Smart Switching in Single-Phase Grid-Connected Photovoltaic Power Systems for Inrush Current Elimination
Abstract
:1. Introduction
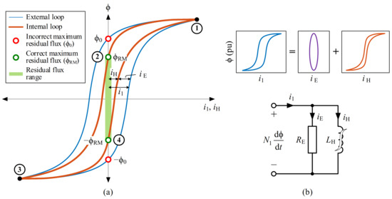
2. Analysis of Inrush Current and Residual Flux
2.1. Transformer Models for Residual Flux Prediction
- (1)
- An internal hysteresis loop (red line in Figure 4). This loop is caused by the core magnetization and the hysteresis losses and cannot be directly measured through the classical no-load test. It is commonly referred to as the static hysteresis loop since it is independent of frequency;
- (2)
- An external hysteresis loop (blue line in Figure 4). This loop is directly measurable, and it is composed of the internal hysteresis loop plus the eddy losses. It is referred to as the dynamic loop because of the eddy losses frequency dependence.
- Type I. Reluctance 𝕽 is hysteretic and capable of reproducing major and minor loops, both symmetric and asymmetric ones. JA and Preisach models, in their original static versions, are the best examples of this type. This type of model can accurately predict all the residual flux values inside the allowable range;
- Type II. Non-hysteretic reluctance 𝕽 is able to reproduce major loops when combined with 𝕷H. The set composed of 𝕷H and the magnetic switch provides the memory and storing features to this model. If the magnetic switch is closed due to a transformer de-energization event, the current through 𝕷H (representing the residual flux) will continue circulating indefinitely. The magnetic switch is closed when the following conditions are met simultaneously: current i1 is null and magnetic potential at 𝕷H is null. This model predicts the residual flux values inside the allowable range;
- Type III. Hysteretic reluctance 𝕽 can only reproduce a unique and rigid major loop [48]. Inevitably, this model can only lead to the maximum or minimum residual flux values;
- Type IV. Non-hysteretic reluctance, 𝕽, can reproduce major loops when combined with 𝕷H. This model always leads to a null residual flux value.
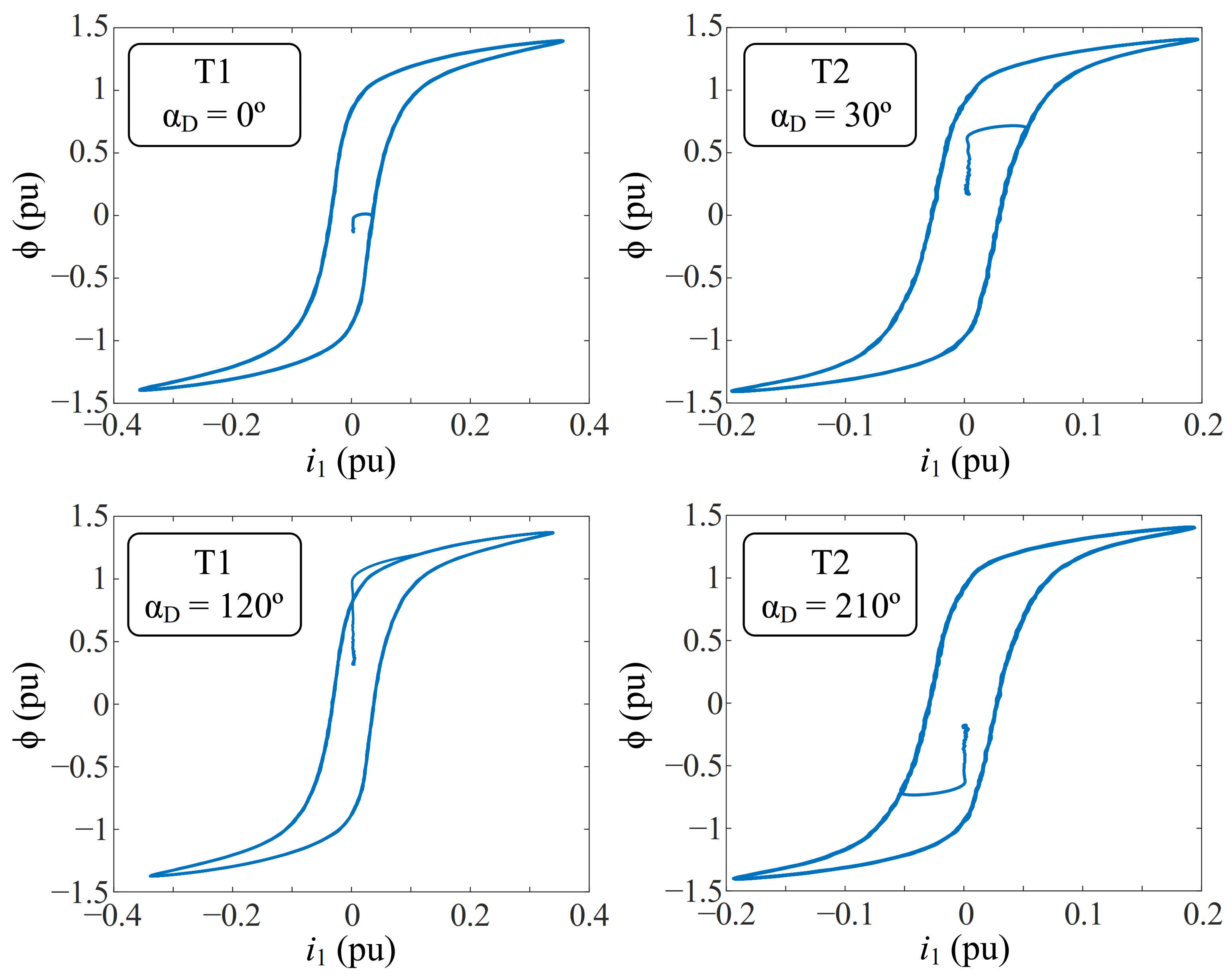
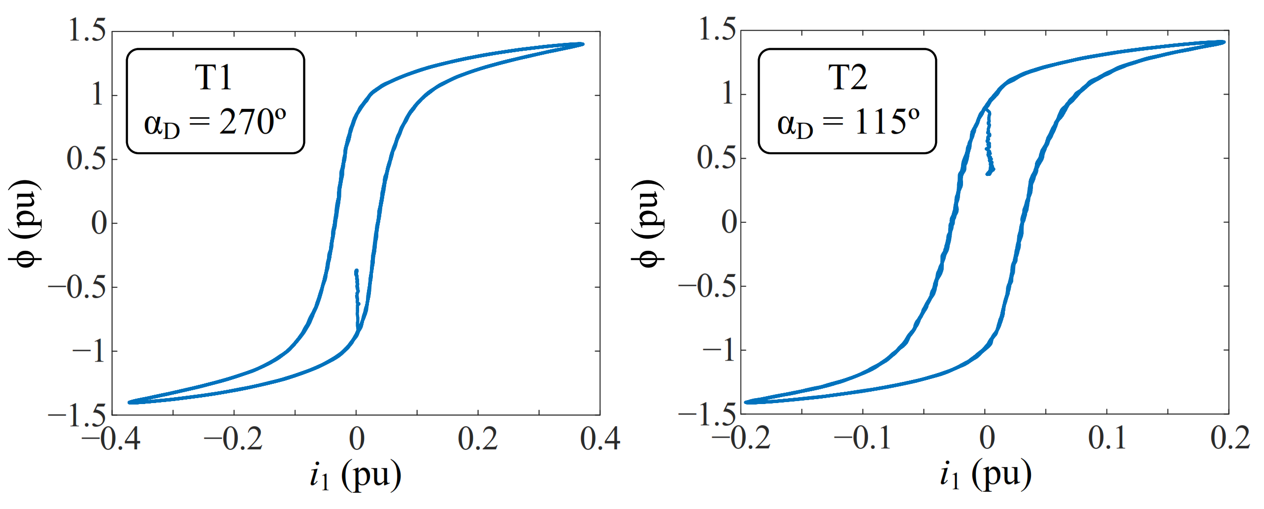
2.2. Residual Flux and De-Energization Trajectories
- (1)
- Transients that follow the major loop because the breaker aperture does not provoke a change in flux direction;
- (2)
- Transients that follow an asymmetric minor loop because the breaker aperture provokes an abrupt change in flux direction.
3. Inrush Current Elimination
3.1. Circuit Breakers
- SCR-based breaker: Semiconductor breaker composed of two antiparallel silicon-controlled rectifiers. Once the trip signal is sent, the current is not interrupted until its natural zero-crossing, and this happens regardless of the load nature (resistive or inductive). As a consequence, no electric arc is produced. This null chopping capability can be assimilated to that in oil breakers;
- Electro-mechanical contactor: Circuit breaker with chopping capability. If the load is inductive, an electric arc is produced and the interruption will not be instantaneous, but the current will be brought to zero before its natural current zero-crossing. This chopping capability can be assimilated to that in vacuum or SF6 breakers;
- IGBT-based breaker: Semiconductor breaker composed of two IGBTs (each one with an antiparallel diode) connected in series with a common emitter. It has high chopping capability, with a low clearance time at any instant, regardless of the nature of the load. No electric arc is produced. Its high chopping capability cannot be assimilated into any power system breaker.
3.2. Smart Switching for Inrush Current Elimination
4. Experimental Results and Discussion
- The residual flux values are bounded by the internal hysteresis loop, i.e., between −ϕRM and ϕRM. The maximum residual flux value, ϕRM, is not given by the red point in Figure 4, but by the green point, i.e., ϕ0 is not ϕRM. Note that ϕRM is incorrectly marked in many textbooks as the red point in Figure 4;
- The eddy losses do not influence the residual flux;
- The residual flux is independent of the interruption speed of the circuit breaker and solely depends on the starting point of de-energization;
- The proposed smart switching for de-energization and subsequent energization efficiently avoids the inrush currents through a more simplistic method than those in the literature;
- The smart switching only requires two pieces of data (obtained from only two simple no-load tests, which characterize the static hysteresis loop and the dynamic loop): ϕRM and ϕ0, or the corresponding voltage points-on-wave αRM and α0, along with understanding of the used breaker technology.
5. Conclusions
Author Contributions
Funding
Data Availability Statement
Acknowledgments
Conflicts of Interest
Appendix A. Transformer Core Models
Appendix A.1. Static Jiles–Atherton Model
Appendix A.2. Static Preisach Model

References
- Shahsavari, A.; Akbari, M. Potential of solar energy in developing countries for reducing energy-related emissions. Renew. Sustain. Energy Rev. 2018, 90, 275–291. [Google Scholar] [CrossRef]
- Mârza, C.; Moldovan, R.; Corsiuc, G.; Chisăliță, G. Improving the Energy Performance of a Household Using Solar Energy: A Case Study. Energies 2023, 16, 6423. [Google Scholar] [CrossRef]
- Benabdelkader, A.; Draou, A.; AlKassem, A.; Toumi, T.; Denai, M.; Abdelkhalek, O.; Ben Slimene, M. Enhanced Power Quality in Single-Phase Grid-Connected Photovoltaic Systems: An Experimental Study. Energies 2023, 16, 4240. [Google Scholar] [CrossRef]
- Steurer, M.; Frohlich, K. The impact of inrush currents on the mechanical stress of high voltage power transformer coils. IEEE Trans. Power Deliv. 2002, 17, 155–160. [Google Scholar] [CrossRef]
- Mo, C.; Ji, T.Y.; Zhang, L.L.; Wu, Q.H. Equivalent statistics based inrush identification method for differential protection of power transforme. Electr. Power Syst. Res. 2022, 203, 107664. [Google Scholar] [CrossRef]
- Sun, J.; Hu, K.; Fan, Y.; Liu, J.; Yan, S.; Zhang, Y. Modeling and Experimental Analysis of Overvoltage and Inrush Current Characteristics of the Electric Rail Traction Power Supply System. Energies 2022, 15, 9308. [Google Scholar] [CrossRef]
- Samet, H.; Shadaei, M.; Tajdinian, M. Statistical discrimination index founded on rate of change of phase angle for immunization of transformer differential protection against inrush current. Int. J. Electr. Power Energy Syst. 2022, 134, 107381. [Google Scholar] [CrossRef]
- Ruhan, Z.; Mansor, N.N.B.; Illias, H.A. Identification of Inrush Current Using a GSA-BP Network. Energies 2023, 16, 2340. [Google Scholar] [CrossRef]
- Rane, M.; Wagh, S. Stability enhancement of transformered PV system using inrush mitigation techniques. In Proceedings of the 2017 North American Power Symposium (NAPS), Morgantown, WV, USA, 17–19 September 2017. [Google Scholar]
- Xu, W.; Abdulsalam, S.G.; Cui, Y.; Liu, X. A sequential phase energization technique for transformer inrush current reduction—Part II: Theoretical analysis and design guide. IEEE Trans. Power Deliv. 2005, 20, 950–957. [Google Scholar] [CrossRef]
- Seo, H.C.; Kim, C.H.; Rhee, S.B.; Kim, J.C.; Hyun, O.B. Superconducting Fault Current Limiter Application for Reduction of the Transformer Inrush Current: A Decision Scheme of the Optimal Insertion Resistance. IEEE Trans. Appl. Supercond. 2010, 20, 2255–2264. [Google Scholar] [CrossRef]
- Madani, S.M.; Rostami, M.; Gharehpetian, G.B.; Maram, R.H. Improved bridge type inrush current limiter for primary grounded transformers. Electr. Power Syst. Res. 2013, 95, 1–8. [Google Scholar] [CrossRef]
- Tseng, H.T.; Chen, J.F. Bidirectional impedance-type transformer inrush current limiter. Electr. Power Syst. Res. 2013, 104, 193–206. [Google Scholar] [CrossRef]
- Ahmed, A.A.; Abdelsalam, H.A. Mitigation of transformer-energizing inrush current using grid-connected photovoltaic system. Int. J. Electr. Power Energy Syst. 2016, 79, 312–321. [Google Scholar] [CrossRef]
- Guo, Y.; Zheng, Z.; Xie, Q.; Zhao, J. Study of Resistive Type SFCL for Limiting Inrush Current of LCC-HVDC Converter Transformer. IEEE Trans. Appl. Supercond. 2021, 31, 1–4. [Google Scholar] [CrossRef]
- Wang, Y.; Yin, X.; Qiao, J.; Tan, L.; Xu, W. Inrush current suppression technology for floating nuclear power plants based on connecting Pre-T in series. Int. J. Electr. Power Energy Syst. 2022, 135, 107508. [Google Scholar] [CrossRef]
- Molcrette, V.; Kotny, J.L.; Swan, J.P.; Brudny, J.F. Reduction of inrush current in a single-phase transformer using virtual air-gap technique. IEEE Trans. Magn. 1998, 34, 1192–1194. [Google Scholar] [CrossRef]
- Cheng, C.K.; Chen, J.F.; Liang, T.J.; Chen, S.D. Transformer design with consideration of restrained inrush current. Int. J. Electr. Power Energy Syst. 2006, 28, 102–108. [Google Scholar] [CrossRef]
- Farazmand, A.; De León, F.; Zhang, K.; Jazebi, S. Analysis, Modeling, and Simulation of the Phase-Hop Condition in Transformers: The Largest Inrush Currents. IEEE Trans. Power Deliv. 2014, 29, 1918–1926. [Google Scholar] [CrossRef]
- Islam, M.M.; Muttaqi, K.M.; Sutanto, D. A Saturated Amorphous Alloy Core-Based Inrush Current Limiter to Eliminate Inrush Currents and Restrain Harmonics during Transformer Energization. IEEE Trans. Ind. Appl. 2021, 57, 6634–6645. [Google Scholar] [CrossRef]
- Dogan, R.; Jazebi, S.; De León, F. Investigation of Transformer-Based Solutions for the Reduction of Inrush and Phase-Hop Currents. IEEE Trans. Power Electron. 2016, 31, 3506–3516. [Google Scholar] [CrossRef]
- Kovan, B.; De Leon, F.; Czarkowski, D.; Zabar, Z.; Birenbaum, L. Mitigation of Inrush Currents in Network Transformers by Reducing the Residual Flux with an Ultra-Low-Frequency Power Source. IEEE Trans. Power Deliv. 2011, 26, 1563–1570. [Google Scholar] [CrossRef]
- De León, F.; Farazmand, A.; Jazebi, S.; Deswal, D.; Levi, R. Elimination of Residual Flux in Transformers by the Application of an Alternating Polarity DC Voltage Source. IEEE Trans. Power Deliv. 2015, 30, 1727–1734. [Google Scholar] [CrossRef]
- Sanati, S.; Alinejad-Beromi, Y. Fast and Complete Mitigation of Residual Flux in Current Transformers Suitable for Auto-Reclosing Schemes Using Jiles-Atherton Modeling. IEEE Trans. Power Deliv. 2022, 37, 765–774. [Google Scholar] [CrossRef]
- Hajipour, E.; Salehizadeh, M.; Vakilian, M.; Sanaye-Pasand, M. Residual Flux Mitigation of Protective Current Transformers Used in an Autoreclosing Scheme. IEEE Trans. Power Deliv. 2016, 31, 1636–1644. [Google Scholar] [CrossRef]
- Zhang, S.; Yao, C.; Zhao, X.; Li, J.; Liu, X.; Yu, L.; Ma, J.; Dong, S. Improved Flux-Controlled VFCV Strategy for Eliminating and Measuring the Residual Flux of Three-Phase Transformers. IEEE Trans. Power Deliv. 2020, 35, 1237–1248. [Google Scholar] [CrossRef]
- Prikler, L.; Banfai, G.; Ban, G.; Becker, P. Reducing the magnetizing inrush current by means of controlled energization and de-energization of large power transformers. Electr. Power Syst. Res. 2006, 76, 642–649. [Google Scholar] [CrossRef]
- Chiesa, N.; Høidalen, H.K. Novel Approach for Reducing Transformer Inrush Currents: Laboratory Measurements, Analytical Interpretation and Simulation Studies. IEEE Trans. Power Deliv. 2010, 25, 2609–2616. [Google Scholar] [CrossRef]
- Parikh, U.; Bhalja, B.R. Mitigation of magnetic inrush current during controlled energization of coupled un-loaded power transformers in presence of residual flux without load side voltage measurements. Int. J. Electr. Power Energy Syst. 2016, 76, 156–164. [Google Scholar] [CrossRef]
- Cano-González, R.; Bachiller-Soler, A.; Rosendo-Macías, J.A.; Álvarez-Cordero, G. Controlled switching strategies for transformer inrush current reduction: A comparative study. Electr. Power Syst. Res. 2017, 145, 12–18. [Google Scholar] [CrossRef]
- Bejmert, D.; Kereit, M.; Boehme, K. Controlled energization procedures of power transformers. Int. J. Electr. Power Energy Syst. 2022, 135, 107555. [Google Scholar] [CrossRef]
- Cavallera, D.; Oiring, V.; Coulomb, J.; Chadebec, O.; Caillault, B.; Zgainski, F. A New Method to Evaluate Residual Flux Thanks to Leakage Flux, Application to a Transformer. IEEE Trans. Magn. 2014, 50, 1005–1008. [Google Scholar] [CrossRef]
- Wei, C.; Li, X.; Yang, M.; Ma, Z.; Hou, H. Novel Remanence Determination for Power Transformers Based on Magnetizing Inductance Measurements. Energies 2019, 12, 4616. [Google Scholar] [CrossRef]
- Huo, C.; Wu, S.; Yang, Y.; Liu, C.; Wang, Y. Residual Flux Density Measurement Method of Single-Phase Transformer Core Based on Time Constant. IEEE Access 2020, 8, 171479–171488. [Google Scholar] [CrossRef]
- Huo, C.; Wang, Y.; Zhao, Z.; Liu, C. Residual Flux Measurement of the Single-Phase Transformer Based on Transient Current Method. IEEE Trans. Appl. Supercond. 2020, 30, 1–5. [Google Scholar] [CrossRef]
- Wu, S.; Ren, Y.; Wang, Y.; Huo, C.; Liu, C. Residual Flux Measurement of Power Transformer Based on Transient Current Difference. IEEE Trans. Magn. 2022, 58, 1–5. [Google Scholar] [CrossRef]
- Huo, C.; Wang, Y.; Wu, S.; Yang, Y.; Zhao, Z. Residual Flux Density Measurement Method for Transformer Core Considering Relative Differential Permeability. IEEE Trans. Magn. 2021, 57, 1–4. [Google Scholar] [CrossRef]
- Zhang, H.; Long, J.; Li, X.; Xu, Y.; Shi, J.; Ren, L.; Yang, W.; Wang, Z.; Chen, M. A New Method to Measure the Residual Flux by Magnetic Sensors and a Finite Element Model. IEEE Trans. Instrum. Meas. 2023, 72, 1–10. [Google Scholar] [CrossRef]
- Vulin, D.; Milicevic, K.; Biondic, I.; Petrovic, G. Determining the Residual Magnetic Flux Value of a Single-Phase Transformer Using a Minor Hysteresis Loop. IEEE Trans. Power Deliv. 2021, 36, 2066–2074. [Google Scholar] [CrossRef]
- Taylor, D.I.; Law, J.D.; Johnson, B.K.; Fischer, N. Single-Phase Transformer Inrush Current Reduction Using Prefluxing. IEEE Trans. Power Deliv. 2012, 27, 245–252. [Google Scholar] [CrossRef]
- Zirka, S.E.; Moroz, Y.I.; Chiesa, N.; Harrison, R.G.; Høidalen, H.K. Implementation of Inverse Hysteresis Model Into EMTP—Part II: Dynamic Model. IEEE Trans. Power Deliv. 2015, 30, 2233–2241. [Google Scholar] [CrossRef]
- Sima, W.; Peng, D.; Yang, M.; Liu, Y.; Duan, P.; Deng, J.; Qian, H. Low-frequency model for single-phase transformers based on the three-component Preisach model considering deep saturation. Int. J. Electr. Power Energy Syst. 2019, 110, 107–117. [Google Scholar] [CrossRef]
- Zirka, S.E.; Moroz, Y.I.; Marketos, P.; Moses, A.J.; Jiles, D.C.; Matsuo, T. Generalization of the classical method for calculating dynamic hysteresis loops in grain-oriented electrical steels. IEEE Trans. Magn. 2008, 44, 2113–2126. [Google Scholar] [CrossRef]
- Zirka, S.E.; Moroz, Y.I.; Harrison, R.G.; Chwastek, K. On physical aspects of the Jiles-Atherton hysteresis models. J. Appl. Phys. 2012, 112, 043916. [Google Scholar] [CrossRef]
- Wang, Y.; Liu, Z. Estimation Model of Core Loss Under DC Bias. IEEE Trans. Appl. Supercond. 2016, 26, 1–5. [Google Scholar] [CrossRef]
- Chiesa, N.; Avendaño, A.; Høidalen, H.K.; Mork, B.A.; Ishchenko, D.; Kunze, A.P. On the ringdown transient of transformers. In Proceedings of the International Conference on Power Systems Transients (IPST’07), Lyon, France, 4–7 June 2007. [Google Scholar]
- Laithwaite, E.R. Magnetic equivalent circuits for electrical machines. Proc. IET 1967, 114, 1805–1809. [Google Scholar]
- Justus, O. Dynamisches Verhalten Elektrischer Maschinen: Eine Einführung in Die Numerische Modellierung mit PSPICE; Vieweg: Wiesbaden, Germany, 1991; pp. 10–30. [Google Scholar]
- Zirka, S.E.; Moroz, Y.I.; Arturi, C.M.; Chiesa, N.; Hoidalen, H.K. Topology-Correct Reversible Transformer Model. IEEE Trans. Power Deliv. 2012, 27, 2037–2045. [Google Scholar] [CrossRef]
- Abdulsalam, S.G.; Xu, W.; Neves, W.L.A.; Liu, X. Estimation of transformer saturation characteristics from inrush current waveforms. IEEE Trans. Power Deliv. 2006, 21, 170–177. [Google Scholar] [CrossRef]
- Bernard, Y.; Mendes, E.; Ren, Z. Determination of the distribution function of Preisach’s model using centred cycles. Compel Int. J. Comput. Math. Electr. 2000, 19, 997–1006. [Google Scholar] [CrossRef]
- Sima, W.; Zou, M.; Yang, M.; Peng, D.; Liu, Y. Saturable reactor hysteresis model based on Jiles–Atherton formulation for ferroresonance studies. Int. J. Electr. Power Energy Syst. 2018, 101, 482–490. [Google Scholar] [CrossRef]
- Jiles, D.C. Frequency dependence of hysteresis curves in conducting magnetic materials. J. Appl. Phys. 1994, 76, 5849–5855. [Google Scholar] [CrossRef]
- Mikhak-Beyranvand, M.; Faiz, J.; Rezaei-Zare, A.; Rezaeealam, B. Electromagnetic and thermal behavior of a single-phase transformer during Ferroresonance considering hysteresis model of core. Int. J. Electr. Power Energy Syst. 2020, 121, 106078. [Google Scholar] [CrossRef]
- Podbereznaya, I.; Pavlenko, A. Accounting for dynamic losses in the Jiles-Atherton model of magnetic hysteresis. J. Magn. Magn. Mater. 2020, 513, 167070. [Google Scholar] [CrossRef]
- Mayergoyz, I.D.; Friedman, G. Generalized Preisach model of hysteresis. IEEE Trans. Magn. 1988, 24, 212–217. [Google Scholar] [CrossRef]
- Preisach, F. Über die magnetischeNachwirkung. Z. Phys. 1935, 94, 277–302. [Google Scholar] [CrossRef]
- Lu, M.; Leonard, P.J.; Marketos, P.; Meydan, T.; Moses, A.J. Dependence of dynamic Preisach distribution function on magnetizing frequencies. IEEE Trans. Magn. 2006, 42, 951–954. [Google Scholar] [CrossRef]














| Points on Figure 4 | De-Energization Point-on-Wave αD | Residual Flux Range ϕR | Trajectory |
|---|---|---|---|
| 1 to 2 | 90° to αRM | ϕRM | Major loop |
| 2 to 3 | αRM to 270° | ϕRM to −ϕRM | Minor loop |
| 3 to 4 | 270° to 270 + αRM | −ϕRM | Major loop |
| 4 to 1 | 270 + αRM to 90° | −ϕRM to ϕRM | Minor loop |
| Laboratory Tested Breakers | Equivalent Power System Breakers | Trip Signal | De-Energization Point-on-Wave, αD | Residual Flux | Energization Points-on-Wave, αE |
|---|---|---|---|---|---|
| SCR breaker | Oil breakers | 180° + α0 to α0 | α0 | ϕRM | αRM |
| Contactor | Vacuum and SF6 breakers | 90° to αRM * | 90° to αRM | ϕRM | αRM |
| IGBT breaker | - | α0 | α0 | ϕRM | αRM |
Disclaimer/Publisher’s Note: The statements, opinions and data contained in all publications are solely those of the individual author(s) and contributor(s) and not of MDPI and/or the editor(s). MDPI and/or the editor(s) disclaim responsibility for any injury to people or property resulting from any ideas, methods, instructions or products referred to in the content. |
© 2023 by the authors. Licensee MDPI, Basel, Switzerland. This article is an open access article distributed under the terms and conditions of the Creative Commons Attribution (CC BY) license (https://creativecommons.org/licenses/by/4.0/).
Share and Cite
Martínez-Figueroa, G.d.J.; Bogarra, S.; Córcoles, F. Smart Switching in Single-Phase Grid-Connected Photovoltaic Power Systems for Inrush Current Elimination. Energies 2023, 16, 7211. https://doi.org/10.3390/en16207211
Martínez-Figueroa GdJ, Bogarra S, Córcoles F. Smart Switching in Single-Phase Grid-Connected Photovoltaic Power Systems for Inrush Current Elimination. Energies. 2023; 16(20):7211. https://doi.org/10.3390/en16207211
Chicago/Turabian StyleMartínez-Figueroa, Gerardo de J., Santiago Bogarra, and Felipe Córcoles. 2023. "Smart Switching in Single-Phase Grid-Connected Photovoltaic Power Systems for Inrush Current Elimination" Energies 16, no. 20: 7211. https://doi.org/10.3390/en16207211
APA StyleMartínez-Figueroa, G. d. J., Bogarra, S., & Córcoles, F. (2023). Smart Switching in Single-Phase Grid-Connected Photovoltaic Power Systems for Inrush Current Elimination. Energies, 16(20), 7211. https://doi.org/10.3390/en16207211

