Wind Turbine Geometrical and Operation Variables Reconstruction from Blade Acceleration Measurements
Abstract
1. Introduction
2. Analytical Considerations
2.1. Reference Frames and Rotation Matrix
- The inclination of the nacelle
- The angular position of the blade
- The precone angle
- The pitch plus structural twist over the blade axis
2.2. Accelerations Measurements
3. Blades Measurements Relation with Operation and Structural Parameters
3.1. Model Calibration from Measurements
3.2. Operating Conditions Estimates
4. Results
4.1. Experimental Campaign Overview
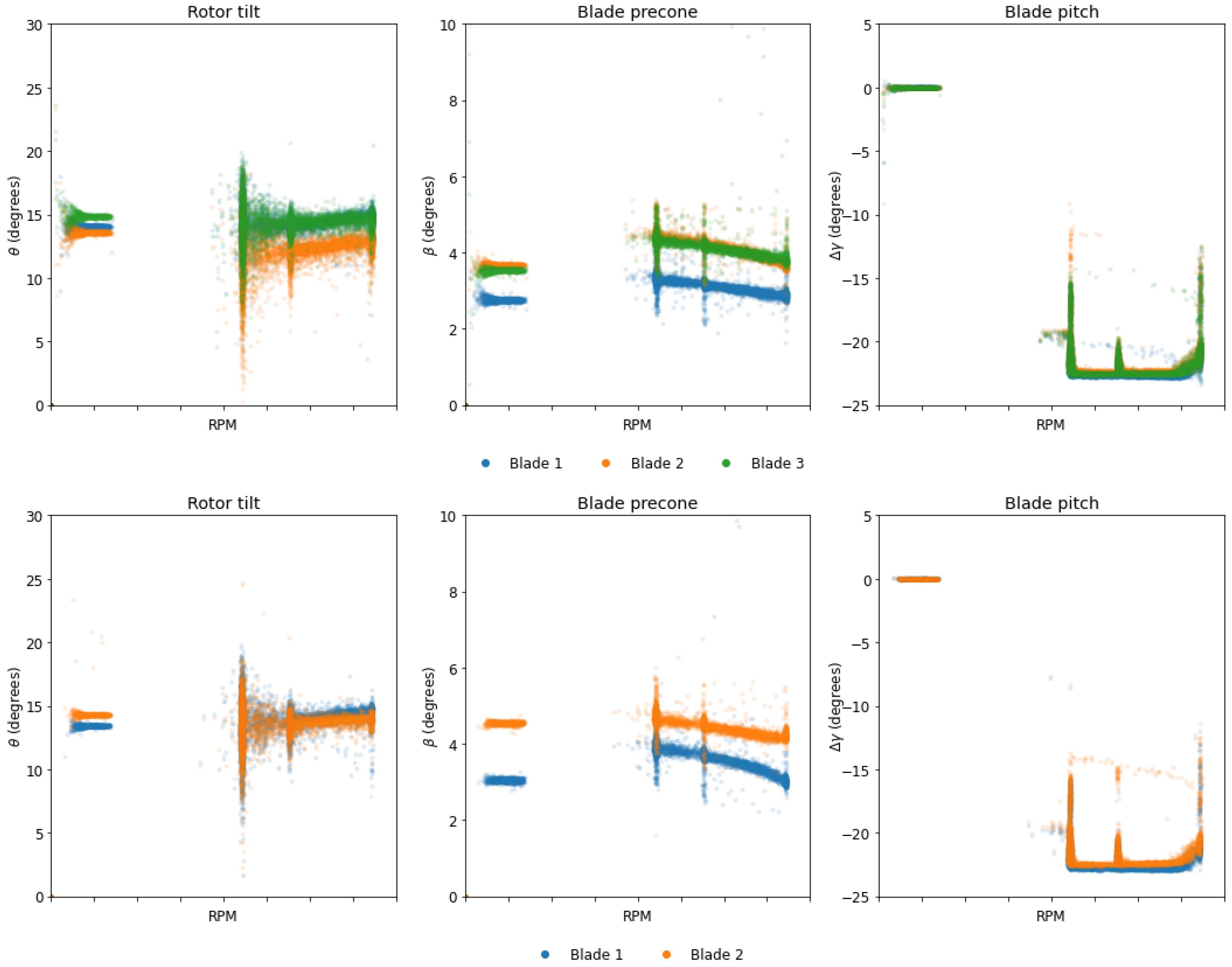
4.2. Parameters Estimation
4.3. SCADA Data Reconstruction
5. Conclusions
Author Contributions
Funding
Data Availability Statement
Conflicts of Interest
Abbreviations
| FEUP | Faculty of Engineering of the University of Porto | 
| MEMS | Micro-electromechanical systems | 
| SCADA | Supervisory control and data acquisition | 
References
- Bezziccheri, M.; Castellini, P.; Evangelisti, P.; Santolini, C.; Paone, N. Measurement of mechanical loads in large wind turbines: Problems on calibration of strain gage bridges and analysis of uncertainty. Wind Energy 2017, 20, 1997–2010. [Google Scholar] [CrossRef]
- Moynihan, B.; Moaveni, B.; Liberatore, S.; Hines, E. Estimation of blade forces in wind turbines using blade root strain measurements with OpenFAST verification. Renew. Energy 2022, 184, 662–676. [Google Scholar] [CrossRef]
- Sheng, C.; Afjeh, A.; Li, X.; Zhao, Q.; Yousuf, Y. Comparative study of yaw and nacelle tilt control strategies for a two-bladed downwind wind turbine. Fluid Mech. Res. Int. J. 2018, 2, 85–97. [Google Scholar] [CrossRef][Green Version]
- Wang, Q.; Liao, K.; Ma, Q. The Influence of Tilt Angle on the Aerodynamic Performance of a Wind Turbine. Appl. Sci. 2020, 10, 5380. [Google Scholar] [CrossRef]
- Kim, H.; Lee, S.; Lee, S. Influence of blade-tower interaction in upwind-type horizontal axis wind turbines on aerodynamics. J. Mech. Sci. Technol. 2011, 25, 1351. [Google Scholar] [CrossRef]
- Wang, Y.; Wang, J.; Zhang, J. Effects of Wind Rotor Tilt Angle on Aerodynamic Power of Wind Turbine under Typical Periodic Disturbances. In Proceedings of the Advances in Mechanism and Machine Science, Krakow, Poland, 15–18 July 2019; Uhl, T., Ed.; Springer: Cham, Switzerland, 2019; pp. 3459–3468. [Google Scholar]
- Tchakoua, P.; Wamkeue, R.; Ouhrouche, M.; Slaoui-Hasnaoui, F.; Tameghe, T.A.; Ekemb, G. Wind Turbine Condition Monitoring: State-of-the-Art Review, New Trends, and Future Challenges. Energies 2014, 7, 2595. [Google Scholar] [CrossRef]
- Straub, D.; Chatzi, E.; Bismut, E.; Courage, W.M.G.; Döhler, M.; Faber, M.H.; Köhler, J.; Lombaert, G.; Omenzetter, P.; Pozzi, M.; et al. Value of information: A roadmap to quantifying the benefit of structural health monitoring. In Proceedings of the 12th International Conference on Structural Safety and Reliability, Vienna, Austria, 6–10 August 2017. [Google Scholar]
- Kamariotis, A.; Chatzi, E.; Straub, D. Value of information from vibration-based structural health monitoring extracted via Bayesian model updating. Mech. Syst. Signal Process. 2022, 166, 108465. [Google Scholar] [CrossRef]
- Tautz-Weinert, J.; Watson, S.J. Using SCADA data for wind turbine condition monitoring—A review. IET Renew. Power Gener. 2017, 11, 382–394. [Google Scholar] [CrossRef]
- Papatheou, E.; Dervilis, N.; Maguire, E.; Worden, K. Wind turbine structural health monitoring: A short investigation based on SCADA data. In Proceedings of the EWSHM-7th European Workshop on Structural Health Monitoring, Nantes, France, 8–11 July 2014. [Google Scholar]
- Gong, X.; Qiao, W. Current-based eccentricity detection for direct-drive wind turbines via synchronous sampling. In Proceedings of the 2013 IEEE Energy Conversion Congress and Exposition, Denver, CO, USA, 15–19 September 2013; pp. 2972–2976. [Google Scholar] [CrossRef]
- Nath, S.; Wu, J.; Zhao, Y.; Qiao, W. Low Latency Bearing Fault Detection of Direct-Drive Wind Turbines Using Stator Current. IEEE Access 2020, 8, 44163–44174. [Google Scholar] [CrossRef]
- He, L.; Hao, L.; Qiao, W. Remote Monitoring and Diagnostics of Pitch-Bearing Defects in an MW-Scale Wind Turbine Using Pitch Symmetrical-Component Analysis. IEEE Trans. Ind. Appl. 2021, 57, 3252–3261. [Google Scholar] [CrossRef]
- Moutinho, C.; Cunha, A. New solutions of sensors and instrumentation for dynamic monitoring of Civil structures: ViBest/FEUP experience. In Proceedings of the 14th International Workshop on Advanced Smart Materials and Smart Structures Technology (ANCRiSST 2019), Rome, Italy, 18–21 July 2019. [Google Scholar]
- Moutinho, C.; Pereira, S.; Cunha, A. Continuous dynamic monitoring of human-induced vibrations at the Luiz I Bridge. J. Bridge Eng. 2020, 25, 5020006. [Google Scholar] [CrossRef]
- Zhang, G.; Moutinho, C.; Magalhães, F. Continuous dynamic monitoring of a large-span arch bridge with wireless nodes based on MEMS accelerometers. Struct. Control. Health Monit. 2022, 29, e2963. [Google Scholar] [CrossRef]
- Tcherniak, D.; Schwaab, M. On a method for finding position and orientation of accelerometers from their signals. Mech. Syst. Signal Process. 2020, 140, 106662. [Google Scholar] [CrossRef]
- Hoffmann, K. An introduction to stress analysis and transducer design using strain gauges. In Test and Measurement; HBM: Darmstadt, Germany, 2012; pp. 67–68. [Google Scholar]
- Pacheco, J.; Guimarães, S.; Moutinho, C.; Marques, M.; Matos, J.C.; Magalhães, F. New strategies for optimized structural monitoring of wind farms: Experimental campaign. Wind Energy Sci. 2020, 5, 983–996. [Google Scholar] [CrossRef]
- Pacheco, J. Development of New Methodologies for Structural Monitoring of Wind Farms. Ph.D. Thesis, Faculty of Engineering of University of Porto (FEUP), Porto, Portugal, 2022. [Google Scholar]









| Disclaimer/Publisher’s Note: The statements, opinions and data contained in all publications are solely those of the individual author(s) and contributor(s) and not of MDPI and/or the editor(s). MDPI and/or the editor(s) disclaim responsibility for any injury to people or property resulting from any ideas, methods, instructions or products referred to in the content. | 
© 2023 by the authors. Licensee MDPI, Basel, Switzerland. This article is an open access article distributed under the terms and conditions of the Creative Commons Attribution (CC BY) license (https://creativecommons.org/licenses/by/4.0/).
Share and Cite
Pimenta, F.; Moutinho, C.; Magalhães, F. Wind Turbine Geometrical and Operation Variables Reconstruction from Blade Acceleration Measurements. Energies 2024, 17, 229. https://doi.org/10.3390/en17010229
Pimenta F, Moutinho C, Magalhães F. Wind Turbine Geometrical and Operation Variables Reconstruction from Blade Acceleration Measurements. Energies. 2024; 17(1):229. https://doi.org/10.3390/en17010229
Chicago/Turabian StylePimenta, Francisco, Carlos Moutinho, and Filipe Magalhães. 2024. "Wind Turbine Geometrical and Operation Variables Reconstruction from Blade Acceleration Measurements" Energies 17, no. 1: 229. https://doi.org/10.3390/en17010229
APA StylePimenta, F., Moutinho, C., & Magalhães, F. (2024). Wind Turbine Geometrical and Operation Variables Reconstruction from Blade Acceleration Measurements. Energies, 17(1), 229. https://doi.org/10.3390/en17010229
 
        



