Experimental Study on the Catalytic Ignition Characteristics of a Dual-Mode Ionic Liquid Propellant in Model Thrusters
Abstract
1. Introduction
2. Methodology
2.1. Model Thruster and Experimental Setup
2.2. Experimental Procedure
3. Catalytic Ignition Experiment of a Model Thruster without the Convergent Nozzle
3.1. Variation of Catalytic Bed Temperatures
3.2. Analysis of Gaseous Products of the Catalytic Ignition Process in a Model Thruster without the Convergent Nozzle
4. Catalytic Ignition Experiment of a Model Thruster with the Convergent Nozzle
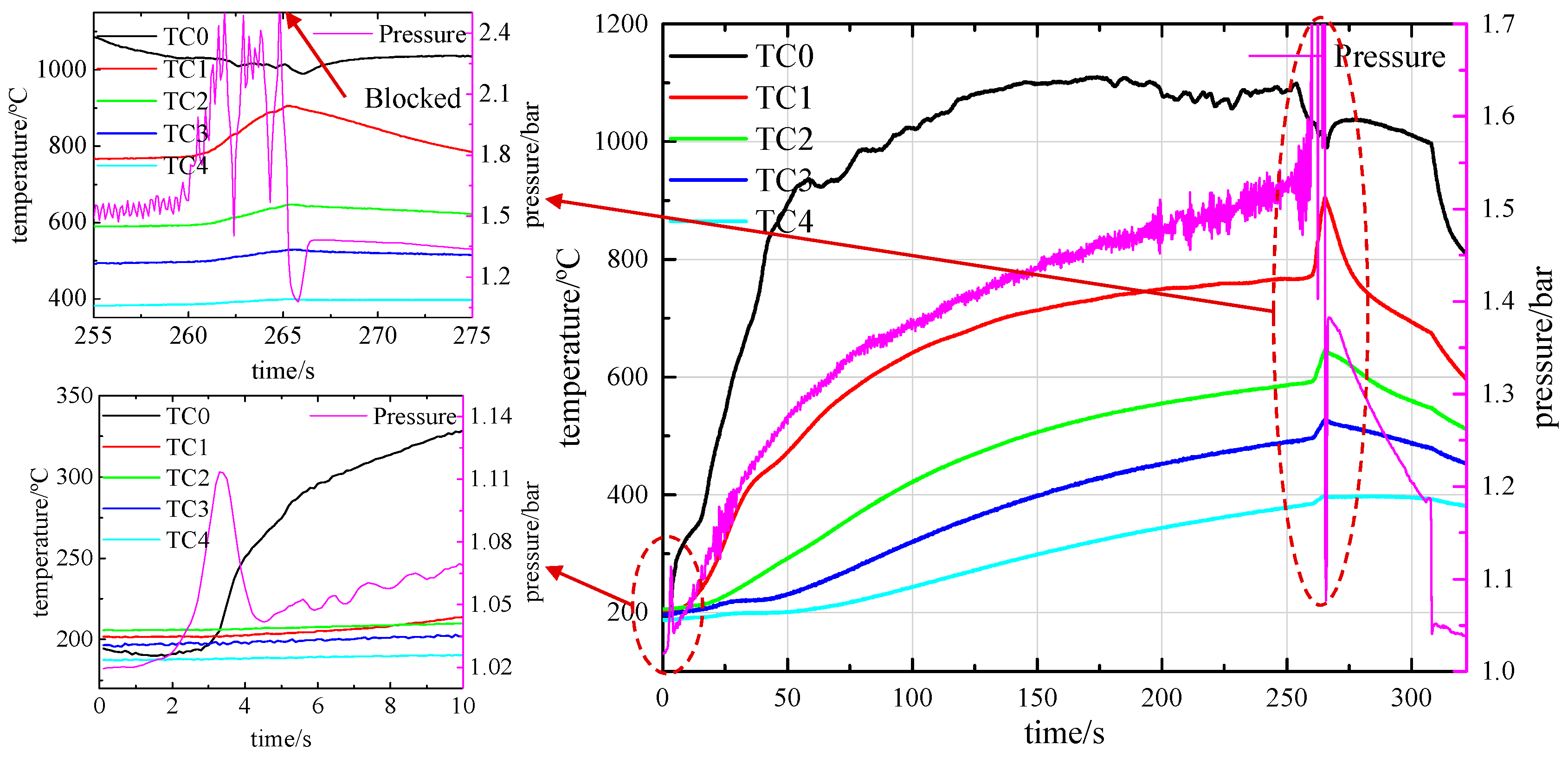
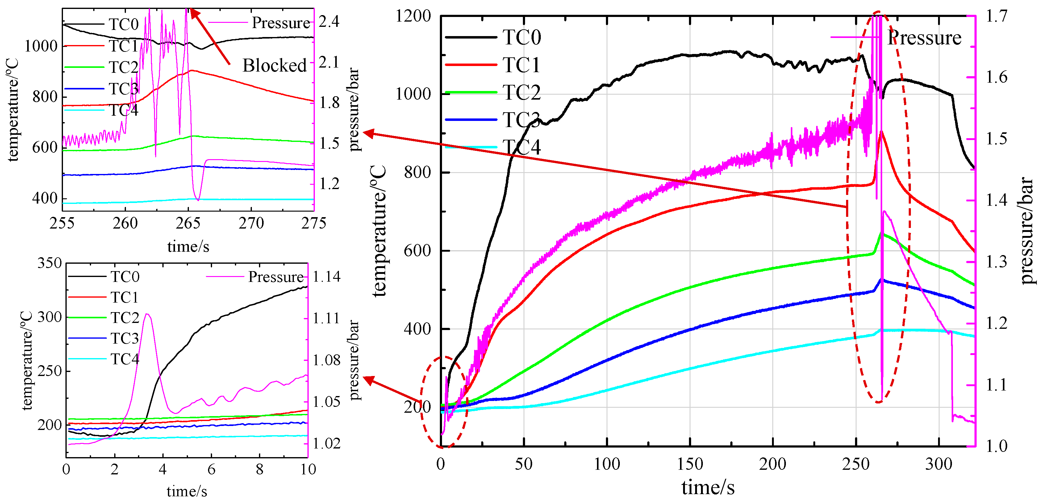
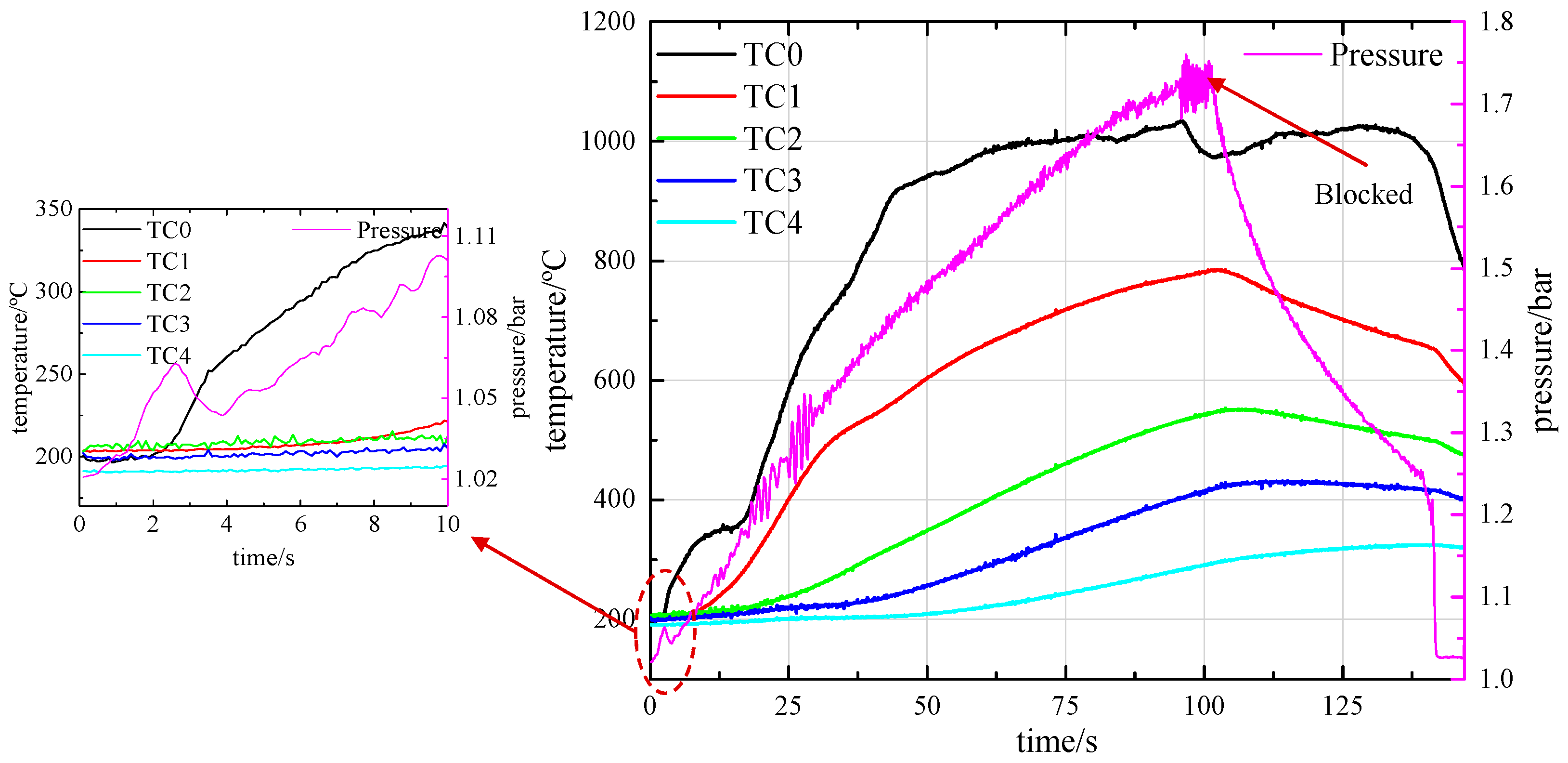
4.1. Variation of Catalytic Bed Temperature and Combustion Chamber Pressure
4.2. Analysis of Gaseous Products of the Catalytic Ignition Process in a Model Thruster with the Convergent Nozzle
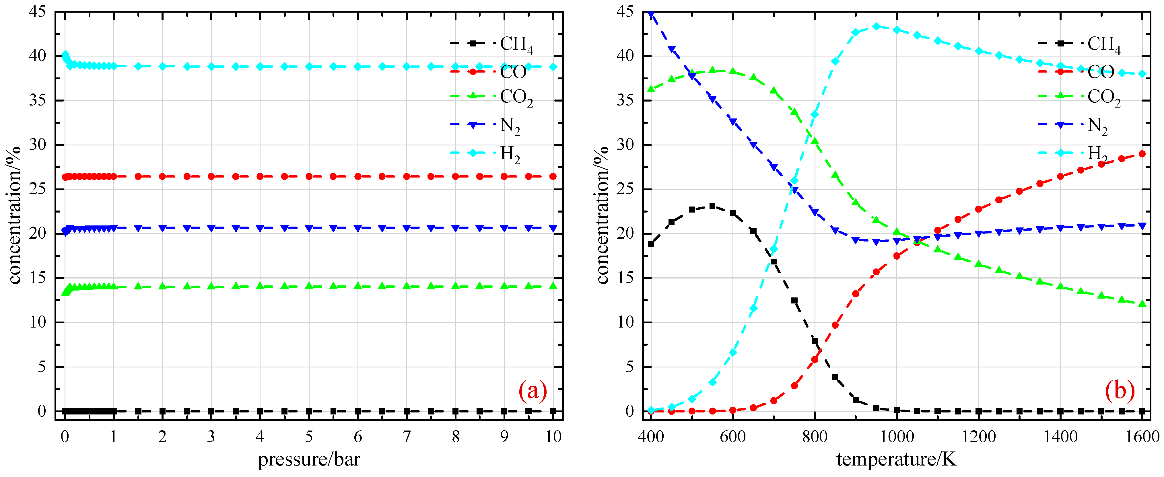
5. Analysis of Gaseous Products at Equilibrium
5.1. Theoretical Calculation of CEA
5.2. GC Analysis of the Exhaust Gas
5.3. Comparison of Theoretical Calculation and Experimental Results
6. Conclusions
- (1)
- When the propellant flows into the catalytic bed, the H2O component evaporates first, causing a small pressure peak in the combustion chamber pressure, which can be observed in a model thruster with the convergent nozzle.
- (2)
- Secondly the temperature curves appear in two rising stages respectively corresponding to the decomposition of the oxidant component HAN and the fuel component (Emim)(EtSO4) in both a model thruster without and with the convergent nozzle. In a model thruster with the convergent nozzle, the two rising stages are directly completed at the position where the propellant first contacts it after the propellant is injected into the catalytic bed. The HAN decomposes at the same depth in a model thruster without the convergent nozzle while the position (Emim)(EtSO4) decomposes will move downstream as the flow rate increases.
- (3)
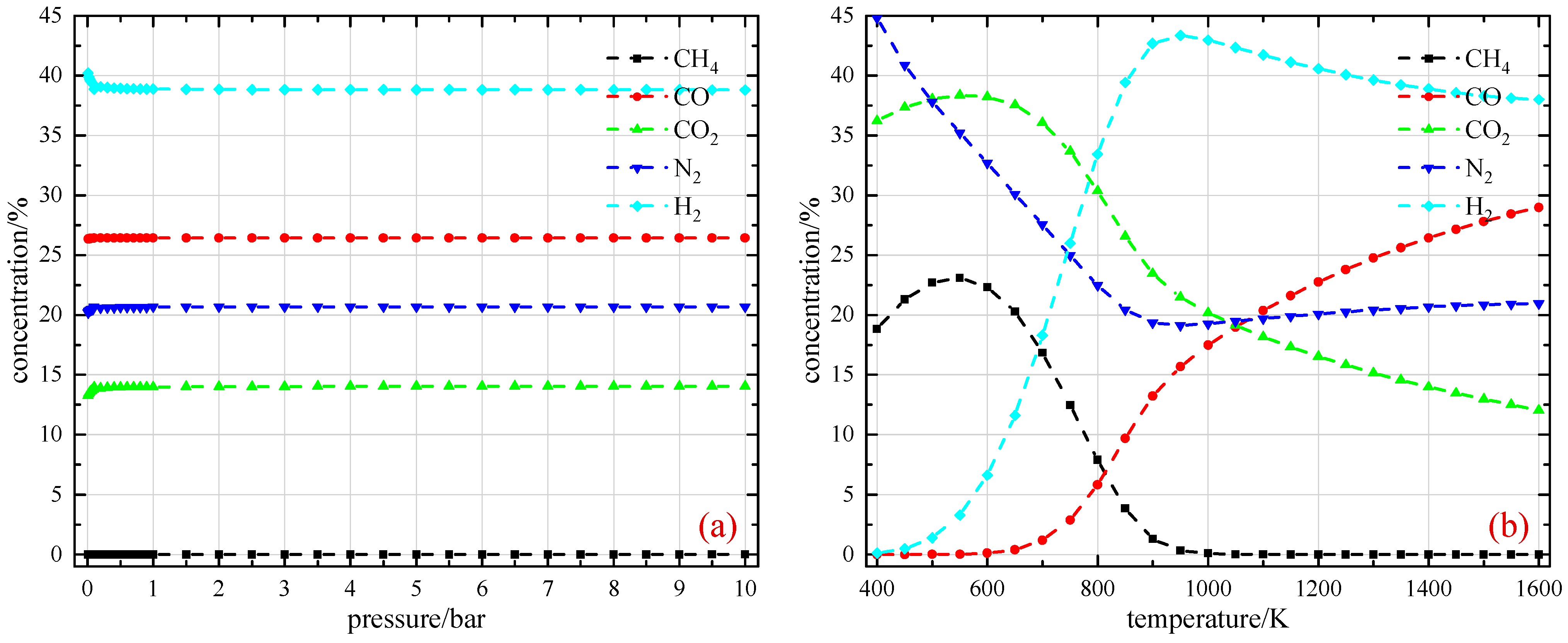
- In addition, the decomposition of the HAN will produce the oxidizing gas NOx. Then (Emim)(EtSO4) starts to fully react with NOx, depleting NO immediately. In the meantime, the C element is oxidized to CO2 in a large amount, letting out plenty of heat. In this process CH4, CO, and SO2 are also produced. Following that, the temperature tends to be stable, NOx is completely reacted, SO2 is no longer generated, CH4 will slowly decrease and even disappear, and the concentrations of CO and CO2 gradually reach stability in the process of approaching the equilibrium.
- (4)
- When the catalytic ignition approaches equilibrium, the analytical results of GC are consistent with the trend of theoretical calculation by CEA. The ambient pressure has little influence on exhaust gas; however, the temperature is a significant factor. The contents of N2 and H2 occupy the majority, and that of CH4, CO2, and CO are determined by the temperature.
Author Contributions
Funding
Data Availability Statement
Conflicts of Interest
References
- Rovey, J.L.; Lyne, C.T.; Mundahl, A.J.; Rasmont, N.; Glascock, M.S.; Wainwright, M.J.; Berg, S.P. Review of chemical-electric multimode space propulsion. In Proceedings of the AIAA Propulsion and Energy 2019 Forum, Indianapolis, IN, USA, 19–22 August 2019. [Google Scholar]
- Coleman, D.; Benedict, M.; Hrishikeshavan, V.; Chopra, I. Design, development, and flight-testing of a robotic hummingbird. In Proceedings of the American Helicopter Society 71st Annual Forum, Virginia Beach, VA, USA, 5–7 May 2015. [Google Scholar]
- Lazurenko, A.; Vial, V.; Bouchoule, A.; Skrylnikov, A.; Kozlov, V.; Kim, V. Dual-mode operation of stationary plasma thrusters. J. Propuls. Power 2006, 22, 38–475. [Google Scholar] [CrossRef]
- Rovey, J.L.; Lyne, C.T.; Mundahl, A.J.; Rasmont, N.; Glascock, M.S.; Wainwright, M.J.; Berg, S.P. Review of multimode space propulsion. Prog. Aerosp. Sci. 2020, 118, 100627. [Google Scholar] [CrossRef]
- Donius, B.R.; Rovey, J.L. Ionic liquid dual-mode spacecraft propulsion assessment. J. Spacecr. Rocket. 2011, 48, 110–123. [Google Scholar] [CrossRef]
- Zhang, Q.; Shreeve, J.N.M. Energetic ionic liquids as explosives and propellant fuels: A new journey of ionic liquid chemistry. Chem. Rev. 2014, 114, 10527–10574. [Google Scholar] [CrossRef] [PubMed]
- Donius, B.R.; Rovey, J.L. Analysis and prediction of dual-mode chemical and electric ionic liquid propulsion performance. In Proceedings of the 48th AIAA Aerospace Sciences Meeting Including the New Horizons Forum and Aerospace Exposition, Orlando, FL, USA, 4–7 January 2010. [Google Scholar]
- Romero-Sanz, I.; Bocanegra, R.; Fernandez De La Mora, J.; Gamero-Castano, M. Source of heavy molecular ions based on Taylor cones of ionic liquids operating in the pure ion evaporation regime. J. Appl. Phys. 2003, 94, 3599–3605. [Google Scholar] [CrossRef]
- Garoz, D.; Bueno, C.; Larriba, C.; Castro, S. Taylor cones of ionic liquids from capillary tubes as sources of pure ions: The role of surface tension and electrical conductivity. J. Appl. Phys. 2007, 102, 064913. [Google Scholar] [CrossRef]
- Sutton, G.P.; Biblarz, O. Rocket Propulsion Elements; John Wiley & Sons: New York, NY, USA, 2016. [Google Scholar]
- Berg, S.P.; Rovey, J.L. Dual-mode propellant properties and performance analysis of energetic ionic liquids. In Proceedings of the 50th AIAA Aerospace Sciences Meeting including the New Horizons Forum and Aerospace Exposition, Nashville, TN, USA, 9–12 January 2012. [Google Scholar]
- Berg, S.P.; Rovey, J.L. Ignition evaluation of monopropellant blends of HAN and imidazole-based ionic liquid fuels. In Proceedings of the 50th AIAA Aerospace Sciences Meeting including the New Horizons Forum and Aerospace Exposition, Nashville, TN, USA, 9–12 January 2012. [Google Scholar]
- Berg, S.P.; Rovey, J.L.; Prince, B.; Miller, S.; Bemish, R. Electrospray of an energetic ionic liquid monopropellant for multi-mode micropropulsion applications. In Proceedings of the 51st AIAA/SAE/ASEE Joint Propulsion Conference, Orlando, FL, USA, 27–29 July 2015. [Google Scholar]
- Berg, S.P.; Rovey, J.L. Decomposition of a double salt ionic liquid monopropellant on heated metallic surfaces. In Proceedings of the 52nd AIAA/SAE/ASEE Joint Propulsion Conference, Salt Lake City, UT, USA, 25–27 July 2016. [Google Scholar]
- Mundahl, A.J.; Rovey, J.L.; Berg, S.P. Linear burn rate of monopropellant for multi-mode micropropulsion. In Proceedings of the 2018 Joint Propulsion Conference, Cincinnati, OH, USA, 9–11 July 2018. [Google Scholar]
- Berg, S.P.; Rovey, J.L. Decomposition of a Double Salt Ionic Liquid Monopropellant in a Microtube for Multi-Mode Micropropulsion Applications. In Proceedings of the 53rd AIAA/SAE/ASEE Joint Propulsion Conference, Atlanta, GA, USA, 10–12 July 2017. [Google Scholar]
- Berg, S.P.; Glascock, M.S.; Cooper, M.; Rovey, J.L. Multimode Integrated Monopropellant Electrospray Thruster Testing Results: Chemical Mode. In Proceedings of the NASA In-Space Chemical Propulsion Technical Interchange Meeting, Online, 14–17 September 2020. [Google Scholar]
- Lyne, C.T.; Rovey, J.; Berg, S.P. Monopropellant-Electrospray Multimode Thruster Testing Results: Electrospray Mode. In Proceedings of the AIAA Propulsion and Energy 2021 Forum, Virtual Event, 9–11 August 2021. [Google Scholar]
- Wang, W.; Ma, Z.; Cong, W.; Zhang, W.; Xia, L.; Wang, X. Studies on Synthesis, Characterization and Catalytic Decomposition of Multitask Mode Ionic Liquid Propellant. J. Propuls. Technol. 2020, 41, 455–460. (In Chinese) [Google Scholar]
- Gao, H.; Li, S.; Yao, Z.; Li, S. Experimental Study on Thermal and Catalytic Decomposition of a Dual-Mode Ionic Liquid Propellant. E3S Web Conf. 2021, 257, 01041. [Google Scholar] [CrossRef]
- Sharma, A.; Adducci, A.C.; Rovey, J.; Ma, C.; Ryan, C.N.; Berg, S. Green Ionic Liquid Multimode Monopropellant Based Chemical Micro-thruster. In Proceedings of the AIAA SCITECH 2022 Forum, San Diego, CA, USA, 3–7 January 2022. [Google Scholar]
- Li, S.; Yan, H.; Wang, Z.; Tang, Y.; Yao, Z.; Li, S. Catalytic Decomposition and Burning of a Dual-Mode Ionic Liquid Propellant. Energy Fuels 2021, 35, 18716–18725. [Google Scholar] [CrossRef]
- Tang, Y.; Li, S.; Yao, Z.; Huang, B.; Li, S. Ignition of an ionic dual-mode monopropellant using a microwave plasma torch. Proc. Combust. Inst. 2022, in press. [Google Scholar] [CrossRef]
- Fang, J.; Wang, Z.; Yan, H.; Gao, H.; Yao, Z.; Li, S. Catalytic Ignition Characteristics of Dual-mode Ionic Liquid Propellant under Vacuum Condition. J. Rocket. Propuls. 2022, 48, 1–8. (In Chinese) [Google Scholar]
- Schneider, S.; Hawkins, T.; Rosander, M.; Vaghjiani, G.; Chambreau, S.; Drake, G. Ionic liquids as hypergolic fuels. Energy Fuels 2008, 22, 2871–2872. [Google Scholar] [CrossRef]
- Weng, X.; Tang, C.; Li, J.; Zhang, Q.; Huang, Z. Coulomb explosion and ultra-fast hypergolic ignition of borohydride-rich ionic liquids with WFNA. Combust. Flame 2018, 194, 464–471. [Google Scholar] [CrossRef]
- McBride, B.J.; Gordon, S. Computer Program for the Calculation of Complex Chemical Equilibrium Compositions and Applications II. User’s Manual and Program Description; National Aeronautics and Space Administration (NASA): Washington, DC, USA, 1996. Available online: https://ntrs.nasa.gov/citations/19960044559 (accessed on 16 June 2021).













| Gaseous Product | Concentration Range | Calibration Result | |
|---|---|---|---|
| Nominal Value ± Tolerance Value | Actual Value | ||
| O2 | 0–20.9% | 10.01 ± 0.2% | 10.05% |
| CO (%) | 0–10% | 5.02 ± 0.15% | 5.02% |
| CO (ppm) | 0–10,000 ppm | 813 ± 40 ppm | 817 ppm |
| CO2 | 0–20% | 9.93 ± 0.3% | 9.95% |
| CH4 | 0–2.5% | 1.973 ± 0.06% | 1.988% |
| NO | 0–4000 pm | 80.1 ± 5 ppm | 81 ppm |
| NO2 | 0–1000 pm | 50 ± 5 ppm | 51 ppm |
| SO2 | 0–10,000 pm | 483.4 ± 25 ppm | 486 ppm |
| Flow Rate | The First Rising Stage | The Second Rising Stage | The Maximum Temperature |
|---|---|---|---|
| 1 mL/min | 200–310 °C, TC0 200–240 °C, TC1 | 320–670 °C, TC0 280–540 °C, TC1 | 990 °C, TC0 |
| 2 mL/min | 200–320 °C, TC0 200–220 °C, TC1 | 300–780 °C, TC0 210–770 °C, TC1 | 880 °C, TC1 |
| 3 mL/min | 200–300 °C, TC0 200–220 °C, TC1 | around 310 °C, TC0 260–1050 °C, TC1 | 1070 °C, TC1 |
| 4 mL/min | 200–290 °C, TC0 200–220 °C, TC1 | 290–160 °C, TC0 250–1100 °C, TC1 | 1230 °C, TC1 |
| Flow Rate | The First Rising Stage | The Second Rising Stage | The Maximum Temperature |
|---|---|---|---|
| 1 mL/min | 200–310 °C, TC0 | 350–800 °C, TC0 | 950 °C, TC0 |
| 2 mL/min | 200–330 °C, TC0 | 350–930 °C, TC0 | 1100 °C, TC0 |
| 3 mL/min | 200–350 °C, TC0 | 380–920 °C, TC0 | 1030 °C, TC0 |
| T (K) | Calculation Value (%) | Normalized Value (%) | ||||||||||
|---|---|---|---|---|---|---|---|---|---|---|---|---|
| CH4 | CO | CO2 | H2 | N2 | Total 1 | H2O | CH4 | CO | CO2 | H2 | N2 | |
| 400 | 6.566 | 0 | 12.63 | 0.044 | 15.625 | 34.865 | 49.818 | 18.833 | 0 | 36.225 | 0.126 | 44.816 |
| 500 | 9.949 | 0.002 | 16.658 | 0.607 | 16.558 | 43.774 | 46.254 | 22.728 | 0.005 | 38.055 | 1.387 | 37.826 |
| 600 | 11.605 | 0.058 | 19.881 | 3.445 | 17.014 | 52.003 | 41.948 | 22.316 | 0.112 | 38.23 | 6.625 | 32.717 |
| 700 | 10.157 | 0.716 | 21.737 | 11.039 | 16.613 | 60.262 | 35.646 | 16.855 | 1.188 | 36.071 | 18.318 | 27.568 |
| 800 | 5.376 | 3.959 | 20.664 | 22.757 | 15.293 | 68.049 | 28.185 | 7.9 | 5.818 | 30.366 | 33.442 | 22.474 |
| 900 | 0.937 | 9.611 | 17.025 | 30.999 | 14.068 | 72.64 | 23.899 | 1.29 | 13.231 | 23.438 | 42.675 | 19.367 |
| 1000 | 0.058 | 12.534 | 14.492 | 30.832 | 13.827 | 71.743 | 24.861 | 0.081 | 17.471 | 20.2 | 42.976 | 19.273 |
| 1100 | 0.004 | 14.284 | 12.756 | 29.251 | 13.813 | 70.108 | 26.501 | 0.006 | 20.374 | 18.195 | 41.723 | 19.702 |
| 1200 | 0.001 | 15.654 | 11.379 | 27.898 | 13.812 | 68.744 | 27.869 | 0.001 | 22.771 | 16.553 | 40.582 | 20.092 |
| 1300 | 0 | 16.756 | 10.267 | 26.812 | 13.81 | 67.645 | 28.976 | 0 | 24.77 | 15.178 | 39.636 | 20.415 |
| 1400 | 0 | 17.655 | 9.354 | 25.962 | 13.806 | 66.777 | 29.872 | 0 | 26.439 | 14.008 | 38.879 | 20.675 |
| 1500 | 0 | 18.402 | 8.585 | 25.339 | 13.795 | 66.121 | 30.594 | 0 | 27.831 | 12.984 | 38.322 | 20.863 |
| 1600 | 0 | 19.038 | 7.913 | 24.947 | 13.774 | 65.672 | 31.16 | 0 | 28.990 | 12.049 | 37.987 | 20.974 |
Publisher’s Note: MDPI stays neutral with regard to jurisdictional claims in published maps and institutional affiliations. |
© 2022 by the authors. Licensee MDPI, Basel, Switzerland. This article is an open access article distributed under the terms and conditions of the Creative Commons Attribution (CC BY) license (https://creativecommons.org/licenses/by/4.0/).
Share and Cite
Fang, J.; Wang, Z.; Yan, H.; Gao, H.; Yao, Z.; Li, S. Experimental Study on the Catalytic Ignition Characteristics of a Dual-Mode Ionic Liquid Propellant in Model Thrusters. Energies 2022, 15, 8730. https://doi.org/10.3390/en15228730
Fang J, Wang Z, Yan H, Gao H, Yao Z, Li S. Experimental Study on the Catalytic Ignition Characteristics of a Dual-Mode Ionic Liquid Propellant in Model Thrusters. Energies. 2022; 15(22):8730. https://doi.org/10.3390/en15228730
Chicago/Turabian StyleFang, Jie, Zun Wang, Hao Yan, He Gao, Zhaopu Yao, and Shuiqing Li. 2022. "Experimental Study on the Catalytic Ignition Characteristics of a Dual-Mode Ionic Liquid Propellant in Model Thrusters" Energies 15, no. 22: 8730. https://doi.org/10.3390/en15228730
APA StyleFang, J., Wang, Z., Yan, H., Gao, H., Yao, Z., & Li, S. (2022). Experimental Study on the Catalytic Ignition Characteristics of a Dual-Mode Ionic Liquid Propellant in Model Thrusters. Energies, 15(22), 8730. https://doi.org/10.3390/en15228730

