Dielectric Breakdown Strength of PDMS Elastomers after Mechanical Cycling †
Abstract
:1. Introduction
2. Materials and Methods
3. Model
3.1. Hyperelastic Model
3.2. Electro-Mechanical Model
4. Results and Discussion
4.1. Mullins Effect
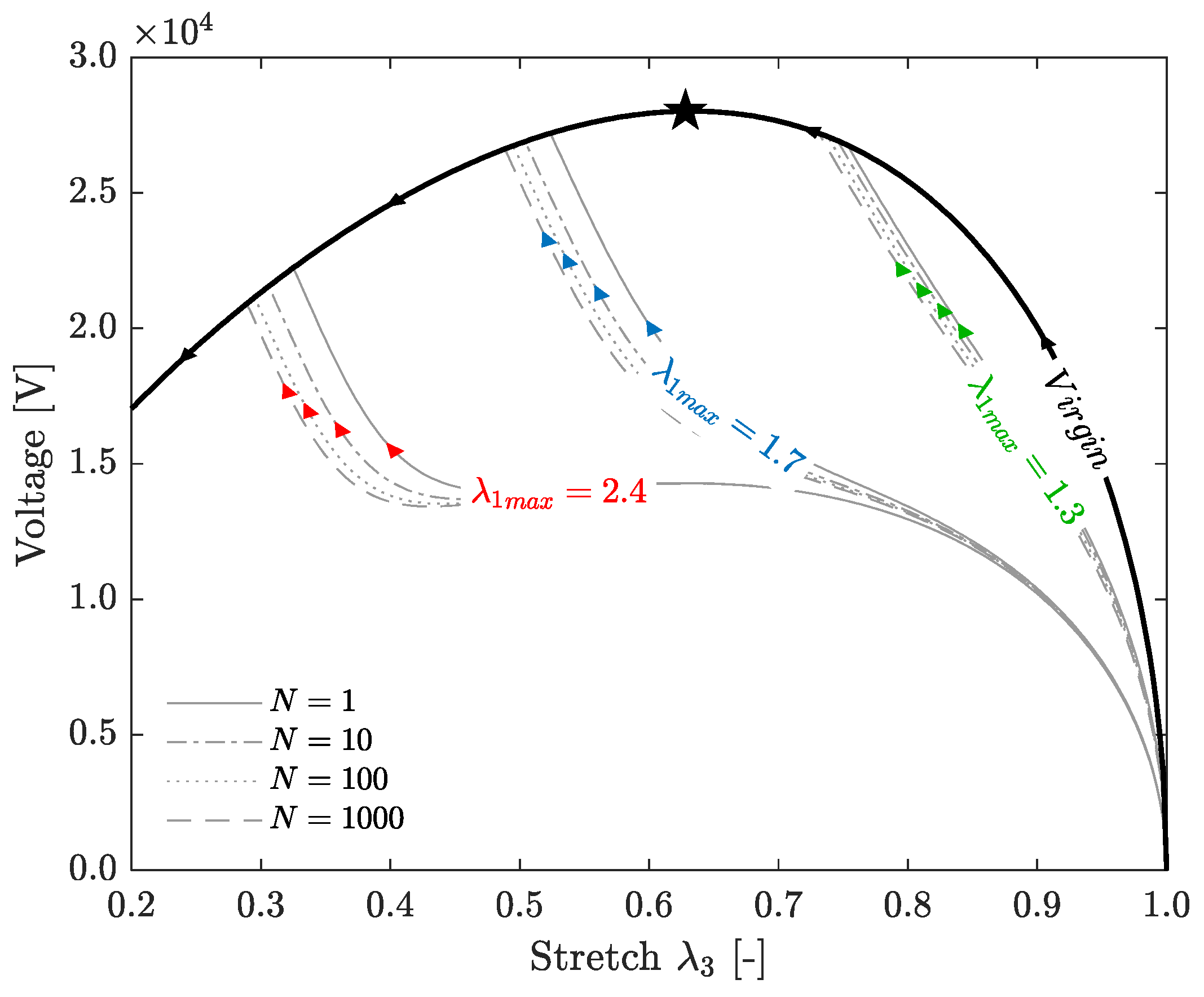
4.2. Mechanical Cycling
4.3. Energy Density
5. Conclusions
Author Contributions
Funding
Data Availability Statement
Conflicts of Interest
References
- Moretti, G.; Rosset, S.; Vertechy, R.; Anderson, I.; Fontana, M. A review of dielectric elastomer generator systems. Adv. Intell. Syst. 2020, 2, 2000125. [Google Scholar] [CrossRef]
- Kornbluh, R.D.; Eckerle, J.; McCoy, B. A Scalable Solution to Harvest Kinetic Energy; SPIE Newsroom: Bellingham, WA, USA, 2011. [Google Scholar]
- Jean, P.; Wattez, A.; Ardoise, G.; Melis, C.; Van Kessel, R.; Fourmon, A.; Barrabino, E.; Heemskerk, J.; Queau, J.P. Standing wave tube electro active polymer wave energy converter. In Proceedings of the Electroactive Polymer Actuators and Devices (EAPAD), San Diego, CA, USA, 12–15 March 2012; SPIE: Bellingham, WA, USA, 2012; pp. 75–95. [Google Scholar]
- Moretti, G.; Rosati, G.; Daniele, L.; Forehand, D.; Ingram, D.; Vertechy, R.; Fontana, M. Modelling and testing of a wave energy converter based on dielectric elastomer generators. Proc. R. Soc. A 2019, 475, 20180566. [Google Scholar] [CrossRef] [PubMed]
- Vudayagiri, S.; Zakaria, S.; Yu, L.; Hassouneh, S.; Benslimane, M.; Skov, A. High breakdown-strength composites from liquid silicone rubbers. Smart Mater. Struct. 2014, 23, 105017. [Google Scholar] [CrossRef]
- Kollosche, M.; Kofod, G. Electrical failure in blends of chemically identical, soft thermoplastic elastomers with different elastic stiffness. Appl. Phys. Lett. 2010, 96, 071904. [Google Scholar] [CrossRef]
- Taine, E.; Andritsch, T.; Saeedi, I.; Morshuis, P. Effect of mechanical loading history on the electrical breakdown strength of dielectric elastomers. In Proceedings of the 2022 IEEE 4th International Conference on Dielectrics (ICD), Palermo, Italy, 3–7 July 2022; IEEE: Piscataway, NJ, USA, 2022; pp. 21–24. [Google Scholar]
- Kofod, G.; Sommer-Larsen, P.; Kornbluh, R.D.; Pelrine, R. Actuation response of polyacrylate dielectric elastomers. J. Intell. Mater. Syst. Struct. 2003, 14, 787–793. [Google Scholar] [CrossRef]
- Iannarelli, A.; Niasar, M.G.; Ross, R. The effects of static pre-stretching on the short and long-term reliability of dielectric elastomer actuators. Smart Mater. Struct. 2019, 28, 125014. [Google Scholar] [CrossRef]
- Zakaria, S.; Morshuis, P.H.F.; Benslimane, M.Y.; Yu, L.; Skov, A.L. The electrical breakdown strength of pre-stretched elastomers, with and without sample volume conservation. Smart Mater. Struct. 2015, 24, 055009. [Google Scholar] [CrossRef]
- Gatti, D.; Haus, H.; Matysek, M.; Frohnapfel, B.; Tropea, C.; Schlaak, H.F. The dielectric breakdown limit of silicone dielectric elastomer actuators. Appl. Phys. Lett. 2014, 104, 052905. [Google Scholar] [CrossRef]
- Gerratt, A.P.; Bergbreiter, S. Dielectric breakdown of PDMS thin films. J. Micromech. Microeng. 2013, 23, 067001. [Google Scholar] [CrossRef]
- Förster-Zügel, F.; Grotepaß, T.; Schlaak, H. Characterization of the dielectric breakdown field strength of PDMS thin films: Thickness dependence and electrode shape. In Proceedings of the Electroactive Polymer Actuators and Devices (EAPAD), San Diego, CA, USA, 9–12 March 2015; SPIE: Bellingham, WA, USA, 2015; p. 94300D. [Google Scholar]
- Taine, E.; Andritsch, T.; Saeedi, I.A.; Morshuis, P.H.F. Size effect and electrical ageing of PDMS dielectric elastomer with competing failure modes. Smart Mater. Struct. 2023, 32, 105021. [Google Scholar] [CrossRef]
- Diani, J.; Fayolle, B.; Gilormini, P. A review on the Mullins effect. Eur. Polym. J. 2009, 45, 601–612. [Google Scholar] [CrossRef]
- Hanson, D.E.; Hawley, M.; Houlton, R.; Chitanvis, K.; Rae, P.; Bruce Orler, E.; Wrobleski, D.A. Stress softening in silica-filled polydimethylsiloxane provide insight into a mechanism for the Mullins effect. Polymer 2005, 46, 10989–10995. [Google Scholar] [CrossRef]
- Clément, F.; Bakobza, L.; Monnerie, L. On the Mullins effect of in silica-filled polydimethylsiloxane networks. Rubber Chem. Technol. 2001, 74, 847–870. [Google Scholar] [CrossRef]
- Georgousis, G.; Roumpos, K.; Kontou, E.; Kyritsis, A.; Pissis, P.; Koutsoumpis, S.; Mičušík, M.; Omastová, M. Strain and damage monitoring in SBR nanocomposites under cyclic loading. Compos. Part B Eng. 2017, 131, 50–61. [Google Scholar] [CrossRef]
- Cantournet, S.; Desmorat, R.; Besson, J. Mullins effect and cyclic stress softening of filled elastomers by internal sliding and friction thermodynamics model. Int. J. Solids Struct. 2009, 46, 2255–2264. [Google Scholar] [CrossRef]
- Koh, S.J.A.; Li, T.; Zhou, J.; Zhao, X.; Hong, W.; Zhu, J.; Suo, Z. Mechanisms of large actuation strain in dielectric elastomers. J. Polym. Sci. Part B Polym. Phys. 2011, 49, 504–515. [Google Scholar] [CrossRef]
- Garton, C.G.; Stark, K.H. Electric strength of irradiated polythene. Nature 1995, 176, 1225–1226. [Google Scholar]
- Zhao, X.; Suo, Z. Electromechanical instability in semicrystalline polymers. Appl. Phys. Lett. 2009, 95, 031904. [Google Scholar] [CrossRef]
- Akbari, S.; Rosset, S.; Shea, H.R. Improved electromechanical behavior in castable dielectric elastomer actuators. Appl. Phys. Lett. 2013, 102, 071906. [Google Scholar] [CrossRef]
- Zhang, M.; Denes, I.; Buchmeiser, M.R. Interplay between Mechanical Fatigue and Network Structure and Their Effects on Mechanical and Electrical Properties of Thin Silicone Films with Varying Stoichiometric Imbalance. Macromol. Chem. Phys. 2016, 217, 1558–1568. [Google Scholar] [CrossRef]
- Vertechy, R.; Chen, Y.; Agostini, L.; Moretti, G.; Fontana, M.; Berselli, G. Fatigue life performances of silicone elastomer membranes for dielectric elastomer transducers: Preliminary results. In Proceedings of the Electroactive polymer actuators and devices (EAPAD), Denver, CO, USA, 4–7 March 2019; p. 27. [Google Scholar]
- ASTM-D149-20; Standard Test Method for Dielectric Breakdown Voltage and Dielectric Strength of Solid Electrical Insulating Materials at Commercial Power Frequencies. ASTM: West Conshohocken, PA, USA, 2020.
- Carpi, F.; Anderson, I.; Bauer, S.; Frediani, G.; Gallone, G.; Gei, M.; Graaf, C.; Jean-Mistral, C.; Kaal, W.; Kofod, G.; et al. Standards for dielectric elastomer transducers. Smart Mater. Struct. 2015, 24, 105025. [Google Scholar] [CrossRef]
- Nelson, W.B. Accelerated Testing: Statistical Models, Test Plans, and Data Analysis; John Wiley & Sons: Hoboken, NJ, USA, 1990. [Google Scholar]
- Ogden, R.W.; Roxburgh, D.G. A pseudo-elastic model for the Mullins effect in filled rubber. Proc. R. Soc. Lond. 1999, 455, 2861–2877. [Google Scholar] [CrossRef]
- Hyouk Ryeol, C.; Kwangmok, J.; Nguyen Huu, C.; Minyoung, J.; Igmo, K.; Jachoon, K.; Joonho, L.; Jonghoon, L.; Jaedo, N.; Misuk, C.; et al. Effects of prestrain on behavior of dielectric elastomer actuator. In Proceedings of the Smart Structures and Materials 2005: Electroactive Polymer Actuators and Devices (EAPAD), San Diego, CA, USA, 7–10 March 2005; SPIE: Bellingham, WA, USA, 2005; pp. 283–291. [Google Scholar]
- Tröls, A.; Kogler, A.; Baumgartner, R.; Kaltseis, R.; Keplinger, C.; Schwödiauer, R.; Graz, I.; Bauer, S. Stretch dependence of the electrical breakdown strength and dielectric constant of dielectric elastomers. Smart Mater. Struct. 2013, 22, 104012. [Google Scholar] [CrossRef]
- Wang, Q.; Tahir, M.; Zang, J.; Zhao, X. Dynamic Electrostatic Lithography: Multiscale On-Demand Patterning on Large-Area Curved Surfaces. Adv. Mater. 2012, 24, 1947–1951. [Google Scholar] [CrossRef] [PubMed]
- Lu, T.; Huang, J.; Jordi, C.; Kovacs, G.; Huang, R.; Clarke, D.R.; Suo, Z. Dielectric elastomer actuators under equal-biaxial forces, uniaxial forces, and uniaxial constraint of stiff fibers. Soft Matter 2012, 8, 6167–6173. [Google Scholar] [CrossRef]
- Madsen, F.B.; Daugaard, A.E.; Hvilsted, S.; Skov, A.L. The Current State of Silicone-Based Dielectric Elastomer Transducers. Macromol. Rapid Commun. 2016, 37, 378–413. [Google Scholar] [CrossRef]












| Parameter | Symbol | 50 ShA | 70 ShA | Unit | 
|---|---|---|---|---|
| Ogden | µ | 1.01 × 106 | 2.58 × 106 | Pa | 
| 2.1 | 1.61 | – | ||
| Ogden–Roxburgh | 1.4 | 1.35 | – | |
| 7.0 × 105 | 3.4 × 105 | – | ||
| 0.2 | 0.26 | – | 
| Disclaimer/Publisher’s Note: The statements, opinions and data contained in all publications are solely those of the individual author(s) and contributor(s) and not of MDPI and/or the editor(s). MDPI and/or the editor(s) disclaim responsibility for any injury to people or property resulting from any ideas, methods, instructions or products referred to in the content. | 
© 2023 by the authors. Licensee MDPI, Basel, Switzerland. This article is an open access article distributed under the terms and conditions of the Creative Commons Attribution (CC BY) license (https://creativecommons.org/licenses/by/4.0/).
Share and Cite
Taine, E.; Andritsch, T.; Saeedi, I.A.; Morshuis, P.H.F. Dielectric Breakdown Strength of PDMS Elastomers after Mechanical Cycling. Energies 2023, 16, 7424. https://doi.org/10.3390/en16217424
Taine E, Andritsch T, Saeedi IA, Morshuis PHF. Dielectric Breakdown Strength of PDMS Elastomers after Mechanical Cycling. Energies. 2023; 16(21):7424. https://doi.org/10.3390/en16217424
Chicago/Turabian StyleTaine, Emmanuel, Thomas Andritsch, Istebreq A. Saeedi, and Peter H. F. Morshuis. 2023. "Dielectric Breakdown Strength of PDMS Elastomers after Mechanical Cycling" Energies 16, no. 21: 7424. https://doi.org/10.3390/en16217424
APA StyleTaine, E., Andritsch, T., Saeedi, I. A., & Morshuis, P. H. F. (2023). Dielectric Breakdown Strength of PDMS Elastomers after Mechanical Cycling. Energies, 16(21), 7424. https://doi.org/10.3390/en16217424
 
        


 
       