Simulation of Triple-Cation Perovskite Solar Cells: Key Design Factors for Efficiency Promotion
Abstract
1. Introduction
2. Modeling and Simulation Method
3. Device Structure and Material Parameters
4. Results and Discussion
4.1. Calibration of Device Models and Parameters
4.2. Impact of Absorber Layer Thickness
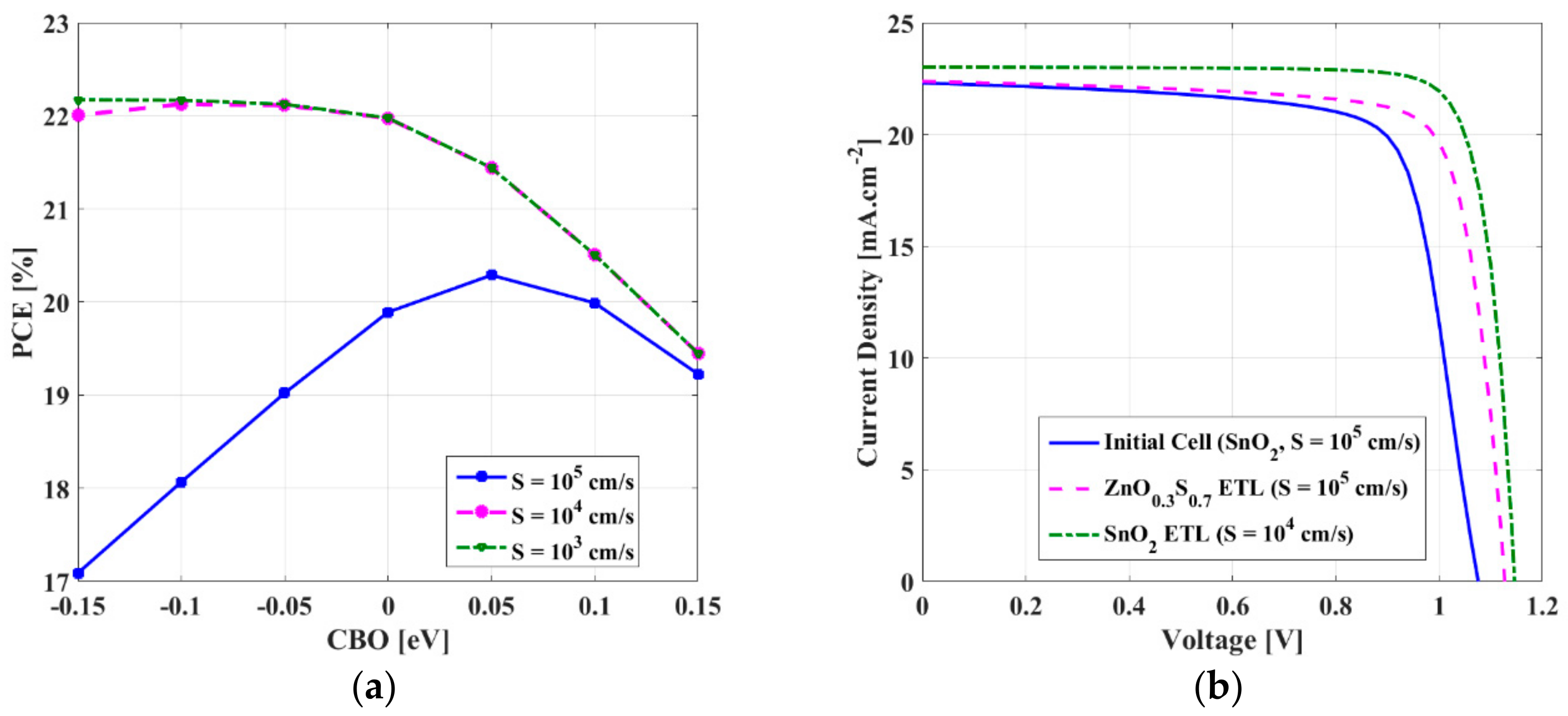
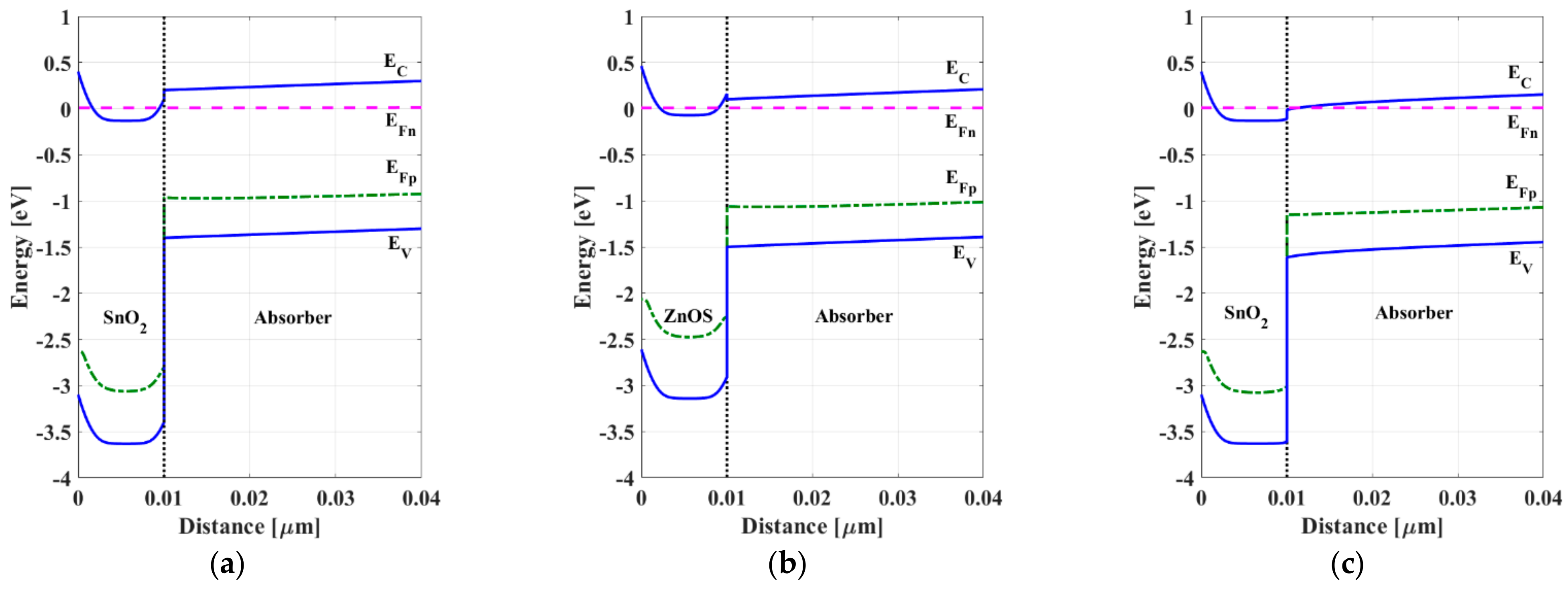
4.3. Impact of CBO and Interface Defects
4.4. Impact of Light Intensity
4.5. HTL-Free Design Proposal
5. Conclusions
Author Contributions
Funding
Data Availability Statement
Acknowledgments
Conflicts of Interest
References
- Zekry, A. A road map for transformation from conventional to photovoltaic energy generation and its challenges. J. King Saud Univ. Eng. Sci. 2020, 32, 407–410. [Google Scholar] [CrossRef]
- Okil, M.; Salem, M.S.; Abdolkader, T.M.; Shaker, A. From Crystalline to Low-cost Silicon-based Solar Cells: A Review. Silicon 2021, 14, 1895–1911. [Google Scholar] [CrossRef]
- Alanazi, T.I. Current Spray-Coating Approaches to Manufacture Perovskite Solar Cells. Results Phys. 2023, 44, 106144. [Google Scholar] [CrossRef]
- Yoshikawa, K.; Kawasaki, H.; Yoshida, W.; Irie, T.; Konishi, K.; Nakano, K.; Uto, T.; Adachi, D.; Kanematsu, M.; Uzu, H. Silicon heterojunction solar cell with interdigitated back contacts for a photoconversion efficiency Over 26%. Nat. Energy 2017, 2, 17032. [Google Scholar] [CrossRef]
- Zhang, Y.; Liu, H. Nanowires for High-Efficiency, Low-Cost Solar Photovoltaics. Crystals 2019, 9, 87. [Google Scholar] [CrossRef]
- Zhang, Y.; Fan, Z.; Zhang, W.; Ma, Q.; Jiang, Z.; Ma, D. High performance hybrid silicon micropillar solar cell based on light trapping characteristics of Cu nanoparticles. AIP Adv. 2018, 8, 055309. [Google Scholar] [CrossRef]
- Salem, M.S.; Alzahrani, A.J.; Ramadan, R.A.; Alanazi, A.; Shaker, A.; Abouelatta, M.; Zekry, A. Physically based analytical model of heavily doped silicon wafers based proposed solar cell microstructure. IEEE Access 2020, 8, 138898–138906. [Google Scholar] [CrossRef]
- Salem, M.S.; Zekry, A.; Shaker, A.; Abouelatta, M. Design and simulation of proposed low cost solar cell structures based on heavily doped silicon wafers. In Proceedings of the 2016 IEEE 43rd Photovoltaic Specialists Conference (PVSC), Portland, OR, USA, 5–10 June 2016. [Google Scholar] [CrossRef]
- Sun, H.; Deng, K.; Xiong, J.; Li, L. Graded bandgap perovskite with intrinsic n–p homojunction expands photon harvesting range and enables all transport layer-free perovskite solar cells. Adv. Energy Mater. 2020, 10, 1903347. [Google Scholar] [CrossRef]
- Gu, S.; Lin, R.; Han, Q.; Gao, Y.; Tan, H.; Zhu, J. Tin and mixed lead–tin halide perovskite solar cells: Progress and their application in tandem solar cells. Adv. Mater. 2020, 32, 1907392–1907407. [Google Scholar] [CrossRef]
- He, T.; Jiang, Y.; Xing, X.; Yuan, M. Structured perovskite light absorbers for efficient and stable photovoltaics. Adv. Mater. 2020, 32, 1903937–1903953. [Google Scholar] [CrossRef]
- Singh, A.N.; Kajal, S.; Kim, J.; Jana, A.; Kim, J.Y.; Kim, K.S. Interface engineering driven stabilization of halide perovskites against moisture, heat, and light for optoelectronic applications. Adv. Energy Mater. 2020, 10, 2000768–2000807. [Google Scholar] [CrossRef]
- Abdelaziz, S.; Zekry, A.; Shaker, A.; Abouelatta, M. Investigation of lead-free MASnI3-MASnIBr2 tandem solar cell: Numerical simulation. Opt. Mater. 2022, 123, 111893. [Google Scholar] [CrossRef]
- Salem, M.S.; Shaker, A.; Zekry, A.; Abouelatta, M.; Alanazi, A.; Alshammari, M.T.; Gontand, C. Analysis of hybrid hetero-homo junction lead-free perovskite solar cells by SCAPS simulator. Energies 2021, 14, 5741. [Google Scholar] [CrossRef]
- Jiang, Q.; Ni, Z.; Xu, G.; Lin, Y.; Rudd, P.N.; Xue, R.; Li, Y.; Li, Y.; Gao, Y.; Huang, J. Interfacial Molecular Doping of Metal Halide Perovskites for Highly Efficient Solar Cells. Adv. Mater. 2020, 32, e2001581. [Google Scholar] [CrossRef]
- Akin, S.; Arora, N.; Zakeeruddin, S.M.; Grätzel, M.; Friend, R.H.; Dar, M.I. New Strategies for Defect Passivation in High-Efficiency Perovskite Solar Cells. Adv. Energy Mater. 2020, 10, 1903090. [Google Scholar] [CrossRef]
- National Renewable Energy Laboratory. Best Research-Cell Efficiency Chart. Available online: https://www.nrel.gov/pv/assets/pdfs/best-research-cell-efficiencies-rev220126.pdf (accessed on 1 February 2023).
- Zhang, L.; Zhuang, Z.; Fang, Q.; Wang, X. Study on the Automatic Identification of ABX3 Perovskite Crystal Structure Based on the Bond-Valence Vector Sum. Materials 2023, 16, 334. [Google Scholar] [CrossRef]
- Min, H.; Kim, M.; Lee, S.U.; Kim, H.; Kim, G.; Choi, K.; Lee, J.H.; Seok, S.I. Efficient, stable solar cells by using inherent bandgap of α-phase formamidinium lead iodide. Science 2019, 366, 749–753. [Google Scholar] [CrossRef]
- Ibrahim, I.A.; Chung, C.Y. Lead-free double perovskites: How divalent cations tune the electronic structure for photovoltaic applications. J. Mater. Chem. C 2022, 10, 12276–12285. [Google Scholar] [CrossRef]
- Vagott, J.N.; Correa-Baena, J.-P. Multi-cation Hybrid Perovskite Solar Cells. In Hybrid Perovskite Solar Cells, 1st ed.; Fujiwara, H., Ed.; WILEY-VCH GmbH: Weinheim, Germany, 2021; pp. 339–584. [Google Scholar] [CrossRef]
- Jeon, N.J.; Noh, J.H.; Yang, W.S.; Kim, Y.C.; Ryu, S.; Seo, J.; Seok, S.I. Compositional engineering of perovskite materials for high-performance solar cells. Nature 2015, 517, 476–480. [Google Scholar] [CrossRef] [PubMed]
- Brakkee, R.; Williams, R.M. Minimizing Defect States in Lead Halide Perovskite Solar Cell Materials. Appl. Sci. 2020, 10, 3061. [Google Scholar] [CrossRef]
- Wang, S.; Pang, S.; Chen, D.; Zhu, W.; Xi, H.; Zhang, C. Improving perovskite solar cell performance by compositional engineering via triple-mixed cations. Sol. Energy 2021, 220, 412–417. [Google Scholar] [CrossRef]
- Lu, H.; Krishna, A.; Zakeeruddin, S.M.; Grätzel, M.; Hagfeldt, A. Compositional and interface engineering of organic-inorganic lead halide perovskite solar cells. iScience 2020, 23, 101359. [Google Scholar] [CrossRef]
- Ramasamy, E.; Suresh, K.; Mallick, S.; Rao, T.N.; Veerappan, G. Compositional engineering and surface passivation for carbon-based perovskite solar cells with superior thermal and moisture stability. J. Power Sources 2023, 559, 232645. [Google Scholar] [CrossRef]
- Joo, S.H.; Choi, H.W. Compositional Engineering of FAPbI3 Perovskite Added MACl with MAPbBr3 or FAPbBr3. Coatings 2021, 11, 1184. [Google Scholar] [CrossRef]
- Pellet, N.; Gao, P.; Gregori, G.; Yang, T.Y.; Nazeeruddin, M.K.; Maier, J.; Grätzel, M. Mixed-organic-cation Perovskite photovoltaics for enhanced solar-light harvesting. Angew. Chem. Int. Ed. 2014, 53, 3151–3157. [Google Scholar] [CrossRef] [PubMed]
- Yang, Z.; Chueh, C.C.; Liang, P.W.; Crump, M.; Lin, F.; Zhu, Z.; Jen, A.K.Y. Effects of formamidinium and bromide ion substitution in methylammonium lead triiodide toward high-performance perovskite solar cells. Nano Energy 2016, 22, 328–337. [Google Scholar] [CrossRef]
- Alanazi, T.I.; Game, O.S.; Smith, J.A.; Kilbride, R.C.; Greenland, C.; Jayaprakash, R.; Georgiou, K.; Terrill, N.J.; Lidzey, D.G. Potassium iodide reduces the stability of triple-cation perovskite solar cells. RSC Adv. 2020, 10, 40341–40350. [Google Scholar] [CrossRef]
- Montoya, D.M.; Pérez-Gutiérrez, E.; Barbosa-Garcia, O.; Bernal, W.; Maldonado, J.L.; Percino, M.J.; Meneses, M.A.; Cerón, M. Defects at the interface electron transport layer and alternative counter electrode, their impact on perovskite solar cells performance. Sol. Energy 2020, 195, 610–617. [Google Scholar] [CrossRef]
- Cao, Y.; Liu, H.; Gao, F.; Li, D.; Xiang, L.; Gao, J.; Gao, P.; Zhang, Y.; Li, S. Interface Optimization and Growth Control for High Efficiency Wide Bandgap Perovskite Solar Cells. Surf. Interfaces 2023, 37, 102680. [Google Scholar] [CrossRef]
- Sun, H.; Xie, D.; Song, Z.; Liang, C.; Xu, L.; Qu, X.; Yao, Y.; Li, D.; Zhai, H.; Zheng, K.; et al. Interface defects passivation and conductivity improvement in planar perovskite solar cells using Na2S-doped compact TiO2 electron transport layers. ACS Appl. Mater. Interfaces 2020, 12, 22853–22861. [Google Scholar] [CrossRef] [PubMed]
- Zhang, B.; Su, J.; Guo, X.; Zhou, L.; Lin, Z.; Feng, L.; Zhang, J.; Chang, J.; Hao, Y. NiO/perovskite heterojunction contact engineering for highly efficient and stable perovskite solar cells. Adv. Sci. 2020, 7, 1903044. [Google Scholar] [CrossRef]
- Zanetta, A.; Bulfaro, I.; Faini, F.; Manzi, M.; Pica, G.; De Bastiani, M.; Bellani, S.; Zappia, M.I.; Bianca, G.; Gabatel, L.; et al. Enhancing charge extraction in inverted perovskite solar cells contacts via ultrathin graphene: Fullerene composite interlayers. J. Mater. Chem. A 2023. [Google Scholar] [CrossRef]
- Chen, Y.; Yang, J.; Wang, S.; Wu, Y.; Yuan, N.; Zhang, W.H. Interfacial contact passivation for efficient and stable cesium-formamidinium double-cation lead halide perovskite solar cells. iScience 2020, 23, 100762. [Google Scholar] [CrossRef]
- Malouangou, M.D.; Zhang, Y.; Yang, Y.; Mbumba, M.T.; Akram, M.W.; Rop, E.; Matondo, J.T.; Guli, M. Enhancing the efficiency and stability of 2D-3D perovskite solar cells with embedded interface passivation with diammonium cation spacer. Sol. Energy Mater. Sol. Cells 2023, 251, 112135. [Google Scholar] [CrossRef]
- Wang, C.; Liu, M.; Rahman, S.; Pasanen, H.P.; Tian, J.; Li, J.; Deng, Z.; Zhang, H.; Vivo, P. Hydrogen bonding drives the self-assembling of carbazole-based hole-transport material for enhanced efficiency and stability of perovskite solar cells. Nano Energy 2022, 101, 107604. [Google Scholar] [CrossRef]
- Xu, Y.; Liu, F.; Li, R.; Jing, Y.; Chen, Q.; Chen, X.; Deng, C.; Du, Z.; Sun, W.; Wu, J.; et al. MXene regulates the stress of perovskite and improves interface contact for high-efficiency carbon-based all-inorganic solar cells. Chem. Eng. J. 2023, 461, 141895. [Google Scholar] [CrossRef]
- Chowdhury, T.A.; Zafar, M.A.B.; Islam, M.S.U.; Shahinuzzaman, M.; Islam, M.A.; Khandaker, M.U. Stability of perovskite solar cells: Issues and prospects. RSC Adv. 2023, 13, 1787–1810. [Google Scholar] [CrossRef] [PubMed]
- Alam, I.; Ashraf, M.A. Effect of different device parameters on tin-based perovskite solar cell coupled with In2S3 electron transport layer and CuSCN and Spiro-OMeTAD alternative hole transport layers for high-efficiency performance. Energy Sources Part A Recovery Util. Environ. Eff. 2020, 1–25. [Google Scholar] [CrossRef]
- Coulibaly, A.B.; Oyedele, S.O.; Kre, N.R.; Aka, B. Comparative Study of Lead-Free Perovskite Solar Cells Using Different Hole Transporter Materials. Model. Numer. Simul. Mater. Sci. 2019, 9, 97–107. [Google Scholar] [CrossRef]
- Gamal, N.; Sedky, S.H.; Shaker, A.; Fedawy, M. Design of Lead-Free Perovskite Solar Cell using Zn1-xMgxO as ETL: SCAPS Device Simulation. Optik 2021, 242, 167306. [Google Scholar] [CrossRef]
- Alanazi, T.I. Design and Device Numerical Analysis of Lead-Free Cs2AgBiBr6 Double Perovskite Solar Cell. Crystals 2023, 13, 267. [Google Scholar] [CrossRef]
- Basyoni, M.S.S.; Salah, M.M.; Mousa, M.; Shaker, A.; Zekry, A.; Abouelatta, M.; Alshammari, M.T.; Al-Dhlan, K.A.; Gontrand, C. On the Investigation of Interface Defects of Solar Cells: Lead-Based vs Lead-Free Perovskite. IEEE Access 2021, 9, 130221–130232. [Google Scholar] [CrossRef]
- Prasanna, J.L.; Goel, E.; Kumar, A.; Laref, A.; Santhosh, C.; Ranjan, P.; Kumar, A. Bandgap graded perovskite solar cell for above 30% efficiency. Optik 2022, 269, 169891. [Google Scholar] [CrossRef]
- Sinha, N.K.; Roy, P.; Ghosh, D.S.; Khare, A. Simulation and analysis of Schottky junction perovskite solar cells (SJPSCs). In Proceedings of the IOP Conference Series: Materials Science and Engineering, Raipur, India, 28–29 December 2020; IOP Publishing: Bristol, UK, 2021; Volume 1120, p. 012017. [Google Scholar]
- Burgelman, M.; Decock, K.; Niemegeers, A.; Verschraegen, J.; Degrave, S. SCAPS Manual; University of Gent: Ghent, Belgium, 2014. [Google Scholar]
- Shockley, W.T.R.W.; Read, W.T., Jr. Statistics of the recombinations of holes and electrons. Phys. Rev. 1952, 87, 835. [Google Scholar] [CrossRef]
- Pauwels, H.J.; Vanhoutte, G. The influence of interface state and energy barriers on the efficiency of heterojunction solar cells. J. Phys. D Appl. Phys. 1978, 11, 649–667. [Google Scholar] [CrossRef]
- Ye, M.; He, C.; Iocozzia, J.; Liu, X.; Cui, X.; Meng, X.; Rager, M.; Hong, X.; Liu, X.; Lin, Z. Recent advances in interfacial engineering of perovskite solar cells. J. Phys. D Appl. Phys. 2017, 50, 373002. [Google Scholar] [CrossRef]
- Patel, P.K. Device simulation of highly efficient eco-friendly CH3NH3SnI3 perovskite solar cell. Sci. Rep. 2021, 11, 3082. [Google Scholar] [CrossRef]
- Mohandes, A.; Moradi, M.; Nadgaran, H. Numerical simulation of inorganic Cs2AgBiBr6 as a lead-free perovskite using device simulation SCAPS-1D. Opt. Quantum Electron. 2021, 53, 319. [Google Scholar] [CrossRef]
- Alkhammash, H.I.; Mottakin, M.; Hossen, M.M.; Akhtaruzzaman, M.; Rashid, M.J. Design and defect study of Cs2AgBiBr6 double perovskite solar cell using suitable charge transport layers. Semicond. Sci. Technol. 2022, 38, 015005. [Google Scholar] [CrossRef]
- Prathapani, S.; Bhargava, P.; Mallick, S. Electronic band structure and carrier concentration of formamidinium–cesium mixed cation lead mixed halide hybrid perovskites. Appl. Phys. Lett. 2018, 112, 092104. [Google Scholar] [CrossRef]
- Karthick, S.; Velumani, S.; Bouclé, J. Experimental and SCAPS simulated formamidinium perovskite solar cells: A comparison of device performance. Sol. Energy 2020, 205, 349–357. [Google Scholar] [CrossRef]
- Abena, A.N.; Ngoupo, A.T.; Ndjaka, J.M.B. Computational analysis of mixed cation mixed halide-based perovskite solar cell using SCAPS-1D software. Heliyon 2022, 8, e11428. [Google Scholar] [CrossRef]
- Saikia, D.; Bera, J.; Betal, A.; Sahu, S. Performance evaluation of an all inorganic CsGeI3 based perovskite solar cell by numerical simulation. Opt. Mater. 2022, 123, 111839. [Google Scholar] [CrossRef]
- Sahli, F.; Werner, J.; Kamino, B.A.; Bräuninger, M.; Yang, T.C.J.; Fiala, P.; Nogay, G.; Fu, F.; Monnard, R.; Walter, A.; et al. Hybrid sequential deposition process for fully textured perovskite/silicon tandem solar cells. In Proceedings of the 2018 IEEE 7th World Conference on Photovoltaic Energy Conversion, WCPEC 2018-A Joint Conference of 45th IEEE PVSC, 28th PVSEC and 34th EU PVSEC, Waikoloa, HI, USA, 10–15 June 2018; pp. 3571–3574. [Google Scholar] [CrossRef]
- Minemoto, T.; Murata, M. Theoretical analysis on effect of band offsets in perovskite solar cells. Sol. Energy Mater. Sol. Cells 2015, 133, 8–14. [Google Scholar] [CrossRef]
- Tanaka, K.; Minemoto, T.; Takakura, H. Analysis of hetero interface recombination by Zn1-xMgxO for window layer of Cu(In,Ga)Se2 solar cells. Sol. Energy 2009, 83, 477–479. [Google Scholar] [CrossRef]
- Li, K.; Kondrotas, R.; Chen, C.; Lu, S.; Wen, X.; Li, D.; Luo, J.; Zhao, Y.; Tang, J. Improved efficiency by insertion of Zn1−xMgxO through sol-gel method in ZnO/Sb2Se3 solar cell. Sol. Energy 2018, 167, 10–17. [Google Scholar] [CrossRef]
- Rai, N.; Rai, S.; Singh, P.K.; Lohia, P.; Dwivedi, D.K. Analysis of various ETL materials for an efficient perovskite solar cell by numerical simulation. J. Mater. Sci. Mater. Electron. 2020, 31, 16269–16280. [Google Scholar] [CrossRef]
- Gharibshahian, I.; Orouji, A.A.; Sharbati, S. Efficient Sb2(S, Se)3/Zn (O, S) solar cells with high open-circuit voltage by controlling sulfur content in the absorber-buffer layers. Sol. Energy 2021, 227, 606–615. [Google Scholar] [CrossRef]
- Zhang, Y.; Blom, P.W. Electron and hole transport in poly (fluorene-benzothiadiazole). Appl. Phys. Lett. 2011, 98, 143504. [Google Scholar] [CrossRef]
- Hossain, M.K.; Rubel, M.H.K.; Toki, G.I.; Alam, I.; Rahman, M.F.; Bencherif, H. Effect of various electron and hole transport layers on the performance of CsPbI3-based perovskite solar cells: A numerical investigation in DFT, SCAPS-1D, and wxAMPS frameworks. ACS Omega 2022, 7, 43210–43230. [Google Scholar] [CrossRef]
- Yin, Z.; Wei, J.; Zheng, Q. Interfacial Materials for Organic Solar Cells: Recent Advances and Perspectives. Adv. Sci. 2016, 3, 1500362. [Google Scholar] [CrossRef] [PubMed]
- Behrouznejad, F.; Shahbazi, S.; Taghavinia, N.; Wu, H.P.; Diau, E.W.G. A study on utilizing different metals as the back contact of CH3NH3PbI3 perovskite solar cells. J. Mater. Chem. A 2016, 4, 13488–13498. [Google Scholar] [CrossRef]
- Chu, Q.Q.; Ding, B.; Li, Y.; Gao, L.L.; Qiu, Q.; Li, C.X.; Li, C.J.; Yang, G.J.; Fang, B. Fast drying boosted performance improvement of low-temperature paintable carbon-based perovskite solar cell. ACS Sustain. Chem. Eng. 2017, 5, 9758–9765. [Google Scholar] [CrossRef]
- Pradid, P.; Sanglee, K.; Thongprong, N.; Chuangchote, S. Carbon Electrodes in Perovskite Photovoltaics. Materials 2021, 14, 5989. [Google Scholar] [CrossRef]
- Chakraborty, D.; Somay, S.; Pandey, S.K. Numerical analysis of a novel HTL-free perovskite solar cell with gradient doping and a WS₂ interlayer. Micro Nanostruct. 2022, 163, 107149. [Google Scholar] [CrossRef]
- Sunny, A.; Rahman, S.; Khatun, M.M.; Ahmed, S.R.A. Numerical study of high performance HTL-free CH3NH3SnI3-based perovskite solar cell by SCAPS-1D. AIP Adv. 2021, 11, 065102. [Google Scholar] [CrossRef]
- Kadhim, M.J.; Mohammed, M.K. Fabrication of efficient triple-cation perovskite solar cells employing ethyl acetate as an environmental-friendly solvent additive. Mater. Res. Bull. 2023, 158, 112047. [Google Scholar] [CrossRef]








| Material Properties | Spiro-OMeTAD [30,53,54] | TC Perovskite [30,55,56] | SnO2 [30,57] |
|---|---|---|---|
| εr | 3.06 | 6.6 | 9 |
| χ (eV) | 2.2 | 3.9 | 4.0 |
| Eg (eV) | 2.9 | 1.6 | 3.5 |
| µn/p (cm2 V−1 s−1) | 2 × 10−4/2 × 10−4 | 2.0/2.0 | 20/10 |
| NA (cm−3) | 2 × 1019 | 1015 | 0 |
| ND (cm−3) | 0 | 0 | 2.2 × 1017 |
| NC (cm−3) | 2.2 × 1018 | 1018 | 2.2 × 1016 |
| NV (cm−3) | 1.9 × 1019 | 1018 | 1019 |
| Experimental Data [30] | Simulation (No Interface Defects) | Simulation (Tuned Interface Defects) | |
|---|---|---|---|
| Voc (V) | 1.08 ± 0.01 | 1.2313 | 1.0755 |
| Jsc (mA.cm−2) | 22.33 ± 0.41 | 23.041 | 22.297 |
| FF (%) | 75.68 ± 1.32 | 78.13 | 74.75 |
| PCE (%) | 17.51 ± 0.48 | 22.16 | 17.92 |
| Zn0.85Mg0.15O [62] | WO3 [63] | ZnO0.3S0.7 [64] | ZnO [63] | WS2 [65] | TiO2 [66] | |
|---|---|---|---|---|---|---|
| Eg (eV) | 3.55 | 2.6 | 3.07 | 3.3 | 1.8 | 3.2 |
| χ (eV) | 3.75 | 3.8 | 3.84 | 3.9 | 3.95 | 4 |
| CBO (eV) | +0.15 | +0.1 | +0.06 | 0 | −0.05 | −0.1 |
| εr | 9.0 | 4.8 | 9.0 | 9.0 | 13.6 | 9.0 |
| µn/p (cm2/Vs) | 50/20 | 30/30 | 100/25 | 50/5 | 100/100 | 20/10 |
| Nc (cm−3) | 9 × 1016 | 2.2 × 1021 | 2.2 × 1018 | 1.0 × 1019 | 2.2 × 1017 | 2 × 1018 |
| Nv (cm−3) | 9 × 1017 | 2.2 × 1021 | 1.8 × 1018 | 1.0 × 1019 | 2.2 × 1016 | 1.8 × 1019 |
| Initial Cell | HTL-Free (SnO2 ETL) | HTL-Free (ZnOS ETL) | HTL-Free (SnO2 ETL) | |
|---|---|---|---|---|
| S (cm/s) | 1 × 105 | 1 × 105 | 1 × 105 | 1 × 104 |
| Voc (V) | 1.0755 | 1.0333 | 1.055 | 1.054 |
| Jsc (mA.cm−2) | 22.297 | 22.085 | 22.167 | 22.861 |
| FF (%) | 74.75 | 67.51 | 68.99 | 75.84 |
| PCE (%) | 17.92 | 15.41 | 16.14 | 18.28 |
| Triple-Cation Perovskite | Voc (V) | Jsc (mA.cm−2) | FF (%) | PCE (%) | REF |
|---|---|---|---|---|---|
| Guay(FAMA)1-yPbIxCl3-x | 1.14 | 23.80 | 78.00 | 21.30 | [24] |
| FA0.8Cs0.16MA0.04Pb(I0.5Br0.5)3 | 1.22 | 17.64 | 73.00 | 15.70 | [32] |
| Cs0.05FA0.79MA0.16Pb(I0.90Br0.10)3 | 1.098 | 22.40 | 85.00 | 20.80 | [35] |
| Cs0.05(FA0.83MA0.17)0.95Pb(I0.83Br0.17)3 | 1.145 | 23.78 | 77.89 | 21.15 | [37] |
| Cs(MAFA)Pb(IBr)3 | 1.054 | 22.16 | 79.78 | 18.63 | [73] |
| Cs0.05FA0.79MA0.15PbI2.45Br0.55 (ZnO0.3S0.7 and S = 1 × 105 cm/s) | 1.128 | 21.70 | 78.83 | 20.09 | This work |
| Cs0.05FA0.79MA0.15PbI2.45Br0.55 (SnO2 and S = 1 × 104 cm/s) | 1.147 | 23.02 | 83.15 | 21.94 | This work |
| Cs0.05FA0.79MA0.15PbI2.45Br0.55 (HTL-free cell) | 1.0540 | 22.861 | 75.84 | 18.28 | This work |
Disclaimer/Publisher’s Note: The statements, opinions and data contained in all publications are solely those of the individual author(s) and contributor(s) and not of MDPI and/or the editor(s). MDPI and/or the editor(s) disclaim responsibility for any injury to people or property resulting from any ideas, methods, instructions or products referred to in the content. |
© 2023 by the authors. Licensee MDPI, Basel, Switzerland. This article is an open access article distributed under the terms and conditions of the Creative Commons Attribution (CC BY) license (https://creativecommons.org/licenses/by/4.0/).
Share and Cite
Alanazi, T.I.; Eid, O.I. Simulation of Triple-Cation Perovskite Solar Cells: Key Design Factors for Efficiency Promotion. Energies 2023, 16, 2717. https://doi.org/10.3390/en16062717
Alanazi TI, Eid OI. Simulation of Triple-Cation Perovskite Solar Cells: Key Design Factors for Efficiency Promotion. Energies. 2023; 16(6):2717. https://doi.org/10.3390/en16062717
Chicago/Turabian StyleAlanazi, Tarek I., and Omer I. Eid. 2023. "Simulation of Triple-Cation Perovskite Solar Cells: Key Design Factors for Efficiency Promotion" Energies 16, no. 6: 2717. https://doi.org/10.3390/en16062717
APA StyleAlanazi, T. I., & Eid, O. I. (2023). Simulation of Triple-Cation Perovskite Solar Cells: Key Design Factors for Efficiency Promotion. Energies, 16(6), 2717. https://doi.org/10.3390/en16062717

