M. A comprehensive review of the mechanisms and efficiency of underground hydrogen storage. J. Energy Storage 2022, 51, 104490. [Google Scholar] [CrossRef]
- Flesch, S.; Pudlo, D.; Albrecht, D.; Jacob, A.; Enzmann, F. Hydrogen underground storage—Petrographic and petrophysical variations in reservoir sandstones from laboratory experiments under simulated reservoir conditions. Int. J. Hydrogen Energy 2018, 43, 20822–20835. [Google Scholar] [CrossRef]
- Henkel, S.; Pudlo, D.; Werner, L.; Enzmann, F.; Reitenbach, V.; Albrecht, D.; Würdemann, H.; Heister, K.; Ganzer, L.; Gaupp, R. Mineral Reactions in the Geological Underground Induced by H2 and CO2 Injections. Energy Procedia 2014, 63, 8026–8035. [Google Scholar] [CrossRef]
- Lassin, A.; Dymitrowska, M.; Azaroual, M. Hydrogen solubility in pore water of partially saturated argillites: Application to Callovo-Oxfordian clayrock in the context of a nuclear waste geological disposal. Phys. Chem. Earth Parts A/B/C 2011, 36, 1721–1728. [Google Scholar] [CrossRef]
- Pudlo, D.; Flesch, S.; Albrecht, D.; Reitenbach, V. The impact of hydrogen on potential underground energy reservoirs. In Proceedings of the 20th EGU General Assembly Conference, Vienna, Austria, 4–13 April 2018. [Google Scholar]
- Truche, L.; Berger, G.; Destrigneville, C.; Pages, A.; Guillaume, D.; Giffaut, E.; Jacquot, E. Experimental reduction of aqueous sulphate by hydrogen under hydrothermal conditions: Implication for the nuclear waste storage. Geochim. Cosmochim. Acta 2009, 73, 4824–4835. [Google Scholar] [CrossRef]
- Truche, L.; Jodin-Caumon, M.-C.; Lerouge, C.; Berger, G.; Mosser-Ruck, R.; Giffaut, E.; Michau, N. Sulphide mineral reactions in clay-rich rock induced by high hydrogen pressure. Application to disturbed or natural settings up to 250 °C and 30 bar. Chem. Geol. 2013, 351, 217–228. [Google Scholar] [CrossRef]
- Cozzarelli, I.M.; Suflita, J.M.; Ulrich, G.A.; Harris, S.H.; Scholl, M.A.; Schlottmann, J.L.; Christenson, S. Geochemical and Microbiological Methods for Evaluating Anaerobic Processes in an Aquifer Contaminated by Landfill Leachate. Environ. Sci. Technol. 2000, 34, 4025–4033. [Google Scholar] [CrossRef]
- Crotogino, F. Chapter 20—Larger Scale Hydrogen Storage. In Storing Energy; Letcher, T.M., Ed.; Elsevier: Amsterdam, The Netherlands, 2016; pp. 411–429. [Google Scholar]
- Kiran, R.; Teodoriu, C.; Dadmohammadi, Y.; Nygaard, R.; Wood, D.; Mokhtari, M.; Salehi, S. Identification and evaluation of well integrity and causes of failure of well integrity barriers (A review). J. Nat. Gas Sci. Eng. 2017, 45, 511–526. [Google Scholar] [CrossRef]
- Ugarte, E.R.; Salehi, S. A Review on Well Integrity Issues for Underground Hydrogen Storage. J. Energy Resour. Technol. 2021, 144, 042001. [Google Scholar] [CrossRef]
- Ebrahimiyekta, A. Characterization of Geochemical Interactions and Migration of Hydrogen in Sandstone Sedimentary Formations: Application to Geological Storage Caractérisation des Interactions Géochimiques et Migration de L’hydrogène dans des Formations Sédimentaires Gréseuses: Application au Stockage Géologique. Ph.D. Thesis, Université d’Orléans, Orléans, France, 2017. Available online: https://theses.hal.science/tel-01713106 (accessed on 10 May 2024).
- Hall, A.J. Pyrite-pyrrhotine redox reactions in nature. Mineral. Mag. 1986, 50, 223–229. [Google Scholar] [CrossRef]
- Truche, L.; Berger, G.; Destrigneville, C.; Guillaume, D.; Giffaut, E. Kinetics of pyrite to pyrrhotite reduction by hydrogen in calcite buffered solutions between 90 and 180 °C: Implications for nuclear waste disposal. Geochim. Cosmochim. Acta 2010, 74, 2894–2914. [Google Scholar] [CrossRef]
- Didier, M.; Leone, L.; Greneche, J.-M.; Giffaut, E.; Charlet, L. Adsorption of Hydrogen Gas and Redox Processes in Clays. Environ. Sci. Technol. 2012, 46, 3574–3579. [Google Scholar] [CrossRef] [PubMed]
- Moslemi, H.; Shamsi, P.; Habashi, F. Pyrite and pyrrhotite open circuit potentials study: Effects on flotation. Miner. Eng. 2011, 24, 1038–1045. [Google Scholar] [CrossRef]
- Jozwiak, W.K.; Kaczmarek, E.; Maniecki, T.P.; Ignaczak, W.; Maniukiewicz, W. Reduction behavior of iron oxides in hydrogen and carbon monoxide atmospheres. Appl. Catal. A Gen. 2007, 326, 17–27. [Google Scholar] [CrossRef]
- Hassanpouryouzband, A.; Adie, K.; Cowen, T.; Thaysen, E.M.; Heinemann, N.; Butler, I.B.; Wilkinson, M.; Edlmann, K. Geological Hydrogen Storage: Geochemical Reactivity of Hydrogen with Sandstone Reservoirs. ACS Energy Lett. 2022, 7, 2203–2210. [Google Scholar] [CrossRef]
- Dopffel, N.; Jansen, S.; Gerritse, J. Microbial side effects of underground hydrogen storage—Knowledge gaps, risks and opportunities for successful implementation. Int. J. Hydrogen Energy 2021, 46, 8594–8606. [Google Scholar] [CrossRef]
- Lebedeva, O.E.; Sachtler, W.M.H. Enhanced Reduction of Fe2O3 Caused by Migration of TM Ions out of Zeolite Channels. J. Catal. 2000, 191, 364–372. [Google Scholar] [CrossRef]
- Lin, H.-Y.; Chen, Y.-W.; Li, C. The mechanism of reduction of iron oxide by hydrogen. Thermochim. Acta 2003, 400, 61–67. [Google Scholar] [CrossRef]
- Monazam, E.R.; Breault, R.W.; Siriwardane, R. Kinetics of Hematite to Wüstite by Hydrogen for Chemical Looping Combustion. Energy Fuels 2014, 28, 5406–5414. [Google Scholar] [CrossRef]
- Munteanu, G.; Ilieva, L.; Andreeva, D. Kinetic parameters obtained from TPR data for α-Fe2O3 and Auα-Fe2O3 systems. Thermochim. Acta 1997, 291, 171–177. [Google Scholar] [CrossRef]
- Carroll, S.A.; Walther, J.V. Kaolinite dissolution at 25 degrees, 60 degrees, and 80 degrees C. Am. J. Sci. 1990, 290, 797–810. [Google Scholar] [CrossRef]
- Ganor, J.; Mogollón, J.L.; Lasaga, A.C. The effect of pH on kaolinite dissolution rates and on activation energy. Geochim. Cosmochim. Acta 1995, 59, 1037–1052. [Google Scholar] [CrossRef]
- Jafari Raad, S.M.; Leonenko, Y.; Hassanzadeh, H. Hydrogen storage in saline aquifers: Opportunities and challenges. Renew. Sustain. Energy Rev. 2022, 168, 112846. [Google Scholar] [CrossRef]
- Aftab, A.; Ismail, A.R.; Ibupoto, Z.H. Enhancing the rheological properties and shale inhibition behavior of water-based mud using nanosilica, multi-walled carbon nanotube, and graphene nanoplatelet. Egypt. J. Pet. 2017, 26, 291–299. [Google Scholar] [CrossRef]
- Kukla, P.; Urai, J.; Raith, A.; Li, S.; Barabasch, J.; Strozyk, F. The European Zechstein Salt Giant-Trusheim and Beyond. In Proceedings of the 37th Annual GCSSEPM Foundation Perkins-Rosen Research Conference, Houston, TX, USA, 3–6 December 2019. [Google Scholar]
- Istvan, J.A.; Pereira, J.C.; Roark, P.; Bakhtiari, H. Compressed-Air Energy Storage Field Test Using the Aquifer at Pittsfield, Illinois; Electric Power Research Institute: Palo Alto, CA, USA; PB-KBB, Inc.: Houston, TX, USA, 1990. Available online: https://www.osti.gov/biblio/7075791 (accessed on 10 May 2024).
- Minardi, A.; Stavropoulou, E.; Kim, T.; Ferrari, A.; Laloui, L. Experimental assessment of the hydro-mechanical behaviour of a shale caprock during CO2 injection. Int. J. Greenh. Gas Control 2021, 106, 103225. [Google Scholar] [CrossRef]
- Rezaee, R.; Saeedi, A.; Iglauer, S.; Evans, B. Shale alteration after exposure to supercritical CO2. Int. J. Greenh. Gas Control 2017, 62, 91–99. [Google Scholar] [CrossRef]
- Kivi, I.R.; Makhnenko, R.Y.; Vilarrasa, V. Two-Phase Flow Mechanisms Controlling CO2 Intrusion into Shaly Caprock. Transp. Porous Media 2022, 141, 771–798. [Google Scholar] [CrossRef]
- Luquot, L.; Gouze, P.; Niemi, A.; Bensabat, J.; Carrera, J. CO2-rich brine percolation experiments through Heletz reservoir rock samples (Israel): Role of the flow rate and brine composition. Int. J. Greenh. Gas Control 2016, 48, 44–58. [Google Scholar] [CrossRef]
- Rimmelé, G.; Barlet-Gouédard, V.; Renard, F. Evolution of the Petrophysical and Mineralogical Properties of Two Reservoir Rocks Under Thermodynamic Conditions Relevant for CO2 Geological Storage at 3 km Depth. Oil Gas Sci. Technol.—Rev. IFP 2010, 65, 565–580. [Google Scholar] [CrossRef]
- Shi, Z.; Sun, L.; Haljasmaa, I.; Harbert, W.; Sanguinito, S.; Tkach, M.; Goodman, A.; Tsotsis, T.T.; Jessen, K. Impact of Brine/CO2 exposure on the transport and mechanical properties of the Mt Simon sandstone. J. Pet. Sci. Eng. 2019, 177, 295–305. [Google Scholar] [CrossRef]
- Niu, B.; Krevor, S. The Impact of Mineral Dissolution on Drainage Relative Permeability and Residual Trapping in Two Carbonate Rocks. Transp. Porous Media 2020, 131, 363–380. [Google Scholar] [CrossRef]
- Qin, F.; Beckingham, L.E. Impact of image resolution on quantification of mineral abundances and accessible surface areas. Chem. Geol. 2019, 523, 31–41. [Google Scholar] [CrossRef]
- Lebedev, M.; Zhang, Y.; Sarmadivaleh, M.; Barifcani, A.; Al-Khdheeawi, E.; Iglauer, S. Carbon geosequestration in limestone: Pore-scale dissolution and geomechanical weakening. Int. J. Greenh. Gas Control 2017, 66, 106–119. [Google Scholar] [CrossRef]
- Busch, A.; Bertier, P.; Gensterblum, Y.; Rother, G.; Spiers, C.J.; Zhang, M.; Wentinck, H.M. On sorption and swelling of CO2 in clays. Geomech. Geophys. Geo-Energy Geo-Resour. 2016, 2, 111–130. [Google Scholar] [CrossRef]
- Huang, Y.-H.; Yang, S.-Q.; Li, W.-P.; Hall, M.R. Influence of Super-Critical CO2 on the Strength and Fracture Behavior of Brine-Saturated Sandstone Specimens. Rock Mech. Rock Eng. 2020, 53, 653–670. [Google Scholar] [CrossRef]
- Dávila, G.; Dalton, L.; Crandall, D.M.; Garing, C.; Werth, C.J.; Druhan, J.L. Reactive alteration of a Mt. Simon Sandstone due to CO2-rich brine displacement. Geochim. Cosmochim. Acta 2020, 271, 227–247. [Google Scholar] [CrossRef]
- Bemer, E.; Lombard, J.M. From Injectivity to Integrity Studies of CO2 Geological Storage. Oil Gas Sci. Technol.—Rev. IFP 2010, 65, 445–459. [Google Scholar] [CrossRef]
- Grgic, D. Influence of CO2 on the long-term chemomechanical behavior of an oolitic limestone. J. Geophys. Res. Solid Earth 2011, 116, B07201. [Google Scholar] [CrossRef]
- Han, J.; Han, S.; Kang, D.H.; Kim, Y.; Lee, J.; Lee, Y. Application of digital rock physics using X-ray CT for study on alteration of macropore properties by CO2 EOR in a carbonate oil reservoir. J. Pet. Sci. Eng. 2020, 189, 107009. [Google Scholar] [CrossRef]
- Harbert, W.; Goodman, A.; Spaulding, R.; Haljasmaa, I.; Crandall, D.; Sanguinito, S.; Kutchko, B.; Tkach, M.; Fuchs, S.; Werth, C.J.; et al. CO2 induced changes in Mount Simon sandstone: Understanding links to post CO2 injection monitoring, seismicity, and reservoir integrity. Int. J. Greenh. Gas Control 2020, 100, 103109. [Google Scholar] [CrossRef]
- Huq, F.; Haderlein, S.B.; Cirpka, O.A.; Nowak, M.; Blum, P.; Grathwohl, P. Flow-through experiments on water–rock interactions in a sandstone caused by CO2 injection at pressures and temperatures mimicking reservoir conditions. Appl. Geochem. 2015, 58, 136–146. [Google Scholar] [CrossRef]
- Mouzakis, K.M.; Navarre-Sitchler, A.K.; Rother, G.; Bañuelos, J.L.; Wang, X.; Kaszuba, J.P.; Heath, J.E.; Miller, Q.R.S.; Alvarado, V.; McCray, J.E. Experimental Study of Porosity Changes in Shale Caprocks Exposed to CO2-Saturated Brines I: Evolution of Mineralogy, Pore Connectivity, Pore Size Distribution, and Surface Area. Environ. Eng. Sci. 2016, 33, 725–735. [Google Scholar] [CrossRef]
- Tutolo, B.M.; Luhmann, A.J.; Kong, X.-Z.; Saar, M.O.; Seyfried, W.E. CO2 sequestration in feldspar-rich sandstone: Coupled evolution of fluid chemistry, mineral reaction rates, and hydrogeochemical properties. Geochim. Cosmochim. Acta 2015, 160, 132–154. [Google Scholar] [CrossRef]
- Wang, H.; Alvarado, V.; Bagdonas, D.A.; McLaughlin, J.F.; Kaszuba, J.P.; Grana, D.; Campbell, E.; Ng, K. Effect of CO2-brine-rock reactions on pore architecture and permeability in dolostone: Implications for CO2 storage and EOR. Int. J. Greenh. Gas Control 2021, 107, 103283. [Google Scholar] [CrossRef]
- Yu, Z.; Liu, L.; Yang, S.; Li, S.; Yang, Y. An experimental study of CO2–brine–rock interaction at in situ pressure–temperature reservoir conditions. Chem. Geol. 2012, 326–327, 88–101. [Google Scholar] [CrossRef]
- Bensing, J.P.; Misch, D.; Skerbisch, L.; Sachsenhofer, R.F. Hydrogen-induced calcite dissolution in Amaltheenton Formation claystones: Implications for underground hydrogen storage caprock integrity. Int. J. Hydrogen Energy 2022, 47, 30621–30626. [Google Scholar] [CrossRef]
- Wang, B.; Bauer, S. Induced geochemical reactions by compressed air energy storage in a porous formation in the North German Basin. Appl. Geochem. 2019, 102, 171–185. [Google Scholar] [CrossRef]
- Jun, Y.-S.; Giammar, D.E.; Werth, C.J. Impacts of Geochemical Reactions on Geologic Carbon Sequestration. Environ. Sci. Technol. 2013, 47, 3–8. [Google Scholar] [CrossRef] [PubMed]
- Smith, M.M.; Hao, Y.; Carroll, S.A. Development and calibration of a reactive transport model for carbonate reservoir porosity and permeability changes based on CO2 core-flood experiments. Int. J. Greenh. Gas Control 2017, 57, 73–88. [Google Scholar] [CrossRef]
- Bensing, J.; Misch, D.; Skerbisch, L.; Sachsenhofer, R. Calcite Dissolution in Claystones Treated with Brine and Hydrogen: Implications for Underground Hydrogen Storage Caprock Integrity. In Proceedings of the Sixth International Conference on Fault and Top Seals, Vienna, Austria, 26–28 September 2022; Volume 2022, pp. 1–5. [Google Scholar] [CrossRef]
- Oldenburg, C.M.; Pan, L. Utilization of CO2 as cushion gas for porous media compressed air energy storage. Greenh. Gases Sci. Technol. 2013, 3, 124–135. [Google Scholar] [CrossRef]
- Iloejesi, C.O.; Beckingham, L.E. Assessment of Geochemical Limitations to Utilizing CO2 as a Cushion Gas in Compressed Energy Storage Systems. Environ. Eng. Sci. 2021, 38, 115–126. [Google Scholar] [CrossRef] [PubMed]
- Lyu, Q.; Long, X.; Pg, R.; Tan, J.; Zhou, J.; Wang, Z.; Luo, W. A laboratory study of geomechanical characteristics of black shales after sub-critical/super-critical CO2 + brine saturation. Geomech. Geophys. Geo-Energy Geo-Resour. 2018, 4, 141–156. [Google Scholar] [CrossRef]
- Lyu, Q.; Ranjith, P.G.; Long, X.; Ji, B. Experimental Investigation of Mechanical Properties of Black Shales after CO2-Water-Rock Interaction. Materials 2016, 9, 663. [Google Scholar] [CrossRef]
- Marbler, H.; Erickson, K.P.; Schmidt, M.; Lempp, C.; Pöllmann, H. Geomechanical and geochemical effects on sandstones caused by the reaction with supercritical CO2: An experimental approach to in situ conditions in deep geological reservoirs. Environ. Earth Sci. 2013, 69, 1981–1998. [Google Scholar] [CrossRef]
- Zhang, Q.; Hu, S.; Li, X.; Shi, L. Preliminary Experimental Study of Effect of CO2-H2O Biphasic Fluid on Mechanical Behavior of Sandstone under True Triaxial Compression. Int. J. Geomech. 2019, 19, 06018036. [Google Scholar] [CrossRef]
- Zhang, Q.; Ye, W.; Chen, Y.; Li, X.; Hu, S. Mechanical Behavior of Sandstone Pressurized with Supercritical CO2 and Water under Different Confining Pressure Conditions. Int. J. Geomech. 2021, 21, 04021100. [Google Scholar] [CrossRef]
- Vialle, S.; Vanorio, T. Laboratory measurements of elastic properties of carbonate rocks during injection of reactive CO2-saturated water. Geophys. Res. Lett. 2011, 38, L01302. [Google Scholar] [CrossRef]
- Kim, K.; Vilarrasa, V.; Makhnenko, R.Y. CO2 Injection Effect on Geomechanical and Flow Properties of Calcite-Rich Reservoirs. Fluids 2018, 3, 66. [Google Scholar] [CrossRef]
- Al-Ameri, W.A.; Abdulraheem, A.; Mahmoud, M. Long-Term Effects of CO2 Sequestration on Rock Mechanical Properties. J. Energy Resour. Technol. 2015, 138, 012201. [Google Scholar] [CrossRef]
- Espinoza, D.N.; Jung, H.; Major, J.R.; Sun, Z.; Ramos, M.J.; Eichhubl, P.; Balhoff, M.T.; Choens, R.C.; Dewers, T.A. CO2 charged brines changed rock strength and stiffness at Crystal Geyser, Utah: Implications for leaking subsurface CO2 storage reservoirs. Int. J. Greenh. Gas Control 2018, 73, 16–28. [Google Scholar] [CrossRef]
- Foroutan, M.; Ghazanfari, E.; Amirlatifi, A. Variation of failure properties, creep response and ultrasonic velocities of sandstone upon injecting CO2-enriched brine. Geomech. Geophys. Geo-Energy Geo-Resour. 2021, 7, 27. [Google Scholar] [CrossRef]
- Foroutan, M.; Ghazanfari, E.; Amirlatifi, A.; Perdrial, N. Variation of pore-network, mechanical and hydrological characteristics of sandstone specimens through CO2-enriched brine injection. Geomech. Energy Environ. 2021, 26, 100217. [Google Scholar] [CrossRef]
- Fuchs, S.J.; Espinoza, D.N.; Lopano, C.L.; Akono, A.-T.; Werth, C.J. Geochemical and geomechanical alteration of siliciclastic reservoir rock by supercritical CO2-saturated brine formed during geological carbon sequestration. Int. J. Greenh. Gas Control 2019, 88, 251–260. [Google Scholar] [CrossRef]
- Grombacher, D.; Vanorio, T.; Ebert, Y. Time-lapse acoustic, transport, and NMR measurements to characterize microstructural changes of carbonate rocks during injection of CO2-rich water. Geophysics 2012, 77, WA169–WA179. [Google Scholar] [CrossRef]
- Hangx, S.; van der Linden, A.; Marcelis, F.; Bauer, A. The effect of CO2 on the mechanical properties of the Captain Sandstone: Geological storage of CO2 at the Goldeneye field (UK). Int. J. Greenh. Gas Control 2013, 19, 609–619. [Google Scholar] [CrossRef]
- Kim, K.; Makhnenko, R.Y. Short- and Long-Term Responses of Reservoir Rock Induced by CO2 Injection. Rock Mech. Rock Eng. 2022, 55, 6605–6625. [Google Scholar] [CrossRef]
- Lamy-Chappuis, B.; Angus, D.; Fisher, Q.J.; Yardley, B.W.D. The effect of CO2-enriched brine injection on the mechanical properties of calcite-bearing sandstone. Int. J. Greenh. Gas Control 2016, 52, 84–95. [Google Scholar] [CrossRef]
- Le Guen, Y.; Renard, F.; Hellmann, R.; Brosse, E.; Collombet, M.; Tisserand, D.; Gratier, J.-P. Enhanced deformation of limestone and sandstone in the presence of high fluids. J. Geophys. Res. Solid Earth 2007, 112, B05421. [Google Scholar] [CrossRef]
- Liteanu, E.; Niemeijer, A.; Spiers, C.J.; Peach, C.J.; de Bresser, J.H.P. The effect of CO2 on creep of wet calcite aggregates. J. Geophys. Res. Solid Earth 2012, 117, B03211. [Google Scholar] [CrossRef]
- Oikawa, Y.; Takehara, T.; Tosha, T. Effect of CO2 Injection on Mechanical Properties of Berea Sandstone. In Proceedings of the 42nd U.S. Rock Mechanics Symposium (USRMS), San Francisco, CA, USA, 29 June 2008. ARMA-08-068, Vol. All Days. [Google Scholar]
- Rathnaweera, T.D.; Ranjith, P.G.; Perera, M.S.A.; Haque, A.; Lashin, A.; Al Arifi, N.; Chandrasekharam, D.; Yang, S.Q.; Xu, T.; Wang, S.H.; et al. CO2-induced mechanical behaviour of Hawkesbury sandstone in the Gosford basin: An experimental study. Mater. Sci. Eng. A 2015, 641, 123–137. [Google Scholar] [CrossRef]
- Rathnaweera, T.D.; Ranjith, P.G.; Perera, M.S.A.; Wanniarachchi, W.A.M.; Bandara, K.M.A.S. Stress state and stress path evaluation to address uncertainties in reservoir rock failure in CO2 sequestration in deep saline aquifers: An experimental study of the Hawkesbury sandstone formation. J. CO2 Util. 2018, 26, 184–201. [Google Scholar] [CrossRef]
- Pimienta, L.; Esteban, L.; Sarout, J.; Liu, K.; Dautriat, J.; Delle Piane, C.; Clennell, M.B. Supercritical CO2 injection and residence time in fluid-saturated rocks: Evidence for calcite dissolution and effects on rock integrity. Int. J. Greenh. Gas Control 2017, 67, 31–48. [Google Scholar] [CrossRef]
- Rinehart, A.J.; Dewers, T.A.; Broome, S.T.; Eichhubl, P. Effects of CO2 on mechanical variability and constitutive behavior of the Lower Tuscaloosa Formation, Cranfield Injection Site, USA. Int. J. Greenh. Gas Control 2016, 53, 305–318. [Google Scholar] [CrossRef]
- Samuelson, J.; Spiers, C.J. Fault friction and slip stability not affected by CO2 storage: Evidence from short-term laboratory experiments on North Sea reservoir sandstones and caprocks. Int. J. Greenh. Gas Control 2012, 11, S78–S90. [Google Scholar] [CrossRef]
- Simmons, J.D.; Wang, S.; Luhmann, A.J.; Rinehart, A.J.; Heath, J.E.; Majumdar, B.S. Paragenetic controls on CO2-fluid-rock interaction and weakening in a macroporous-dominated sandstone. Appl. Geochem. 2023, 156, 105744. [Google Scholar] [CrossRef]
- Vanorio, T.; Nur, A.; Ebert, Y. Rock physics analysis and time-lapse rock imaging of geochemical effects due to the injection of CO2 into reservoir rocks. Geophysics 2011, 76, O23–O33. [Google Scholar] [CrossRef]
- Yin, H.; Zhou, J.; Xian, X.; Jiang, Y.; Lu, Z.; Tan, J.; Liu, G. Experimental study of the effects of sub- and super-critical CO2 saturation on the mechanical characteristics of organic-rich shales. Energy 2017, 132, 84–95. [Google Scholar] [CrossRef]
- Zhang, S.; Xian, X.; Zhou, J.; Zhang, L. Mechanical behaviour of Longmaxi black shale saturated with different fluids: An experimental study. RSC Adv. 2017, 7, 42946–42955. [Google Scholar] [CrossRef]
- Zheng, H.; Feng, X.-T.; Pan, P.-Z. Experimental investigation of sandstone properties under CO2–NaCl solution-rock interactions. Int. J. Greenh. Gas Control 2015, 37, 451–470. [Google Scholar] [CrossRef]
- Zou, Y.; Li, S.; Ma, X.; Zhang, S.; Li, N.; Chen, M. Effects of CO2–brine–rock interaction on porosity/permeability and mechanical properties during supercritical-CO2 fracturing in shale reservoirs. J. Nat. Gas Sci. Eng. 2018, 49, 157–168. [Google Scholar] [CrossRef]
- Dabbaghi, E.; Ng, K.; Brown, T.C.; Yu, Y. Experimental study on the effect of hydrogen on the mechanical properties of hulett sandstone. Int. J. Hydrogen Energy 2024, 60, 468–478. [Google Scholar] [CrossRef]
- Ranjith, P.G.; Jasinge, D.; Choi, S.K.; Mehic, M.; Shannon, B. The effect of CO2 saturation on mechanical properties of Australian black coal using acoustic emission. Fuel 2010, 89, 2110–2117. [Google Scholar] [CrossRef]
- Labus, K.; Tarkowski, R. Modeling hydrogen—Rock—Brine interactions for the Jurassic reservoir and cap rocks from Polish Lowlands. Int. J. Hydrogen Energy 2022, 47, 10947–10962. [Google Scholar] [CrossRef]
- Carcione, J.M.; Helle, H.B.; Santos, J.E.; Ravazzoli, C.L. A constitutive equation and generalized Gassmann modulus for multimineral porous media. Geophysics 2005, 70, N17–N26. [Google Scholar] [CrossRef]
- Chang, C.; Zoback, M.D.; Khaksar, A. Empirical relations between rock strength and physical properties in sedimentary rocks. J. Pet. Sci. Eng. 2006, 51, 223–237. [Google Scholar] [CrossRef]
- Morad, S. Carbonate Cementation in Sandstones: Distribution Patterns and Geochemical Evolution. In Carbonate Cementation in Sandstones; Wiely: Hoboken, NJ, USA, 1998; pp. 1–26. [Google Scholar]
- Mondelli, C.; Bardelli, F.; Vitillo, J.G.; Didier, M.; Brendle, J.; Cavicchia, D.R.; Robinet, J.-C.; Charlet, L. Hydrogen adsorption and diffusion in synthetic Na-montmorillonites at high pressures and temperature. Int. J. Hydrogen Energy 2015, 40, 2698–2709. [Google Scholar] [CrossRef]
- Verdon, J.P.; Stork, A.L. Carbon capture and storage, geomechanics and induced seismic activity. J. Rock Mech. Geotech. Eng. 2016, 8, 928–935. [Google Scholar] [CrossRef]
- Hovorka, S.D.; Lu, J. Field observations of geochemical response to CO2 injection at the reservoir scale. In Science of Carbon Storage in Deep Saline Formations; Elsevier: Amsterdam, The Netherlands, 2019; pp. 33–61. [Google Scholar]
- Greenberg, S.E.; Bauer, R.; Will, R.; Locke II, R.; Carney, M.; Leetaru, H.; Medler, J. Geologic carbon storage at a one million tonne demonstration project: Lessons learned from the Illinois Basin–Decatur Project. Energy Procedia 2017, 114, 5529–5539. [Google Scholar] [CrossRef]
- Kaven, J.O.; Hickman, S.H.; McGarr, A.F.; Walter, S.; Ellsworth, W.L. Seismic monitoring at the Decatur, IL, CO2 sequestration demonstration site. Energy Procedia 2014, 63, 4264–4272. [Google Scholar] [CrossRef]
- Vilarrasa, V.; Makhnenko, R.Y.; Rutqvist, J. Field and laboratory studies of geomechanical response to the injection of CO2. In Science of Carbon Storage in Deep Saline Formations; Elsevier: Amsterdam, The Netherlands, 2019; pp. 209–236. [Google Scholar]
- Bauer, R.A.; Carney, M.; Finley, R.J. Overview of microseismic response to CO2 injection into the Mt. Simon saline reservoir at the Illinois Basin-Decatur Project. Int. J. Greenh. Gas Control 2016, 54, 378–388. [Google Scholar] [CrossRef]
- Smith, V.; Jaques, P. Illinois Basin–Decatur Project pre-injection microseismic analysis. Int. J. Greenh. Gas Control 2016, 54, 362–377. [Google Scholar] [CrossRef]
- Will, R.; El-Kaseeh, G.; Jaques, P.; Carney, M.; Greenberg, S.; Finley, R. Microseismic data acquisition, processing, and event characterization at the Illinois Basin–Decatur Project. Int. J. Greenh. Gas Control 2016, 54, 404–420. [Google Scholar] [CrossRef]
- Sun, L.; Jessen, K.; Tsotsis, T.T. Impact of exposure to brine/CO2 on the mechanical and transport properties of the Mt. Simon Sandstone. Greenh. Gases Sci. Technol. 2021, 11, 1043–1055. [Google Scholar] [CrossRef]
- Akono, A.-T.; Dávila, G.; Druhan, J.; Shi, Z.; Jessen, K.; Tsotsis, T. Influence of geochemical reactions on the creep behavior of Mt. Simon sandstone. Int. J. Greenh. Gas Control 2020, 103, 103183. [Google Scholar] [CrossRef]
- Niemi, A.; Bensabat, J.; Shtivelman, V.; Edlmann, K.; Gouze, P.; Luquot, L.; Hingerl, F.; Benson, S.M.; Pezard, P.A.; Rasmusson, K. Heletz experimental site overview, characterization and data analysis for CO2 injection and geological storage. Int. J. Greenh. Gas Control 2016, 48, 3–23. [Google Scholar] [CrossRef]
- Elhami, E.; Ask, M.; Mattsson, H. Physical-and geomechanical properties of a drill core sample from 1.6 km depth at the Heletz site in Israel: Some implications for reservoir rock and CO2 storage. Int. J. Greenh. Gas Control 2016, 48, 84–93. [Google Scholar] [CrossRef]
- Figueiredo, B.; Tsang, C.-F.; Rutqvist, J.; Bensabat, J.; Niemi, A. Coupled hydro-mechanical processes and fault reactivation induced by CO2 injection in a three-layer storage formation. Int. J. Greenh. Gas Control 2015, 39, 432–448. [Google Scholar] [CrossRef]
- Canal, J.; Delgado, J.; Falcón, I.; Yang, Q.; Juncosa, R.; Barrientos, V. Injection of CO2-saturated water through a siliceous sandstone plug from the Hontomin test site (Spain): Experiment and modeling. Environ. Sci. Technol. 2013, 47, 159–167. [Google Scholar] [CrossRef]
- Akono, A.T.; Druhan, J.L.; Dávila, G.; Tsotsis, T.; Jessen, K.; Fuchs, S.; Crandall, D.; Shi, Z.; Dalton, L.; Tkach, M.K. A review of geochemical–mechanical impacts in geological carbon storage reservoirs. Greenh. Gases Sci. Technol. 2019, 9, 474–504. [Google Scholar] [CrossRef]
- Alcalde, J.; Martí, D.; Calahorrano, A.; Marzán, I.; Ayarza, P.; Carbonell, R.; Juhlin, C.; Pérez-Estaún, A. Active seismic characterization experiments of the Hontomín research facility for geological storage of CO2, Spain. Int. J. Greenh. Gas Control 2013, 19, 785–795. [Google Scholar] [CrossRef]
- De Dios, J.C.; Delgado, M.A.; Martínez, C.; Ramos, A.; Álvarez, I.; Marín, J.A.; Salvador, I. Hydraulic characterization of fractured carbonates for CO2 geological storage: Experiences and lessons learned in Hontomín Technology Development Plant. Int. J. Greenh. Gas Control 2017, 58, 185–200. [Google Scholar] [CrossRef]
- Rutqvist, J. Fractured rock stress–permeability relationships from in situ data and effects of temperature and chemical–mechanical couplings. Crustal Permeability 2012, 15, 65–82. [Google Scholar]
- Ugalde, A.; Villaseñor, A.; Gaite, B.; Casquero, S.; Martí, D.; Calahorrano, A.; Marzán, I.; Carbonell, R.; Estaún, A.P. Passive seismic monitoring of an experimental CO2 geological storage site in Hontomín (Northern Spain). Seismol. Res. Lett. 2013, 84, 75–84. [Google Scholar] [CrossRef]
- Vilarrasa, V.; Koyama, T.; Neretnieks, I.; Jing, L. Shear-induced flow channels in a single rock fracture and their effect on solute transport. Transp. Porous Media 2011, 87, 503–523. [Google Scholar] [CrossRef]
- Vilarrasa, V. Thermo-Hydro-Mechanical Impacts of Carbon Dioxide (CO2) Injection in Deep Saline Aquifers; Universidad Politécnica de Cataluña: Barcelona, Spain, 2012. [Google Scholar]
- Sin, I.; De Windt, L.; Banc, C.; Goblet, P.; Dequidt, D. Assessment of the oxygen reactivity in a gas storage facility by multiphase reactive transport modeling of field data for air injection into a sandstone reservoir in the Paris Basin, France. Sci. Total Environ. 2023, 869, 161657. [Google Scholar] [CrossRef]








| Author | Rock Type (Sample Amount) | Fluid | Method | Porosity | Permeability |
|---|---|---|---|---|---|
| Bemer and Lombard [85] | Carbonate (11) | Retarded acid | Flow-through | 1.0–2.1% increase | Show both increase and decrease |
| Davila et al. [84] | Sandstone (1) | CO2 + brine | Flow-through | 6.8% reduction | 23% reduction |
| Han et al. [87] | Carbonate (1) | CO2 + water + decane | Flow-through | 9% reduction | 83% reduction |
| Harbert et al. [88] | Sandstone (2) | CO2 + brine | Batch | 8% increase, 9% reduction | 7–205% increase |
| Huq et al. [89] | Sandstone (2) | CO2 + water CO2 + brine | Flow-through | 12% increase, 20% increase | 170% increase |
| Mouzakis et al. [90] | Shale (2) | CO2 + brine | Batch | 25% increase, 2% reduction | Not report |
| Rimmelé et al. [77] | Limestone and sandstone (40) | Wet Sc-CO2 CO2-saturated water | Batch | Limestone: 2–4% increase. Sandstone: 3–4% increase | Limestone: 56–180% increase Sandstone: 0–700% increase |
| Shi et al. [78] | Sandstone (9) | CO2 + brine | Batch | 1.1–14.9% increase | 250% increase |
| Tutolo et al. [91] | Sandstone (3) | CO2 + water CO2 + brine | Flow-through | Reduction in recycled test while increase in single-pass tests | 26–37% reduction |
| Wang et al. [92] | Limestone (6) | CO2 + brine | Flow-through | 1–7% increase | 8–32% increase |
| Yu et al. [93] | Sandstone (3) | CO2 + brine | Flow-through | 0–1.8% reduction | 10–20% reduction |
| Yekta et al. [37] | Sandstone (3) | H2 + H2O | Flow-through | Insignificant | Insignificant |
| Flesch et al. [45] | Siltstone and sandstone (21) | H2 + brine | Batch | From 56% reduction to 107.8% increase | From 60.5% reduction to 38.5% increase |
| Shi et al. [42] | Sandstone, caprock, and cement (12) | H2 + brine | Batch | From −26.8% reduction to 4.2% increase | From −39.9% reduction to 10.2% increase |
| Bensing et al. [94] | Claystone (1) | H2 + brine | Batch | Increase | Not reported |
| Henkel et al. [46] | Caprock and sandstone (190) | H2 + CO2 + brine | Batch | Increase | Not reported |
| Pudlo et al. [48] | Not reported | H2 + brine | Batch | Increase in sulfate and calcite bearing sandstones. | Increase in sulfate and calcite bearing sandstones. |
| Wang and Bauer [95] | Sandstone | O2 + brine | Geochemical modeling | 1% increase | 5% increase |
| Author | Rock Type | Fluid | Method | Mechanical Test | Key Findings |
|---|---|---|---|---|---|
| AL-Ameri et al. [108] | Limestone | CO2 + brine | Batch | Indirect tensile strength, unconfined compression, acoustics testing | Reduction in YM, ITS, and UCS |
| Espinoza et al. [109] | Sandstone, siltstone, shale | CO2 + brine | Batch | Triaxial frame and deviatoric loading | Reduction in stiffness, strength, and brittleness of Sandstone and siltstone. Increase in stiffness in shale |
| Foroutan et al. [110] | Sandstone | CO2 + brine | Flow-through | creep, ultrasonic wave velocity, multi-stage failure tests | Reduction in strength and wave velocity |
| Foroutan et al. [111] | Sandstone | CO2 + brine | Flow-through | Isotropic compression, multi-stage elastic, and cyclic tests | Reduction in YM, BM, increase in PR |
| Fuchs et al. [112] | Sandstone | CO2 + brine | Batch | Scratch test | Reduction in fracture toughness |
| Grgic [86] | Carbonate | CO2 + water | Flow-through and no flow | Isotropic and deviatoric loading | Significant axial compaction in dynamic injection. |
| Grombacher et al. [113] | Carbonate | CO2 + water | Flow-through | Ultrasonic wave velocity | Reduction in wave velocity |
| Hangx et al. [114] | Sandstone | CO2 + brine | Flow-through | Triaxial creep experiments and ultrasonic wave velocity | Insignificant change in all mechanical properties |
| Huang et al. [83] | Sandstone | CO2 + brine | Flow-through | Uniaxial compression test, Brazilian splitting test, and fracture test | Reduction in UCS, BTS, and fracture toughness |
| Harbert et al. [88] | Sandstone | CO2 + brine | Batch | Ultrasonic wave velocity | Reduction/increase in YM |
| Kim and Makhnenko [115] | Sandstone and limestone | CO2 + water | Flow-through | Hydrostatic compression and triaxial compression | Increases in bulk compressibility, Skempton’s B coefficient decreases for sandstone but increases for limestones |
| Kim et al. [107] | Limestone | CO2 + water | Flow-through | Triaxial cell | Reduction in strength and YM |
| Lamy-Chappuis et al. [116] | Sandstone | CO2 + brine | Flow-through | Ultrasonic wave velocity and multiple failure test | Reduction in wave velocity and strength |
| Le Guen et al. [117] | Limestone and sandstone | CO2 + water | Flow-through | Triaxial cell | Increase in strain rates of the limestones, and weaker response of the sandstone. |
| Liteanu et al. [118] | Calcite aggregates | CO2 + water | Batch | Uniaxial compaction creep | Acceleration of strain rate |
| Lyu et al. [101,102] | Shale | CO2 + water CO2 + brine | Batch | Uniaxial compression, acoustic emissions | Reduction in UCS, YM, and brittleness index |
| Marbler et al. [103] | Sandstone | CO2 + brine | Batch | Triaxial compression | Reduction in UCS and modulus of deformation for carbonate sandstone |
| Oikawa et al. [119] | Sandstone | CO2 + water | No flow | Triaxial strength and triaxial creep | Reduction in YM. Creep life time increase with CO2 exposure time. |
| Rathnaweera et al. [120] | Sandstone | CO2 + brine | Batch | Unconfined compressive, | Reduction in UCS and YM |
| Rathnaweera et al. [121] | Sandstone | CO2 + brine | Batch | Triaxial strength | Reduction in strength |
| Rimmele et al. [77] | Limestone and sandstone | Wet Sc-CO2 CO2-saturated water | Batch | Unconfined compressive | Insignificant change in UCS and YM |
| Pimienta et al. [122] | Limestone and sandstone | CO2 + brine | No flow | P-wave velocity | Reduction in P-wave velocity |
| Rinehart et al. [123] | Sandstone | CO2 + brine | Flow-through | Hydrostatic compression and triaxial tests | Creep strain rates are accelerated and strength weakened |
| Samuelson et al. [124] | Sandstone and caprock | CO2 + water | No flow | Direct shear experiments | No significant effect on the coefficient of friction |
| Shi et al. [78] | Sandstone | CO2 + brine | Batch | Ultrasonic wave velocity | Reduction in YM |
| Simmons et al. [125] | Sandstone | CO2 + water | Flow-through | Indirect tensile strength tests, ultrasonic wave velocity | Tensile strength maintain, reduction is wave velocity |
| Vanorio et al. [126] | Sandstone | CO2 + water | Flow-through | Ultrasonic wave velocity | Increase wave velocity due to salt precipitation |
| Vialle and Vanorio [106] | Carbonate | CO2 + water | Flow-through | Ultrasonic wave velocity | Reduction in wave velocity |
| Yin et al. [127] | Shale | Sub-critical CO2 (SubCO2) Super-critical CO2 (ScCO2) | Batch | Uniaxial compressive strength, acoustic emissions | Reduction in UCS and elastic modulus |
| Zhang et al. [104,105] | Sandstone | CO2 + water | No flow | Triaxial compression | Reduction in strength and elastic modulus, enhancing the bulk compaction |
| Zhang et al. [128] | Shale | CO2 + brine | Batch | Uniaxial compression strength, acoustic emissions | Reduction in UCS and elastic modulus |
| Zheng et al. [129] | Sandstone | CO2 + brine | Flow-through | Triaxial compression and seepage creep | Reduction in compressive strength and threshold stress of shear dilatancy |
| Zou et al. [130] | Shale | CO2 + brine | Batch | Comprehensive test instrument and friction wear testing machine | decline in tensile strength and surface friction coefficient |
| Dabbaghi et al. [131] | Sandstone | H2 + brine | Batch | Uniaxial compression and triaxial compression | Reduction in peak strength |
Disclaimer/Publisher’s Note: The statements, opinions and data contained in all publications are solely those of the individual author(s) and contributor(s) and not of MDPI and/or the editor(s). MDPI and/or the editor(s) disclaim responsibility for any injury to people or property resulting from any ideas, methods, instructions or products referred to in the content. |
© 2024 by the authors. Licensee MDPI, Basel, Switzerland. This article is an open access article distributed under the terms and conditions of the Creative Commons Attribution (CC BY) license (https://creativecommons.org/licenses/by/4.0/).
Share and Cite
Shi, Z.; Driba, D.L.; Lopez Rivera, N.; Kariminasab, M.; Beckingham, L.E. A Review of Coupled Geochemical–Geomechanical Impacts in Subsurface CO2, H2, and Air Storage Systems. Energies 2024, 17, 2928. https://doi.org/10.3390/en17122928
Shi Z, Driba DL, Lopez Rivera N, Kariminasab M, Beckingham LE. A Review of Coupled Geochemical–Geomechanical Impacts in Subsurface CO2, H2, and Air Storage Systems. Energies. 2024; 17(12):2928. https://doi.org/10.3390/en17122928
Chicago/Turabian StyleShi, Zhuofan, Dejene L. Driba, Nora Lopez Rivera, Mohammad Kariminasab, and Lauren E. Beckingham. 2024. "A Review of Coupled Geochemical–Geomechanical Impacts in Subsurface CO2, H2, and Air Storage Systems" Energies 17, no. 12: 2928. https://doi.org/10.3390/en17122928
APA StyleShi, Z., Driba, D. L., Lopez Rivera, N., Kariminasab, M., & Beckingham, L. E. (2024). A Review of Coupled Geochemical–Geomechanical Impacts in Subsurface CO2, H2, and Air Storage Systems. Energies, 17(12), 2928. https://doi.org/10.3390/en17122928

