Analysis of Entropy Generation on Magnetohydrodynamic Flow with Mixed Convection through Porous Media
Abstract
1. Introduction
2. Mathematical Modeling
3. Investigation of Entropy Generation
4. Solution of Problem
4.1. Zeroth-Order Problems
4.2. nth-Order Problems
5. Results and Discussion
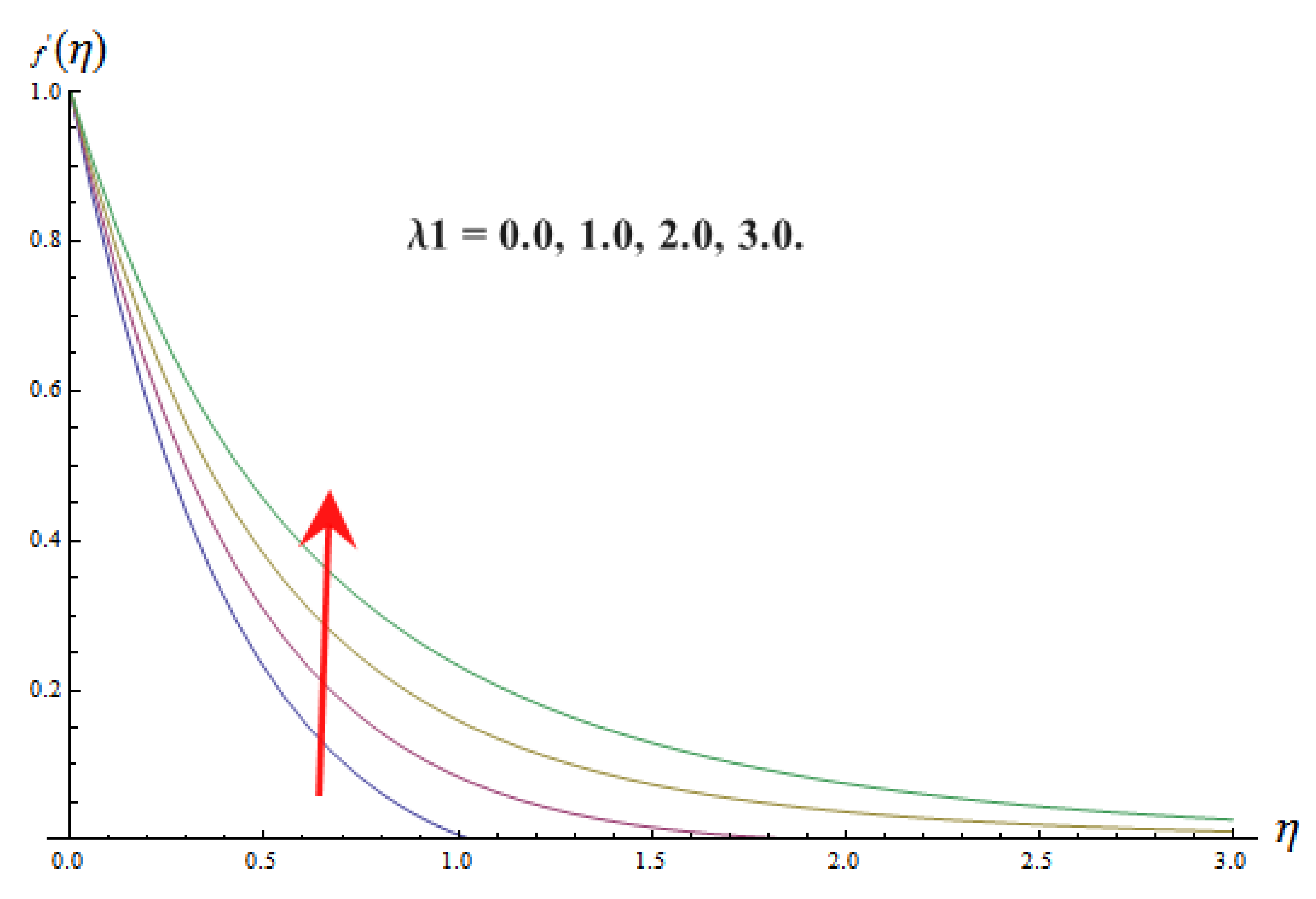
6. Velocity Distribution
7. Micro Rotation
8. Temperature Distribution
9. Entropy Generation and Bejan Number
10. Summarized Conclusions
- By raising the values of the magnetic field parameter , porosity parameter , and vortex viscosity constant , velocity distribution of micropolar fluid is reduced, while the inverse consequence is observed by raising values of local buoyancy parameter .
- It is observed that angular velocity enhances with the greater estimations of dimensionless material property , while it reduces with increasing values of dimensionless material property .
- It is also observed that magnetic parameter , Eckert number , and linear thermal radiation parameter upsurges the temperature distribution.
- The entropy generation enhances with increasing values of Prandtl number , Brinkman number , vortex viscosity constant , magnetic parameter , and thermal radiation parameter .
- It is concluded that the Bejan number is increasing in function of the Eckert number and linear thermal radiation parameter and Prandtl number , while decreasing in function of the vortex viscosity constant and Brinkman number.
Author Contributions
Funding
Conflicts of Interest
References
- Eringen, A.C. Theory of micropolar fluids. J. Math. Mech. 1966, 16, 1–18. [Google Scholar] [CrossRef]
- Lukaszewicz, G. Micropolar Fluids: Theory and Applications; Springer: Berlin/Heidelberg, Germany, 1999. [Google Scholar]
- Abbas, M.A.; Faraz, N.; Bai, Y.-Q.; Khan, Y. Analytical study of the non orthogonal stagnation point flow of a micro polar fluid. J. King Saud Univ. Sci. 2017, 29, 126–132. [Google Scholar] [CrossRef]
- Su, J. Suitable weak solutions to the micropolar fluids model in a bounded domain. J. Math. Anal. Appl. 2021, 504, 125406. [Google Scholar] [CrossRef]
- Ratchagar, N.P.; Seyalmurugan, S. Thermohaline convection in micropolar ferromagnetic fluid with Soret effect and sparsely distributed porous medium: A Brinkman model. Mater. Today Proc. 2021. [Google Scholar] [CrossRef]
- Tong, L.; Pan, R.; Tan, Z. Decay estimates of solutions to the compressible micropolar fluids system in R. J. Differ. Equ. 2021, 293, 520–552. [Google Scholar] [CrossRef]
- Fatunmbi, E.; Salawu, S. Thermodynamic second law analysis of magneto-micropolar fluid flow past nonlinear porous media with non-uniform heat source. Propuls. Power Res. 2020, 9, 281–288. [Google Scholar] [CrossRef]
- Agarwal, R. Heat and mass transfer in electrically conducting micropolar fluid flow between two stretchable disks. Mater. Today Proc. 2021, 46, 10227–10238. [Google Scholar] [CrossRef]
- Nadeem, S.; Khan, M.; Abbas, N. Transportation of slip effects on nanomaterial micropolar fluid flow over exponentially stretching. Alex. Eng. J. 2020, 59, 3443–3450. [Google Scholar] [CrossRef]
- Singh, K.; Pandey, A.K.; Kumar, M. Numerical solution of micropolar fluid flow via stretchable surface with chemical reaction and melting heat transfer using Keller-Box method. Propuls. Power Res. 2021, 10, 194–207. [Google Scholar] [CrossRef]
- Abdelmalek, Z.; Khan, S.U.; Awais, M.; Mustfa, M.S.; Tlili, I. Analysis of generalized micropolar nanofluid with swimming of microorganisms over an accelerated surface with activation energy. J. Therm. Anal. Calorim. 2021, 144, 1051–1063. [Google Scholar] [CrossRef]
- Kumar, K.A.; Sugunamma, V.; Sandeep, N. Influence of viscous dissipation on MHD flow of micropolar fluid over a slendering stretching surface with modified heat flux model. J. Therm. Anal. Calorim. 2020, 139, 3661–3674. [Google Scholar] [CrossRef]
- Gangadhar, K.; Kumar, S.; Narayana, K.L.; Subhakar, M.J.; Kumar, B.R. Effect of viscous dissipation of a magneto hydrodynamic micropolar fluid with momentum and temperature dependent slip flow. In IOP Conference Series: Materials Science and Engineering; IOP Publishing: Bristol, UK, 2017. [Google Scholar]
- Jain, S.; Gupta, P. Entropy generation analysis of MHD viscoelasticity-based micropolar fluid flow past a stretching sheet with thermal slip and porous media. Int. J. Appl. Comput. Math. 2019, 5, 1–22. [Google Scholar] [CrossRef]
- Xia, W.-F.; Haq, F.; Saleem, M.; Khan, M.I.; Khan, S.U.; Chu, Y.-M. Irreversibility analysis in natural bio-convective flow of Eyring-Powell nanofluid subject to activation energy and gyrotactic microorganisms. Ain Shams Eng. J. 2021, 12, 4063–4074. [Google Scholar] [CrossRef]
- Hartmann, J.; Lazarus, F. Hg-Dynamics; Levin & Munksgaard: Copenhagen, Denmark, 1937. [Google Scholar]
- Khader, M.; Sharma, R.P. Evaluating the unsteady MHD micropolar fluid flow past stretching/shirking sheet with heat source and thermal radiation: Implementing fourth order predictor–corrector FDM. Math. Comput. Simul. 2021, 181, 333–350. [Google Scholar] [CrossRef]
- Sharma, R.P.; Mishra, S.R. A numerical simulation for the control of radiative heat energy and thermophoretic effects on MHD micropolar fluid with heat source. J. Ocean. Eng. Sci. 2022, 7, 92–98. [Google Scholar] [CrossRef]
- Goud, B.S. Heat generation/absorption influence on steady stretched permeable surface on MHD flow of a micropolar fluid through a porous medium in the presence of variable suction/injection. Int. J. 2020, 7, 100044. [Google Scholar]
- Hayat, T.; Shehzad, S.A.; Qasim, M. Mixed convection flow of a micropolar fluid with radiation and chemical reaction. Int. J. Numer. Methods Fluids 2011, 67, 1418–1436. [Google Scholar] [CrossRef]
- Ahmad, S.; Ali, K.; Bashir, H. Interaction of micropolar fluid structure with the porous media in the flow due to a rotating cone. Alex. Eng. J. 2021, 60, 1249–1257. [Google Scholar] [CrossRef]
- Nadeem, S.; Amin, A.; Abbas, N. On the stagnation point flow of nanomaterial with base viscoelastic micropolar fluid over a stretching surface. Alex. Eng. J. 2020, 59, 1751–1760. [Google Scholar] [CrossRef]
- Nabwey, H.A.; Mahdy, A. Numerical approach of micropolar dust-particles natural convection fluid flow due to a permeable cone with nonlinear temperature. Alex. Eng. J. 2021, 60, 1739–1749. [Google Scholar] [CrossRef]
- Patel, H.R.; Singh, R. Thermophoresis, Brownian motion and non-linear thermal radiation effects on mixed convection MHD micropolar fluid flow due to nonlinear stretched sheet in porous medium with viscous dissipation, joule heating and convective boundary condition. Int. Commun. Heat Mass Transf. 2019, 107, 68–92. [Google Scholar] [CrossRef]
- Govardhan, K.; Nagaraju, G.; Kaladhar, K.; Balasiddulu, M. MHD and radiation effects on mixed convection unsteady flow of micropolar fluid over a stretching sheet. Procedia Comput. Sci. 2015, 57, 65–76. [Google Scholar] [CrossRef]
- Aurangzaib; Bhattacharyya, K.; Shafie, S. Effect of partial slip on an unsteady MHD mixed convection stagnation-point flow of a micropolar fluid towards a permeable shrinking sheet. Alex. Eng. J. 2016, 55, 1285–1293. [Google Scholar] [CrossRef]
- Abbas, M.A.; Hussain, I. Statistical analysis of the mathematical model of entropy generation of magnetized nanofluid. Inventions 2019, 4, 32. [Google Scholar] [CrossRef]
- Bhatti, M.M.; Abbas, M.A.; Rashidi, M. Entropy generation in blood flow with heat and mass transfer for the Ellis fluid model. Heat Transf. Res. 2018, 49, 747–760. [Google Scholar] [CrossRef]
- Rashidi, M.M.; Abbas, M.A. Effect of slip conditions and entropy generation analysis with an effective Prandtl number model on a nanofluid flow through a stretching sheet. Entropy 2017, 19, 414. [Google Scholar] [CrossRef]
- Bhatti, M.M.; Abbas, M.A.; Rashidi, M.M. Entropy generation for peristaltic blood flow with casson model and consideration of magnetohydrodynamics effects. Walailak J. Sci. Technol. 2017, 14, 451–461. [Google Scholar]
- Haq, F.; Saleem, M.; Khan, M.I.; Elmasry, Y.; Chinram, R. Entropy generation minimization in bio-convective flow of nanofluid with activation energy and gyrotactic micro-organisms. AIP Adv. 2021, 11, 055017. [Google Scholar] [CrossRef]
- Yadav, P.K.; Kumar, A. An inclined magnetic field effect on entropy production of non-miscible Newtonian and micropolar fluid in a rectangular conduit. Int. Commun. Heat Mass Transf. 2021, 124, 105266. [Google Scholar] [CrossRef]
- Fatunmbi, E.; Adeniyan, A. Nonlinear thermal radiation and entropy generation on steady flow of magneto-micropolar fluid passing a stretchable sheet with variable properties. Results Eng. 2020, 6, 100142. [Google Scholar] [CrossRef]
- Zaib, A.; Khan, U.; Shah, Z.; Kumam, P.; Thounthong, P. Optimization of entropy generation in flow of micropolar mixed convective magnetite (Fe3O4) ferroparticle over a vertical plate. Alex. Eng. J. 2019, 58, 1461–1470. [Google Scholar] [CrossRef]
- Khan, A.; Shah, Z.; Islam, S.; Khan, S.; Khan, W.; Khan, A.Z. Darcy–Forchheimer flow of micropolar nanofluid between two plates in the rotating frame with non-uniform heat generation/absorption. Adv. Mech. Eng. 2018, 10, 1687814018808850. [Google Scholar] [CrossRef]
- Ali, V.; Gul, T.; Afridi, S.; Ali, F.; Alharbi, S.O.; Khan, I. Thin film flow of micropolar fluid in a permeable medium. Coatings 2019, 9, 98. [Google Scholar] [CrossRef]
- Hayat, T.; Javed, T.; Abbas, Z. MHD flow of a micropolar fluid near a stagnation-point towards a non-linear stretching surface. Nonlinear Anal. Real World Appl. 2009, 10, 1514–1526. [Google Scholar] [CrossRef]
- Gangadhar, K.; Narayana, K.L.; Kumar, P.S.; Kumar, B.R. MHD micropolar fluid flow over a stretching permeable sheet in the presence of thermal radiation and thermal slip flow: A numerical study. IOP Conf. Ser. Mater. Sci. Eng. 2017, 263, 062010. [Google Scholar] [CrossRef]
- Atif, S.M.; Hussain, S.; Sagheer, M. Magnetohydrodynamic stratified bioconvective flow of micropolar nanofluid due to gyrotactic microorganisms. AIP Adv. 2019, 9, 025208. [Google Scholar] [CrossRef]



















Publisher’s Note: MDPI stays neutral with regard to jurisdictional claims in published maps and institutional affiliations. |
© 2022 by the authors. Licensee MDPI, Basel, Switzerland. This article is an open access article distributed under the terms and conditions of the Creative Commons Attribution (CC BY) license (https://creativecommons.org/licenses/by/4.0/).
Share and Cite
Abbas, M.A.; Ahmed, B.; Chen, L.; Rehman, S.u.; Saleem, M.; Khudair, W.S. Analysis of Entropy Generation on Magnetohydrodynamic Flow with Mixed Convection through Porous Media. Energies 2022, 15, 1206. https://doi.org/10.3390/en15031206
Abbas MA, Ahmed B, Chen L, Rehman Su, Saleem M, Khudair WS. Analysis of Entropy Generation on Magnetohydrodynamic Flow with Mixed Convection through Porous Media. Energies. 2022; 15(3):1206. https://doi.org/10.3390/en15031206
Chicago/Turabian StyleAbbas, Munawwar Ali, Bashir Ahmed, Li Chen, Shamas ur Rehman, Muzher Saleem, and Wissam Sadiq Khudair. 2022. "Analysis of Entropy Generation on Magnetohydrodynamic Flow with Mixed Convection through Porous Media" Energies 15, no. 3: 1206. https://doi.org/10.3390/en15031206
APA StyleAbbas, M. A., Ahmed, B., Chen, L., Rehman, S. u., Saleem, M., & Khudair, W. S. (2022). Analysis of Entropy Generation on Magnetohydrodynamic Flow with Mixed Convection through Porous Media. Energies, 15(3), 1206. https://doi.org/10.3390/en15031206
