Piecewise Causality Study between Power Load and Vibration in Hydro-Turbine Generator Unit for a Low-Carbon Era
Abstract
:1. Introduction
- A kind of piecewise causality was proposed. According to the mechanism of HTGU, piecewise correlation was used to replace piecewise causality.
- A piecewise correlation analysis method based on change point detection and correlation analysis was proposed. The interference of data without correlation was effectively avoided.
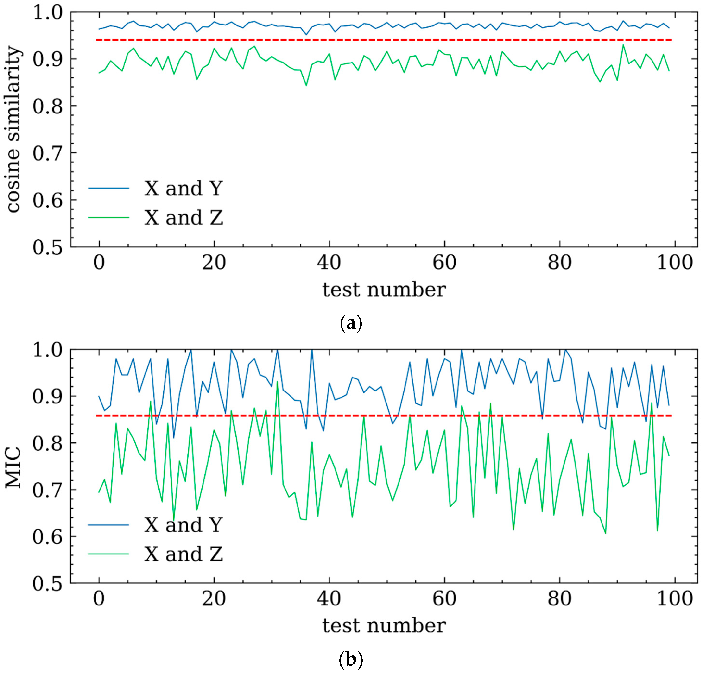
- It was found that MIC has the problem of high variance. This paper used cosine similarity instead of MIC to avoid high variance.
2. Methods
2.1. Mechanism Analysis
2.2. Piecewise Causality Based on Change Point Detection
- Change point detection. Change points can be obtained by change point detection. The change point detection method based on the Gaussian kernel is selected for the unknown number of change points in the time series of interest and the unclear probability distribution. Taking the active power time series as an example, the number of active power changes is uncertain and random [14,42]. The specific change point detection algorithm can be found in Ref. [41].
- Change point matching. When the difference between the two change points from the two-variable time series does not exceed the threshold, the two change points are said to match each other. Change points that cannot match each other often appear in actual situations. The augmented change point is proposed to divide the two-variable time series into subsequences aligned. When the change points can match each other, the larger change point is taken as the augmented change point; when the change points cannot match, the two change points are both used as the augmented change points. All augmented change points are arranged in ascending order to form an augmented change point sequence. As shown in Figure 1, the first change points of two lines P1 and P2 are relatively close and can match each other. Therefore, P2 can replace P1 and P2 as the augmented change point. The second change points of two lines P3 and P4 are far apart and cannot match each other. Therefore, both P3 and P4 are kept as augmented change points. The augmented change point sequence formed by the change points in Figure 1 is .
- Correlation analysis. The augmented change point sequence obtained above can extract subsequences from the time series. According to a time range, two subsequences are extracted from the time series x and y. The time range of the subsequence xi and yi corresponding to the augmented change point Pi is Pi−1 to Pi+1. Then, xi and yi are normalized by MinMaxScaler, respectively. Finally, cosine similarity si between xi and yi is calculated by formulation:forming the cosine similarity sequence s.
- Causality detection. It is considered that the causality between the subsequences is weak when the cosine similarity is less than the set threshold. On the contrary, it is believed that the causality is strong.


3. Results
4. Discussion
4.1. Compare the Difference of MIC and Cosine Similarity Based on Variance
4.2. Correlation and Causality
4.3. Piecewise Causality
4.4. Advantages and Limitations
5. Conclusions
Author Contributions
Funding
Institutional Review Board Statement
Informed Consent Statement
Data Availability Statement
Conflicts of Interest
Nomenclature
| CPDC | change point detection and correlation analysis |
| HTGU | hydro-turbine generator units |
| kernelCPD | kernel change point detection |
| MIC | maximum information coefficient |
| P | active power |
| Vlgx | peak-to-peak value of vibration in X direction of the lower guide bearing |
| Vugx | peak-to-peak value of vibration in X direction of the upper guide bearing |
| Vwgx | peak-to-peak value of vibration in X direction of the water guide bearing |
References
- Zhao, W.; Egusquiza, M.; Estevez, A.; Presas, A.; Valero, C.; Valentín, D.; Egusquiza, E. Improved damage detection in Pelton turbines using optimized condition indicators and data-driven techniques. Struct. Health Monit. 2021, 20, 3239–3251. [Google Scholar] [CrossRef]
- Yang, Z.; Sun, G.; Behrens, P.; Østergaard, P.A.; Egusquiza, M.; Egusquiza, E.; Xu, B.; Chen, D.; Patelli, E. The potential for photovoltaic-powered pumped-hydro systems to reduce emissions, costs, and energy insecurity in rural China. Energy Convers. Manag. X 2021, 11, 100108. [Google Scholar] [CrossRef]
- Saeed, A.; Li, C.; Gan, Z.; Xie, Y.; Liu, F. A simple approach for short-term wind speed interval prediction based on independently recurrent neural networks and error probability distribution. Energy 2022, 238, 122012. [Google Scholar] [CrossRef]
- Feng, C.; Zheng, Y.; Li, C.; Mai, Z.; Wu, W.; Chen, H. Cost advantage of adjustable-speed pumped storage unit for daily operation in distributed hybrid system. Renew. Energy 2021, 176, 1–10. [Google Scholar] [CrossRef]
- Zhao, W.; Egusquiza, M.; Valero, C.; Valentín, D.; Presas, A.; Egusquiza, E. On the use of artificial neural networks for condition monitoring of pump-turbines with extended operation. Measurement 2020, 163, 107952. [Google Scholar] [CrossRef]
- Xiong, H.; Egusquiza, M.; Alberg Østergaard, P.; Pérez-Díaz, J.I.; Sun, G.; Egusquiza, E.; Patelli, E.; Xu, B.; Duan, H.; Chen, D.; et al. Multi-objective optimization of a hydro-wind-photovoltaic power complementary plant with a vibration avoidance strategy. Appl. Energy 2021, 301, 117459. [Google Scholar] [CrossRef]
- Wang, C.; Wang, D.; Zhang, J. Experimental Study on the Optimal Strategy for Power Regulation of Governing System of Hydropower Station. Water 2021, 13, 421. [Google Scholar] [CrossRef]
- Wang, C.; Wang, D.; Zhang, J. Experimental study on isolated operation of hydro-turbine governing system of Lunzua hydropower station in Zambia. Renew. Energy 2021, 180, 1237–1247. [Google Scholar] [CrossRef]
- Kahraman, G.; Ozdemir, O. Mathematical modeling of vibration failure caused by balancing effect in hydraulic turbines. Mech. Based Des. Struct. Mach. 2021. [Google Scholar] [CrossRef]
- Luo, J.; Wang, X.; Xu, Y. Vibration fault diagnosis for hydroelectric generating unit based on generalized S-transform and QPSO-SVM. In Proceedings of the 2019 IEEE Sustainable Power and Energy Conference (iSPEC), Beijing, China, 21–23 November 2019; pp. 2133–2137. [Google Scholar] [CrossRef]
- Xu, B.; Zhang, J.; Egusquiza, M.; Chen, D.; Li, F.; Behrens, P.; Egusquiza, E. A review of dynamic models and stability analysis for a hydro-turbine governing system. Renew. Sustain. Energy Rev. 2021, 144, 110880. [Google Scholar] [CrossRef]
- Celebioglu, K.; Altintas, B.; Aradag, S.; Tascioglu, Y. Numerical research of cavitation on Francis turbine runners. Int. J. Hydrog. Energy 2017, 42, 17771–17781. [Google Scholar] [CrossRef]
- Xu, B.; Luo, X.; Egusquiza, M.; Ye, W.; Liu, J.; Egusquiza, E.; Chen, D.; Guo, P. Nonlinear modal interaction analysis and vibration characteristics of a francis hydro-turbine generator unit. Renew. Energy 2021, 168, 854–864. [Google Scholar] [CrossRef]
- Zhang, H.; Chen, D.; Xu, B.; Patelli, E.; Tolo, S. Dynamic analysis of a pumped-storage hydropower plant with random power load. Mech. Syst. Signal Process. 2018, 100, 524–533. [Google Scholar] [CrossRef] [Green Version]
- Xu, Y.; Li, Z.; Lai, X. Dynamic Model for Hydro-Turbine Generator Units Based on a Database Method for Guide Bearings. Shock Vib. 2013, 20, 426849. [Google Scholar] [CrossRef]
- Zeng, Y.; Zhang, L.; Guo, Y.; Qian, J.; Zhang, C. The generalized Hamiltonian model for the shafting transient analysis of the hydro turbine generating sets. Nonlinear Dynam. 2014, 76, 1921–1933. [Google Scholar] [CrossRef] [Green Version]
- Li, R.; Li, C.; Peng, X.; Wei, W. Electromagnetic Vibration Simulation of a 250-MW Large Hydropower Generator with Rotor Eccentricity and Rotor Deformation. Energies 2017, 10, 2155. [Google Scholar] [CrossRef] [Green Version]
- Li, J.; Chen, D.; Liu, G.; Gao, X.; Miao, K.; Li, Y.; Xu, B. Analysis of the gyroscopic effect on the hydro-turbine generator unit. Mech. Syst. Signal Process. 2019, 132, 138–152. [Google Scholar] [CrossRef]
- Sun, W.; Guo, Z. Mathematical modeling and nonlinear vibration analysis of a coupled hydro-generator shaft-foundation system. Commun. Nonlinear Sci. Numer. Simul. 2021, 98, 105776. [Google Scholar] [CrossRef]
- Shi, Y.; Zhou, J.; Lai, X.; Xu, Y.; Guo, W.; Liu, B. Stability and sensitivity analysis of the bending-torsional coupled vibration with the arcuate whirl of hydro-turbine generator unit. Mech. Syst. Signal Process. 2021, 149, 107306. [Google Scholar] [CrossRef]
- Zhang, L.; Wu, Q.; Ma, Z.; Wang, X. Transient vibration analysis of unit-plant structure for hydropower station in sudden load increasing process. Mech. Syst. Signal Process. 2019, 120, 486–504. [Google Scholar] [CrossRef]
- Bi, Y.; Zheng, B.; Zhang, Y.; Zhu, X.; Jiang, Y.; Li, C. Vibration trend prediction of hydroelectric generating unit based on MIC and BiGRU. J. Hydraul. Eng. 2021, 52, 612–621, 632. [Google Scholar] [CrossRef]
- Granger, C. Investigating Causal Relations by Econometric Models and Cross-Spectral Methods. Econometrica 1969, 37, 424–438. [Google Scholar] [CrossRef]
- Hu, M.; Liang, H. A copula approach to assessing Granger causality. Neuroimage 2014, 100, 125–134. [Google Scholar] [CrossRef]
- Montalto, A.; Stramaglia, S.; Faes, L.; Tessitore, G.; Prevete, R.; Marinazzo, D. Neural networks with non-uniform embedding and explicit validation phase to assess Granger causality. Neural Netw. 2015, 71, 159–171. [Google Scholar] [CrossRef] [PubMed] [Green Version]
- Siggiridou, E.; Kugiumtzis, D. Granger Causality in Multivariate Time Series Using a Time-Ordered Restricted Vector Autoregressive Model. IEEE T. Signal Process. 2016, 64, 1759–1773. [Google Scholar] [CrossRef]
- Yang, G.; Wang, L.; Wang, X. Reconstruction of Complex Directional Networks with Group Lasso Nonlinear Conditional Granger Causality. Sci. Rep. 2017, 7, 2991. [Google Scholar] [CrossRef] [PubMed] [Green Version]
- Thomas, S. Measuring Information Transfer. Phys. Rev. Lett. 2000, 85, 461–464. [Google Scholar] [CrossRef] [Green Version]
- Kugiumtzis, D. Direct-coupling information measure from nonuniform embedding. Phys. Rev. E 2013, 87, 062918. [Google Scholar] [CrossRef] [Green Version]
- Kugiumtzis, D. Partial transfer entropy on rank vectors. Eur. Phys. J. Spec. Top. 2013, 222, 401–420. [Google Scholar] [CrossRef] [Green Version]
- Sugihara, G.; May, R.; Ye, H.; Hsieh, C.h.; Deyle, E.; Fogarty, M.; Munch, S. Detecting Causality in Complex Ecosystems. Science 2012, 338, 496–500. [Google Scholar] [CrossRef]
- An, X. Vibration Characteristics and Fault Diagnosis for Hydraulic Generator Units; Huazhong University of Science & Technology: Wuhan, China, 2009. [Google Scholar]
- Pennacchi, P.; Borghesani, P.; Chatterton, S. A cyclostationary multi-domain analysis of fluid instability in Kaplan turbines. Mech. Syst. Signal Process. 2015, 60–61, 375–390. [Google Scholar] [CrossRef]
- Xu, B.; Chen, D.; Li, H.; Yan, D. Effects of parameter variation on a Pelton hydropower station system’s shafting vibration. J. Vib. Shock 2019, 38, 10–18. [Google Scholar] [CrossRef]
- Xu, B.; Chen, D.; Zhang, H.; Li, C.; Zhou, J. Shaft mis-alignment induced vibration of a hydraulic turbine generating system considering parametric uncertainties. J. Sound Vib. 2018, 435, 74–90. [Google Scholar] [CrossRef]
- Yan, D.; Chen, Q.; Zheng, Y.; Liu, W. Parameter sensitivity and dynamic characteristic analysis of bulb hydro generating unit with shaft crack fault. Mech. Syst. Signal Process. 2021, 158, 107732. [Google Scholar] [CrossRef]
- Pereira, J.G., Jr.; Favrel, A.; Andolfatto, L.; Landry, C.; Alligné, S.; Nicolet, C.; Avellan, F. Procedure for predicting part load resonance in Francis turbine hydropower units based on swirl number and local cavitation coefficient similitude. Mech. Syst. Signal Process. 2019, 132, 84–101. [Google Scholar] [CrossRef]
- Yu, Z.F.; Wang, W.Q.; Yan, Y.; Liu, X.S. Energy loss evaluation in a Francis turbine under overall operating conditions using entropy production method. Renew. Energy 2021, 169, 982–999. [Google Scholar] [CrossRef]
- Guo, B.; Xu, B.; Chen, D.; Ye, W.; Li, H. Vibration Characteristics of a Hydroelectric Generating System During the Load Rejection Process. J. Comput. Nonlinear Dyn. 2019, 14, 071006. [Google Scholar] [CrossRef]
- Yan, Z.A.; Cui, X.; Su, S. Electrical Machinery, 2nd ed.; Xi’an Jiaotong University Press: Xi’an, China, 2006. [Google Scholar]
- Truong, C.; Oudre, L.; Vayatis, N. Selective review of offline change point detection methods. Signal Process. 2020, 167, 107299. [Google Scholar] [CrossRef] [Green Version]
- Xu, B.; Chen, D.; Zhang, H.; Li, H. Stability of a hydro-turbine governing system under stochastic fluctuating speed. J. Vib. Shock 2018, 37, 226–231. [Google Scholar] [CrossRef]
- Reshef, D.N.; Reshef, Y.A.; Finucane, H.K.; Grossman, S.R.; McVean, G.; Turnbaugh, P.J.; Lander, E.S.; Mitzenmacher, M.; Sabeti, P.C. Detecting Novel Associations in Large Data Sets. Science 2011, 334, 1518–1524. [Google Scholar] [CrossRef] [Green Version]
- Liang, J.; Feng, C.; Song, P. A Survey on Correlation Analysis of Big Data. Chin. J. Comput. 2016, 39, 1–18. [Google Scholar] [CrossRef]
- Wang, T. Causality in big data and its philosophical connotation. Soc. Sci. China 2016, 05, 22–42. [Google Scholar]







| Item | Parameter |
|---|---|
| kernel function | |
| kernel parameter γ | 0.1 |
| minimum segment length | 10 |
| penalty value | 3 |
| 1–472 min | 1–1400 min | 509–1400 min | |
|---|---|---|---|
| cosine | 0.867 | 0.892 | 0.999 |
| MIC | 0.227 | 0.611 | 0.886 |
| Variance | n = 10 | n = 100 | n = 1000 |
|---|---|---|---|
| cosine | 7.89 × 10−3 | 3.77 × 10−4 | 4.565 × 10−5 |
| MIC | 4.94 × 10−2 | 4.83 × 10−3 | 6.48 × 10−4 |
Publisher’s Note: MDPI stays neutral with regard to jurisdictional claims in published maps and institutional affiliations. |
© 2022 by the authors. Licensee MDPI, Basel, Switzerland. This article is an open access article distributed under the terms and conditions of the Creative Commons Attribution (CC BY) license (https://creativecommons.org/licenses/by/4.0/).
Share and Cite
Duan, L.; Wang, D.; Wang, G.; Han, C.; Zhang, W.; Liu, X.; Wang, C.; Che, Z.; Chen, C. Piecewise Causality Study between Power Load and Vibration in Hydro-Turbine Generator Unit for a Low-Carbon Era. Energies 2022, 15, 1207. https://doi.org/10.3390/en15031207
Duan L, Wang D, Wang G, Han C, Zhang W, Liu X, Wang C, Che Z, Chen C. Piecewise Causality Study between Power Load and Vibration in Hydro-Turbine Generator Unit for a Low-Carbon Era. Energies. 2022; 15(3):1207. https://doi.org/10.3390/en15031207
Chicago/Turabian StyleDuan, Lianda, Dekuan Wang, Guiping Wang, Changlin Han, Weijun Zhang, Xiaobo Liu, Cong Wang, Zheng Che, and Chang Chen. 2022. "Piecewise Causality Study between Power Load and Vibration in Hydro-Turbine Generator Unit for a Low-Carbon Era" Energies 15, no. 3: 1207. https://doi.org/10.3390/en15031207
APA StyleDuan, L., Wang, D., Wang, G., Han, C., Zhang, W., Liu, X., Wang, C., Che, Z., & Chen, C. (2022). Piecewise Causality Study between Power Load and Vibration in Hydro-Turbine Generator Unit for a Low-Carbon Era. Energies, 15(3), 1207. https://doi.org/10.3390/en15031207

