Next Article in Journal
Development of a Novel Control Scheme to Achieve the Minimum Unbalance Factor and Real Power Fluctuations under Asymmetrical Faults
Previous Article in Journal
Numerical Prediction on In-Cylinder Mixture Formation and Combustion Characteristics for SIDI Engine Fueled with Hydrogen: Effect of Injection Angle and Equivalence Ratio
 
 
Font Type:
Arial Georgia Verdana
Font Size:
Aa Aa Aa
Line Spacing:
Column Width:
Background:
Article

The Effect of Ecological Agents Added to Lubricating Oil on Selected Operating Parameters of an Internal Combustion Engine

Faculty of Marine Engineering, Gdynia Maritime University, Morska 81-87, 81-225 Gdynia, Poland
*
Author to whom correspondence should be addressed.
Energies 2023, 16(22), 7510; https://doi.org/10.3390/en16227510
Submission received: 2 October 2023 / Revised: 3 November 2023 / Accepted: 8 November 2023 / Published: 9 November 2023
(This article belongs to the Section H1: Petroleum Engineering)

Abstract

:
This article presents the influence of ecological measures, i.e., the addition of effective microorganisms and silver compounds to lubricating oil, on the operating parameters of an internal combustion engine. The basic diagnostic parameters of a reciprocating engine that determine its technical condition are described. In the Materials and Methods section, the research stand and materials are presented. The main section of the article presents a comparison of pure oil and oil with the addition of effective microorganisms and silver compounds. It was found that the addition of effective microorganisms and silver compounds to oil reduces the emission of toxic components into the atmosphere with exhaust gas, and the other engine operation parameters for each load value indicate that these additives do not cause deterioration in the technical condition of the tested engine. Of all the agents used, the addition of ceramic tubes gives the best results, as it is an additive that does not affect the properties of the oil in its composition. The advantage of ceramic tubes is the slow release of effective microorganisms, which has an impact on the oil’s performance, and thus on engine operation. Further research will examine how these additives affect the anti-seizure and anti-wear properties of the lubricating oil used, which should give a broader view of the impact of these additives on the technical condition of the piston engine in operation.

1. Introduction

Today, manufacturers can meet the requirements for oils and lubricants used in industry thanks to modern additives. Currently used base oils are only the main component, while additives that improve the lubricating properties of greases are chemical compounds involved in tribochemical reactions. They can be divided into anti-seize, anti-wear and friction modifiers [1,2,3]. Lubricating oils are being subjected to increasingly stringent requirements, as less oil is now used in machinery and equipment, but at higher pressures and higher thermal loads. Therefore, modern equipment requires only the highest-quality oils. One way to meet these requirements is to use nanoparticles, which are of great significance to control friction and wear [4,5,6,7].
Otherwise, oil additives improving the properties of lubricants have been used for a long time, and despite this, research is still being carried out to improve the new additives being used [8,9]. Despite the addition of a number of different enriching agents, the problem of preventing or slowing down the microbiological decomposition of petroleum products is still an ongoing one. This is because many species of bacteria or fungi have the ability to grow in petroleum products, which are a source of carbon and energy. Therefore, the vital activity of microorganisms breaks down hydrocarbons and oil additives and releases water, sulfur compounds and surfactants into fuels as well aslubricating oils [10,11]. The result is changes in the chemical composition of petroleum products and the values of certain physical parameters, such as the flash point, acid number and viscosity.
With the proper operation of an internal combustion piston engine, the deterioration of its technical condition is mainly caused by all kinds of mechanical and chemical contaminants, i.e., foreign solids and chemically active substances that cause corrosion.
Such contaminants are partly a natural residue of petrochemical processes, and they partly get into oils during distribution (transport, storage and transfer). The harmfulness of mechanical impurities in lubricants is mainly due to their hardness and compressive strength [12,13,14]. Microbial contamination is a serious problem in petroleum products, which include automotive, aviation and marine fuels; transformer and engine oils; as well as lubricants and oil emulsions. With the development of industry and the broader automotive industry, including aviation and ships, it has become apparent that the problem of microbial contamination is still relevant and becoming more widespread. Studies have shown that microbial life activity can lead to disruption and even damage to internal combustion engines [3,15].
Good-quality oil must be clear and transparent. Microbial growth can often contribute to clouding and darkening. The most obvious and easily recognizable consequence of microbial activity is the formation of sludge visible in the form of particulate matter, which are a mixture of living and dead cells and inorganic by-products [8,16].
In addition to environmentally friendly lubricating oil additives, there is parallel research into alternative fuels. One way is to use oxygenated alternative fuels in diesel engines. According to the authors [17], they are an effective way to solve the energy crisis and environmental pollution. Higher alcohols (butanol and pentanol), as oxygenated and renewable fuels, are considered promising new alternative fuels for diesel engines due to their good physicochemical properties and excellent combustion and emission characteristics in engines.
Dimethyl ether (DME, H3C-O-CH3) is another solution being researched to find alternative fuels that are expected to have a positive impact on the environment. It has a comparably high energy density and can be easily stored in vehicles. In addition, it can be produced on a variety of renewable paths, has a high cetane number and is therefore suitable for use in efficient and durable compression ignition engines [18].
Continuous research is being carried out to develop engines and fuels in such a way that very few harmful emissions can be generated and released into the environment without significant environmental impact. Accordingly, researchers are testing promising components for the production of environmentally friendly high-octane motor gasoline. Gasoline octane enhancers include bioethanol, prenol, furan blends, dimate and isooctene (diisobutylene) [19].
In addition, the effects of diesel/ethanol/n-butanol blends on combustion and emission parameters such as cylinder pressure, cylinder temperature, brake power, brake thermal efficiency, specific fuel consumption, NOx emissions, CO emissions and soot emissions were examined [20].
Other researchers [21] are conducting research to achieve the best performance, combustion and emissions of a marine engine fueled by hydrogen (5%, 10% and 15% energy fractions), water (2, 4 and 6% by weight) and a blend of rapeseed methyl esters (RMEs) through multi-objective optimization.
Current oil problems, rapidly rising oil costs and uncertainty about the availability of petroleum-based fuels threaten the renewable and sustainable challenge of the global economy. Both environmental considerations and the availability of fuels have a major impact on the directions of fuels for transportation vehicles. Therefore, the authors of [22] analyzed the prospects for biodiesel production from hydrotreated vegetable oil (HVO) and fatty acid methyl esters (FAMEs) and their applications. They explored the potential for supplying biodiesel feedstock, including sunflower oil, soybean oil, canola oil, tall oil and used cooking oil. The results indicate that rapeseed oil is the most promising feedstock for biodiesel production, as rapeseed retains a higher yield growth potential, and oil hydrotreating is the most preferred option.
One of the methods currently used to control microorganisms in petroleum products is the use of biocides, which are pesticides used to, among other things, control or reduce the growth of microorganisms in petroleum products. Unfortunately, most biocides also destroy beneficial organisms and cause adverse changes in the composition of microorganisms. Despite a number of benefits from the use of biocides, there are currently strong trends limiting their use. This is due to concerns about the harmful effects of these highly concentrated substances on the environment [23,24,25]. Therefore, one method of combating microorganisms, taking into account environmental aspects, is the use of effective microorganisms (EMs). EMs are used in horticulture, environmental protection, medicine, industry and many other fields with positive results.
The principle of EMs is based solely on natural processes; they are not genetically modified and are completely environmentally friendly. Effective microorganisms are most commonly used in water treatment, wastewater treatment and water reservoirs.
This technology is also used in garbage incinerators, which significantly reduces emissions of dangerous dioxins. In addition, another solution may be silver, which has long been used for protective and therapeutic purposes [26,27,28,29,30,31]. These additives were added in the form of non-ionic and ionic silver. Non-ionic silver, or colloidal silver, has a yellow color because silver particles dispersed in water block the light passing through it. Ionic silver is a solution of silver. Ionic silver is transparent, like water.
So far, the focus has been on chemical and physical tests of lubricating oil without and with these additives. Tests have been conducted on new and used oil. The most favorable results were obtained with effective microorganisms in the form of ceramic tubes, mainly due to the fact that in this case, the additive in this form does not contain water. In further studies, it is planned to test the oils for microbiology, which will allow a full evaluation of the possibility of replacing harmful biocides with these additives.
The purpose of this study was to determine the effect of ecological agents added to lubricating oil on selected performance parameters of an internal combustion engine. The idea was to check whether oils with ecological additives, as a result of improper lubrication, can have a negative impact on the operation and performance of a reciprocating engine. Further research is expected to answer the question of whether it will be possible to replace harmful biocides, such as ecologically effective microorganisms. Oil with these additives may have a beneficial effect on slowing microbial decomposition in lubricating oils used in internal combustion engines.

2. Materials and Methods

The Research Stand

The tests were conducted on the SE 680/1 Delfin engine. It is a low-compression, direct-injection diesel engine designed by WSK Mielec (Mielec, Poland) under license from British Leyland. This 6-cylinder in-line engine develops 147 kW of power at 1500 rpm. The engine is linked to a three-phase synchronous generator GCPf94c/1 (Elmor, Gdańsk, Poland), 60 kVA, connected to the main electrical board. The engine load can be continuously adjusted by changing the generator load (adjustable resistor). The engine uses injection equipment manufactured under license from Friedmann-Maier AG (Hallein, Austria), consisting of a piston injection pump and CAV injectors [32]. A general view of the engine is shown in Figure 1, while the main engine specifications are presented in Table 1.
MARINOL RG 1230 (LOTOS, Gdansk, Poland) was used in lubrication. It is a engine oil designed to lubricate marine engines operating on light fuel. This oil contains a properly selected set of detergent, antioxidant, anti-corrosion and anti-wear additives.
Marinol RG 1230 is a Trunk Piston Engine Oil that meets the requirements of API CF for marine oil [33]. Typical oil parameters are shown in Table 2.
Marinol RG 1230 oil ensures:
  • Proper lubrication of the cylinder system of engines;
  • Excellent engine cleanliness and corrosion protection;
  • Reducing the formation of deposits and carbon deposits that affect engine wear;
  • Minimization of the amount of low- and high-temperature deposits produced during engine operation;
  • Neutralization of acid fuel combustion products;
  • Reduction in the number of oil top-ups.
Figure 2 shows the flue gas analyzer used to measure the composition of the flue gas [34]. Basic technical data are presented in Table 3.
Selected parameters of the Testo 300 NEXT LEVEL (Titisee-Neustadt, Germany) flue gas analyzer are shown in Table 3.
Effective microorganisms in liquid form (250 mL) and ceramic tubes (500 g with a diameter of 9 mm and a height of 11 mm for 15 L of oil) were added to fresh oil, which was approx. 2% of the total amount in the engine. There were more ceramic tubes than liquid additives, because effective microorganisms are contained in these tubes, and the mechanisms for releasing microorganisms into the liquid are different. Effective microorganisms were used for the study in the commercial form shown in Figure 3.
Silver was added to fresh oil in the same amount as for effective microorganisms (250 mL 15 dm3 of oil). Nanosilver was used for the tests in the commercial form shown in Figure 4:

3. Results and Discussion

Before testing the internal combustion engine parameters and exhaust gas composition, each oil, starting with pure and then with each additive, was run in the engine under the same conditions. Each test lasted 100 h of engine operation not counting breaks, of which, 80 h were at idle and the remaining 20 h at 50% of the total load, which was 20 kW. After the oil was consumed over the assumed period, measurements were made of the engine operating parameters and exhaust gas composition. The obtained results were used to draw charts and then to evaluate the impact of environmental additives to lubricating oil on the technical condition of the studied engine. Each measurement of operating parameters and exhaust gas composition was performed three times. However, this article presents the average results for each case. They are presented in the form of tables and graphs.
In addition, in order to better illustrate the results obtained, the measured parameters and their values are summarized in Table 4. The results of this work were read using a control and measurement system working with the running engine (Figure 5) and a schematic of the test stand with the corresponding instrumentation.
The test stand does not reflect the conditions that occur during the operation of an internal combustion engine that is equipment for marine- and land-based transportation. There, the oil operates under a variety of conditions, the most difficult being those of urban and, in the case of marine vessels, maneuvering sailing conditions.
There is also no previous research on the topic discussed in the article, since the agents used in the oils under study are used, for example, in wastewater treatment (effective microorganisms) or the elimination of certain bacteria (silver ions). This may be a limitation, but this research was undertaken on the assumption that it is possible to reduce microbial growth in other liquids, such as water or wastewater, using effective microorganisms or silver ions. This assumes that such an effect can also occur in petroleum products.
Statistical analysis was performed for a significance level of 98%. The results obtained for the adopted significance level do not show significant errors, as they fall within the lower and upper confidence intervals.
Analyzing the results obtained, it can be seen in Figure 6 that the lubricating oil temperatures for both the 0 kW and 20 kW load for pure oil and oil with additives are very close to each other. A temperature of 77 °C was obtained for idling and pure lubricating oil, with the same temperature obtained after using effective microorganisms in liquid form and colloidal silver. A lower temperature of 76 °C was obtained for effective microorganisms in ceramic tube form and silver solution. Increasing the load to 20 kW increased the temperature of the lubricating oil and, as for idling, the temperatures for pure oil, effective liquid microorganisms and colloidal silver were similar at 80 °C. In contrast, effective microorganisms in ceramic form and silver solution reduced this temperature to 78 °C.
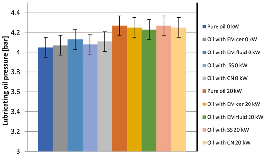
Figure 7 shows the lubricating oil pressure for idle, that is, 0 kW and a load of 20 kW. For pure oil and idling, a pressure value of 4.05 bar could be read; for oil with additives, slightly higher values were obtained. For effective microorganisms in ceramic form and silver solution, 4.07 bar was obtained, and for silver solution—4.08, and the highest value was obtained for liquid effective microorganisms of 4.13 bar.
As for temperature, increasing the load resulted in an increase in system pressure. The same pressure value was obtained for pure oil and silver solution, which was 4.27 bar. For effective microorganisms in the form of ceramic tubes and colloidal silver, 4.25 bar was obtained, while the lowest pressure reading was 4.23 bar. The values obtained are similar enough for this load to conclude that they show a significant effect on lubricating oil pressure, neither positive nor negative.
The temperature of oil rises when its parameters are inappropriate for the engine or when the engine is overloaded. In this case, there were no such effects. The oil pressure values also confirm that the oil additives did not adversely affect the engine’s operation, as the absence of excessive pressure increases means that the oil filter was working properly and the oil parameters were within normal limits.
Only the addition of effective microorganisms in liquid form, due to their composition (mainly water and molasses), slightly affected the resistance of the filter, which may have contributed to a slight increase in oil pressure.
This occurred at idle, which was no longer observed when the engine was loaded. It is likely that engine load made the oil filter work more efficiently and had less effect on oil pressure. Other additives did not show such effects.
The graph in Figure 8 for cooling water temperature also shows that additives, regardless of their type, have no negative effect on the engine’s cooling performance at idle (0 kW) and under load (20 kW).
Their presence in the oil did not cause overheating of the walls, as the effects were very similar to engine operation on oil without these additives.
The resulting temperature oscillated around the value of 76 °C. Each result did not differ by more than 2% compared to running the engine on pure oil. The largest increase occurred with the addition of effective microorganisms and colloidal nanosilver, but it was still not large enough to have a detrimental effect on the tested internal combustion engine.
Figure 9 shows, as with the previously presented parameters, that the additives did not adversely affect the engine’s condition. All the exhaust gas temperatures obtained were similar to each other, and the resulting differences were also within the previously accepted confidence interval.
The exhaust gas temperature was read for idling, with pure oil and silver solution at 325 °C. The use of effective microorganisms in liquid form and colloidal silver increased the exhaust gas temperature compared to pure oil to values of 332 and 330 °C, respectively. The lowest value was obtained for the effective microorganisms in the ceramic form, which was 318 °C. Of the additives used, in addition to the effective microorganisms in the ceramic form, they have water in their composition, which can somehow affect the performance of the lubricating oil. By doing so, it can affect the operating conditions of the internal combustion engine, which result in higher exhaust gas temperatures.
Because the other parameters were in the typical common confidence range, no negative effect on exhaust gas temperature, which is one of the carriers of diagnostic information of the internal combustion engine, was also noted.
As for instantaneous fuel consumption, this is shown in Figure 10. It is also clear from this graph that the engine was running properly. All the results obtained confirm that each additive had a small effect on fuel consumption, as each result did not exceed 2% compared to the reading obtained for pure oil. For idling, it oscillated around a value of 9.7 L/h, while for a 20 kW load, the value was 9.9 L/h.
In addition to the selected performance parameters presented above, the effect of oil additives on exhaust gas composition was additionally measured. Due to the fact that the engine dates back to the last century (the production of this series of engines began in 1966), exhaust gas composition can be an important source of information about the engine’s technical condition [40,41,42]. Figure 11, Figure 12, Figure 13 and Figure 14 show the most important components of the exhaust gas in terms of toxicity. The tests were carried out at a load of 20 kW, after 90 h of engine operation. Each measurement was taken three times and, as with the performance parameters, the average of these measurements is presented in the article.
The diagrams shown are only supplementary, as oil combustion should not occur in a fully operational engine. In this particular engine, this phenomenon most likely occurred, hence the different behavior of the exhaust components when mixed with the additives.
Figure 11 shows the NOx content in the exhaust gas. For pure oil, a NOx content of approx. 717 ppm was obtained, while for the effective microorganisms, both in liquid and ceramic form, the amount of NOx, stopped at approx. 715 ppm. After the silver solution was applied, the NOx content dropped to 702 ppm, and colloidal silver caused a further drop in NOx to 694 ppm.
Effective microorganisms have a negligible effect on NOx reduction, while silver solution and colloidal nanosilver significantly reduce the amount of NOx in the flue gas. This is particularly important and worthy of further research because NOx gases react with oxygen in the atmosphere and ground-level ozone (O3) to form corrosive nitric acid and toxic organic nitrates. The presence of these substances in the air causes serious human health problems and contributes to acid rain and the deterioration of water and air quality. In addition, these impaired environmental conditions negatively affect agriculture by killing plant tissues and reducing plant growth rates [42]. If these results are confirmed in tests after the addition of silver to the fuel, the chemical reactions that may take place between silver ions and nitrogen oxides should be examined in order to reduce the emission of nitrogen oxides into the atmosphere.
Unfortunately, for other exhaust gas components, i.e., O2, CO and CO2, the obtained results are more different compared to NOx.
Figure 12 shows the carbon monoxide (CO) content for pure oil and oil with additives. For pure oil, the CO content was 294 ppm, while the amount of carbon monoxide increased slightly to 295 ppm when effective microorganisms were used. Colloidal silver resulted in the highest CO value of almost 296 ppm. The most beneficial addition was the addition of silver solution, which resulted in a decrease in carbon monoxide to 293 ppm.
Figure 13 shows the carbon dioxide content for lubricating oil without additives and with microbial and silver additives. The dependence of the content of this compound is similar to that obtained for carbon monoxide. For pure lubricating oil and silver solution, the carbon dioxide content was 4.94%, and effective microorganisms increased the content of this compound, for the ceramic form to 5.01% and for the liquid form to 5.06%. The most unfavorable result was obtained after the use of colloidal silver, for which the carbon dioxide content was 5.1%.
These results also confirm that the additives used do not cause engine deterioration, excessive fuel consumption or significantly increase exhaust gas toxicity. Further research is planned to add these environmentally friendly agents to fuel and investigate their direct effects on exhaust gas composition and engine fuel consumption.
To complement the results obtained, the article also presents a comparison of the kinematic viscosity of new and used oil with and without additives in Figure 14 and Figure 15. These graphs show the effect of each additive on the kinematic viscosity of the engine oil samples. Each sample of pure oil and oil with additives was tested three times from 40 °C to 100 °C. To determine the kinematic viscosity, the dynamic viscosity was read first. In addition, the density curve of the new oil over the same range is also shown. This density allowed the kinematic density to be determined. Analyzing the obtained results, it can be observed in Figure 15 that the kinematic viscosity ofpure fresh oil was 77.42 mm2/s at 40 °C and 12.95 mm2/s at 100 °C.
The addition of effective microorganisms to oil in liquid and ceramic form followed a similar course, except that for the microorganisms in liquid form, the viscosity value washigher in the lower temperature range compared to the course with the addition of ceramic tubes.
The effective microorganisms caused a slight increase in kinematic viscosity in oil compared to oil without such an additive and wereequal for liquid effective microorganisms to 89.56 mm2/s at 40 °C and for ceramic tubes to 90.15 mm2/s at 40 °C. At 100 °C, we obtained, respectively: 15.75 mm2/s and 15.68 mm2/s.
As for the results obtained for colloidal nanosilver and silver solution, the courses werevery similar to each other, while the higher number of effective microorganisms resulted in an even higher value of kinematic viscosity than that obtained for pure new oil.
The value of the determined viscosity for the additive of colloidal nanosilver and silver solution at 40 °C was 92.65 mm2/s and 93.17 mm2/s, respectively, while for 100 °C—16.56 mm2/s and 15.43 mm2/s.
In addition, it can be seen from the graph that the kinematic viscosity closest to that of pure oil was obtained when ceramic micelles were added, so the behavior of the oil with ceramic tubes should be checked in further tests.
Figure 15 shows the variation inkinematic viscosity with temperature for the reworked and used oil samples, and also after the addition of microorganisms effective in liquid form, in the form of ceramic tubes and colloidal nanosilver and silver solution. To better visualize the results obtained, the density curve of the used oil was also shown. This density enabled the kinematic density to be determined. The viscosity curves are shown over a temperature range of 40–100 °C. The viscosity curve of the new oil has been added to better illustrate the results obtained. The kinematic viscosity value of the used oil without additives was 70.52 mm2/s at 40 °C and 6.75 mm2/s at 100 °C. The lowest viscosity value was obtained for the EM additive in liquid form, which means that this form of microorganisms does not have a beneficial effect on oil performance. For this additive, the kinematic viscosity was57.16 mm2/s at 40 °C and 6.58 mm2/s at 100 °C.
Similar values to those for used oil can be observed for ceramic tube oil and were 75.42 mm2/s at 40 °C and 6.43 mm2/s at 100 °C, respectively. The situation wasdifferent for the addition of colloidal nanosilver and silver solution. The values obtained for colloidal nanosilver were higher for both used oil and new oil without additives.
The following results were obtained for this addition: 85.08 mm2/s at 40 °C and 5.82 mm2/s at 100 °C. Meanwhile, for silver solution, the results were different and wereas follows: 63.92 mm2/s at 40 °C and 5.39 mm2/s at 100 °C. The results obtained for used oil confirm that the additives of effective microorganisms, colloidal nanosilver and silver solution affect the parameters of used oil. The best results were obtained for effective microorganisms in the form of ceramic tubes.
In order to confirm the obtained results, this article also presents selected other oil parameters, which are presented in Table 5 and Table 6. The tables compare the parameters of fresh and used oil without additives with oils in which effective microorganisms and silver compounds have been added. Also, analyzing the data from the tables, it can be concluded that ceramic effective microorganisms are the best additive for new oil. As for silver, they adversely affect the parameters of both new and used oil.
Further tests will also examine, among other things, the effect of additives on the elemental composition of the oil and whether there is rheological dilution under shear. These tests will verify whether molasses has a negative effect on engine oil performance.

4. Conclusions

This article presents a study of the effect of environmental agents added to lubricating oil on selected performance parameters of an internal combustion engine. In addition, some of the chemical compounds present in the composition of the exhaust gas are presented to supplement the results obtained.
Analyzing the results, it was found that the temperatures of pure and additive lubricating oil were very close to each other. A temperature of 77 °C was obtained for idle and pure lubricating oil, oil with the addition of effective microorganisms in liquid form and colloidal silver. A lower temperature of 76 °C was obtained for effective microorganisms in ceramic tube form and silver solution. Increasing the load to 20 kW raised the temperature of the lubricating oil and, as for idling, the temperatures for pure oil, effective microorganisms in liquid form and colloidal silver weresimilar at 80 °C. In contrast, effective microorganisms in ceramic form and silver solution lowered this temperature to 78 °C.
As for the lubricating oil pressure for idling, a pressure value of 4.05 bar could be read for clean oil and idling. Only the highest value was obtained for liquid effective microorganisms of 4.13 bar.
The oil pressure values also confirm that the oil additives do not adversely affect the engine’s operation, as the absence of excessive pressure increases means that the oil filter is working properly and the oil parameters are within normal limits.
Only the addition of effective microorganisms in liquid form, due to their composition (mainly water and molasses), slightly affected the resistance of the filter, which may have contributed to a slight increase in oil pressure. The other additives had no significant effect on oil pressure.
Regardless of the type of additives, it can be concluded that they did not have a negative effect on the cooling performance of the engine, both at idle and under load. Their presence in the oil did not cause overheating of the walls, as the results were very close to the operation of the engine with oil without these additives. The cooling water temperatures for each case were at a similar level, settling around values at 76 °C.
Additives also did not adversely affect the technical condition of the engine, as all obtained exhaust gas temperatures were similar, which are one of the carriers of diagnostic information of the internal combustion engine. These temperatures were close to each other, with idling temperatures oscillating around 325 °C and load temperatures around 500 °C.
As for instantaneous fuel consumption, the results confirm that the engine was running properly. Each of the additives had a slight effect on fuel consumption, as each result did not exceed 2% compared to the reading obtained for pure oil. For idling, it oscillated around a value of 9.7 L/h, while for a 20 kW load, the value was 9.9 L/h.
Effective microorganisms had a negligible effect on NOx reduction, while silver solution and colloidal nano silver significantly reduced the amount of NOx in the exhaust gas. This is particularly important and worthy of further research. For pure oil and effective microorganisms, both in liquid and ceramic form, NOx content was obtained, within the range of about 715 ppm. After the silver solution was applied, the NOx content dropped to 702 ppm; colloidal silver further reduced NOx to 694 ppm.
For pure oil, the CO content was 294 ppm, while the amount of CO increased slightly to 295 ppm after using effective microorganisms. Colloidal silver caused the highest CO value, which was almost 296 ppm. The most beneficial addition was the addition of silver solution, which caused the carbon monoxide content to drop to 293 ppm.
The carbon dioxide content relationship was similar to that obtained for carbon monoxide. For pure lubricating oil and silver solution, the carbon dioxide content was 4.94%; effective microorganisms caused an increase in the content of this compound, for the ceramic mold to the level of 5.01% and for the liquid mold to 5.06%. The most unfavorable result was obtained after using colloidal silver, for which the carbon dioxide content was 5.1%.
In conclusion, it can be said that the best additive is ceramic effective microorganisms for new oil. As for silver, itadversely affected the parameters of both new and used oil.
Based on the results, it can be concluded that the additives used, especially ceramic effective microbes, can be a good alternative to some of the current additives, which can contribute to environmental protection.
The results of the study are satisfactory and will continue, as they confirm that the additives used do not cause engine deterioration or excessive fuel consumption and do not significantly increase exhaust toxicity.
In the future, it is planned to add these environmentally friendly agents to fuel and study their direct effects on exhaust gas composition and engine fuel consumption. Further research will also include physical, chemical and microbiological tests of lubricating and diesel oils.
In addition to this, further studies will need to examine the effect of this additive on the combustion process in the engine and the wear of its components and confirm the results obtained under actual operating conditions.

Author Contributions

Conceptualization, R.K.; methodology, T.M.; software, T.M.; validation, R.K.; formal analysis, R.K.; investigation, R.K.; resources, R.K.; data curation, R.K.; writing—original draft preparation, R.K.; writing—review and editing, R.K.; visualization, R.K.; supervision, R.K. and T.M.; project administration, T.M. All authors have read and agreed to the published version of the manuscript.

Funding

This research received no external funding.

Data Availability Statement

Data are contained within the article.

Conflicts of Interest

The authors declare no conflict of interest.

Nomenclature

APIAmerican Petroleum Institute
ASTMAmerican Society for Testing and Materials
CAVCharles Anthony Vandervell
COCarbon monoxide
CO2Carbon dioxide
CNColloidal nanosilver
EMEffective microorganisms
ISOInternational Organization for Standardization
NOxMixture of nitrogen oxides
O2Oxygen
PN-ENPolish Standard introducing a European Standard
SSSilver solution

References

  1. Ali, M.K.; Ezzat, F.H.; El-Gawwad, K.; Salem, M.M.M. Effect of lubricant contaminants on tribological characteristics during boundary lubrication reciprocating sliding. Appl. Phys. 2017, 1710, 04448. [Google Scholar] [CrossRef]
  2. Ratiu, S.A.; Josan, A.; Alexa, V.; George, C.V. Impact of contaminants on engine oil: A review. J. Phys. Conf. Ser. 2021, 17819, 012051. [Google Scholar] [CrossRef]
  3. Advancedta. Available online: https://advancedta.com/blog/oil-contamination (accessed on 2 October 2023).
  4. Duan, L.; Jian, L.; Duan, H. Nanomaterials for lubricating oil application: A review. Friction 2023, 11, 647–684. [Google Scholar] [CrossRef]
  5. Huang, H.D.; Tu, J.P.; Gan, L.P.; Li, C.Z. An investigation on tribological properties of graphite nanosheets as oil additive. Wear 2006, 261, 140–144. [Google Scholar] [CrossRef]
  6. Jaekeun, L.; Sangwon, C.; Yujin, H. Enhancement of lubrication properties of nano-oil by controlling the amount of fullerene nanoparticle additives. Tribol. Lett. 2007, 28, 203–208. [Google Scholar] [CrossRef]
  7. Wu, Y.Y.; Tsui, W.C.; Liu, T.C. Experimental analysis of tribological properties of lubricating oils with nanoparticle additives. Wear 2007, 262, 819–825. [Google Scholar] [CrossRef]
  8. Gaylarde, C.C.; Bento, F.; Kelley, J. Microbial contamination of stored hydrocarbon fuels and its control. Rev. Microbiol. 1999, 30, 1–10. [Google Scholar] [CrossRef]
  9. Grabarecki, M. Enriching additives for greases and oils. Main. Mech. Lubr. Mech. 2015, 07/08, 26–29. Available online: https://glowny-mechanik.pl/2015/08/31/dodatki-uszlachetniajace-do-smarow-i-olejow/ (accessed on 2 October 2023). (In Polish).
  10. Nowak, P.; Kucharska, K.; Kamiński, M. The New Test procedure for group-type composition of base oils of lubricating oils, especially emitted into the environment. Energies 2020, 13, 3772. [Google Scholar] [CrossRef]
  11. Talib, N.; Rahim, A. The effect of tribology behavior on machining performances when using bio-based lubricant as a sustainable metalworking fluid. Procedia CIRP 2016, 40, 504–508. [Google Scholar] [CrossRef]
  12. Devlin, M.T. Common properties of lubricants that affect vehicle fuel efficiency: A North American historical perspective. Lubricants 2018, 6, 68. [Google Scholar] [CrossRef]
  13. Smith, T.; Kersey, V.L.; Bidwell, T. The effect of engine age, engine oil age and drain interval on vehicle tailpipe emissions and fuel efficiency. SAE Tech. Pap. 2001. [Google Scholar] [CrossRef]
  14. White, J.; Gilbert, J.; Hill, G.; Hill, E.; Huse, S.M.; Weightman, A.J. Culture-independent analysis of bacterial fuel contamination provides insight into the level of concordance with the standard industry practice of aerobic cultivation. Appl. Environ. Microbiol. 2011, 77, 4527–4538. [Google Scholar] [CrossRef]
  15. Das, N.; Chandran, P. Microbial degradation of petroleum hydrocarbon contaminants: An overview. Biotechnol. Res. Int. 2011, 2011, 941810. [Google Scholar] [CrossRef]
  16. Ossai, I.C.; Ahmed, A.; Hassan, A.; Hamid, F.S. Remediation of soil and water contaminated with petroleum hydrocarbon: A review. Environ. Technol. Innov. 2020, 17, 100526. [Google Scholar] [CrossRef]
  17. Zhang, Y.; Gao, S.; Zhang, Z.; Li, W.; Yuan, T.; Tan, D.; Duan, L.; Yang, G. A comprehensive review on combustion, performance and emission aspects of higher alcohols and its additive effect on the diesel engine. Fuel 2023, 335, 127011. [Google Scholar] [CrossRef]
  18. Soltic, P.; Hilfiker, T.; Wright, Y.; Hardy, G.; Fröhlich, B.; Klein, D. The potential of dimethyl ether (DME) to meet current and future emissions standards in heavy-duty compression-ignition engines. Fuel 2024, 355, 129357. [Google Scholar] [CrossRef]
  19. Abdellatief, T.M.M.; Ershov, M.A.; Kapustin, V.M.; Abdelkareem, M.A.; Kamil, M.; Olabi, A.G. Recent trends for introducing promising fuel components to enhance the anti-knock quality of gasoline: A systematic review. Fuel 2021, 291, 120112. [Google Scholar] [CrossRef]
  20. Zhang, Z.; Li, J.; Tian, J.; Dong, R.; Zou, Z.; Gao, S.; Tan, D. Performance, combustion and emission characteristics investigations on a diesel engine fueled with diesel/ethanol/n-butanol blends. Energy 2022, 249, 123733. [Google Scholar] [CrossRef]
  21. Tan, D.; Wu, Y.; Lv, J.; Li, J.; Ou, X.; Meng, Y.; Lan, G.; Chen, Y.; Zhang, Z. Performance optimization of a diesel engine fueled with hydrogen/biodiesel with water addition based on the response surface methodology. Energy 2023, 263, 125869. [Google Scholar] [CrossRef]
  22. Ershov, M.A.; Savelenko, V.D.; Makhova, U.A.; Makhmudova, A.E.; Zuikov, A.V.; Kapustin, V.M.; Abdellatief, T.M.M.; Burov, N.O.; Geng, T.; Abdelkareem, M.A.; et al. Current Challenge and Innovative Progress for Producing HVO and FAME Biodiesel Fuels and Their Applications. Waste Biomass 2023, 14, 505–521. [Google Scholar] [CrossRef]
  23. Denyer, S.P. Mechanisms of action of biocides. Int. Biodeterior. 1990, 26, 89–100. [Google Scholar] [CrossRef]
  24. Keasler, V.; De Paula, R.; Nilsen, G.; Grunwald, L.; Tidwell, T.J. Biocides overview and applications in petroleum microbiology. Trends in oil and gas corrosion research and technologies. Woodhead Publ. 2017, 539–562. [Google Scholar] [CrossRef]
  25. Lubrizol. Available online: https://360.lubrizol.com/2022/How-Biocides-Can-Help-Protect-Your-Bio-Diesel-Your-Equipment-and-Your-Operation (accessed on 2 October 2023).
  26. Higa, T. Effective microorganisms—Technology of the 21st century. In Proceedings of the Effective Microorganisms in the World, London, UK, 23 July 2005. [Google Scholar]
  27. Higa, T. A Revolution in Protecting Our Planet; Foundation for Development of the Warsaw University of Life Sciences: Warsaw, Poland, 2003. [Google Scholar]
  28. Kolasa-Więcek, A. Will effective microorganisms revolutionize the world? Adv. Food Process. Technol. 2010, 1, 66–69. Available online: http://yadda.icm.edu.pl/baztech/element/bwmeta1.element.baztech-article-BPL2-0021-0030 (accessed on 2 October 2023). (In Polish).
  29. Effective Microorganisms. Available online: https://www.emy.com.pl/mikroorganizmy-w-kazdym-domu (accessed on 2 October 2023). (In Polish).
  30. Effective Microorganisms. Available online: https://falaem.pl/efektywne-mikroorganizmy (accessed on 2 October 2023). (In Polish).
  31. Effective Microorganisms. Available online: https://www.yumpu.com/xx/document/view/37331661/efektywne-mikroorganizmy-jako-doskonaae-narzadzie-w-skutecznych (accessed on 2 October 2023). (In Polish).
  32. Leyland SW 680/1. Available online: https://www.railcar.co.uk/technology/engines/leyland-680 (accessed on 2 October 2023).
  33. Marinol. Available online: https://marinol.lotosoil.pl/upload/oil/import/17660_Marinol%20TPEO%20%2012_wyd5_PL.pdf (accessed on 2 October 2023).
  34. Testo Analyzer. Available online: https://coolmarket.pl/pl/p/Analizator-spalin-testo-300-Long-Life-z-sensorem-O2-i-CO-4.000-ppm-z-mozliwoscia-rozbudowy-o-cele-NO-i-drukarka-Bluetooth/3447 (accessed on 2 October 2023).
  35. Flue Gas Analyzer. Available online: https://coolmarket.pl/pl/p/Analizator-spalin-testo-300-Long-Life-z-sensorem-O2-i-CO-4.000-ppm (accessed on 2 October 2023).
  36. Ecoshop. Available online: https://www.ecoshop.com.pl/mikroorganizmy/3556-greenland-em-melasa-1l-5907738935220.html (accessed on 2 October 2023).
  37. Falaem. Available online: https://falaem.pl/rurki-ceramiczne-uzdatnianie (accessed on 2 October 2023).
  38. Srebro Koloidalne. Available online: https://www.amazon.com/Bioactive-Colloidal-Silver-Effectiveness-Servings/dp/B08645K6WH (accessed on 2 October 2023).
  39. Srebro Niejonowe. Available online: https://www.amazon.com/Ionic-Silver-250mL-20ppm-bottle/dp/B076HXLV4Z/ (accessed on 2 October 2023).
  40. Andrych-Zalewska, M. Research of pollutant emissions from automotive internal combustion engines in conditions corresponding to the actual use of vehicles. Combust. Engines 2023, 193, 64–70. [Google Scholar] [CrossRef]
  41. Bogdanowicz, A.; Kniaziewicz, T.; Zadrąg, R. The emission of harmful compounds from the marine diesel engine fueled by a blend of n-butanol and marine fuel. Combust. Engines 2021, 187, 90–95. [Google Scholar] [CrossRef]
  42. Mybacharach. Available online: https://www.mybacharach.com/pl/%C5%BAr%C3%B3d%C5%82a-emisji-nox/ (accessed on 2 October 2023).
Figure 1. A general view of the WSK Mielec SW 680/1.
Figure 1. A general view of the WSK Mielec SW 680/1.
Energies 16 07510 g001
Figure 2. Testo 300 NEXT LEVEL flue gas analyzer with O2 and CO sensor (4000 ppm) [35].
Figure 2. Testo 300 NEXT LEVEL flue gas analyzer with O2 and CO sensor (4000 ppm) [35].
Energies 16 07510 g002
Figure 3. The commercial presentation of effective microorganisms in liquid form and ceramic tubes [36,37].
Figure 3. The commercial presentation of effective microorganisms in liquid form and ceramic tubes [36,37].
Energies 16 07510 g003
Figure 4. The commercial presentation of colloidal nanosilver (non-ionic silver) and silver solution (ionic silver) [38,39].
Figure 4. The commercial presentation of colloidal nanosilver (non-ionic silver) and silver solution (ionic silver) [38,39].
Energies 16 07510 g004
Figure 5. Sample view of the control and measurement system cooperating with a running engine and schematic of the test stand with its corresponding instrumentation.
Figure 5. Sample view of the control and measurement system cooperating with a running engine and schematic of the test stand with its corresponding instrumentation.
Energies 16 07510 g005
Figure 6. Lubricating oil temperature of pure oil and oil with additives.
Figure 6. Lubricating oil temperature of pure oil and oil with additives.
Energies 16 07510 g006
Figure 7. Lubricating oil pressure of pure oil and oil with additives.
Figure 7. Lubricating oil pressure of pure oil and oil with additives.
Energies 16 07510 g007
Figure 8. Cooling water temperature of pure oil and oil with additives.
Figure 8. Cooling water temperature of pure oil and oil with additives.
Energies 16 07510 g008
Figure 9. Exhaust gas temperature of pure oil and oil with additives.
Figure 9. Exhaust gas temperature of pure oil and oil with additives.
Energies 16 07510 g009
Figure 10. Instantaneous fuel consumption of pure oil and oil with additives.
Figure 10. Instantaneous fuel consumption of pure oil and oil with additives.
Energies 16 07510 g010
Figure 11. NOx content in exhaust gases for pure oil and after adding effective microorganisms and silver.
Figure 11. NOx content in exhaust gases for pure oil and after adding effective microorganisms and silver.
Energies 16 07510 g011
Figure 12. CO content in exhaust gases for pure oil and after adding effective microorganisms and silver.
Figure 12. CO content in exhaust gases for pure oil and after adding effective microorganisms and silver.
Energies 16 07510 g012
Figure 13. CO2 content in exhaust gases for pure oil and after adding effective microorganisms and silver.
Figure 13. CO2 content in exhaust gases for pure oil and after adding effective microorganisms and silver.
Energies 16 07510 g013
Figure 14. Kinematic viscosity for oil samples with the addition of effective microorganisms (EM), colloidal nanosilver (CN) and silver solution (SS).
Figure 14. Kinematic viscosity for oil samples with the addition of effective microorganisms (EM), colloidal nanosilver (CN) and silver solution (SS).
Energies 16 07510 g014
Figure 15. Comparison of viscosity of used oil samples with the addition of effective microorganisms (EM), colloidal nanosilver (CN) and silver solution (SS).
Figure 15. Comparison of viscosity of used oil samples with the addition of effective microorganisms (EM), colloidal nanosilver (CN) and silver solution (SS).
Energies 16 07510 g015
Table 1. Engine technical data [32].
Table 1. Engine technical data [32].
ManufacturerWSK Mielec (Poland)/British Leyland
TypeSW 680/1 Delfin
Rated power (kW)147
Cylinder number6
Cylinder swept capacity (cm3)1850
Rational speed (rpm)1500
Compression ratio15.8
Table 2. Engine oil parameters [33].
Table 2. Engine oil parameters [33].
ParametersTest MethodsUnit1230
Kinematic viscosity at 100 °CASTM D 445mm2/s11.5
PourpointASTM D 5950°C−24
Flash-pointPN-EN ISO 2592°C240
Base number TBNPN-ISO 3771mg KOH/g12
Viscosity indexASTM D 2270 99
Table 3. Parameters of Testo 300 NEXT LEVEL flue gas analyzer [35].
Table 3. Parameters of Testo 300 NEXT LEVEL flue gas analyzer [35].
Measured ParametersMeasurement RangeMeasuring AccuracyResolution
O2 measurement0 to 21% vol.±0.2% vol.1 ppm
CO measurement0 to 4000 ppm±20 ppm (0 to 400 ppm)
±5% measured value (100 to 2000 ppm)
±10 measured value (2001 to 4000 ppm)
1 ppm
NO measurement0 to 3000 ppm±5 ppm (0 to 400)
±5% measured value (401 to 2000)
±10% measured value (2001 to 3000 ppm)
1 ppm
CO2 displayDisplay range±0.2% vol.0.1% vol.
Table 4. Measured parameters read from the control and measurement system.
Table 4. Measured parameters read from the control and measurement system.
Research MaterialPure OilOil with EM
Ceramics
Oil with EM FluidOil with Silver SolutionOil with
Colloidal Nanosilver
Load (kW)020020020020020
Parameters
Cooling water temperature (°C)75.87776.577.376.477.175.976.776.877.3
Oil temperature (°C)7778.57779.376.678.376.778.877.479.2
Exhaust gas temperature (°C)325506332505318499326511330510
Oil pressure (bar)4.054.274.134.234.074.254.084.274.114.25
Suction air pressure (kPa)1.351.391.381.411.341.381.341.411.361.42
Instantaneous fuel consumption (L/h)9.79.99.729.889.699.899.719.919.709.89
Table 5. Comparison of the parameters of pure new oil and with the additives.
Table 5. Comparison of the parameters of pure new oil and with the additives.
Flash Point (°C)Acid Number
(mgKOH/g)
Base Number
(mgKOH/g)
New oil212.42.5603.907
New oil with EM ceramic213.52.3663.894
New oil with EM fluid202.62.4973.442
New oil with colloidal nanosilver206.42.6683.604
New oil with silver solution201.92.6823.479
Table 6. Comparison of the parameters of used oil without additives and with additives.
Table 6. Comparison of the parameters of used oil without additives and with additives.
Flash Point (°C)Acid Number
(mgKOH/g)
Base Number
(mgKOH/g)
Used oil198.84.0271.358
Used oil with EM ceramic197.84.3731.250
Used oil with EM fluid202.45.0270.937
Used oil with colloidal nanosilver202.15.4110.937
Used oil with silver solution197.65.4991.099
Disclaimer/Publisher’s Note: The statements, opinions and data contained in all publications are solely those of the individual author(s) and contributor(s) and not of MDPI and/or the editor(s). MDPI and/or the editor(s) disclaim responsibility for any injury to people or property resulting from any ideas, methods, instructions or products referred to in the content.

Share and Cite

MDPI and ACS Style

Krakowski, R.; Marut, T. The Effect of Ecological Agents Added to Lubricating Oil on Selected Operating Parameters of an Internal Combustion Engine. Energies 2023, 16, 7510. https://doi.org/10.3390/en16227510

AMA Style

Krakowski R, Marut T. The Effect of Ecological Agents Added to Lubricating Oil on Selected Operating Parameters of an Internal Combustion Engine. Energies. 2023; 16(22):7510. https://doi.org/10.3390/en16227510

Chicago/Turabian Style

Krakowski, Rafał, and Tomasz Marut. 2023. "The Effect of Ecological Agents Added to Lubricating Oil on Selected Operating Parameters of an Internal Combustion Engine" Energies 16, no. 22: 7510. https://doi.org/10.3390/en16227510

APA Style

Krakowski, R., & Marut, T. (2023). The Effect of Ecological Agents Added to Lubricating Oil on Selected Operating Parameters of an Internal Combustion Engine. Energies, 16(22), 7510. https://doi.org/10.3390/en16227510

Note that from the first issue of 2016, this journal uses article numbers instead of page numbers. See further details here.

Article Metrics

Back to TopTop