Validating Meteosat Second Generation and Himawari-8 Derived Solar Irradiance against Ground Measurements: Solarad AI’s Approach
Abstract
1. Introduction
- Firstly, while prior validation studies of the BSRN predominantly utilized data predating 2022, our investigation focuses on a more recent timeframe, utilizing data spanning from 2022 to 2024. This temporal shift ensures that our analyses remain relevant and reflective of current conditions, including the potential impacts of climate change on solar radiation patterns.
- Secondly, unlike previous studies that relied solely on either Himawari-8 or MSG datasets for validation, this study utilizes both datasets to cover a broader range of observational locations. Himawari-8 data will be used for the East Asia region, while MSG data will cover the EU, Africa, the Middle East, and South Asia. This approach leverages dedicated satellites for each respective region to derive irradiance, using the same algorithm, and with spatial re-gridding. The datasets generated from 2023 and 2024 will present current trends in solar radiation across these regions.
- Lastly, a key objective of our study is the application and refinement of existing methodologies for determining albedo parameters specific to Heliosat-2. We aim to achieve significant improvements in the accuracy and reliability of modeled solar radiation datasets, and therefore, the exactness of the input parameters is crucial.
2. Materials and Methods
2.1. Study Area and Datasets Used
2.2. Methodology
2.2.1. Heliosat-2
- Step 1: Generate Clear-Sky Global Horizontal Irradiance ().
- Step 2: Calculate Satellite Reflectance Value.
- Step 3: Calculate Minimum and Maximum Satellite Reflectance Values.
- Step 4: Calculate Cloudiness Index (-index).
- Step 5. Calculate -Multiplier or Clearness Value.
- Step 6. Calculate GHI.
2.2.2. Comparison Metrics
2.2.3. Distinction between Clear and Cloudy Days
3. Results
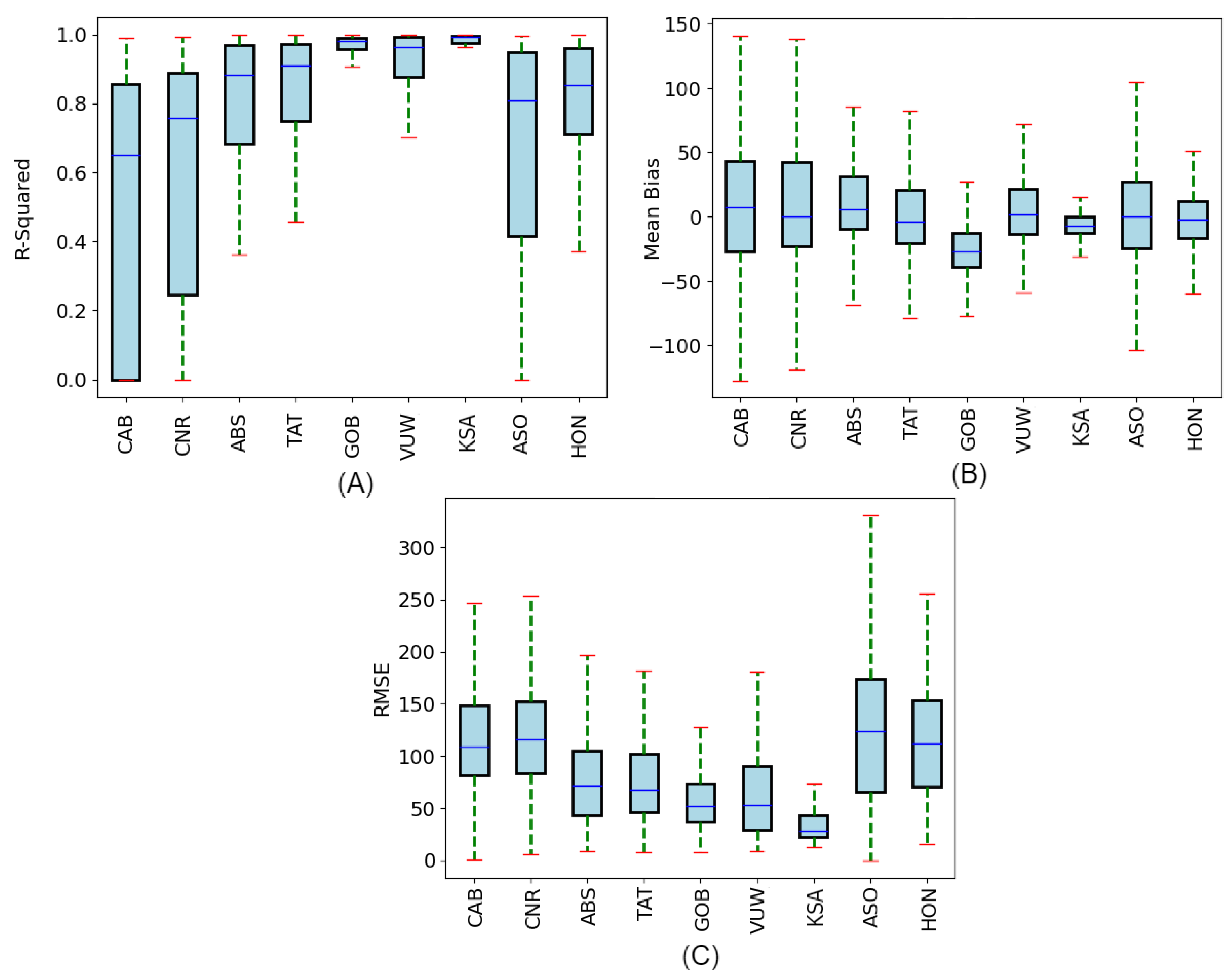
3.1. Validation of Mean Diurnal Radiation
3.2. Validation of Diurnal Radiation
3.2.1. Validation under a Daily Clear-Sky Condition
3.2.2. Validation under Daily Cloudy-Sky Conditions
3.3. Validation of Diurnal Solar Radiation in Different Months
4. Discussion
4.1. Estimation Bias Based on Weather: Cloudy vs. Clear
4.2. Comparison of GHI Studies
4.3. Regional and Seasonal Variability in Solar Irradiance
5. Conclusions
Author Contributions
Funding
Data Availability Statement
Acknowledgments
Conflicts of Interest
References
- Habte, A.; Sengupta, M.; Lopez, A. Evaluation of the National Solar Radiation Database (NSRDB): 1998–2015; No. NREL/TP-5D00-67722; National Renewable Energy Lab (NREL): Golden, CO, USA, 2017. Available online: https://www.nrel.gov/docs/fy17osti/67722.pdf (accessed on 10 April 2024).
- Zhang, J.; Zhao, L.; Deng, S.; Xu, W.; Zhang, Y. A Critical Review of the Models Used to Estimate Solar Radiation. Renew. Sustain. Energy Rev. 2017, 70, 314–329. [Google Scholar] [CrossRef]
- Sen, Z. Solar Energy Fundamentals and Modeling Techniques: Atmosphere, Environment, Climate Change, and Renewable Energy; Springer Science & Business Media: London, UK, 2008. [Google Scholar] [CrossRef]
- Sengupta, M.; Habte, A.; Wilbert, S.; Gueymard, C.; Remund, J. Best Practices Handbook for the Collection and Use of Solar Resource Data for Solar Energy Applications; No. NREL/TP-5D00-77635; National Renewable Energy Lab (NREL): Golden, CO, USA, 2021. [Google Scholar]
- Driemel, A.; Augustine, J.; Behrens, K.; Colle, S.; Cox, C.; Cuevas-Agulló, E.; Denn, F.M.; Duprat, T.; Fukuda, M.; Grobe, H.; et al. Baseline Surface Radiation Network (BSRN): Structure and Data Description (1992–2017). Earth Syst. Sci. Data 2018, 10, 1491–1501. [Google Scholar] [CrossRef]
- Hatzianastassiou, N.; Ioannidis, E.; Korras-Carraca, M.B.; Gavrouzou, M.; Papadimas, C.D.; Matsoukas, C.; Benas, N.; Fotiadi, A.; Wild, M.; Vardavas, I. Global Dimming and Brightening Features during the First Decade of the 21st Century. Atmosphere 2020, 11, 308. [Google Scholar] [CrossRef]
- Stamatis, M.; Hatzianastassiou, N.; Korras-Carraca, M.B.; Matsoukas, C.; Wild, M.; Vardavas, I. Interdecadal Changes of the MERRA-2 Incoming Surface Solar Radiation (SSR) and Evaluation against GEBA & BSRN Stations. Appl. Sci. 2022, 12, 10176. [Google Scholar] [CrossRef]
- Schreck, S.; Schroedter-Homscheidt, M.; Klein, M.; Cao, K.K. Satellite Image-Based Generation of High Frequency Solar Radiation Time Series for the Assessment of Solar Energy Systems. Meteorol. Z. 2020, 29, 377–392. [Google Scholar] [CrossRef]
- Balsamo, G.; Agusti-Parareda, A.; Albergel, C.; Arduini, G.; Beljaars, A.; Bidlot, J.; Blyth, E.; Bousserez, N.; Boussetta, S.; Brown, A.; et al. Satellite and In Situ Observations for Advancing Global Earth Surface Modelling: A Review. Remote Sens. 2018, 10, 2038. [Google Scholar] [CrossRef]
- Valipour, M.; Dietrich, J. Developing Ensemble Mean Models of Satellite Remote Sensing, Climate Reanalysis, and Land Surface Models. Theor. Appl. Climatol. 2022, 150, 909–926. [Google Scholar] [CrossRef]
- Prasad, A.A.; Kay, M. Prediction of Solar Power Using Near-Real Time Satellite Data. Energies 2021, 14, 5865. [Google Scholar] [CrossRef]
- Baatz, R.; Hendricks Franssen, H.J.; Euskirchen, E.; Sihi, D.; Dietze, M.; Ciavatta, S.; Fennel, K.; Beck, H.; De Lannoy, G.; Pauwels, V.R.N.; et al. Reanalysis in Earth System Science: Toward Terrestrial Ecosystem Reanalysis. Rev. Geophys. 2021, 59, e2020RG000715. [Google Scholar] [CrossRef]
- Huang, G.; Li, Z.; Li, X.; Liang, S.; Yang, K.; Wang, D.; Zhang, Y. Estimating Surface Solar Irradiance from Satellites: Past, Present, and Future Perspectives. Remote Sens. Environ. 2019, 233, 111371. [Google Scholar] [CrossRef]
- Cano, D.; Monget, J.M.; Albuisson, M.; Guillard, H.; Regas, N.; Wald, L. A Method for the Determination of the Global Solar Radiation from Meteorological Satellite Data. Sol. Energy 1986, 37, 31–39. [Google Scholar] [CrossRef]
- Rigollier, C.; Lefèvre, M.; Wald, L. The Method Heliosat-2 for Deriving Shortwave Solar Radiation from Satellite Images. Sol. Energy 2004, 77, 159–169. [Google Scholar] [CrossRef]
- Yang, L.; Gao, X.; Hua, J.; Wu, P.; Li, Z.; Jia, D. Very Short-Term Surface Solar Irradiance Forecasting Based on FengYun-4 Geostationary Satellite. Sensors 2020, 20, 2606. [Google Scholar] [CrossRef] [PubMed]
- Thaker, J.; Höller, R.; Kapasi, M. Short-Term Solar Irradiance Prediction with a Hybrid Ensemble Model Using METEOSAT Satellite Images. Energies 2024, 17, 329. [Google Scholar] [CrossRef]
- El Alani, O.; Ghennioui, H.; Abraim, M.; Ghennioui, A.; Blanc, P.; Saint-Drenan, Y.M.; Naimi, Z. Solar Energy Resource Assessment Using GHI and DNI Satellite Data for Moroccan Climate. In International Conference on Advanced Technologies for Humanity; Springer International Publishing: Cham, Switzerland, 2022; pp. 275–285. [Google Scholar] [CrossRef] [PubMed]
- Verma, P.; Patil, S. A Machine Learning Approach and Methodology for Solar Radiation Assessment Using Multispectral Satellite Images. Ann. Data Sci. 2023, 10, 907–932. [Google Scholar] [CrossRef]
- Huang, C.; Shi, H.; Yang, D.; Gao, L.; Zhang, P.; Fu, D.; Chen, Q.; Yuan, Y.; Liu, M.; Hu, B.; et al. Retrieval of Sub-Kilometer Resolution Solar Irradiance from Fengyun-4A Satellite Using a Region-Adapted Heliosat-2 Method. Sol. Energy 2023, 264, 112038. [Google Scholar] [CrossRef]
- Vuilleumier, L.; Meyer, A.; Stöckli, R.; Wilbert, S.; Zarzalejo, L.F. Accuracy of satellite-derived solar direct irradiance in Southern Spain and Switzerland. Int. J. Remote Sens. 2020, 41, 8808–8838. [Google Scholar] [CrossRef]
- Polo, J.; Zarzalejo, L.F.; Cony, M.; Navarro, A.A.; Marchante, R.; Martin, L.; Romero, M. Solar Radiation Estimations over India Using Meteosat Satellite Images. Sol. Energy 2011, 85, 2395–2406. [Google Scholar] [CrossRef]
- Masoom, A.; Kosmopoulos, P.; Bansal, A.; Kazadzis, S. Solar Energy Estimations in India Using Remote Sensing Technologies and Validation with Sun Photometers in Urban Areas. Remote Sens. 2020, 12, 254. [Google Scholar] [CrossRef]
- Ameen, B.; Balzter, H.; Jarvis, C.; Wey, E.; Thomas, C.; Marchand, M. Validation of Hourly Global Horizontal Irradiance for Two Satellite-Derived Datasets in Northeast Iraq. Remote Sens. 2018, 10, 1651. [Google Scholar] [CrossRef]
- Sarr, A.; Kebe, C.M.F.; Ndiaye, A. Validation of Helioclim-3 irradiance with ground observations in Senegal using four typical climatic zones. Mater. Today Proc. 2022, 51, 1888–1895. [Google Scholar] [CrossRef]
- Syu, M.R.; Lee, P.H.; Leou, T.M.; Shen, Y. Solar Irradiance and Pan Evaporation Estimation from Meteorological Satellite Data. Terr. Atmos. Ocean. Sci. 2016, 27, 221–239. [Google Scholar] [CrossRef] [PubMed]
- Bechet, J.; Albarelo, T.; Macaire, J.; Salloum, M.; Zermani, S.; Primerose, A.; Linguet, L. Updated GOES-13 Heliosat-2 Method for Global Horizontal Irradiation in the Americas. Remote Sens. 2022, 14, 224. [Google Scholar] [CrossRef]
- Brooks, M.J.; Du Clou, S.; Van Niekerk, W.L.; Gauché, P.; Leonard, C.; Mouzouris, M.J.; Meyer, R.; Van der Westhuizen, N.; Van Dyk, E.E.; Vorster, F.J. SAURAN: A New Resource for Solar Radiometric Data in Southern Africa. J. Energy South. Afr. 2015, 26, 2–10. [Google Scholar] [CrossRef]
- Knap, W. Basic and Other Measurements of Radiation at Station Cabauw (2005-02 et seq) [Dataset Publication Series]; Koninklijk Nederlands Meteorologisch Instituut: De Bilt, The Netherlands, 2022. [Google Scholar] [CrossRef]
- Olano, X. Basic Measurements of Radiation at Station Cener (2009-07 et seq) [Dataset Publication Series]; National Renewable Energy Centre: Navarra, Spain, 2021. [Google Scholar] [CrossRef]
- Ohtake, J. Basic Measurements of Radiation at Station Abashiri (2021-04) [Dataset]; Japan Meteorological Agency: Tokyo, Japan, 2021. [Google Scholar] [CrossRef]
- Ijima, O. Basic and Other Measurements of Radiation at Station Tateno (2020-12) [Dataset]; Aerological Observatory, Japan Meteorological Agency: Tokyo, Japan, 2021. [Google Scholar] [CrossRef]
- Vogt, R. Basic and Other Measurements of Radiation at Station Gobabeb (2013-09). [Online]. 2013. Available online: https://doi.pangaea.de/10.1594/PANGAEA.821500 (accessed on 12 April 2024).
- Long, C.N.; Shi, Y. The QCRad value added product: Surface radiation measurement quality control testing, including climatology configurable limits. In Atmospheric Radiation Measurement Program Technical Report; DOE Office of Science Atmospheric Radiation Measurement (ARM) Program: Washington, DC, USA, 2006. [Google Scholar] [CrossRef]
- Ouiqary, A.E.; Kheddioui, E.; Smiej, M.F. Evaluation of the Global Horizontal Irradiation (GHI) on the Ground from the Images of the Second Generation European Meteorological Satellites MSG. J. Comput. Commun. 2023, 11, 1–11. [Google Scholar] [CrossRef]
- Guo, H.; Chen, S.; Bao, A.; Hu, J.; Gebregiorgis, A.S.; Xue, X.; Zhang, X. Inter-comparison of high-resolution satellite precipitation products over Central Asia. Remote Sens. 2015, 7, 7181–7211. [Google Scholar] [CrossRef]
- Meher, J.K.; Das, L.; Akhter, J.; Benestad, R.E.; Mezghani, A. Performance of CMIP3 and CMIP5 GCMs to simulate observed rainfall characteristics over the Western Himalayan region. J. Clim. 2017, 30, 7777–7799. [Google Scholar] [CrossRef]
- Chen, A.; Chen, D.; Azorin-Molina, C. Assessing reliability of precipitation data over the Mekong River Basin: A comparison of ground-based, satellite, and reanalysis datasets. Int. J. Climatol. 2018, 38, 4314–4334. [Google Scholar] [CrossRef]
- Bird, R.E.; Hulstrom, R.L. Simplified Clear Sky Model for Direct and Diffuse Insolation on Horizontal Surfaces; Solar Energy Research Institute (SERI): Golden, CO, USA, 1981; No. SERI/TR-642-761. [Google Scholar]
- Annear, R.L.; Wells, S.A. A comparison of five models for estimating clear-sky solar radiation. Water Resour. Res. 2007, 43, W10415, 1–15. [Google Scholar] [CrossRef]
- Cros, S.; Badosa, J.; Szantaï, A.; Haeffelin, M. Reliability predictors for solar irradiance satellite-based forecast. Energies 2020, 13, 5566. [Google Scholar] [CrossRef]
- Marie-Joseph, I.; Linguet, L.; Gobinddass, M.L.; Wald, L. On the applicability of the Heliosat-2 method to assess surface solar irradiation in the Intertropical Convergence Zone, French Guiana. Int. J. Remote Sens. 2013, 34, 3012–3027. [Google Scholar] [CrossRef]
- Boilley, A.; Wald, L. Comparison between meteorological reanalyses from ERA-Interim and MERRA and measurements of daily solar irradiation at surface. Renew. Energy 2015, 75, 135–143. [Google Scholar] [CrossRef]
- Correa, L.F.; Folini, D.; Chtirkova, B.; Wild, M. A method for clear-sky identification and long-term trends assessment using daily surface solar radiation records. Earth Space Sci. 2022, 9, e2021EA002197. [Google Scholar] [CrossRef]
- Holmgren, W.F.; Hansen, C.W.; Mikofski, M.A. pvlib python: A python package for modeling solar energy systems. J. Open Source Softw. 2018, 3, 884. [Google Scholar] [CrossRef]
- Holmgren, W.F.; Anderson, K.; Hansen, C.; Robwandrews; Mikofski, M.; Jensen, A.R. pvlib/pvlib-python: v0.10.4; Zenodo: Geneva, Switzerland, 2024. [Google Scholar]
- Luo, H.; Han, Y.; Lu, C.; Yang, J.; Wu, Y. Characteristics of surface solar radiation under different air pollution conditions over Nanjing, China: Observation and simulation. Adv. Atmos. Sci. 2019, 36, 1047–1059. [Google Scholar] [CrossRef]
- Jia, D.; Hua, J.; Wang, L.; Guo, Y.; Guo, H.; Wu, P.; Liu, M.; Yang, L. Estimations of global horizontal irradiance and direct normal irradiance by using Fengyun-4A satellite data in northern China. Remote Sens. 2021, 13, 790. [Google Scholar] [CrossRef]
- Oumbe, A.; Blanc, P.; Ranchin, T.; Homscheidt, M.S.; Wald, L. A new method for estimating solar energy resource. In Proceedings of the 33rd International Symposium on Remote Sensing of Environment (ISRSE 33), Stresa, Italy, 4–9 May 2009; Joint Research Center: HAL Open Science: Paris, France, 2009. paper-773. Available online: https://core.ac.uk/download/pdf/51233394.pdf (accessed on 11 May 2024).
- Qu, Z.; Oumbe, A.; Blanc, P.; Espinar, B.; Gesell, G.; Gschwind, B.; Klüser, L.; Lefèvre, M.; Saboret, L.; Schroedter-Homscheidt, M.; et al. Fast radiative transfer parameterisation for assessing the surface solar irradiance: The Heliosat-4 method. Meteorol. Z. 2017, 26, 33–57. [Google Scholar] [CrossRef]
- Mouhamet, D.; Tommy, A.; Primerose, A.; Laurent, L. Improving the Heliosat-2 method for surface solar irradiation estimation under cloudy sky areas. Sol. Energy 2018, 169, 565–576. [Google Scholar] [CrossRef]
- Papachristopoulou, K.; Fountoulakis, I.; Bais, A.F.; Psiloglou, B.E.; Papadimitriou, N.; Raptis, I.P.; Kazantzidis, A.; Kontoes, C.; Hatzaki, M.; Kazadzis, S. Effects of clouds and aerosols on downwelling surface solar irradiance nowcasting and short-term forecasting. Atmos. Meas. Tech. 2024, 17, 1851–1877. [Google Scholar] [CrossRef]
- Li, J.; Tang, W.; Qi, J.; Yan, Z. Mapping high-resolution surface shortwave radiation over East Asia with the new generation geostationary meteorological satellite Himawari-8. Int. J. Digit. Earth 2023, 16, 323–336. [Google Scholar] [CrossRef]
- Yu, Y.; Shi, J.; Wang, T.; Letu, H.; Yuan, P.; Zhou, W.; Hu, L. Evaluation of the Himawari-8 shortwave downward radiation (SWDR) product and its comparison with the CERES-SYN, MERRA-2, and ERA-interim datasets. IEEE J. Sel. Top. Appl. Earth Obs. Remote Sens. 2018, 12, 519–532. [Google Scholar] [CrossRef]
- Urraca, R.; Huld, T.; Gracia-Amillo, A.; Martinez-de-Pison, F.J.; Kaspar, F.; Sanz-Garcia, A. Evaluation of global horizontal irradiance estimates from ERA5 and COSMO-REA6 reanalyses using ground and satellite-based data. Sol. Energy 2018, 164, 339–354. [Google Scholar] [CrossRef]
- Ruosteenoja, K.; Räisänen, P. Seasonal changes in solar radiation and relative humidity in Europe in response to global warming. J. Clim. 2013, 26, 2467–2481. [Google Scholar] [CrossRef]
- Sevillano-Bendezú, M.A.; Khenkin, M.; Nofuentes, G.; De la Casa, J.; Ulbrich, C.; Töfflinger, J.A. Predictability and interrelations of spectral indicators for PV performance in multiple latitudes and climates. Sol. Energy 2023, 259, 174–187. [Google Scholar] [CrossRef]
- Baba, Y. Improvements in SINTEX-F2 seasonal prediction by implementing an atmospheric nudging scheme. Int. J. Climatol. 2023, 43, 6900–6923. [Google Scholar] [CrossRef]
- Smoliak, B.V.; Gelobter, M.; Haley, J.T. Mapping potential surface contributions to reflected solar radiation. Environ. Res. Commun. 2022, 4, 065003. [Google Scholar] [CrossRef]
- Roccetti, G.; Bugliaro, L.; Gödde, F.; Emde, C.; Hamann, U.; Manev, M.; Sterzik, M.F.; Wehrum, C. Development of a HAMSTER: Hyperspectral Albedo Maps dataset with high Spatial and TEmporal Resolution. EGUsphere 2024, 1–27. [Google Scholar] [CrossRef]
- Farahat, A.; Kambezidis, H.D.; Labban, A. The Solar Radiation Climate of Saudi Arabia. Climate 2023, 11, 75. [Google Scholar] [CrossRef]
- Li, Z.; Lau, W.M.; Ramanathan, V.; Wu, G.; Ding, Y.; Manoj, M.G.; Liu, J.; Qian, Y.; Li, J.; Zhou, T.; et al. Aerosol and monsoon climate interactions over Asia. Rev. Geophys. 2016, 54, 866–929. [Google Scholar] [CrossRef]






| Station Name | Short Names | Lat (° N/S) | Lon (° E/W) | Country (Region) | Ground Data Source | Satellite Data Source | Analysis Period | Reference |
|---|---|---|---|---|---|---|---|---|
| Cabauw | CAB | 51.96 | 4.92 | Netherlands (European Union) | BSRN | MSG-1 and -2 | January 2022–February 2024 | [29] |
| Cener | CNR | 42.81 | −1.60 | Spain (European Union) | BSRN | MSG-1 and -2 | January 2022–January 2024 | [30] |
| Abashiri | ABS | 44.01 | 144.27 | Japan (East Asia) | BSRN | Himawari-8 | January 2023–October 2023 | [31] |
| Tateno | TAT | 36.05 | 140.12 | Japan (East Asia) | BSRN | Himawari-8 | January 2023–February 2024 | [32] |
| Gobabeb | GOB | −23.56 | 15.04 | Namibia (Africa) | BSRN | MSG-1 and -2 | January 2022–December 2023 | [33] |
| USAid Venda | VUW | −23.13 | 30.42 | South Africa (Africa) | SAURON | MSG-1 and -2 | January 2022–December 2023 | [28] |
| Saudi West Coast | KSA | 22.58 | 39.16 | Saudi Arabia (Middle East) | Ground SCADA | MSG-1 and -2 | August 2023–January 2024 March 2024–April 2024 | - |
| Ashok Nagar | ASO | 24.52 | 77.62 | India (South Asia) | Ground SCADA | MSG-1 and -2 | January 2023–October 2023 | - |
| Honnali | HON | 14.20 | 75.56 | India (South Asia) | Ground SCADA | MSG-1 and -2 | January 2023–October 2023 | - |
| Site | NCloudy | NClear | Total Days | % NCloudy | % NClear |
| CAB | 167 | 596 | 763 | 21.89 | 78.12 |
| CNR | 136 | 624 | 760 | 17.89 | 82.11 |
| ABS | 132 | 140 | 272 | 48.53 | 51.47 |
| TAT | 143 | 252 | 395 | 36.20 | 63.80 |
| GOB | 88 | 642 | 730 | 12.05 | 87.95 |
| VUW | 240 | 490 | 730 | 32.88 | 67.12 |
| KSA | 55 | 150 | 205 | 26.83 | 73.17 |
| ASO | 74 | 229 | 303 | 24.42 | 75.58 |
| HON | 82 | 220 | 302 | 27.15 | 72.85 |
| Regional Analysis (Sum) | |||||
| Locations in Europe | 303 | 1220 | 1523 | 19.9 | 81.1 |
| Locations in East Asia | 275 | 392 | 667 | 41.23 | 58.77 |
| Location in Africa | 328 | 1132 | 1460 | 22.47 | 77.53 |
| Location in the Middle East | 55 | 150 | 205 | 26.83 | 73.17 |
| Locations in South Asia | 156 | 449 | 605 | 25.8 | 74.2 |
Disclaimer/Publisher’s Note: The statements, opinions and data contained in all publications are solely those of the individual author(s) and contributor(s) and not of MDPI and/or the editor(s). MDPI and/or the editor(s) disclaim responsibility for any injury to people or property resulting from any ideas, methods, instructions or products referred to in the content. |
© 2024 by the authors. Licensee MDPI, Basel, Switzerland. This article is an open access article distributed under the terms and conditions of the Creative Commons Attribution (CC BY) license (https://creativecommons.org/licenses/by/4.0/).
Share and Cite
Meher, J.K.; Rizvi, S.H.A.; Choudhary, B.; Choudhary, R.; Thakre, Y.; Kumar, R.; Singh, V. Validating Meteosat Second Generation and Himawari-8 Derived Solar Irradiance against Ground Measurements: Solarad AI’s Approach. Energies 2024, 17, 2913. https://doi.org/10.3390/en17122913
Meher JK, Rizvi SHA, Choudhary B, Choudhary R, Thakre Y, Kumar R, Singh V. Validating Meteosat Second Generation and Himawari-8 Derived Solar Irradiance against Ground Measurements: Solarad AI’s Approach. Energies. 2024; 17(12):2913. https://doi.org/10.3390/en17122913
Chicago/Turabian StyleMeher, Jitendra Kumar, Syed Haider Abbas Rizvi, Bhramar Choudhary, Ravi Choudhary, Yash Thakre, Ritesh Kumar, and Vikram Singh. 2024. "Validating Meteosat Second Generation and Himawari-8 Derived Solar Irradiance against Ground Measurements: Solarad AI’s Approach" Energies 17, no. 12: 2913. https://doi.org/10.3390/en17122913
APA StyleMeher, J. K., Rizvi, S. H. A., Choudhary, B., Choudhary, R., Thakre, Y., Kumar, R., & Singh, V. (2024). Validating Meteosat Second Generation and Himawari-8 Derived Solar Irradiance against Ground Measurements: Solarad AI’s Approach. Energies, 17(12), 2913. https://doi.org/10.3390/en17122913

