Numerical Simulation of the Cleaning Performance of a Venturi Scrubber
Abstract
:1. Introduction
2. Geometry Details and Modeling
2.1. Geometry Description
2.2. Properties of Gas
2.3. Governing Equations
3. Meshing Study and Validation
4. Results and Discussions
5. Conclusions
- -
- The liquid flow affects the velocity as the velocity increases with the increase in the liquid flow with the same velocity of the air.
- -
- The dynamic has the same behavior velocity, with decreases with the increase in gas velocity and water velocity at inlets.
- -
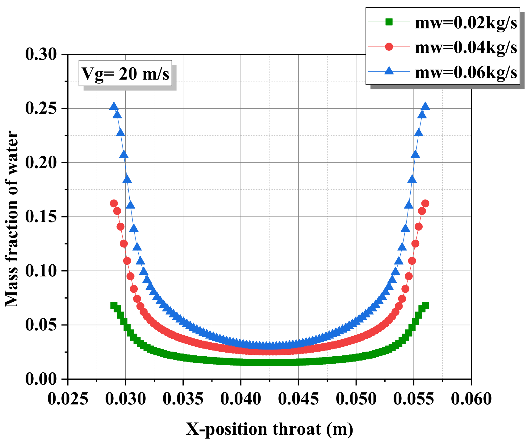
- The mass fraction of the water concentrates on the wall under the influence of the high velocity of the gas.
- -
- The removal efficiency of the venturi scrubber increases with a decrease in the liquid flow rate and an increase in the gas velocity.
- -
- The REC increases with the increase in the inlet water flow rate and increase in gas velocity.
- -
- The investigation of the mass transfer through a three-dimensional simulation of the cleaning of the gas produced by the gasification of biomass.
- -
- The creation of a in new venturi scrubber with different boundary conditions to enhance further the energy efficiency.
- -
- The study of the influence of the venturi on the cleaning performance of nano systems.
Author Contributions
Funding
Institutional Review Board Statement
Informed Consent Statement
Data Availability Statement
Conflicts of Interest
References
- Breitenmoser, D.; Papadopoulos, P.; Lind, T.; Prasser, H.M. Droplet size distribution in a full-scale rectangular self-priming Venturi scrubber with liquid film injection. Int. J. Multiph. Flow 2021, 142, 103694. [Google Scholar] [CrossRef]
- Yadav, A.; Kumar, A.; Sarkar, S. Performance evaluation of venturi aeration system. Aquac. Eng. 2021, 93, 102156. [Google Scholar] [CrossRef]
- Lin, L.; Liu, T.; Yuan, N.; Xu, Z.; Chen, H. Study on the influence of venturi on the cleaning performance of elliptical filter cartridge. Powder Technol. 2021, 377, 139–148. [Google Scholar] [CrossRef]
- Kim, S.; Shin, D.H.; Jung, Y.; Ko, H.S.; Shin, Y. Short-period thermal cyclic test device for large volumes of microencapsulated phase change materials using a Venturi injector. J. Energy Storage 2021, 43, 103223. [Google Scholar] [CrossRef]
- Hollands, K.G.; Goel, K.C. A General Method for Predicting Pressure Loss in Venturi Scrubbers. Ind. Eng. Chem. Fundam. 1975, 14, 16–22. [Google Scholar] [CrossRef]
- Viswanathan, S.; Gnyp, A.W.; St Pierre, C.C. Annular Flow Pressure Drop Model for Pease-Anthony-Type Venturi Scrubbers. AIChE J. 1985, 31, 1947–1958. [Google Scholar] [CrossRef]
- Azzopardi, B.J.; Teixeira SF, C.F.; Govan, A.H.; Bott, T.R. Improved model for pressure drop in Venturi scrubbers. Process Saf. Environ. Prot. 1991, 69, 237–245. [Google Scholar]
- Pulley, R.A. Modelling the performance of venturi scrubbers. Chem. Eng. J. 1997, 67, 9–18. [Google Scholar] [CrossRef]
- Ananthanarayanan, N.V.; Viswanathan, S. Estimating Maximum Removal Efficiency in Venturi Scrubbers. Environ. Energy Eng. 1998, 44, 2549–2560. [Google Scholar] [CrossRef]
- Gonçalves, J.A.S.; Alonso, D.F.; Costa, M.A.M.; Azzopardi, B.J.; Coury, J.R. Evaluation of the models available for the prediction of pressure drop in venturi scrubbers. J. Hazard. Mater. 2001, 81, 123–140. [Google Scholar] [CrossRef]
- Mohebbi, A.; Taheri, M.; Fathikaljahi, J.; Talaie, M.R. Simulation of an orifice scrubber performance based on Eulerian/Lagrangian method. J. Hazard. Mater. 2003, 100, 13–25. [Google Scholar] [CrossRef]
- Sun, H.; Azzopardi, B.J. Modelling gas-liquid flow in Venturi scrubbers at high pressure. Process Saf. Environ. Prot. Trans. Inst. Chem. Eng. Part B 2003, 81, 250–256. [Google Scholar] [CrossRef]
- Viswanathan, S.; Ananthanarayanan, N.V.; Azzopardi, B.J. Venturi Scrubber Modelling and Optimization. Can. J. Chem. Eng. 2005, 83, 194–203. [Google Scholar] [CrossRef]
- Nasseh, S.; Mohebbi, A.; Jeirani, Z.; Sarrafi, A. Predicting pressure drop in venturi scrubbers with artificial neural networks. J. Hazard. Mater. 2007, 143, 144–149. [Google Scholar] [CrossRef]
- Taylor, P.; Economopoulou, A.A.; Harrison, R.M.; Economopoulou, A.A.; Harrison, R.M. Aerosol Science and Technology Graphical Analysis of the Performance of Venturi Scrubbers for Particle Abatement. Part I: Rapid Collection Efficiency Evaluation Graphical Analysis of the Performance of Venturi Scrubbers for Particle Abatement. Part I. Aerosol Sci. Technol. 2007, 41, 37–41. [Google Scholar] [CrossRef]
- Kumar, A.; Kumar, P.; Singal, S.K. Performance of A Venturi Scrubbers in Intermediate Drop Reynolds Number Regime for Small Particles at Different Throat Length and Throat Gas Velocity. Asian J. Water Environ. Pollut. 2008, 6, 7–13. [Google Scholar]
- Taheri, M.; Mohebbi, A. Design of artificial neural networks using a genetic algorithm to predict collection efficiency in venturi scrubbers. J. Hazard. Mater. 2008, 157, 122–129. [Google Scholar] [CrossRef]
- Nasseh, S.; Mohebbi, A.; Sarrafi, A.; Taheri, M. Estimation of pressure drop in venturi scrubbers based on annular two-phase flow model, artificial neural networks and genetic algorithm. Chem. Eng. J. 2009, 150, 131–138. [Google Scholar] [CrossRef]
- Shraiber, A.A.; Fedinchik, I.V.; Protasov, M.V. On effect of gas flow turbulence on the efficiency of particle collection in a Venturi scrubber. High Temp. 2015, 53, 80–85. [Google Scholar] [CrossRef]
- Guerra, V.G.; Béttega, R.; Gonçalves, J.A.S.; Coury, J.R. Pressure drop and liquid distribution in a venturi scrubber: Experimental data and CFD simulation. Ind. Eng. Chem. Res. 2012, 51, 8049–8060. [Google Scholar] [CrossRef]
- Ali, M.; Changqi, Y.; Zhongning, S.; Jianjun, W.; Mehboob, K. CFD Simulation of Prediction of Pressure Drop in Venturi Scrubber. Appl. Mech. Mater. 2012, 169, 3008–3011. [Google Scholar] [CrossRef]
- Mechanics, A. CFD Simulation of Throat Pressure in Venturi Scrubber Majid Ali. Appl. Mech. Mater. 2012, 173, 3630–3634. [Google Scholar] [CrossRef]
- Ali, M.; Yan, C.; Sun, Z.; Wang, J.; Gu, H. CFD simulation of dust particle removal efficiency of a venturi scrubber in CFX. Nucl. Eng. Des. 2013, 256, 169–177. [Google Scholar] [CrossRef]
- Toledo-Melchor, M.M.; Gutiérrez-Torres, C.D.C.; Jiménez-Bernal, J.A.; Barbosa-Saldaña, J.G.; Martínez-Delgadillo, S.A.; de Leon, H.R.M.P.; Yoguéz-Seoane, A.; Alonzo-García, A. Numerical simulation of flow behavior within a venturi scrubber. Math. Probl. Eng. 2014, 2014, 106329. [Google Scholar] [CrossRef] [Green Version]
- Luan, Z.; Liu, X.; Zheng, M.; Zhu, L. Numerical Simulation of Square Section Venturi Scrubber with Horizontal Spray. Procedia Comput. Sci. 2017, 107, 117–121. [Google Scholar] [CrossRef]
- Qamar, S.A.; Sohail, A.; Qureshi, K.; Shah, A.; Irfan, N. Dust particle collection efficiency of venturi scrubber with varying number of orifices using CFX. In Proceedings of the ICET 2016, 2016 International Conference on Emerging Technologies (ICET), Islamabad, Pakistan, 18–19 October 2016. [Google Scholar] [CrossRef]
- Bal, M.; Meikap, B.C. Prediction of hydrodynamic characteristics of a venturi scrubber by using CFD simulation. S. Afr. J. Chem. Eng. 2017, 24, 222–231. [Google Scholar] [CrossRef]
- Safdar, I.; Khan, A.; Ali, M.; Mushtaq, A. Numerical Simulation of Particulate Removal Efficiency in Venturi Scrubber; IEEE: New York, NY, USA, 2017; pp. 1–6. [Google Scholar]
- Placek, T.D.; Peters, L.K. Analysis of particulate removal in venturi scrubbers—role of heat and mass transfer. AIChE J. 1982, 28, 31–39. [Google Scholar] [CrossRef]
- Taheri, M.; Mohebbi, A.; Taheri, A. Simulation of SO2 absorption in a venturi scrubber. Chem. Eng. Commun. 2010, 197, 934–952. [Google Scholar] [CrossRef]
- Rahimi, A.; Bakhshi, A. A Simple One-Dimensional Model for Investigation of Heat and Mass Transfer Effects on Removal Efficiency of Particulate Matters in a Venturi Scrubber. Iran. J. Chem. Eng. 2009, 6, 3–14. Available online: http://en.journals.sid.ir/ViewPaper.aspx?ID=170228 (accessed on 15 July 2021).
- Rahimi, A.; Niksiar, A.; Mobasheri, M. Considering roles of heat and mass transfer for increasing the ability of pressure drop models in venturi scrubbers. Chem. Eng. Process. Process Intensif. 2011, 50, 104–112. [Google Scholar] [CrossRef]
- Igo, S.W.; Bathiébo, D.J.; Palm, K.; N’Wuitcha, K.; Zeghmati, B.; Chesneau, X. Laminar forced convection heat and mass transfer in a venturi tube with wetted walls. Front. Heat Mass Transf. 2011, 2, 1–7. [Google Scholar] [CrossRef] [Green Version]
- Igo, S.W.; Kokou, N.; Palm, K.; Mihaescu, L.; Bathiébo, D.J. Numerical simulation of turbulent forced convection in a venturi channel with fully developed flow at the inlet Numerical simulation of turbulent forced convection in a venturi channel with fully developed flow at the inlet. Adv. Appl. Sci. Res. 2015, 5, 359–367. [Google Scholar]
- Al-Kassir, A.; Gañán-Gómez, J.; Mohamad, A.; Cuerda-Correa, E.M. A study of energy production from cork residues: Sawdust, sandpaper dust and triturated wood. Energy 2010, 35, 382–386. [Google Scholar] [CrossRef]
- Al-Kassir, A.; Coelho, P.; García-Sanz-Calcedo, J.; Moral, F.J.; Al-Karany, R.K.; Yusaf, T. An Experimental Technology of Drying and Clean Combustion of Biomass Residues. Appl. Sci. 2018, 8, 905. [Google Scholar] [CrossRef] [Green Version]
- Kumararaja, L. Modelling equations for the properties of producer gas generated from biomass gasifiers. Int. J. Appl. Math. Sci. 2016, 9, 103–112. [Google Scholar]
- Silva, A.M. Numerical and Experimental Study of Venturi Scrubbers. Ph.D. Thesis, Instituto Politécnico de Viana do Castelo, Viana Do Castelo, Portugal, December 2008. [Google Scholar]




















| Physical Characteristics of the Venturi | |
|---|---|
| Converge diameterD (m) | 0.075 |
| Diffuser diameter D (m) | 0.075 |
| Throat diameter d (m) | 0.027 |
| Length L1 (m) | 0.05 |
| Length L2 (m) | 0.13 |
| Length L3 (m) | 0.165 |
| Length L4 (m) | 0.34 |
| Orifice (m) | 0.001 |
| Properties of the Gas | |
|---|---|
| Density | |
| Molar specific heat capacity | 22.05 kJ/(kmol·K) |
| Molar mass | 25.14 kg/kmol |
| Viscosity | kg/(m·s) |
| Thermal conductivity | 0.0344 W/(m·K) |
| Diffusion coefficient | /s |
Publisher’s Note: MDPI stays neutral with regard to jurisdictional claims in published maps and institutional affiliations. |
© 2022 by the authors. Licensee MDPI, Basel, Switzerland. This article is an open access article distributed under the terms and conditions of the Creative Commons Attribution (CC BY) license (https://creativecommons.org/licenses/by/4.0/).
Share and Cite
Khadra, H.; Kouider, R.; Toufik Tayeb, N.; Al-Kassir, A.; Carrasco-Amador, J.P. Numerical Simulation of the Cleaning Performance of a Venturi Scrubber. Energies 2022, 15, 1531. https://doi.org/10.3390/en15041531
Khadra H, Kouider R, Toufik Tayeb N, Al-Kassir A, Carrasco-Amador JP. Numerical Simulation of the Cleaning Performance of a Venturi Scrubber. Energies. 2022; 15(4):1531. https://doi.org/10.3390/en15041531
Chicago/Turabian StyleKhadra, Haouari, Rahmani Kouider, Naas Toufik Tayeb, Awf Al-Kassir, and Juan Pablo Carrasco-Amador. 2022. "Numerical Simulation of the Cleaning Performance of a Venturi Scrubber" Energies 15, no. 4: 1531. https://doi.org/10.3390/en15041531
APA StyleKhadra, H., Kouider, R., Toufik Tayeb, N., Al-Kassir, A., & Carrasco-Amador, J. P. (2022). Numerical Simulation of the Cleaning Performance of a Venturi Scrubber. Energies, 15(4), 1531. https://doi.org/10.3390/en15041531

