Numerical Investigations for Vibration and Deformation of Power Transformer Windings under Short-Circuit Condition
Abstract
1. Introduction
2. Theory and Formulations
2.1. Electromagnetic Analysis
2.2. Mechanical Analysis
2.3. Finite Element Solution to the Coupled Magneto-Mechanical System
3. Investigation into an Oil-Immersed-Type 110 kV Power Transformer
3.1. Description of the Model
3.2. Calculation of the Leakage Flux and Short-Circuit EF
3.3. Dynamic Analysis of Winding Vibration and Deformation
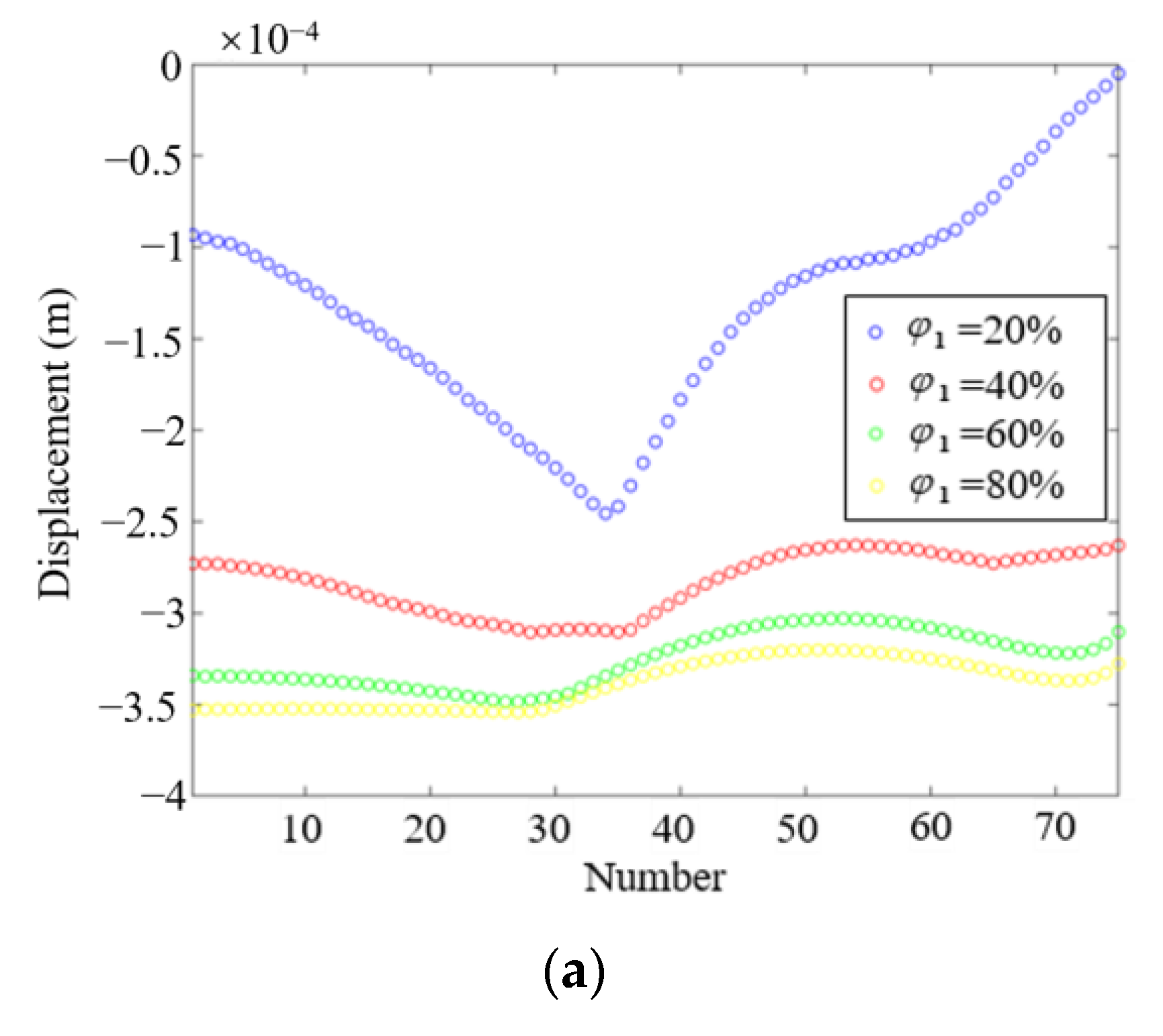
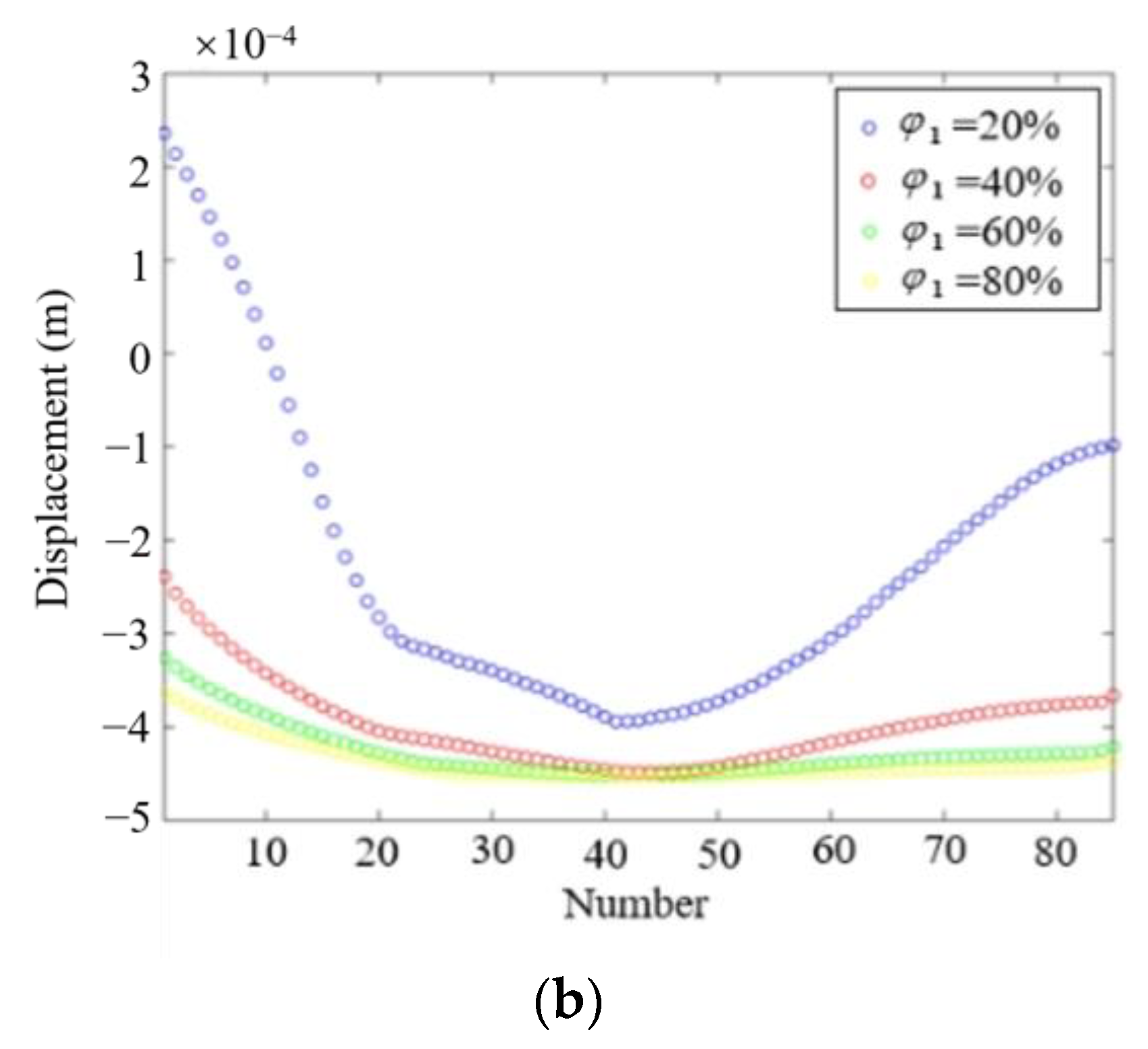
3.3.1. Effect of the Area Proportion of Spacers on Axial Vibration
3.3.2. Effect of Axial Preload on Axial Vibration
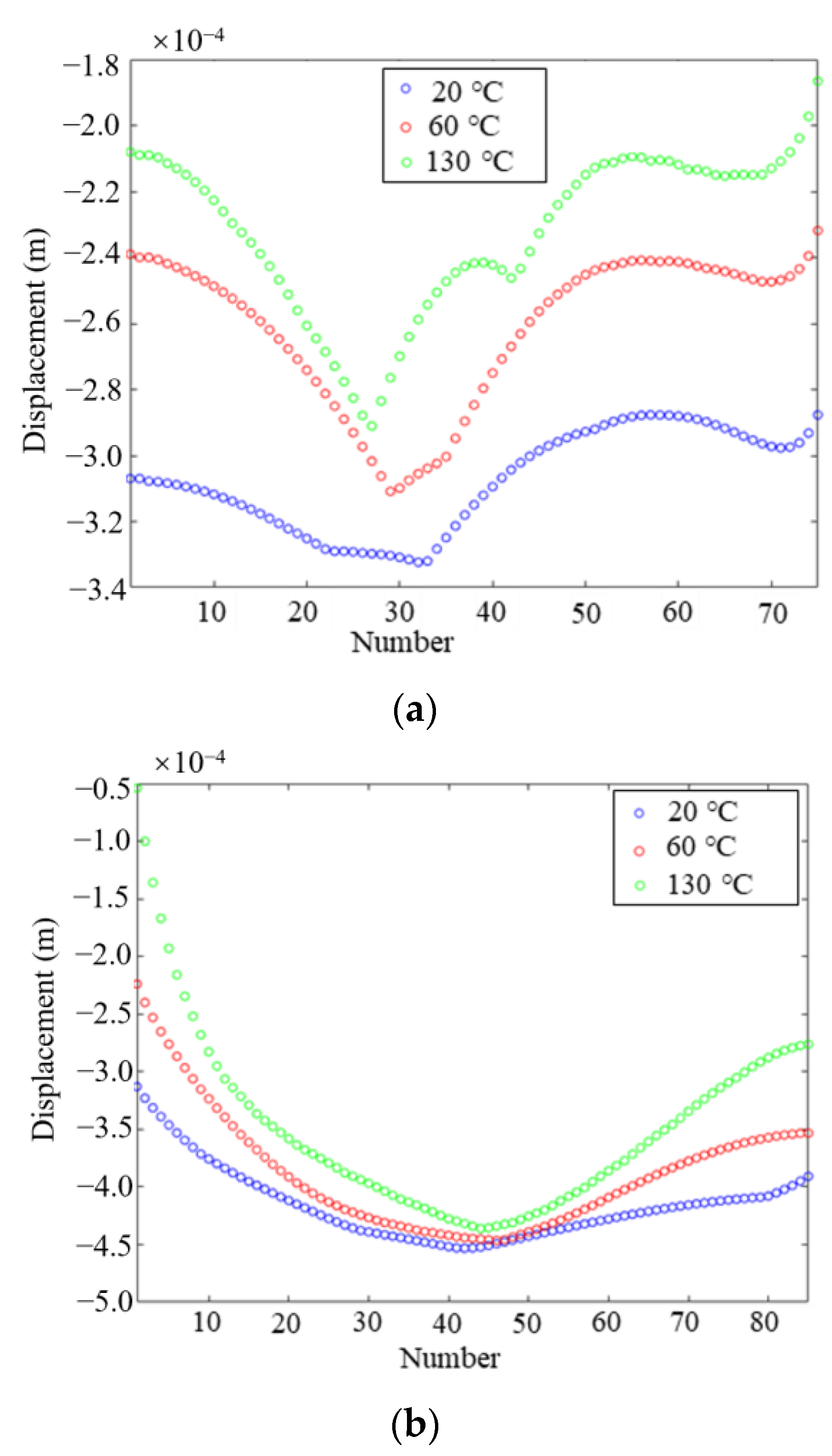
3.3.3. Vibration and Deformation with Aging Insulated Spacers
3.4. Cumulative Effect of Plastic Deformation
3.4.1. Mechanical Properties of Disks and Spacers
3.4.2. Cumulative Effect of Plastic Strain under Single Short-Circuit Shock
3.4.3. Cumulative Effect of Plastic Strain under Multiple Consecutive Short-Circuit Shocks
4. Conclusions
Author Contributions
Funding
Data Availability Statement
Conflicts of Interest
References
- Del Vecchio, R.M.; Poulin, B.; Feghali, P.T.; Shah, D.M.; Ahuja, R. Transformer Design Principles: With Applications to Core-Form Power Transformers; Taylor & Francis Group: Abingdon, UK; CRC Press: Boca Raton, FL, USA, 2010. [Google Scholar]
- Kumbhar, G.B.; Kulkarni, S.V. Analysis of Short-Circuit Performance of Split-Winding Transformer Using Coupled Field-Circuit Approach. IEEE Trans. Power Deliv. 2007, 22, 936–943. [Google Scholar] [CrossRef]
- Ahn, H.M.; Kim, S.Y.; Kim, J.K.; Oh, Y.H.; Hahn, S.C. Numerical Investigation for Transient Electromagnetic Force Computation of Power Transformer during Short-Circuit Condition. Int. J. Appl. Electromagn. Mech. 2016, 52, 1141–1149. [Google Scholar] [CrossRef]
- Dawood, K.; Komurgoz, G.; Isik, F. Computation of the Axial and Radial Forces in the Windings of the Power Transformer. In Proceedings of the 2019 4th International Conference on Power Electronics and their Applications (ICPEA), Elazig, Turkey, 25–27 September 2019; pp. 1–6. [Google Scholar]
- Faiz, J.; Ebrahimi, B.M.; Noori, T. Three- and Two-Dimensional Finite-Element Computation of Inrush Current and Short-Circuit Electromagnetic Forces on Windings of a Three-Phase Core-Type Power Transformer. IEEE Trans. Magn. 2008, 44, 590–597. [Google Scholar] [CrossRef]
- Ahn, H.M.; Oh, Y.H.; Kim, J.K.; Song, J.S. Experimental Verification and Finite Element Analysis of Short-Circuit EF for Dry-Type Transformer. IEEE Trans. Magn. 2012, 48, 819–822. [Google Scholar] [CrossRef]
- Fonseca, W.S.; Lima, D.S.; Lima, A.K.F.; Nunes, M.V.A.; Bezerra, U.H.; Soeiro, N.S. Analysis of Structural Behavior of Transformer’s Winding under Inrush Current Conditions. IEEE Trans. Ind. Appl. 2018, 54, 2285–2294. [Google Scholar] [CrossRef]
- Swihart, D.O.; Wright, D.V. Dynamic Stiffness and Damping of Transformer Pressboard during Axial Short Circuit Vibration. IEEE Trans. Power Appar. Syst. 1976, 95, 721–730. [Google Scholar] [CrossRef]
- Watts, G.B. A Mathematical Treatment of the Dynamic Behaviour of a Power-Transformer Winding under Axial Short-Circuit Forces. Proc. Inst. Electr. Eng. 2010, 110, 551–560. [Google Scholar] [CrossRef]
- Zhao, Y.; Chen, W.; Jin, M.; Wen, T.; Zhang, Q.; Xue, J. Effect of Winding Transposition Structure on the Distribution of Transverse Leakage Magnetic Field. IET Electr. Power Appl. 2020, 14, 2431–2437. [Google Scholar] [CrossRef]
- Shi, X.; Wei, R.; Zhang, W. Research on Online Detection Method of Transformer Winding Deformation Based on VFTO Characteristics. Energies 2023, 16, 3496. [Google Scholar] [CrossRef]
- Feyzi, M.R.; Sabahi, M. Finite Element Analyses of Short Circuit Forces in Power Transformers with Asymmetric Conditions. In Proceedings of the IEEE 2008 International Symposium on Industrial Electronics (ISIE 2008), Cambridge, UK, 30 June–2 July 2008; pp. 576–581. [Google Scholar]
- Kumbhar, G.B.; Mahajan, S. The Effect of Distribution of a Primary Winding on the Short-Circuit Forces of a Current Transformer. In Proceedings of the IEEE 2017 International Conference on Green Energy and Applications (ICGEA), Singapore, 25–27 March 2017; pp. 153–157. [Google Scholar]
- Wu, Q.; Hu, Y.; Dong, M.; Song, B.; Xia, C.; Yu, B.; Zhang, Z.; Liu, Y. Optimization of Transformer Winding Deformation Assessment Criterion Considering Insulation Aging and Moisture Content. Energies 2020, 13, 6491. [Google Scholar] [CrossRef]
- Yin, K. Principles of Transformer Design; China Power Press: Beijing, China, 2003. (In Chinese) [Google Scholar]
- Zienkiewicz, O.C.; Taylor, R.L.; Fox, D. The Finite Element Method for Solid and Structural Mechanics, 7th ed.; Elsevier: Amsterdam, The Netherlands; Butterworth-Heinemann: Oxford, UK, 2013. [Google Scholar]
- Xie, Y. Power Transformer Handbook, 7th ed.; Machinery Industry Press: Beijing, China, 2014. (In Chinese) [Google Scholar]
- Ji, S.; Zhang, F.; Qian, G.; Zhu, Y.; Dong, H.; Zou, D. Characteristics and Influence Factors of Winding Axial Vibration of Power Transformer in Steady-State Operation Condition. High Volt. Eng. 2016, 42, 3178–3187. (In Chinese) [Google Scholar]


















| Quantity | Value | Unit |
|---|---|---|
| Rated Power | 63 | MVA |
| Impedance | 6.35 | % |
| Phase voltage of LV/HV windings | 10.5/38.5 | kV |
| Phase current of LV/HV windings | 2000/983.1 | A |
| Frequency | 50 | Hz |
| No. winding turns of LV/HV windings | 76/155 | - |
| No. disks in windings of LV/HV | 76/86 | - |
| Height of each copper disk of LV/HV | 15.55/11.37 | mm |
| Height of window | 1650 | mm |
| Radius of core cross-section | 359 | mm |
| Inner/Outer radius of LV copper disk | 372/431 | mm |
| Inner/Outer radius of HV copper disk | 453/545/5 | mm |
| Initial height of spacer of LV/HV | 3.52/4.41 | mm |
Disclaimer/Publisher’s Note: The statements, opinions and data contained in all publications are solely those of the individual author(s) and contributor(s) and not of MDPI and/or the editor(s). MDPI and/or the editor(s) disclaim responsibility for any injury to people or property resulting from any ideas, methods, instructions or products referred to in the content. |
© 2023 by the authors. Licensee MDPI, Basel, Switzerland. This article is an open access article distributed under the terms and conditions of the Creative Commons Attribution (CC BY) license (https://creativecommons.org/licenses/by/4.0/).
Share and Cite
Wang, J.; Xing, Y.; Ma, X.; Zhao, Z.; Yang, L. Numerical Investigations for Vibration and Deformation of Power Transformer Windings under Short-Circuit Condition. Energies 2023, 16, 5318. https://doi.org/10.3390/en16145318
Wang J, Xing Y, Ma X, Zhao Z, Yang L. Numerical Investigations for Vibration and Deformation of Power Transformer Windings under Short-Circuit Condition. Energies. 2023; 16(14):5318. https://doi.org/10.3390/en16145318
Chicago/Turabian StyleWang, Jiawei, Yijing Xing, Xikui Ma, Zhiwei Zhao, and Lihui Yang. 2023. "Numerical Investigations for Vibration and Deformation of Power Transformer Windings under Short-Circuit Condition" Energies 16, no. 14: 5318. https://doi.org/10.3390/en16145318
APA StyleWang, J., Xing, Y., Ma, X., Zhao, Z., & Yang, L. (2023). Numerical Investigations for Vibration and Deformation of Power Transformer Windings under Short-Circuit Condition. Energies, 16(14), 5318. https://doi.org/10.3390/en16145318

