Magnetization Changes Induced by Stress Noncoaxial with the Magnetic Field in a Low-Carbon Steel
Abstract
1. Introduction
2. Materials and Methods
- (1)
- The specimen was loaded to a predetermined stress level of 80 MPa and held. A tensile force was applied parallel to the longitudinal axis of the specimen using the material testing machine MTS.
- (2)
- Magnetic field values, controlled by the current supplied to the coils of the U-shaped electromagnet from the DC power supply, successively increasing from 0 A/m to a maximum of 6000 A/m were applied to the specimen. Notably, the air gap between the poles of the core and the sample should be as small as possible, to reduce the variation in reluctance.
- (3)
- During the magnetization process, the magnetic field and the normal component of surface magnetization of the plate specimen was measured online, by means of an array probe arranged on other side of the specimen and rotated around the poles of the U-shaped electro-magnet, as shown in Figure 4. The experimental setup is shown in Figure 5. Although the measured magnetization was not from inside of the specimen, it was proportional to the real magnetization value and could reflect the change of the real magnetization of the specimen [25].
- (4)
- The specimen was demagnetized after the surface magnetization measurement was conducted and removed from the testing machine. Then, the specimen was reinstalled onto the testing machine, and the poles of the electromagnet were rotated 22.5°. The testing procedure was repeated. As shown in Figure 6, the angles between the poles of the electromagnet and the stress axis θ were 0°, 22.5°, 45°, 67.5°, and 90°.
3. Results
4. Discussion
5. Conclusions
- (1)
- The angle θ between the stress and the external magnetic field appeared to be closely related to the distribution of the surface magnetization. When the specimen was magnetized at different angles θ under a constant stress, there was a difference in the direction between the magnetic induction B and the magnetic field H at different angles.
- (2)
- The magnitude of the magnetization curves varied with the magnetic field at different angles. The behavior at small angles showed an increase in magnetic induction B with the increase in magnetic field H, reaching a peak value of 2.62 mT at 45° and then a decreasing when the angle was increased from 67.5° to 90°.
- (3)
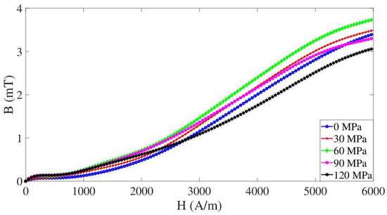
- The changes in magnetization curves proved to be sensitive to the level of stress. The slope of the magnetization curve showed an increase in the magnetic field under stress from 0 MPa to 60 MPa and then a decrease at higher tensions.
- (4)
- The derived maximum differential permeability and maximum magnetic induction, as a function of the angle between the stress and the magnetic field and as a function of the stress level, show the capability for measuring the direction and magnitude, respectively, of the stress in materials that are in service.
- (5)
- The results of the experimental data were compared with experimental results published by Kaminski and the numerical results from a model advanced by Sablik. In some cases the agreement is excellent. The results of Kaminski, seen in Figure 16, were similar to those seen in Figure 10 and Figure 13. The pattern presented by Sablik was inconsistent with the test result in Figure 14, mainly due to the Villiari effect not being incorporated into the model. In addition, phase structures using XRD and measurement errors for the specimen were also studied. The XRD pattern of the Q195 confirmed the existence of α-Fe and C phases in the specimen. The error bars show that the experimental data were stable, with little dispersion and high reliability.
Author Contributions
Funding
Data Availability Statement
Conflicts of Interest
References
- Jakubas, A.; Jabłoński, P. Measurement and evaluation of the defect size in soft magnetic composites using magnetic field inspections. Energies 2021, 14, 2694. [Google Scholar] [CrossRef]
- Huang, H.; Qian, Z.; Liu, Z. Stress induced MMM Signals. J. Magn. Magn. Mater. 2021, 161, 39–53. [Google Scholar]
- Zeng, S.; Li, H.; Zhao, C. Influence of tensile stress on magnetic flux leakage signal of ferromagnetic steel after overcoming initial magnetization disturbance. NDT E Int. 2023, 133, 102758. [Google Scholar] [CrossRef]
- Jiles, D.C.; Atherton, D.L. Theory of the magnetization process in ferromagnets and its application to the magnetomechanical effect. J. Appl. Phys. 1984, 17, 1265–1280. [Google Scholar]
- Sablik, M.J.; Rubin, S.W.; Riley, L.A.; Jiles, D.C.; Kaminski, D.A.; Biner, S.B. A model for hysteresis magnetic properties under the application of noncoaxial stress and field. J. Appl. Phys. 1993, 74, 480–488. [Google Scholar] [CrossRef]
- Kaminski, D.A.; Jiles, D.C.; Biner, S.B.; Sablik, M.J. Angular dependence of the magnetic properties of polycrystalline iron under the action of uniaxial stress. J. Magn. Magn. Mater. 1992, 104, 382–384. [Google Scholar] [CrossRef]
- Kaminski, D.A.; Jiles, D.C.; Biner, S.B.; Sablik, M.J. Angular dependence of the magnetic properties of steels under the action of uniaxial stress. Mater. Res. Soc. Symp. Proc. 1993, 291, 509–513. [Google Scholar] [CrossRef]
- Atherton, D.L.; Rao, T.S.; Schonbachler, M. Effect of applied stress on the reversible and irreversible differential permeabilities in 2%Mn pipeline steel. IEEE Trans. Magn. 1988, 4, 2033–2037. [Google Scholar] [CrossRef]
- Pengju, G.; Xuedong, C.; Weihe, G.; Huayun, C.; Heng, J. Effect of tensile stress on the variation of magnetic field of low-alloy steel. J Magn. Magn. Mater. 2011, 323, 2474–2477. [Google Scholar] [CrossRef]
- Bozorth, R.M.; Williams, H.J. Effect of small stresses on magnetic properties. Rev. Mod. Phys. 1945, 17, 72–80. [Google Scholar] [CrossRef]
- Novák, L.; Kováč, J. Influence of mechanical stress on magnetization processes in amorphous FINEMET alloy. J. Alloys Compd. 2022, 909, 164846–164850. [Google Scholar] [CrossRef]
- Hu, X.; Bu, Y.; Zhang, J. A nonlinear magneto-elastoplastic coupling model based on Jiles–Atherton theory of ferromagnetic materials. J. Appl. Phys. D Appl. Phys. 2022, 55, 165005. [Google Scholar] [CrossRef]
- Shi, P.; Jin, K.; Zheng, X. A general nonlinear magnetomechanical model for ferromagnetic materials under a constant weak magnetic field. J. Appl. Phys. 2016, 119, 145103. [Google Scholar] [CrossRef]
- Hu, X.; Fu, Z.; Wang, Z.; Zhang, J. Research on a theoretical model of magnetic nondestructive testing for ferromagnetic materials based on the magneto–mechanical coupling effect. J. Appl. Phys. D Appl. Phys. 2021, 54, 415002. [Google Scholar] [CrossRef]
- Li, J.; Liangyu, X.; Han, X. Influence of applied load in ferromagnetic material on magneto-mechanical phenomena. Insight Non-Destr. Test. Cond. Monit. 2016, 58, 308–312. [Google Scholar] [CrossRef]
- Kim, S.; Kim, K.; Choe, K.; JuHyok, U.; Rim, H. A nonlinear magneto-mechanical coupling model for magnetization and magnetostriction of ferromagnetic materials. AIP Adv. 2020, 10, 085304. [Google Scholar] [CrossRef]
- Wang, H.; Dong, L.; Wang, H.; Ma, G.; Xu, B.; Zhao, Y. Effect of tensile stress on metal magnetic memory signals during on-line measurement in ferromagnetic steel. NDT E Int. 2021, 117, 102378–102383. [Google Scholar] [CrossRef]
- Shi, P. Magneto-elastoplastic coupling model of ferromagnetic material with plastic deformation under applied stress and magnetic fields. J. Magn. Magn. Mater. 2020, 512, 166980. [Google Scholar] [CrossRef]
- Wang, S.L.; Zhang, B.; Xiong, E.G.; Zhu, X.Y. Magnetic stress sensitivity analysis for ferromagnetic material. In Advanced Materials Research; Trans Tech Publications Ltd.: Bäch, Switzerland, 2011; pp. 2098–2105. [Google Scholar]
- Jiles, D.C.; Li, L. A new approach to modeling the magnetomechanical effect. J. Appl. Phys. 2004, 95, 7058–7060. [Google Scholar] [CrossRef]
- Sablik, M.J.; Augustyniak, B.; Chmielewski, M. Modeling biaxial stress effects on magnetic hysteresis in steel with the field and stress axes noncoaxial. J. Appl. Phys. 1995, 85, 4391–4393. [Google Scholar] [CrossRef]
- Daniel, L.; Hubert, O. An equivalent stress for the influence of multiaxial stress on the magnetic behavior. J. Appl. Phys. 2009, 105, 07A313. [Google Scholar] [CrossRef]
- Langman, R.I. Magnetic properties of mild steel under conditions of biaxial stress. IEEE Trans. Magn. 1990, 26, 1246–1251. [Google Scholar] [CrossRef]
- Langman, R. A magnetic NDT method for measuring stress in steel. SPIE 1989, 1084, 19–25. [Google Scholar]
- Huang, D.; Zhang, Z.; Han, B. Investigation on the applicability of single-yoke magnetic testing under applied stress. J. Magn. Mater. Devices 2009, 40, 48. [Google Scholar]
- Jiles, D.C. Theory of the magnetomechanical effect. J. Phys. D Appl. Phys. 1995, 28, 1537–1546. [Google Scholar] [CrossRef]
- Dong, L.; Xu, B.; Dong, S.; Song, L.; Chen, Q.; Wang, D. Stress dependence of the spontaneous stray field signals of ferromagnetic steel. Ndt E Int. 2009, 42, 323–327. [Google Scholar]
- Dou, Y.; Li, Y.; Zhang, C.; Yue, S.; Zhu, J. Effects of uniaxial stress along different directions on alternating magnetic properties of silicon steel sheets. IEEE Trans. Magn. 2020, 56, 7512004. [Google Scholar] [CrossRef]
- Kai, Y.; Tsuchida, Y.; Todaka, T.; Enokizono, M. Influence of stress on vector magnetic property under rotating magnetic flux conditions. IEEE Trans. Magn. 2012, 48, 1421–1424. [Google Scholar] [CrossRef]
- Li, X.Y.; Han, Z.D. Effect of uniaxial stress on magnetic permeability and magnetic loss of low-carbon steel in weak alternating magnetic field. Appl. Mech. Mater 2014, 678, 220–227. [Google Scholar]
- Craik, D.J.; Wood, M.J. Magnetization changes induced by stress in a constant applied field. J. Phys. D Appl. Phys. 1970, 3, 1009–1016. [Google Scholar] [CrossRef]
















| Material | C | Mn | Si | S | P |
|---|---|---|---|---|---|
| Q195 | 0.06–0.12 | 0.25–0.50 | ≤0.30 | ≤0.05 | ≤0.045 |
| Material | Elastic Modulus, E (GPa) | Yield Strength, σs (MPa) | Ultimate Tensile Strength, σb (MPa) |
|---|---|---|---|
| Q195 | 0.06–0.12 | 195 | 315–430 |
Disclaimer/Publisher’s Note: The statements, opinions and data contained in all publications are solely those of the individual author(s) and contributor(s) and not of MDPI and/or the editor(s). MDPI and/or the editor(s) disclaim responsibility for any injury to people or property resulting from any ideas, methods, instructions or products referred to in the content. |
© 2023 by the authors. Licensee MDPI, Basel, Switzerland. This article is an open access article distributed under the terms and conditions of the Creative Commons Attribution (CC BY) license (https://creativecommons.org/licenses/by/4.0/).
Share and Cite
Yang, B.; Liu, Z.; Gao, Y.; Wang, R.; Feng, Y.; Liu, X. Magnetization Changes Induced by Stress Noncoaxial with the Magnetic Field in a Low-Carbon Steel. Energies 2023, 16, 1103. https://doi.org/10.3390/en16031103
Yang B, Liu Z, Gao Y, Wang R, Feng Y, Liu X. Magnetization Changes Induced by Stress Noncoaxial with the Magnetic Field in a Low-Carbon Steel. Energies. 2023; 16(3):1103. https://doi.org/10.3390/en16031103
Chicago/Turabian StyleYang, Bin, Zhifeng Liu, Yang Gao, Ruimin Wang, Yaru Feng, and Xinyue Liu. 2023. "Magnetization Changes Induced by Stress Noncoaxial with the Magnetic Field in a Low-Carbon Steel" Energies 16, no. 3: 1103. https://doi.org/10.3390/en16031103
APA StyleYang, B., Liu, Z., Gao, Y., Wang, R., Feng, Y., & Liu, X. (2023). Magnetization Changes Induced by Stress Noncoaxial with the Magnetic Field in a Low-Carbon Steel. Energies, 16(3), 1103. https://doi.org/10.3390/en16031103
