Simulation Study of the Swirl Spray Atomization of a Bipropellant Thruster under Low Temperature Conditions
Abstract
:1. Introduction
2. Methodology
2.1. Governing Equation
2.2. Turbulence Model
2.3. Physical Model and Fluid Properties Assumptions
2.4. Postprocessing Method
3. Results and Discussion
4. Conclusions
- (1)
- The swirl spray of the MMH injector is distributed in the stable shape of a hollow cone spray, with a slight sensitivity to different temperatures. As the temperature decreases from 20 °C to −40 °C, the penetration distance and ejection velocity of the spray significantly reduce. This is because the increased kinematic viscosity and surface tension of MMH cause an extra loss in energy transformation from the pressure potential energy to the kinetic energy and then to the surface energy. This causes difficulties in the breakup of liquid films, ligaments and droplets.
- (2)
- The total surface area ratio of liquid increases obviously with rising temperatures. When the spray progresses to 4.5 ms, the surface area ratio at 20 °C rises to 3.2% compared with that at 0 °C, and the increase can reach up to 6.9% compared with the case at −40 °C. When the liquid temperature rises, a higher ejection velocity provides more energy for the liquid film surface wave fluctuation and gas–liquid dynamic interaction.
- (3)
- When atomized droplets fill the spray domain, the difference in droplets distribution is compared at different temperature. Under low temperature conditions, the number of small-sized droplets goes down, while the number of large-sized droplets grows significantly, and the spray quality is weakened.
- (4)
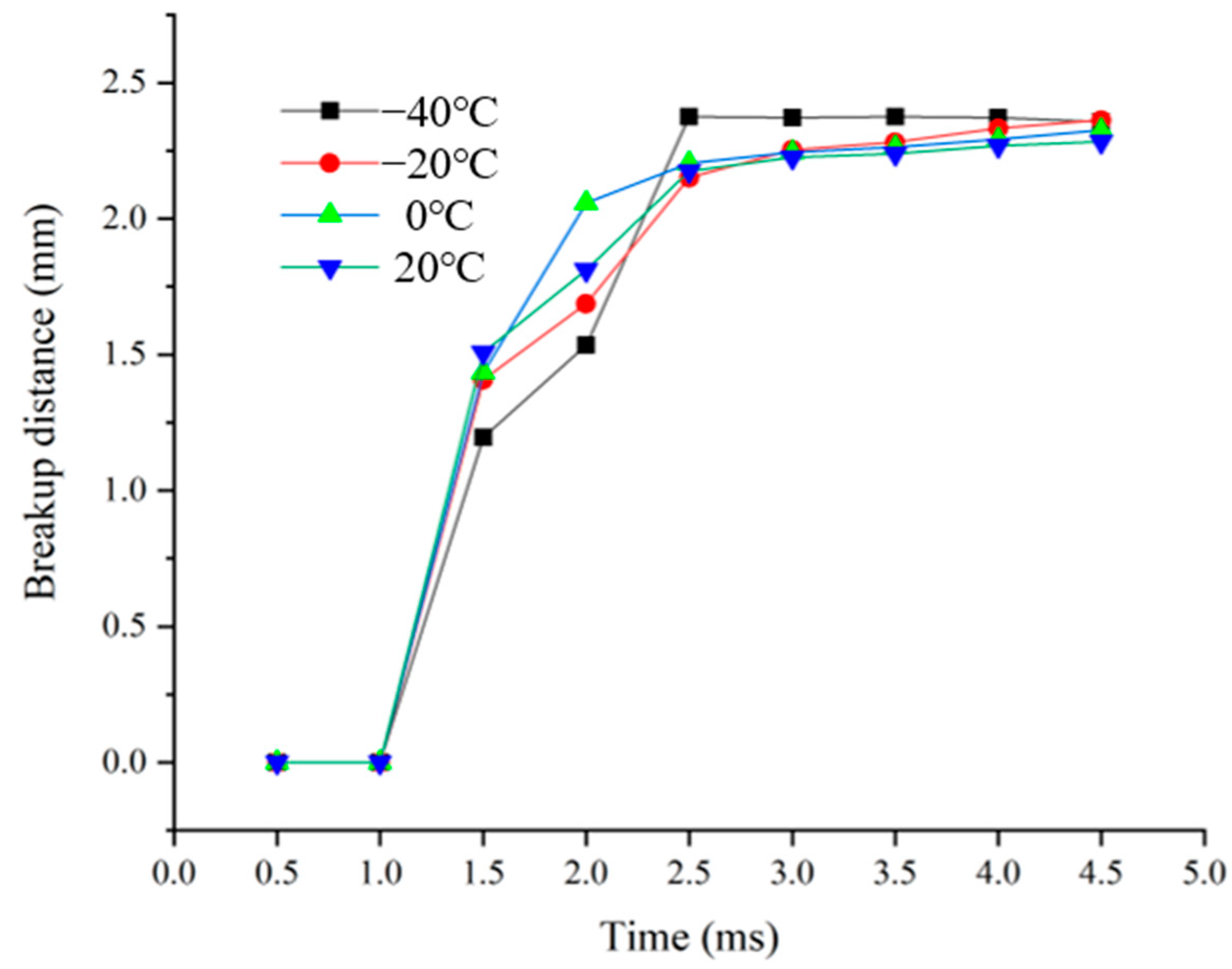
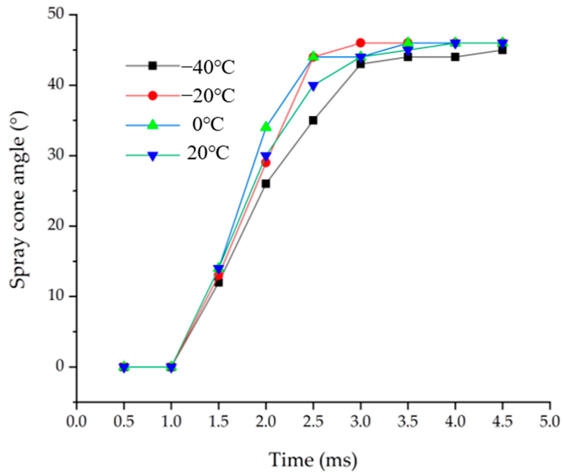
- The differences in the spray cone angle and breakup distance at different liquid temperatures are not significant, indicating that these characteristics are not sensitive to the change in physical properties and mainly depend on the injector structural parameters.
Author Contributions
Funding
Data Availability Statement
Conflicts of Interest
References
- Wang, F.S.; Mao, X.F.; Yu, Y.S.; Zhang, Z.; Ping, W. Numerical LES Study of Spray Performance in a Bi-Propellant Coaxial Centrifugal Injector. Aerosp. Control Appl. 2012, 38, 13–17. [Google Scholar]
- Li, Z.Y. Research on Fluid Characteristics and Structure Optimization of Rocket Injector; Guizhou University: Guiyang, China, 2018. [Google Scholar]
- Kang, Z.T. The Unsteady Atomization Mechanism and Combustion Characteristics of Gas-Liquid Swirl Coaxial Injector; National University of Defense Technology: Changsha, China, 2016. [Google Scholar]
- Ding, J.W.; Li, G.X.; Yu, Y.S. Study on the Influence of Nozzle Structure on Turbulence and Fuel Atomization in Nozzle Holes Based on Large Eddy Simulation; Chinese Society of Thrusterering Thermophysics: Beijing, Chian, 2012. [Google Scholar]
- Sheng, L.Y.; Li, Q.L.; Bai, X.; Kang, Z.T.; Cheng, P. Review on spray process of liquid-liquid coaxial swirl injector. J. Rocket Propuls. 2020, 46, 4–13. [Google Scholar]
- Wang, F.S.; Zhang, Z.; Lu, G.Q.; Chen, J.; Mao, X.F. Performance evaluation of low-freezing point propellant applied to space two-component thruster. In Proceedings of the 38th Technical Exchange Conference of China Aerospace Third Professional Information Network and the 2nd Aerospace Proceedings of Tiandian Joint Conference—Liquid Propulsion Technology, Dalian, China, 23–27 August 2017; p. 7. [Google Scholar]
- Chu, G.B. Introduction to Aerospace Technology; China Aerospace Press: Beijing, China, 2002; pp. 18–20. [Google Scholar]
- Ye, P.J.; Sun, Z.Z.; Rao, W. Research and Development of Chang’e-1. Spacecr. Thrusterering 2007, 16, 9–15. [Google Scholar]
- Huang, J.C.; Rao, W.; Meng, L.Z.; Huang, H. Analysis of the Technical Characteristic on Chang’ e-2 Lunar Orbiter. Spacecr. Thrusterering 2010, 19, 7–11. [Google Scholar]
- Ding, Y.; Bao, S.L.; Yu, Y.X.; Gao, X.X.; Xie, J.L.; Chen, J.Y. Recent advances on jet atomization in cryogenic liquid rocket combustion chamber. J. Aerosp. Power. 2022, 37, 802–814. [Google Scholar]
- Zhang, Z.Q.; Hao, Y.Y.; Chen, Z.B. Kinematic viscosity characteristics of aviation jet fuel RP-3. Mod. Mach. 2020, 1, 38–40. [Google Scholar]
- Wei, Z.X.; Ma, H.A.; Fu, S.Q.; Gong, J.B.; Miao, L. Experimental and Numerical Study on Flow Field Characteristics of a Dual-orifice Centrifugal Nozzle. J. Binzhou Univ. 2022, 38, 5–13. [Google Scholar]
- Rostami, E.; Mahdavy, M.H. Experimental comparison of the spray atomization of heavy and light fuel oil at different temperature and pressures for pressure-swirl injector. Proc. Inst. Mech. Thrusterers Part A J. Power Energy 2021, 35, 694–1717. [Google Scholar] [CrossRef]
- Li, W.; Cai, W.; Duan, Z.; Dong, D.; Yan, Y. Effect of Fuel Temperature on the Atomization Characteristics for Swirl Injector. At. Spray 2020, 30, 697–711. [Google Scholar] [CrossRef]
- Shahnaz, R.; Foad, V.; Gyongwon, R.; Jeekeun, L. On the correlation of the primary breakup length with fuel temperature in pressure swirl nozzle. Fuel 2019, 258, 116094. [Google Scholar]
- Liu, A.G.; Wang, D.; Yu, H.Y.; Liu, K.; Chen, L. Effect of fuel temperature on atomization characteristics of centrifugal nozzle. J. Aerosp. Power 2020, 35, 1793–1800. [Google Scholar]
- Zhao, Q.P.; Yang, J.H.; Liu, C.X.; Liu, F.Q.; Mu, Y.; Hu, C.Y.; Xu, G. Numerical investigation of high altitude aerodynamic and spray fields for multi-swirl airblast atomizer. J. Aerosp. Power 2021, 36, 2555–2567. [Google Scholar]
- Chen, F.X.; He, X.M.; Zhou, J.W. Effects of Trumpet Angle on Spray Angle Characteristics of Pressure Swirl Atomizer. J. Propuls. Techno Logy. 2022, 43, 229–237. [Google Scholar]
- Zhao, X.T.; Lu, Y.; Xing, Y. Study on Spray Simulation of Centrifugal Nozzles. J. Thrusterering Therm. Energy Power 2020, 35, 65–70. [Google Scholar]
- Xu, W.; Gao, X.N.; Hu, B.L.; Yang, J.W.; Yang, B.; Ying, W. Numerical simulation of primary breakup and secondary atomization for centrifugal nozzle. J. Rocket Propuls. 2022, 48, 13–20. [Google Scholar]
- Nazeer, Y.H.; Ehmann, M.; Sami, M.; Gavaises, M. Atomization Mechanism of Internally Mixing Twin-Fluid Y-Jet Atomizer. J. Energy Eng. 2021, 147, 04020075. [Google Scholar] [CrossRef]
- Wang, L.; Fang, B.; Wang, G.C. Process of Pressure Swirl Nozzle Atomization Based on Large Eddy Simulation. J. Propuls. Technol. 2021, 42, 1855–1864. [Google Scholar]
- Yu, L.; Zhou, H.M. LES/VOF Numerical Simulation of Flow in Centrifugal Nozzle. J. Nav. Aeronaut. Astronaut. Univ. 2017, 32, 154–160. [Google Scholar]
- Ren, X.H. Numerical Simulation of Primary Breakup and Secondary Atomization for Centrifugal Nozzle; China University of Petroleum: Beijing, China, 2019. [Google Scholar]
- Clark, R.A.; Ferziger, J.H.; Reynolds, W.C. Evaluation of subgrid-scale models using an accurately simulated turbulent flow. J. Fluid Mech. 1979, 91, 1–16. [Google Scholar] [CrossRef]
- Menon, S. Subgrid combustion modelling for large-eddy simulations. Int. J. Thruster Research. 2000, 1, 209–227. [Google Scholar] [CrossRef]
- Stephan, W.; Martin, H.; Hans, H. Molecular simulation of the surface tension of 33 multi-site models for real fluids. J. Mol. Liquids. 2017, 235, 126–134. [Google Scholar]
- Kevin, S.; Fabien, P.; Eric, D. Adaptive mesh refinement algorithm based on dual trees for cells and faces for multiphase compressible flows. J. Comput. Phys. 2019, 388, 252–278. [Google Scholar]
- Rettenmaier, D.; Deising, D.; Ouedraogo, Y.; Gjonaj, E.; De Gersem, H.; Bothe, D.; Tropea, C.; Marschall, H. Load balanced 2D and 3D adaptive mesh refinement in OpenFOAM. SoftwareX 2019, 10, 100317. [Google Scholar] [CrossRef]
- Luo, F.Q.; Deng, R.; Wang, Y.Q.; Yan, Z.P.; Wu, T.C. Research on the Calculation Strategy of Adaptive Mesh Refinement Based on OpenFOAM. Shipbuild China 2020, 61, 169–178. [Google Scholar]
- Zhang, Z.; Yu, Y.; Cao, J. Effect of Upstream Valve Opening Process on Dynamic Spray Atomization. Micromachines 2022, 13, 527. [Google Scholar] [CrossRef]
- Zhang, Z.; Shin, D. Effect of ambient pressure oscillation on the primary breakup of cylindrical liquid jet spray. Int. J. Spray Combust. Dyn. 2020, 12, 1756827720935553. [Google Scholar] [CrossRef]
- Nie, Y.H. Numerical Simulation of the Vortex Nozzle Jet Atomization Process; Harbin Engineering University: Harbin, China, 2020. [Google Scholar]
- Jan, J.; Miroslav, J. Energy considerations in spraying process of a spill-return pressure-swirl atomizer. Appl. Energy 2014, 132, 485–495. [Google Scholar]
- Chen, J.W.; Zhang, Z.W.; Wang, C.Z.; Jin, C.S. Effects of liquid viscosity and surface tension on particle size of atomized particles. J. Northeast. Univ. (Nat. Sci. Ed.) 2010, 31, 1023–1025. [Google Scholar]
- Pei, N.; Yang, H.; Liu, L.S.; Zhang, H.Y.; Wang, Y.; Xie, J.; Tian, L.; Duan, R. Effect of Nozzle Structure on Spray Characteristics of Twin-swirl Bubble atomizer. Fluid Mach. 2021, 49, 1–5+12. [Google Scholar]
- Yu, H.Y.; Liu, A.G.; Chen, S.; Liu, K.; Zeng, W. Influence of Structural Parameters on Atomization Characteristics of Pneumatic Atomizing Nozzle. J. Shenyang Aeronaut. Astronaut. Univ. 2020, 37, 1–9. [Google Scholar]
- Javaprakash, N.; Chakravarthy, S. Impingement atomization of gel fuels. In Proceedings of the 41st Aerospace Sciences Meeting and Exhibit, Reno, NV, USA, 6–9 January 2003. [Google Scholar]
- Yoon, Y.; Jeung, I. Effects of ambient gas pressure on the breakup of sprays in like-doublet and swirl coaxial injectors. In Proceedings of the International Symposium on “Energy Conversion Fundamentals”, Istanbul, Turkey, 21–25 June 2004; p. 35. [Google Scholar]
- Liu, J.; Li, Q.L.; Liu, W.D.; Wang, Z.G. Experiment on liquid sheet breakup process of pressure swirl injector. J. Propuls. Technol. 2011, 32, 539–543. [Google Scholar]











| Temperature (°C) | Nozzle Outlet Velocity (m/s) | Reynolds Number | Weber Number | Ohnesorge Number |
|---|---|---|---|---|
| 20 | 8.01 | 4209.70 | 523.09 | 0.005433 |
| 0 | 7.70 | 2519.58 | 456.96 | 0.008484 |
| −20 | 7.57 | 1590.81 | 421.59 | 0.012907 |
| −40 | 7.39 | 1054.16 | 388.69 | 0.018702 |
Publisher’s Note: MDPI stays neutral with regard to jurisdictional claims in published maps and institutional affiliations. |
© 2022 by the authors. Licensee MDPI, Basel, Switzerland. This article is an open access article distributed under the terms and conditions of the Creative Commons Attribution (CC BY) license (https://creativecommons.org/licenses/by/4.0/).
Share and Cite
Li, H.; Feng, J.; Cao, X.; Zhang, Z.; Liang, H.; Yu, Y. Simulation Study of the Swirl Spray Atomization of a Bipropellant Thruster under Low Temperature Conditions. Energies 2022, 15, 8852. https://doi.org/10.3390/en15238852
Li H, Feng J, Cao X, Zhang Z, Liang H, Yu Y. Simulation Study of the Swirl Spray Atomization of a Bipropellant Thruster under Low Temperature Conditions. Energies. 2022; 15(23):8852. https://doi.org/10.3390/en15238852
Chicago/Turabian StyleLi, Haifu, Jihong Feng, Xinyue Cao, Zhen Zhang, Hongbo Liang, and Yusong Yu. 2022. "Simulation Study of the Swirl Spray Atomization of a Bipropellant Thruster under Low Temperature Conditions" Energies 15, no. 23: 8852. https://doi.org/10.3390/en15238852
APA StyleLi, H., Feng, J., Cao, X., Zhang, Z., Liang, H., & Yu, Y. (2022). Simulation Study of the Swirl Spray Atomization of a Bipropellant Thruster under Low Temperature Conditions. Energies, 15(23), 8852. https://doi.org/10.3390/en15238852

