Data-Driven Tools for Building Energy Consumption Prediction: A Review
Abstract
1. Introduction
2. Overview of Existing Review Studies
3. Materials and Methods
4. Results and Discussion
4.1. Scope of Prediction
4.2. Data Properties—Types of Features
4.3. Data-Driven Tools
4.3.1. Performance Evaluation
- Mean Absolute Error (MAE) is an evaluating measurement of performance that examines the disparity between the predicted values and the actual values at their respective points in a scatter plot. The score closer to zero represents better performance, while the closer the value is to one indicates a poor performance.
- 2.
- Root Mean Squared Error (RMSE) is an evaluating measurement of performance employed for calculating the difference between predicted values and actual values. The RMSE score closer to zero represents better performance, while the closer the value is to one indicates a poor performance.
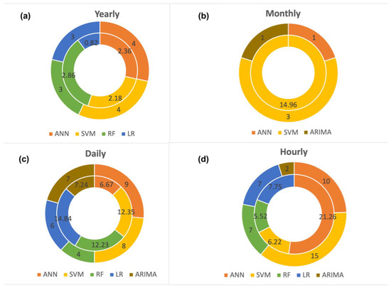
4.3.2. Temporal Granularities
4.3.3. Building Types
4.3.4. Energy Consumption Types
4.4. Proposed Framework
5. Conclusions
Author Contributions
Funding
Data Availability Statement
Conflicts of Interest
References
- Fathi, S.; Srinivasan, R.; Fenner, A.; Fathi, S. Machine learning applications in urban building energy performance forecasting: A systematic review. Renew. Sustain. Energy Rev. 2020, 133, 110287. [Google Scholar] [CrossRef]
- Debrah, C.; Chan, A.P.; Darko, A. Artificial intelligence in green building. Autom. Constr. 2022, 137, 104192. [Google Scholar] [CrossRef]
- Alimohammadisagvand, B.; Jokisalo, J.; Sirén, K. The potential of predictive control in minimizing the electricity cost in a heat-pump heated residential house. In Proceedings of the 3rd IBPSA-England Conference BSO, Newcastle, UK, 19 September 2016. [Google Scholar]
- Li, X.; Wen, J. Review of building energy modeling for control and operation. Renew. Sustain. Energy Rev. 2014, 37, 517–537. [Google Scholar] [CrossRef]
- Ahmad, M.W.; Mouraud, A.; Rezgui, Y.; Mourshed, M. Deep Highway Networks and Tree-Based Ensemble for Predicting Short-Term Building Energy Consumption. Energies 2018, 11, 3408. [Google Scholar] [CrossRef]
- Woo, J.; Fenner, A.E.; Asutosh, A.; Kim, D.; Razkenari, M.A.; Kibert, C.J. A review of the state-of-the-art machine learning algorithms for building energy consumption prediction. In IIE Annual Conference. Proceedings; Institute of Industrial and Systems Engineers (IISE): Peachtree Corners, GA, USA, 2018; pp. 2169–2174. [Google Scholar]
- Alimohammadisagvand, B.; Alam, S.; Ali, M.; Degefa, M.; Jokisalo, J.; Sirén, K. Influence of energy demand response actions on thermal comfort and energy cost in electrically heated residential houses. Indoor Built Environ. 2017, 26, 298–316. [Google Scholar] [CrossRef]
- Ahmad, A.S.; Hassan, M.Y.; Abdullah, M.P.; Rahman, H.A.; Hussin, F.; Abdullah, H.; Saidur, R. A review on applications of ANN and SVM for building electrical energy consumption forecasting. Renew. Sustain. Energy Rev. 2014, 33, 102–109. [Google Scholar] [CrossRef]
- Zhang, L.; Wen, J. A systematic feature selection procedure for short-term data-driven building energy forecasting model development. Energy Build. 2019, 183, 428–442. [Google Scholar] [CrossRef]
- Gassar, A.A.A.; Yun, G.Y.; Kim, S. Data-driven approach to prediction of residential energy consumption at urban scales in London. Energy 2019, 187, 115973. [Google Scholar] [CrossRef]
- Amasyali, K.; El-Gohary, N. Machine learning for occupant-behavior-sensitive cooling energy consumption prediction in office buildings. Renew. Sustain. Energy Rev. 2021, 142, 110714. [Google Scholar] [CrossRef]
- Bourhnane, S.; Abid, M.R.; Lghoul, R.; Zine-Dine, K.; Elkamoun, N.; Benhaddou, D. Machine learning for energy consumption prediction and scheduling in smart buildings. SN Appl. Sci. 2020, 2, 297. [Google Scholar] [CrossRef]
- Ciulla, G.; D’Amico, A. Building energy performance forecasting: A multiple linear regression approach. Appl. Energy 2019, 253, 113500. [Google Scholar] [CrossRef]
- Divina, F.; Gilson, A.; Goméz-Vela, F.; García Torres, M.; Torres, J.F. Stacking Ensemble Learning for Short-Term Electricity Consumption Forecasting. Energies 2018, 11, 949. [Google Scholar] [CrossRef]
- Feng, C.; Zhang, J. Assessment of aggregation strategies for machine-learning based short-term load forecasting. Electr. Power Syst. Res. 2020, 184, 106304. [Google Scholar] [CrossRef]
- Izidio, D.; Neto, P.D.M.; Barbosa, L.; de Oliveira, J.; Marinho, M.; Rissi, G. Evolutionary Hybrid System for Energy Consumption Forecasting for Smart Meters. Energies 2021, 14, 1794. [Google Scholar] [CrossRef]
- Robinson, C.; Dilkina, B.; Hubbs, J.; Zhang, W.; Guhathakurta, S.; Brown, M.A.; Pendyala, R.M. Machine learning approaches for estimating commercial building energy consumption. Appl. Energy 2017, 208, 889–904. [Google Scholar] [CrossRef]
- Goyal, K.; Tiwari, N.; Sonekar, J. An Anatomization of Data Classification Based on Machine Learning Techniques. IJRAR-Int. J. Res. Anal. Rev. (IJRAR) 2020, 7, 713–716. [Google Scholar]
- Kabir, M.A. Vehicle Speed Prediction based on Road Status using Machine Learning. Adv. Res. Energy Eng. 2020, 2, 5. [Google Scholar]
- Olu-Ajayi, R.; Alaka, H.; Sulaimon, I.; Sunmola, F.; Ajayi, S. Building energy consumption prediction for residential buildings using deep learning and other machine learning techniques. J. Build. Eng. 2022, 45, 103406. [Google Scholar] [CrossRef]
- Runge, J.; Zmeureanu, R. Forecasting Energy Use in Buildings Using Artificial Neural Networks: A Review. Energies 2019, 12, 3254. [Google Scholar] [CrossRef]
- Khan, A.-N.; Iqbal, N.; Rizwan, A.; Ahmad, R.; Kim, D.-H. An Ensemble Energy Consumption Forecasting Model Based on Spatial-Temporal Clustering Analysis in Residential Buildings. Energies 2021, 14, 3020. [Google Scholar] [CrossRef]
- Kim, D.D.; Suh, H.S. Heating and cooling energy consumption prediction model for high-rise apartment buildings considering design parameters. Energy Sustain. Dev. 2021, 61, 1–14. [Google Scholar] [CrossRef]
- Mocanu, E.; Nguyen, P.H.; Gibescu, M.; Kling, W.L. Deep learning for estimating building energy consumption. Sustain. Energy Grids Netw. 2016, 6, 91–99. [Google Scholar] [CrossRef]
- Shan, S.; Cao, B.; Wu, Z. Forecasting the Short-Term Electricity Consumption of Building Using a Novel Ensemble Model. IEEE Access 2019, 7, 88093–88106. [Google Scholar] [CrossRef]
- Pino-Mejías, R.; Pérez-Fargallo, A.; Rubio-Bellido, C.; Pulido-Arcas, J.A. Comparison of linear regression and artificial neural networks models to predict heating and cooling energy demand, energy consumption and CO2 emissions. Energy 2017, 118, 24–36. [Google Scholar] [CrossRef]
- Sulaimon, I.A.; Alaka, H.; Olu-Ajayi, R.; Ahmad, M.; Ajayi, S.; Hye, A. Effect of traffic data set on various machine-learning algorithms when forecasting air quality. J. Eng. Des. Technol. 2022. ahead-of-print. [Google Scholar] [CrossRef]
- Wusu, G.E.; Alaka, H.; Yusuf, W.; Mporas, I.; Toriola-Coker, L.; Oseghale, R. A machine learning approach for predicting critical factors determining adoption of offsite construction in Nigeria. Smart Sustain. Built Environ. 2022. ahead-of-print. [Google Scholar] [CrossRef]
- Amasyali, K.; El-Gohary, N. Deep Learning for Building Energy Consumption Prediction. In Proceedings of the 6th CSCE-CRC International Construction Specialty Conference, Vancouver, BC, Canada, 31 May–3 June 2017. [Google Scholar]
- Alaka, H.A.; Oyedele, L.O.; Owolabi, H.A.; Kumar, V.; Ajayi, S.O.; Akinade, O.O.; Bilal, M. Systematic review of bankruptcy prediction models: Towards a framework for tool selection. Expert Syst. Appl. 2018, 94, 164–184. [Google Scholar] [CrossRef]
- Aversa, P.; Donatelli, A.; Piccoli, G.; Luprano, V.A.M. Improved Thermal Transmittance Measurement with HFM Technique on Building Envelopes in the Mediterranean Area. Sel. Sci. Pap. J. Civ. Eng. 2016, 11, 39–52. [Google Scholar] [CrossRef]
- Seyedzadeh, S.; Rahimian, F.; Glesk, I.; Roper, M. Machine learning for estimation of building energy consumption and performance: A review. Vis. Eng. 2018, 6, 5. [Google Scholar] [CrossRef]
- Daut, M.A.M.; Hassan, M.Y.; Abdullah, H.; Rahman, H.A.; Abdullah, P.; Hussin, F. Building electrical energy consumption forecasting analysis using conventional and artificial intelligence methods: A review. Renew. Sustain. Energy Rev. 2017, 70, 1108–1118. [Google Scholar] [CrossRef]
- Kuster, C.; Rezgui, Y.; Mourshed, M. Electrical load forecasting models: A critical systematic review. Sustain. Cities Soc. 2017, 35, 257–270. [Google Scholar] [CrossRef]
- Deb, C.; Zhang, F.; Yang, J.; Lee, S.E.; Shah, K.W. A review on time series forecasting techniques for building energy consumption. Renew. Sustain. Energy Rev. 2017, 74, 902–924. [Google Scholar] [CrossRef]
- Bourdeau, M.; Zhai, X.Q.; Nefzaoui, E.; Guo, X.; Chatellier, P. Modeling and forecasting building energy consumption: A review of data-driven techniques. Sustain. Cities Soc. 2019, 48, 101533. [Google Scholar] [CrossRef]
- Sun, Y.; Haghighat, F.; Fung, B.C. A review of the-state-of-the-art in data-driven approaches for building energy prediction. Energy Build. 2020, 221, 110022. [Google Scholar] [CrossRef]
- Zhang, L.; Wen, J.; Li, Y.; Chen, J.; Ye, Y.; Fu, Y.; Livingood, W. A review of machine learning in building load prediction. Appl. Energy 2021, 285, 116452. [Google Scholar] [CrossRef]
- Zhao, H.-X.; Magoulès, F. A review on the prediction of building energy consumption. Renew. Sustain. Energy Rev. 2012, 16, 3586–3592. [Google Scholar] [CrossRef]
- Falagas, M.E.; Pitsouni, E.I.; Malietzis, G.; Pappas, G. Comparison of PubMed, Scopus, Web of Science, and Google Scholar: Strengths and weaknesses. FASEB J. 2008, 22, 338–342. [Google Scholar] [CrossRef]
- Diirr, B.; Santos, G. Interorganizational Information Systems: Systematic Literature Mapping Protocol. RelaTe-DIA 2019, 12, 4–5. [Google Scholar]
- Schlosser, R.W. Appraising the quality of systematic reviews. Focus 2007, 17, 1–8. [Google Scholar]
- Chiradeja, P.; Ngaopitakkul, A. Energy and Economic Analysis of Tropical Building Envelope Material in Compliance with Thailand’s Building Energy Code. Sustainability 2019, 11, 6872. [Google Scholar] [CrossRef]
- Rouleau, J.; Gosselin, L.; Blanchet, P. Understanding energy consumption in high-performance social housing buildings: A case study from Canada. Energy 2018, 145, 677–690. [Google Scholar] [CrossRef]
- Hribar, R.; Potočnik, P.; Šilc, J.; Papa, G. A comparison of models for forecasting the residential natural gas demand of an urban area. Energy 2019, 167, 511–522. [Google Scholar] [CrossRef]
- Kontokosta, C.E.; Tull, C. A data-driven predictive model of city-scale energy use in buildings. Appl. Energy 2017, 197, 303–317. [Google Scholar] [CrossRef]
- Somu, N.; MR, G.R.; Ramamritham, K. A deep learning framework for building energy consumption forecast. Renew. Sustain. Energy Rev. 2021, 137, 110591. [Google Scholar] [CrossRef]
- Li, X.; Yao, R. A machine-learning-based approach to predict residential annual space heating and cooling loads considering occupant behaviour. Energy 2020, 212, 118676. [Google Scholar] [CrossRef]
- Zhang, G.; Tian, C.; Li, C.; Zhang, J.J.; Zuo, W. Accurate forecasting of building energy consumption via a novel ensembled deep learning method considering the cyclic feature. Energy 2020, 201, 117531. [Google Scholar] [CrossRef]
- Chammas, M.; Makhoul, A.; Demerjian, J. An efficient data model for energy prediction using wireless sensors. Comput. Electr. Eng. 2019, 76, 249–257. [Google Scholar] [CrossRef]
- Sadeghi, A.; Sinaki, R.Y.; Ii, W.A.Y.; Weckman, G.R. An Intelligent Model to Predict Energy Performances of Residential Buildings Based on Deep Neural Networks. Energies 2020, 13, 571. [Google Scholar] [CrossRef]
- Li, C.; Ding, Z.; Zhao, D.; Yi, J.; Zhang, G. Building Energy Consumption Prediction: An Extreme Deep Learning Approach. Energies 2017, 10, 1525. [Google Scholar] [CrossRef]
- Li, C.; Ding, Z.; Yi, J.; Lv, Y.; Zhang, G. Deep Belief Network Based Hybrid Model for Building Energy Consumption Prediction. Energies 2018, 11, 242. [Google Scholar] [CrossRef]
- Jang, J.; Lee, J.; Son, E.; Park, K.; Kim, G.; Lee, J.H.; Leigh, S.-B. Development of an Improved Model to Predict Building Thermal Energy Consumption by Utilizing Feature Selection. Energies 2019, 12, 4187. [Google Scholar] [CrossRef]
- Shapi, M.K.M.; Ramli, N.A.; Awalin, L.J. Energy consumption prediction by using machine learning for smart building: Case study in Malaysia. Dev. Built Environ. 2021, 5, 100037. [Google Scholar] [CrossRef]
- Pinto, T.; Praça, I.; Vale, Z.; Silva, J. Ensemble learning for electricity consumption forecasting in office buildings. Neurocomputing 2021, 423, 747–755. [Google Scholar] [CrossRef]
- Chou, J.-S.; Tran, D.-S. Forecasting energy consumption time series using machine learning techniques based on usage patterns of residential householders. Energy 2018, 165, 709–726. [Google Scholar] [CrossRef]
- Syed, D.; Abu-Rub, H.; Ghrayeb, A.; Refaat, S.S. Household-Level Energy Forecasting in Smart Buildings Using a Novel Hybrid Deep Learning Model. IEEE Access 2021, 9, 33498–33511. [Google Scholar] [CrossRef]
- Amber, K.; Ahmad, R.; Aslam, M.; Kousar, A.; Usman, M.; Khan, M. Intelligent techniques for forecasting electricity consumption of buildings. Energy 2018, 157, 886–893. [Google Scholar] [CrossRef]
- Koukaras, P.; Bezas, N.; Gkaidatzis, P.; Ioannidis, D.; Tzovaras, D.; Tjortjis, C. Introducing a novel approach in one-step ahead energy load forecasting. Sustain. Comput. Inform. Syst. 2021, 32, 100616. [Google Scholar] [CrossRef]
- Guo, Y.; Wang, J.; Chen, H.; Li, G.; Liu, J.; Xu, C.; Huang, R.; Huang, Y. Machine learning-based thermal response time ahead energy demand prediction for building heating systems. Appl. Energy 2018, 221, 16–27. [Google Scholar] [CrossRef]
- Pham, A.-D.; Ngo, N.-T.; Truong, T.T.H.; Huynh, N.-T.; Truong, N.-S. Predicting energy consumption in multiple buildings using machine learning for improving energy efficiency and sustainability. J. Clean. Prod. 2020, 260, 121082. [Google Scholar] [CrossRef]
- Feng, Y.; Duan, Q.; Chen, X.; Yakkali, S.S.; Wang, J. Space cooling energy usage prediction based on utility data for residential buildings using machine learning methods. Appl. Energy 2021, 291, 116814. [Google Scholar] [CrossRef]
- Mohammed, A.; Asteris, P.; Koopialipoor, M.; Alexakis, D.; Lemonis, M.; Armaghani, D. Stacking Ensemble Tree Models to Predict Energy Performance in Residential Buildings. Sustainability 2021, 13, 8298. [Google Scholar] [CrossRef]
- Fu, G. Deep belief network based ensemble approach for cooling load forecasting of air-conditioning system. Energy 2018, 148, 269–282. [Google Scholar] [CrossRef]
- Wang, R.; Lu, S.; Feng, W. A novel improved model for building energy consumption prediction based on model integration. Appl. Energy 2020, 262, 114561. [Google Scholar] [CrossRef]
- Ullah, F.U.M.; Ullah, A.; Haq, I.U.; Rho, S.; Baik, S.W. Short-Term Prediction of Residential Power Energy Consumption via CNN and Multi-Layer Bi-Directional LSTM Networks. IEEE Access 2020, 8, 123369–123380. [Google Scholar] [CrossRef]
- Wang, R.; Lu, S.; Li, Q. Multi-criteria comprehensive study on predictive algorithm of hourly heating energy consumption for residential buildings. Sustain. Cities Soc. 2019, 49, 101623. [Google Scholar] [CrossRef]
- Irfan, M.; Ramlie, F.; Widianto Lestandy, M.; Faruq, A. Prediction of Residential Building Energy Efficiency Performance using Deep Neural Network. IAENG Int. J. Comput. Sci. 2021, 48, 731–737. [Google Scholar]
- Hosseini, S.; Fard, R.H. Machine Learning Algorithms for Predicting Electricity Consumption of Buildings. Wirel. Pers. Commun. 2021, 121, 3329–3341. [Google Scholar] [CrossRef]
- Groß, A.; Lenders, A.; Schwenker, F.; Braun, D.A.; Fischer, D. Comparison of short-term electrical load forecasting methods for different building types. Energy Inform. 2021, 4, 13. [Google Scholar] [CrossRef]
- Goudarzi, S.; Anisi, M.H.; Soleymani, S.A.; Ayob, M.; Zeadally, S. An IoT-Based Prediction Technique for Efficient Energy Consumption in Buildings. IEEE Trans. Green Commun. Netw. 2021, 5, 2076–2088. [Google Scholar] [CrossRef]
- Gao, X.; Qi, C.; Xue, G.; Song, J.; Zhang, Y.; Yu, S.-A. Forecasting the Heat Load of Residential Buildings with Heat Metering Based on CEEMDAN-SVR. Energies 2020, 13, 6079. [Google Scholar] [CrossRef]
- Xie, Y.; Hu, P.; Zhu, N.; Lei, F.; Xing, L.; Xu, L.; Sun, Q. A hybrid short-term load forecasting model and its application in ground source heat pump with cooling storage system. Renew. Energy 2020, 161, 1244–1259. [Google Scholar] [CrossRef]
- Lin, X.; Yu, H.; Wang, M.; Li, C.; Wang, Z.; Tang, Y. Electricity Consumption Forecast of High-Rise Office Buildings Based on the Long Short-Term Memory Method. Energies 2021, 14, 4785. [Google Scholar] [CrossRef]
- Alduailij, M.A.; Petri, I.; Rana, O.; Aldawood, A.S. Forecasting peak energy demand for smart buildings. J. Supercomput. 2021, 77, 6356–6380. [Google Scholar] [CrossRef]
- Guo, N.; Gui, W.; Chen, W.; Tian, X.; Qiu, W.; Tian, Z.; Zhang, X. Using improved support vector regression to predict the transmitted energy consumption data by distributed wireless sensor network. EURASIP J. Wirel. Commun. Netw. 2020, 2020, 1–16. [Google Scholar] [CrossRef]
- Nie, P.; Roccotelli, M.; Fanti, M.P.; Ming, Z.; Li, Z. Prediction of home energy consumption based on gradient boosting regression tree. Energy Rep. 2021, 7, 1246–1255. [Google Scholar] [CrossRef]
- Elbeltagi, E.; Wefki, H. Predicting energy consumption for residential buildings using ANN through parametric modeling. Energy Rep. 2021, 7, 2534–2545. [Google Scholar] [CrossRef]
- Chen, Y.; Zhang, F.; Berardi, U. Day-ahead prediction of hourly subentry energy consumption in the building sector using pattern recognition algorithms. Energy 2020, 211, 118530. [Google Scholar] [CrossRef]
- Cho, S.; Lee, J.; Baek, J.; Kim, G.-S.; Leigh, S.-B. Investigating Primary Factors Affecting Electricity Consumption in Non-Residential Buildings Using a Data-Driven Approach. Energies 2019, 12, 4046. [Google Scholar] [CrossRef]
- Jeong, D.; Park, C.; Ko, Y.M. Short-term electric load forecasting for buildings using logistic mixture vector autoregressive model with curve registration. Appl. Energy 2021, 282, 116249. [Google Scholar] [CrossRef]
- Culaba, A.B.; Del Rosario, A.J.R.; Ubando, A.T.; Chang, J. Machine learning—Based energy consumption clustering and forecasting for mixed—Use buildings. Int. J. Energy Res. 2020, 44, 9659–9673. [Google Scholar] [CrossRef]
- Ding, Y.; Su, H.; Kong, X.; Zhang, Z. Ultra-Short-Term Building Cooling Load Prediction Model Based on Feature Set Construction and Ensemble Machine Learning. IEEE Access 2020, 8, 178733–178745. [Google Scholar] [CrossRef]
- Parhizkar, T.; Rafieipour, E.; Parhizkar, A. Evaluation and improvement of energy consumption prediction models using principal component analysis based feature reduction. J. Clean. Prod. 2021, 279, 123866. [Google Scholar] [CrossRef]
- Szul, T.; Nęcka, K.; Mathia, T.G. Neural Methods Comparison for Prediction of Heating Energy Based on Few Hundreds Enhanced Buildings in Four Season’s Climate. Energies 2020, 13, 5453. [Google Scholar] [CrossRef]
- Shen, M.; Lu, Y.; Wei, K.H.; Cui, Q. Prediction of household electricity consumption and effectiveness of concerted intervention strategies based on occupant behaviour and personality traits. Renew. Sustain. Energy Rev. 2020, 127, 109839. [Google Scholar] [CrossRef]
- Fan, C.; Xiao, F.; Zhao, Y. A short-term building cooling load prediction method using deep learning algorithms. Appl. Energy 2017, 195, 222–233. [Google Scholar] [CrossRef]
- Sha, H.; Xu, P.; Hu, C.; Li, Z.; Chen, Y.; Chen, Z. A simplified HVAC energy prediction method based on degree-day. Sustain. Cities Soc. 2019, 51, 101698. [Google Scholar] [CrossRef]
- Pan, Y.; Zhang, L. Data-driven estimation of building energy consumption with multi-source heterogeneous data. Appl. Energy 2020, 268, 114965. [Google Scholar] [CrossRef]
- Kamel, E.; Sheikh, S.; Huang, X. Data-driven predictive models for residential building energy use based on the segregation of heating and cooling days. Energy 2020, 206, 118045. [Google Scholar] [CrossRef]
- Shao, X.; Pu, C.; Zhang, Y.; Kim, C.S. Domain Fusion CNN-LSTM for Short-Term Power Consumption Forecasting. IEEE Access 2020, 8, 188352–188362. [Google Scholar] [CrossRef]
- Cao, L.; Li, Y.; Zhang, J.; Jiang, Y.; Han, Y.; Wei, J. Electrical load prediction of healthcare buildings through single and ensemble learning. Energy Rep. 2020, 6, 2751–2767. [Google Scholar] [CrossRef]
- Liu, Y.; Chen, H.; Zhang, L.; Wu, X.; Wang, X.-J. Energy consumption prediction and diagnosis of public buildings based on support vector machine learning: A case study in China. J. Clean. Prod. 2020, 272, 122542. [Google Scholar] [CrossRef]
- Hwang, J.; Suh, D.; Otto, M.-O. Forecasting Electricity Consumption in Commercial Buildings Using a Machine Learning Approach. Energies 2020, 13, 5885. [Google Scholar] [CrossRef]
- Eseye, A.T.; Lehtonen, M. Short-Term Forecasting of Heat Demand of Buildings for Efficient and Optimal Energy Management Based on Integrated Machine Learning Models. IEEE Trans. Ind. Inform. 2020, 16, 7743–7755. [Google Scholar] [CrossRef]
- Fan, C.; Sun, Y.; Zhao, Y.; Song, M.; Wang, J. Deep learning-based feature engineering methods for improved building energy prediction. Appl. Energy 2019, 240, 35–45. [Google Scholar] [CrossRef]
- Balogun, H.; Alaka, H.; Egwim, C.N.; Ajayi, S. Systematic review of drivers influencing building deconstructability: Towards a construct-based conceptual framework. Waste Manag. Res. 2022, 734242X221124078. [Google Scholar] [CrossRef]
- Egwim, C.N.; Alaka, H.; Demir, E.; Balogun, H.; Ajayi, S. Systematic review of critical drivers for delay risk prediction: Towards a conceptual framework for BIM-based construction projects. Front. Eng. Built Environ. 2022, 3, 16–31. [Google Scholar] [CrossRef]
- Egwim, C.N.; Alaka, H.; Toriola-Coker, L.O.; Balogun, H.; Sunmola, F. Applied artificial intelligence for predicting construction projects delay. Mach. Learn. Appl. 2021, 6, 100166. [Google Scholar] [CrossRef]
- Robert, C. Machine Learning, a Probabilistic Perspective. CHANCE 2014, 27, 62–63. [Google Scholar] [CrossRef]
- Balogun, H.; Alaka, H.; Egwim, C.N. Boruta-grid-search least square support vector machine for NO2 pollution prediction using big data analytics and IoT emission sensors. Appl. Comput. Inform. 2021. ahead-of-print. [Google Scholar] [CrossRef]
- Somu, N.; MR, G.R.; Ramamritham, K. A hybrid model for building energy consumption forecasting using long short term memory networks. Appl. Energy 2020, 261, 114131. [Google Scholar] [CrossRef]
- Zhang, C.; Cao, L.; Romagnoli, A. On the feature engineering of building energy data mining. Sustain. Cities Soc. 2018, 39, 508–518. [Google Scholar] [CrossRef]
- Amasyali, K.; El-Gohary, N.M. A review of data-driven building energy consumption prediction studies. Renew. Sustain. Energy Rev. 2018, 81, 1192–1205. [Google Scholar] [CrossRef]
- Ren, J.; Zhou, X.; An, J.; Yan, D.; Shi, X.; Jin, X.; Zheng, S. Comparative analysis of window operating behavior in three different open-plan offices in Nanjing. Energy Built Environ. 2021, 2, 175–187. [Google Scholar] [CrossRef]
- Ihara, T.; Gustavsen, A.; Jelle, B.P. Effect of facade components on energy efficiency in office buildings. Appl. Energy 2015, 158, 422–432. [Google Scholar] [CrossRef]
- Huang, Y.; Niu, J.; Chung, T.-M. Study on performance of energy-efficient retrofitting measures on commercial building external walls in cooling-dominant cities. Appl. Energy 2013, 103, 97–108. [Google Scholar] [CrossRef]
- Zhang, L.; Jin, L.; Wang, Z.; Liu, X. Effects of wall configuration on building energy performance subject to different climatic zones of China. Appl. Energy 2017, 185, 1565–1573. [Google Scholar] [CrossRef]
- Kim, M.K.; Kim, Y.-S.; Srebric, J. Predictions of electricity consumption in a campus building using occupant rates and weather elements with sensitivity analysis: Artificial neural network vs. linear regression. Sustain. Cities Soc. 2020, 62, 102385. [Google Scholar] [CrossRef]
- Ahmad, M.W.; Mourshed, M.; Rezgui, Y. Trees vs Neurons: Comparison between random forest and ANN for high-resolution prediction of building energy consumption. Energy Build. 2017, 147, 77–89. [Google Scholar] [CrossRef]
- Kim, J.-H.; Seong, N.-C.; Choi, W. Forecasting the Energy Consumption of an Actual Air Handling Unit and Absorption Chiller Using ANN Models. Energies 2020, 13, 4361. [Google Scholar] [CrossRef]
- Almalaq, A.; Zhang, J.J. Evolutionary Deep Learning-Based Energy Consumption Prediction for Buildings. IEEE Access 2019, 7, 1520–1531. [Google Scholar] [CrossRef]
- Lee, E.; Rhee, W. Individualized Short-Term Electric Load Forecasting With Deep Neural Network Based Transfer Learning and Meta Learning. IEEE Access 2021, 9, 15413–15425. [Google Scholar] [CrossRef]
- Olu-Ajayi, R.; Alaka, H.; Sulaimon, I.; Sunmola, F.; Ajayi, S. Machine learning for energy performance prediction at the design stage of buildings. Energy Sustain. Dev. 2022, 66, 12–25. [Google Scholar] [CrossRef]
- Bouktif, S.; Fiaz, A.; Ouni, A.; Serhani, M.A. Multi-Sequence LSTM-RNN Deep Learning and Metaheuristics for Electric Load Forecasting. Energies 2020, 13, 391. [Google Scholar] [CrossRef]
- Olu-Ajayi, R.; Alaka, H.; Sulaimon, I.; Grishikashvili, K.; Sunmola, F.; Oseghale, R.; Ajayi, S. Ensemble learning for energy performance prediction of residential buildings. In Proceedings of the Environmental Design and Management Conference (EDMIC), Bristol, UK, 8 July 2021. [Google Scholar]
- Zhang, J.-P.; Li, Z.-W.; Yang, J. A parallel SVM training algorithm on large-scale classification problems. In 2005 International Conference on Machine Learning and Cybernetics; IEEE: Piscataway, NJ, USA, 2005; Volume 3. [Google Scholar] [CrossRef]
- Chung, K.C.; Tan, S.S.; Holdsworth, D.K. Insolvency Prediction Model Using Multivariate Discriminant Analysis and Artificial Neural Network for the Finance Industry in New Zealand; Social Science Research Network: Rochester, NY, USA, 2008. [Google Scholar]
- Jagait, R.K.; Fekri, M.N.; Grolinger, K.; Mir, S. Load Forecasting Under Concept Drift: Online Ensemble Learning With Recurrent Neural Network and ARIMA. IEEE Access 2021, 9, 98992–99008. [Google Scholar] [CrossRef]
- Auret, L.; Aldrich, C. Interpretation of nonlinear relationships between process variables by use of random forests. Miner. Eng. 2012, 35, 27–42. [Google Scholar] [CrossRef]
- Ghosh, S. SVM-PGSL coupled approach for statistical downscaling to predict rainfall from GCM output. J. Geophys. Res. Atmos. 2010, 115, 18–19. [Google Scholar] [CrossRef]
- Fan, C.; Xiao, F.; Wang, S. Development of prediction models for next-day building energy consumption and peak power demand using data mining techniques. Appl. Energy 2014, 127, 1–10. [Google Scholar] [CrossRef]
- Li, X.; Wen, J.; Bai, E.-W. Building energy forecasting using system identification based on system characteristics test. In Proceeding of the 2015 Workshop on Modeling and Simulation of Cyber-Physical Energy Systems (MSCPES), Seattle, WA, USA, 13 April 2015; pp. 1–6. [Google Scholar] [CrossRef]
- Liao, J.-M.; Chang, M.-J.; Chang, L.-M. Prediction of Air-Conditioning Energy Consumption in R&D Building Using Multiple Machine Learning Techniques. Energies 2020, 13, 1847. [Google Scholar] [CrossRef]
- Al-Rakhami, M.; Gumaei, A.; Alsanad, A.; Alamri, A.; Hassan, M.M. An Ensemble Learning Approach for Accurate Energy Load Prediction in Residential Buildings. IEEE Access 2019, 7, 48328–48338. [Google Scholar] [CrossRef]
- Borowski, M.; Zwolińska, K. Prediction of Cooling Energy Consumption in Hotel Building Using Machine Learning Techniques. Energies 2020, 13, 6226. [Google Scholar] [CrossRef]
- Silvestro, F.; Bagnasco, A.; Lanza, I.; Massucco, S.; Vinci, A. Energy efficient policy and real time energy monitoring in a large hospital facility: A case study. Int. J. Heat Technol. 2017, 35, S221–S227. [Google Scholar] [CrossRef]
- Wang, Z.; Srinivasan, R.S. A review of artificial intelligence based building energy use prediction: Contrasting the capabilities of single and ensemble prediction models. Renew. Sustain. Energy Rev. 2017, 75, 796–808. [Google Scholar] [CrossRef]
- Capuano, D.L. International Energy Outlook 2020. Energy Information Administration: Washington, DC, USA; IEO2020; 14 September 2020. p. 7. Available online: https://www.eia.gov/outlooks/ieo/pdf/ieo2020.pdf (accessed on 5 March 2023).







| References | Year | Tools Reviewed | Energy Type | Focus | Highlights |
|---|---|---|---|---|---|
| [32] | 2018 | ANN SVM Gaussian process Clustering | Algorithms comparison based on performance extensive review on ANN | Generally, it is difficult to conclude which data-driven tools are the best. From the academic literature, it was deduced that most models produced reasonable performance accuracy using large datasets. This paper conducted a comparative review of four data-driven tools, namely Support Vector Machine (SVM), Artificial Neural Network (ANN), clustering, and Gaussian-based regressions based on popularity in the field of building energy prediction. | |
| [33] | 2017 | Hybrid ANN SVM | Electricity | Algorithms Hybrid algorithms | This paper concluded that AI-based tools are suitable for prediction as they often produce better performance. It was also stated that in comparison to single method of prediction, the hybrid two-prediction methods could be employed for more accurate results. This paper conducted a comparative review of Hybrid ANN, SVM, and Stochastic time series tools, primarily centered on the performance of these tools for predicting electricity energy. |
| [34] | 2017 | ARIMA ARMA ANN SVM | Electricity | Algorithms comparison based on performance | This paper performed a comparative review of studies that employed time series tools, namely Autoregressive Integrated Moving Average (ARIMA), Autoregressive Moving Average (ARMA), and AI-based tools, namely ANN and SVM, for electricity energy prediction. It was stated that direct tool comparison across studies is pointless. |
| [35] | 2017 | ANN ARIMA SVM Fuzzy time series Nearest Neighbor (kNN)-Hybrid | Electricity | AlgorithmsHybrid algorithms Features | This paper delivers a comprehensive review of certain data-driven tools for energy use prediction. This study also presents an analysis of a “hybrid model”, which combines two or more prediction tools. It also examines tools applied with other time series variables, such as outdoor climate, as well as indoor environmental conditions. |
| [36] | 2019 | kNN SVM ANN DNN | Electricity Natural gas | Building typologies Data properties | This paper delivers a review of commonly used tools in the field of energy consumption prediction. This focused on data properties, building typologies, and assessment of accuracy. |
| [37] | 2020 | ARIMA ANN SVM LR | Types of Features Algorithms performance | This paper provided a review of building energy prediction tools with a focus on feature engineering, performance, and types of features. | |
| This study | 2022 | ARIMA ANN SVM LR RF | Electricity Natural Gas Overall building energy | Algorithms performance Types of Features Types of energy Temporal granularities | Although the existing review studies provided comprehensive reviews of data-driven tools for energy use prediction, the tools were reviewed with a focus on performance/accuracy, feature typologies, and specific types of energy. There is still a shortfall of comprehensive reviews that capture the strengths and performance of data-driven tools in various conditions, such as energy types (e.g., electricity, natural gas, etc.), feature types (e.g., building envelope, meteorological/weather, etc.) and temporal granularity. Comparatively, this paper conducts a comprehensive review of five data-driven tools, namely ARIMA, ANN, SVM, Linear Regression (LR), and Random Forest (RF), for energy use prediction with a focus on various conditions (i.e., energy types, feature types, and temporal granularity). This type of review is imperative for proffering the knowledge to promote more informed decision-making for the appropriate selection of data-driven tools, rather than the arbitrary selection of tools or selection based on popularity. |
| S/N | Author and Year | Data Driven Tools | Energy Types | Building Types | Time Granularity | ||||||||||
|---|---|---|---|---|---|---|---|---|---|---|---|---|---|---|---|
| ANN | SVM | RF | LR | ARIMA | Natural Gas | Total Electricity | Overall Building Energy | Residential | Commercial | Yearly | Monthly | Daily | Hourly | ||
| 1 | [14] | 0.99 | 0.97 | 0.98 | 1.30 | √ | √ | √ | |||||||
| 2 | [45] | 1.10 | √ | √ | √ | ||||||||||
| 3 | [46] | 0.75 | 0.79 | 0.80 | √ | √ | √ | √ | |||||||
| 4 | [47] | 0.18 | 0.10 | √ | √ | √ | |||||||||
| 5 | [48] | 0.34 | 0.71 | 1.36 | √ | √ | |||||||||
| 6 | [49] | 38.70 | X | X | |||||||||||
| 7 | [50] | 29.55 | 31.36 | 31.85 | 51.97 | √ | √ | X | |||||||
| 8 | [51] | 2.42 | √ | X | |||||||||||
| 9 | [15] | 1.46 | 1.57 | 1.05 | √ | √ | X | ||||||||
| 10 | [52] | 16.36 | 25.75 | √ | √ | X | |||||||||
| 11 | [53] | 29.16 | √ | X | |||||||||||
| 12 | [54] | 9.52 | √ | √ | |||||||||||
| 13 | [55] | 8.65 | 6.24 | √ | √ | X | |||||||||
| 14 | [56] | 5.82 | 6.11 | √ | √ | √ | |||||||||
| 15 | [16] | 0.06 | 0.07 | 0.06 | 0.09 | √ | √ | √ | |||||||
| 16 | [57] | 0.06 | 0.07 | 0.06 | 0.09 | √ | √ | √ | |||||||
| 17 | [58] | 74.26 | √ | √ | X | ||||||||||
| 18 | [59] | 17.00 | 24.11 | √ | √ | √ | |||||||||
| 19 | [60] | 0.67 | 0.80 | 0.68 | √ | √ | √ | ||||||||
| 20 | [17] | 0.28 | 0.25 | 0.29 | 0.29 | √ | √ | √ | √ | ||||||
| 21 | [29] | 24.85 | √ | √ | √ | ||||||||||
| 22 | [61] | 3.13 | 2.56 | √ | X | ||||||||||
| 23 | [62] | 2.78 | √ | √ | |||||||||||
| 24 | [63] | 0.64 | √ | √ | |||||||||||
| 25 | [64] | 0.76 | √ | X | |||||||||||
| 26 | [32] | 2.82 | 2.71 | 2.80 | √ | X | |||||||||
| 27 | [26] | 0.99 | 0.95 | √ | X | ||||||||||
| 28 | [65] | 22.67 | √ | X | |||||||||||
| 29 | [66] | 18.10 | 20.63 | √ | √ | ||||||||||
| 30 | [67] | 2.70 | 2.79 | √ | √ | √ | |||||||||
| 31 | [68] | 0.25 | 0.20 | √ | √ | ||||||||||
| 32 | [69] | 2.15 | 0.97 | √ | √ | ||||||||||
| 33 | [70] | 1.13 | √ | X | |||||||||||
| 34 | [71] | 0.37 | 0.35 | 0.41 | 0.42 | 0.39 | √ | √ | √ | √ | |||||
| 35 | [72] | 1.58 | √ | √ | X | ||||||||||
| 36 | [73] | 50.77 | 64.18 | √ | √ | ||||||||||
| 37 | [74] | 0.32 | √ | √ | |||||||||||
| 38 | [75] | 21.73 | √ | √ | √ | ||||||||||
| 39 | [76] | 1.69 | 26.02 | 1.09 | √ | √ | √ | ||||||||
| 40 | [77] | 0.08 | 0.10 | √ | √ | X | |||||||||
| 41 | [78] | 89.49 | 87.40 | √ | √ | X | |||||||||
| 42 | [79] | 0.96 | √ | √ | √ | ||||||||||
| 43 | [80] | 4.49 | √ | √ | |||||||||||
| 44 | [81] | 8.36 | 6.97 | 16.72 | √ | √ | √ | ||||||||
| 45 | [82] | 6.19 | √ | √ | √ | ||||||||||
| 46 | [83] | 0.02 | √ | √ | √ | √ | |||||||||
| 47 | [84] | 11.86 | √ | √ | √ | ||||||||||
| 48 | [85] | 0.69 | 0.99 | 0.73 | √ | √ | √ | ||||||||
| 49 | [86] | 7.84 | 7.00 | √ | √ | ||||||||||
| 50 | [87] | 16.70 | √ | √ | √ | ||||||||||
| 51 | [10] | 0.50 | 3.55 | √ | √ | √ | X | ||||||||
| 52 | [88] | 24.47 | 34.95 | 43.90 | √ | √ | √ | ||||||||
| 53 | [89] | 27.10 | 25.80 | 26.20 | √ | √ | |||||||||
| 54 | [90] | 7.50 | √ | √ | √ | ||||||||||
| 55 | [91] | 0.06 | √ | √ | |||||||||||
| 56 | [92] | √ | √ | √ | |||||||||||
| 57 | [93] | 13.68 | 12.57 | 17.65 | √ | √ | √ | ||||||||
| 58 | [94] | 0.05 | √ | √ | √ | ||||||||||
| 59 | [25] | 68.31 | 11.68 | 4.17 | √ | √ | √ | ||||||||
| 60 | [95] | 26.88 | 23.70 | 26.00 | √ | √ | √ | √ | |||||||
| 61 | [1] | 7.04 | 4.18 | √ | √ | √ | |||||||||
| 62 | [96] | 64.40 | 19.87 | √ | √ | √ | √ | ||||||||
| 63 | [97] | 23.22 | 21.82 | 30.78 | √ | √ | √ | ||||||||
Disclaimer/Publisher’s Note: The statements, opinions and data contained in all publications are solely those of the individual author(s) and contributor(s) and not of MDPI and/or the editor(s). MDPI and/or the editor(s) disclaim responsibility for any injury to people or property resulting from any ideas, methods, instructions or products referred to in the content. |
© 2023 by the authors. Licensee MDPI, Basel, Switzerland. This article is an open access article distributed under the terms and conditions of the Creative Commons Attribution (CC BY) license (https://creativecommons.org/licenses/by/4.0/).
Share and Cite
Olu-Ajayi, R.; Alaka, H.; Owolabi, H.; Akanbi, L.; Ganiyu, S. Data-Driven Tools for Building Energy Consumption Prediction: A Review. Energies 2023, 16, 2574. https://doi.org/10.3390/en16062574
Olu-Ajayi R, Alaka H, Owolabi H, Akanbi L, Ganiyu S. Data-Driven Tools for Building Energy Consumption Prediction: A Review. Energies. 2023; 16(6):2574. https://doi.org/10.3390/en16062574
Chicago/Turabian StyleOlu-Ajayi, Razak, Hafiz Alaka, Hakeem Owolabi, Lukman Akanbi, and Sikiru Ganiyu. 2023. "Data-Driven Tools for Building Energy Consumption Prediction: A Review" Energies 16, no. 6: 2574. https://doi.org/10.3390/en16062574
APA StyleOlu-Ajayi, R., Alaka, H., Owolabi, H., Akanbi, L., & Ganiyu, S. (2023). Data-Driven Tools for Building Energy Consumption Prediction: A Review. Energies, 16(6), 2574. https://doi.org/10.3390/en16062574

