Bio-Oil Derived from Teff Husk via Slow Pyrolysis Process in Fixed Bed Reactor and Its Characterization
Abstract
1. Introduction
2. Materials and Methods
2.1. Feedstock Collection and Preparation
2.2. Feedstock Characterization
2.3. Pyrolysis Experimental Procedure
2.4. Product Analysis
3. Results and Discussion
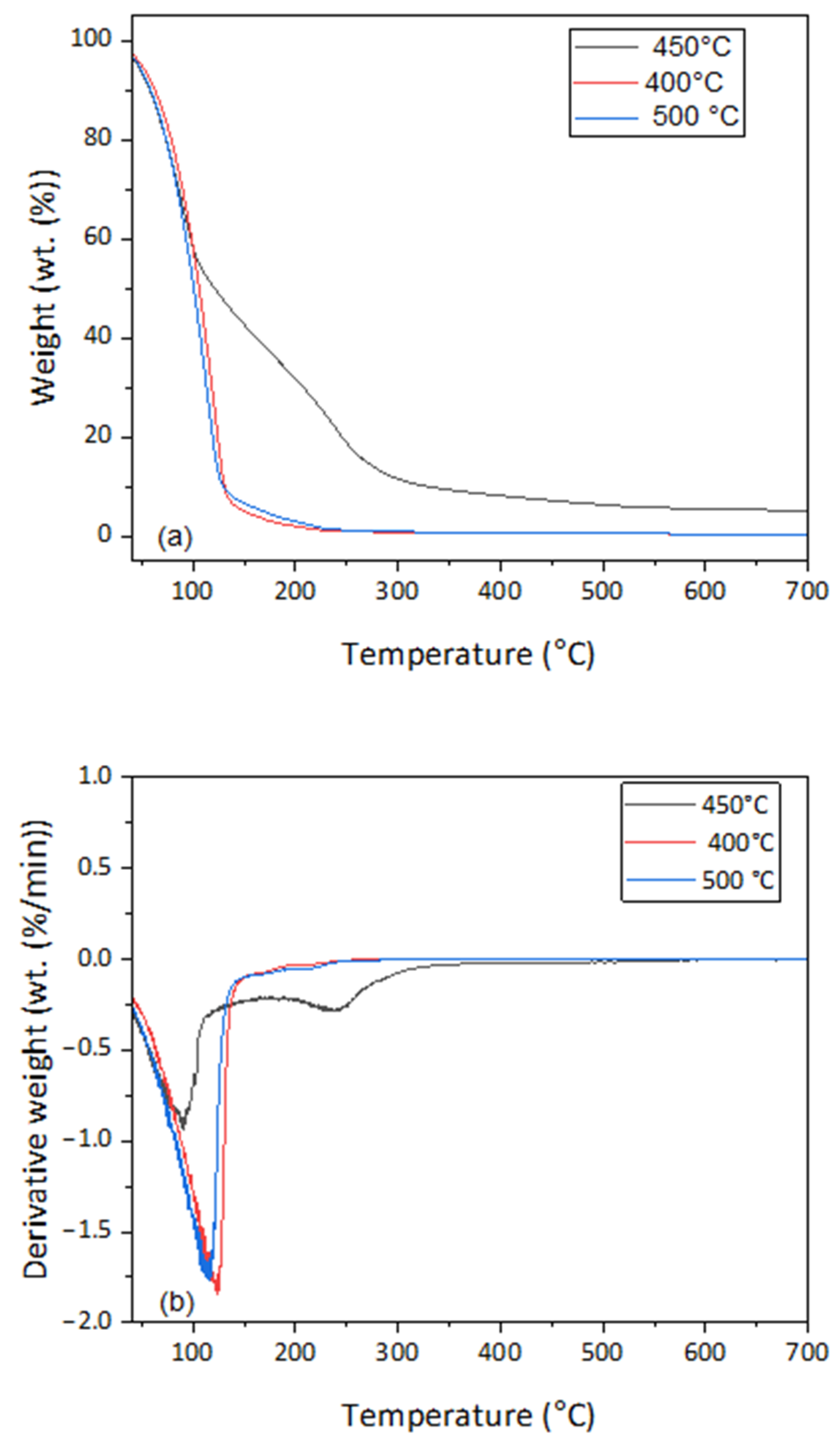
3.1. Characteristics of Feedstock
3.2. Product Yield
3.3. Properties of Produced Bio-Oil
3.4. Comparison of Teff Husk Bio-Oil with Other Pyrolysis Bio-Oil and Fuel
4. Conclusions
Author Contributions
Funding
Data Availability Statement
Acknowledgments
Conflicts of Interest
Nomenclature
| BT | Bio-oil at a given temperature |
| DTG | Derivative thermogravimetric |
| EDX | Energy dispersive X-ray spectroscopy |
| FTIR | Fourier Transform Infrared Spectroscopy |
| GHG | Greenhouse gas |
| HHV | Higher heating value |
| PID | proportional integral derivative |
| TH | Teff husk |
| TGA | Thermogravimetric Analysis |
References
- Yong, K.J.; Wu, T.Y. Second-Generation Bioenergy from Oilseed Crop Residues: Recent Technologies, Techno-Economic Assessments and Policies. Energy Convers. Manag. 2022, 267, 115869. [Google Scholar] [CrossRef]
- Sugumaran, V.; Prakash, S.; Ramu, E.; Arora, A.K.; Bansal, V.; Kagdiyal, V.; Saxena, D. Detailed Characterization of Bio-Oil From Pyrolysis of Non-Edible Seed-Cakes by Fourier Transform Infrared Spectroscopy (Ftir) and Gas Chromatography Mass Spectrometry (Gc–Ms) Techniques. J. Chromatogr. B 2017, 1058, 47–56. [Google Scholar] [CrossRef] [PubMed]
- Pikon, K.; Kajda-Szczesniak, M.; Bogacka, M. Environmental effect of co-combustion of coal with wood waste in low-power boilers. Przem. Chem. 2015, 94, 1548–1550. [Google Scholar]
- Bogacka, M.; Pikon, K. Best practice in environmental impact evaluation based on LCA—Methodologies review 14th International Multidisciplinary Scientific Geo-conference (SGEM), Geo-conference on ecology, economics, education and legislation. Sil. Univ. Technol. 2014, 2, 101–108. [Google Scholar]
- Badyda, K.; Krawczyk, P.; Pikon, K. Relative environmental footprint of waste-based fuel burned in a power boiler in the context of end-of-waste criteria assigned to the fuel. Energy 2016, 100, 425–430. [Google Scholar] [CrossRef]
- Su, G.; Zulkifli, N.W.M.; Ong, H.C.; Ibrahim, S.; Bu, Q.; Zhu, R. Pyrolysis of Oil Palm Wastes for Bioenergy in Malaysia: A Review. Renew. Sustain. Energy Rev. 2022, 164, 112554. [Google Scholar] [CrossRef]
- Zhuang, X.; Wang, W.; Yu, Q.; Qi, W.; Wang, Q.; Tan, X.; Zhou, G.; Yuan, Z. Liquid hot water pretreatment of ligno-cellulosic biomass for bioethanol production accompanying with high valuable products. Bioresour. Technol. 2016, 199, 68–75. [Google Scholar] [CrossRef] [PubMed]
- Venkatachalam, R.P.; Subramanian, P.; Doraiswamy, U. Characterization of Bio-residues for Bio-oil Production Through Pyrolysis. Bioresour. Technol. 2013, 138, 71–78. [Google Scholar]
- Onay, Ö. Production of Bio-Oil from Biomass: Slow Pyrolysis of Rapeseed (Brassica naps L.) in a Fixed-Bed Reactor. Energy Sources 2003, 25, 879–892. [Google Scholar] [CrossRef]
- Dhyani, V.; Bhaskar, T. A comprehensive review on the pyrolysis of lignocellulosic biomass. Renew. Energy 2018, 129, 695–716. [Google Scholar] [CrossRef]
- Li, K.; Liu, R.H.; Sun, C. A review of methane production from agricultural residues in China. Renew. Sustain. Energy Rev. 2016, 54, 857–865. [Google Scholar] [CrossRef]
- Brown, R.C. Thermochemical Processing of Biomass: Conversion into Fuels, Chemicals and Power; Wiley: New York, NY, USA, 2019. [Google Scholar]
- Wang, S.R.; Dai, G.X.; Yang, H.P.; Luo, Z.Y. Lignocellulosic biomass pyrolysis mechanism: A state-of-the-art review. Prog. Energy Combust. Sci. 2017, 62, 33–86. [Google Scholar] [CrossRef]
- Chintala, V. Production, upgradation and utilization of solar assisted pyrolysis fuels from biomass—A technical review. Renew. Sustain. Energy Rev. 2018, 90, 120–130. [Google Scholar] [CrossRef]
- Leng, E.W.; Zhang, Y.; Peng, Y.; Gong, X.; Mao, M.; Li, X.M.; Yu, Y. In situ structural changes of crystalline and amorphous cellulose during slow pyrolysis at low temperatures. Fuel 2018, 216, 313–321. [Google Scholar] [CrossRef]
- Mohamed Noor, N.; Shariff, A.; Abdullah, N. Slow Pyrolysis of Cassava Wastes for Biochar Production and Characterization. Iran. J. Energy Environ. 2012, 3, 60–65. [Google Scholar] [CrossRef]
- Czernik, S.; Bridgwater, A.V. Overview of applications of biomass fast pyrolysis oil. Energy Fuels 2004, 18, 590–598. [Google Scholar] [CrossRef]
- Ozbay, N.; Apaydin-Varol, E.; Uzun, B.B.; Putun, A.E. Characterization of bio-oil obtained from fruit pulp pyrolysis. Energy 2008, 33, 1233–1240. [Google Scholar] [CrossRef]
- Islam, M.R.; Tushar, M.S.H.K.; Haniu, H. Production of liquids fuels and chemicals from pyrolysis of Bangladeshi bicycle/rickshaw tire wastes. J. Anal. Appl. Pyrolysis 2008, 82, 96–109. [Google Scholar] [CrossRef]
- Wu, L.; Guo, S.; Wang, C.; Yang, Z. Production of alkanes (C7–C29) from different part of poplar tree via direct deoxy-liquefaction. Bioresour. Technol. 2009, 100, 2069–2076. [Google Scholar] [CrossRef] [PubMed]
- Lu, Q.; Li, W.-Z.; Zhu, X.-F. Overview of fuel properties of biomass fast pyrolysis oils. Energy Convers. Manag. 2009, 50, 1376–1383. [Google Scholar] [CrossRef]
- Rocha, J.D.; Luengo, C.A.; Snape, C.E. The scope for generating bio-oils with relatively low oxygen contents via hydro-pyrolysis. Org. Geochem. 1999, 30, 1527–1534. [Google Scholar] [CrossRef]
- Zhang, S.P.; Yan, Y.J.; Li, T.C.; Ren, Z.W. Upgrading of liquid fuel from the pyrolysis of biomass. Bioresour. Technol. 2005, 96, 545–550. [Google Scholar] [CrossRef]
- Elliott, D.C. Historical developments in hydro-processing bio-oils. Energy Fuels 2007, 21, 1792–1815. [Google Scholar] [CrossRef]
- Elliott, D.C.; Hart, T.R. Catalytic hydro-processing of chemical models for bio-oil. Energy Fuels 2009, 23, 631–637. [Google Scholar] [CrossRef]
- Adjaye, J.D.; Bakhshi, N.N. Production of hydrocarbons by catalytic upgrading of a fast pyrolysis bio-oil. Part I: Conversion over various catalysts. Fuel Process. Technol. 1995, 45, 185–202. [Google Scholar] [CrossRef]
- Adjaye, J.D.; Bakhshi, N.N. Production of hydrocarbon by catalytic upgrading of a fast pyrolysis bio-oil. 2. Comparative catalyst performance and reaction pathways. Fuel Process. Technol. 1995, 45, 185–202. [Google Scholar] [CrossRef]
- Hew, K.L.; Tamidi, A.M.; Yusup, S.; Lee, K.T.; Ahmad, M.M. Catalytic cracking of bio-oil to organic liquid product (OLP). Bioresour. Technol. 2010, 101, 8855–8858. [Google Scholar] [CrossRef]
- Luque, R.; Clark, J.H.; Yoshida, K.; Gai, P.L. Efficient aqueous hydrogenation of biomass platform molecules using supported metal nanoparticles on Starbons (R). Chem. Commun. 2009, 5, 305–307. [Google Scholar] [CrossRef]
- Vispute, T.P.; Huber, G.W. Production of hydrogen, alkanes and polyols by aqueous phase processing of wood-derived pyrolysis oils. Green Chem. 2009, 11, 1433–1445. [Google Scholar] [CrossRef]
- Gercel, H.F. Bio-oil production from Onopordum acanthium L. by slow pyrolysis. J. Anal. Appl. Pyrolysis 2011, 92, 233–238. [Google Scholar] [CrossRef]
- Gercel, H.F. Production and characterization of pyrolysis liquids from sunflower-pressed bagasse. Bioresour. Technol. 2002, 85, 113–117. [Google Scholar] [CrossRef]
- Sensoz, S.; Angin, D.; Yorgun, S. Bio-oil production from an oilseed crop: Fixedbed pyrolysis of rapeseed. Energy Sources 2000, 22, 891–901. [Google Scholar]
- Sensoz, S.; Demiral, I.; Gercel, H.F. Olive bagasse (Olea europea L.) pyrolysis. Bioresour. Technol. 2006, 97, 429–436. [Google Scholar] [CrossRef]
- Robinson, J.P.; Snape, C.E.; Kingman, S.W.; Shang, H. Thermal desorption and pyrolysis of oil contamined drill cutting by microwave heating. J. Anal. Appl. Pyrolysis 2008, 81, 27–32. [Google Scholar] [CrossRef]
- Uzun, B.B.; Sarioglu, N. Rapid and catalytic pyrolysis of corn stalks. Fuel Process. Technol. 2009, 90, 705–716. [Google Scholar] [CrossRef]
- Chiaramonti, D.; Oasmaa, A.; Solantausta, Y. Power generation using fast pyrolysis liquids from biomass. Renew. Sustain. Energy Rev. 2007, 11, 1056–1086. [Google Scholar] [CrossRef]
- Mohan, D.; Pittman, C.U.; Steele, P.H. Pyrolysis of wood/biomass for bio-oil: A critical review. Energy Fuels 2006, 20, 848–889. [Google Scholar] [CrossRef]
- Williams, P.T.; Nugranad, N. Comparison of products from the pyrolysis and catalytic pyrolysis of rice husks. Energy 2000, 25, 493–513. [Google Scholar] [CrossRef]
- Abnisa, F.; Wan Daud, W.M.A.; Husin, W.N.W.; Sahu, J.N. Utilization possibilities of palm shell as a source of biomass energy in Malaysia by producing bio-oil in pyrolysis process. Biomass Bioenergy 2011, 35, 1863–1872. [Google Scholar] [CrossRef]
- Di Blasi, C. Modelling chemical and physical processes of wood and biomass pyrolysis. Prog. Energy Combust. Sci. 2008, 34, 47–90. [Google Scholar] [CrossRef]
- Jung, S.-H.; Kang, B.-S.; Kim, J.-S. Production of bio-oil from rice straw and bamboo sawdust under various reaction conditions in a fast pyrolysis plant equipped with a fluidized bed and a char separation system. J. Anal. Appl. Pyrolysis 2008, 82, 240–247. [Google Scholar] [CrossRef]
- Wang, L.; Cen, L. Mechanism study of cellulose rapid pyrolysis. Ind. Eng. Chem. Res. 2004, 43, 5605–5610. [Google Scholar]
- Gabisa, E.W.; Gheewala, S.H. Potential of Bio-Energy Production in Ethiopia Based on Available Biomass Residues. Biomass Bioenergy 2018, 111, 77–87. [Google Scholar] [CrossRef]
- Hailu, A.D.; Kumsa, D.K. Ethiopia Renewable Energy Potentials and Current State. Aims Energy 2021, 9, 1–14. [Google Scholar] [CrossRef]
- Leite, S.; Leite, B.; Carrico, C.; Dell’Isola, A.T.; Dangelo, J.V. Characterization of Biomass Residues Aiming Energy and By-Products Generation. Chem. Eng. Trans. 2018, 65, 733–738. [Google Scholar]
- Tiruye, G.A.; Besha, A.T.; Mekonnen, Y.S.; Benti, N.E.; Gebreslase, G.A.; Tufa, R.A. Opportunities and Challenges of Renewable Energy Production in Ethiopia. Sustainability 2021, 13, 10381. [Google Scholar] [CrossRef]
- Yang, H.; Yan, R.; Chen, H.; Lee, D.H.; Zheng, C. Characteristics of hemicellulose, cellulose and lignin pyrolysis. Fuel 2007, 86, 1781–1788. [Google Scholar] [CrossRef]
- Aboulkas, A.; Hammani, H.; El Achaby, M.; Bilal, E.; Barakat, A.; El Harfi, K. Valorization of algal waste via pyrolysis in a fixed-bed reactor: Production and characterization of bio-oil and bio-char. Bioresour. Technol. 2017, 243, 400–408. [Google Scholar] [CrossRef] [PubMed]
- Hani, F.F.B.; Hailat, M.M. Production of Bio-Oil from Pyrolysis of Olive Biomass with/without Catalyst. Adv. Chem. Eng. Sci. 2016, 06, 488–499. [Google Scholar] [CrossRef][Green Version]
- Şensöz, S.; Angın, D.; Yorgun, S. Influence of particle size on the pyrolysis of rapeseed (Brassica napus L.): Fuel properties of bio-oil. Biomass Bioenergy 2000, 19, 271–279. [Google Scholar] [CrossRef]
- Taib, R.M.; Abdullah, N.; Aziz, N.S.M. Bio-oil derived from banana pseudo-stem via fast pyrolysis process. Biomass Bioenergy 2021, 148, 106034. [Google Scholar] [CrossRef]
- Yorgun, S.; Gülbaran Tülbentçi, H.S. Pyrolysis of Sunflower Press Bagasse: Heating Values and Energy Distribution of The Pyrolysis Products. Energy Sources 2003, 25, 809–817. [Google Scholar] [CrossRef]
- Tsai, W.; Lee, M.; Chang, Y. Fast pyrolysis of rice husk: Product yields and compositions. Bioresour. Technol. 2007, 98, 22–28. [Google Scholar] [CrossRef] [PubMed]
- Aylón, E.; Fernández-Colino, A.; Navarro, M.V.; Murillo, R.; García, T.; Mastral, A.M. Waste Tire Pyrolysis: Comparison between Fixed Bed Reactor and Moving Bed Reactor. Ind. Eng. Chem. Res. 2008, 47, 4029–4033. [Google Scholar] [CrossRef]






| Analysis | Results |
|---|---|
| Proximate Analysis (wt.% as dry bases) | |
| Moisture | 8.57 |
| Volatiles | 76.85 |
| Ash | 6.13 |
| Fixed carbon | 8.45 |
| Ultimate Analysis (wt.% as dry bases) | |
| Carbon | 41.39 |
| Hydrogen | 7.77 |
| Nitrogen | 2.323 |
| Sulphur | 0.055 |
| Chlorine | 0.0063 |
| Oxygen a | 48.46 |
| Calorific value | |
| HHV (MJ/kg) | 15.41 |
| Characteristic | Temperature |
|---|---|
| Results at 450 °C | |
| Ultimate analysis (wt.% as dry bases) | |
| Carbon | 49.87 |
| Hydrogen | 9.69 |
| Sulfur | 0.025 |
| Oxygen a | 37.0 |
| Calorific value | |
| HHV (MJ/kg) | 25.32 |
| Wave Number (cm−1) | Functional Group | Class of Compound | |
|---|---|---|---|
| Range | Actual | ||
| 2850–3000 | 2850.5–2925 | C–H stretching | Aliphatic/Alkane |
| 1706–1720 | 1706, 1709, 1712 | C=O stretching | Ketones, Carboxylic Acids, and Aldehydes |
| 1350–1480 | 1462–1465 | C–H bending | Alkanes |
| 1400–1600 | 1403–1449 | C–C stretching | Aromatic |
| 1210–1320 | 1281 | C–O stretching | Acid |
| 650–900 | 750 | C–H | Aromatic |
| 1300–950 | 126, 1050 | C–O stretching | Primary, secondary and tertiary alcohols, Phenols, esters and ethers |
| Type of Liquid | Teff Husk (450 °C) | BPS (500 °C) | Bio-Oil of BL | Mesocrap Fiber (Bottom Layer) | Petroleum Fuel |
|---|---|---|---|---|---|
| References | [52] | [54] | [2] | [55] | |
| Elemental analysis (wt.%) | |||||
| C | 49.87 | 3.78 | 55.9 | 58.93 | 85.2 |
| H | 9.69 | 9.56 | 7.8 | 8.67 | 11.1 |
| S | 0.025 | 0.72 | 0.08 | 0.0 | 2.3 |
| O | 37.0 | 84.6 | 35.3 | 31.73 | 1.0 |
| Calorific Value | |||||
| HHV (MJ/kg) | 25.32 | 5.35 | 25.0 | 27.97 | 42.94 |
Publisher’s Note: MDPI stays neutral with regard to jurisdictional claims in published maps and institutional affiliations. |
© 2022 by the authors. Licensee MDPI, Basel, Switzerland. This article is an open access article distributed under the terms and conditions of the Creative Commons Attribution (CC BY) license (https://creativecommons.org/licenses/by/4.0/).
Share and Cite
Landrat, M.; Abawalo, M.T.; Pikoń, K.; Turczyn, R. Bio-Oil Derived from Teff Husk via Slow Pyrolysis Process in Fixed Bed Reactor and Its Characterization. Energies 2022, 15, 9605. https://doi.org/10.3390/en15249605
Landrat M, Abawalo MT, Pikoń K, Turczyn R. Bio-Oil Derived from Teff Husk via Slow Pyrolysis Process in Fixed Bed Reactor and Its Characterization. Energies. 2022; 15(24):9605. https://doi.org/10.3390/en15249605
Chicago/Turabian StyleLandrat, Marcin, Mamo T. Abawalo, Krzysztof Pikoń, and Roman Turczyn. 2022. "Bio-Oil Derived from Teff Husk via Slow Pyrolysis Process in Fixed Bed Reactor and Its Characterization" Energies 15, no. 24: 9605. https://doi.org/10.3390/en15249605
APA StyleLandrat, M., Abawalo, M. T., Pikoń, K., & Turczyn, R. (2022). Bio-Oil Derived from Teff Husk via Slow Pyrolysis Process in Fixed Bed Reactor and Its Characterization. Energies, 15(24), 9605. https://doi.org/10.3390/en15249605

