Effect of Magnetic Properties of Magnetic Composite Tapes on Motor Losses
Abstract
1. Introduction
2. Principle of Loss Reduction in Motors Attached with Magnetic Tape
2.1. Outer Rotor Motor Structure
2.2. Principle of AC Copper Loss Reduction in Motors
3. Loss Reduction Effect with Magnetic Tape
3.1. Magnetic Composite Tape
3.2. Analysis of a Motor with Magnetic Tape-Wrapped Windings
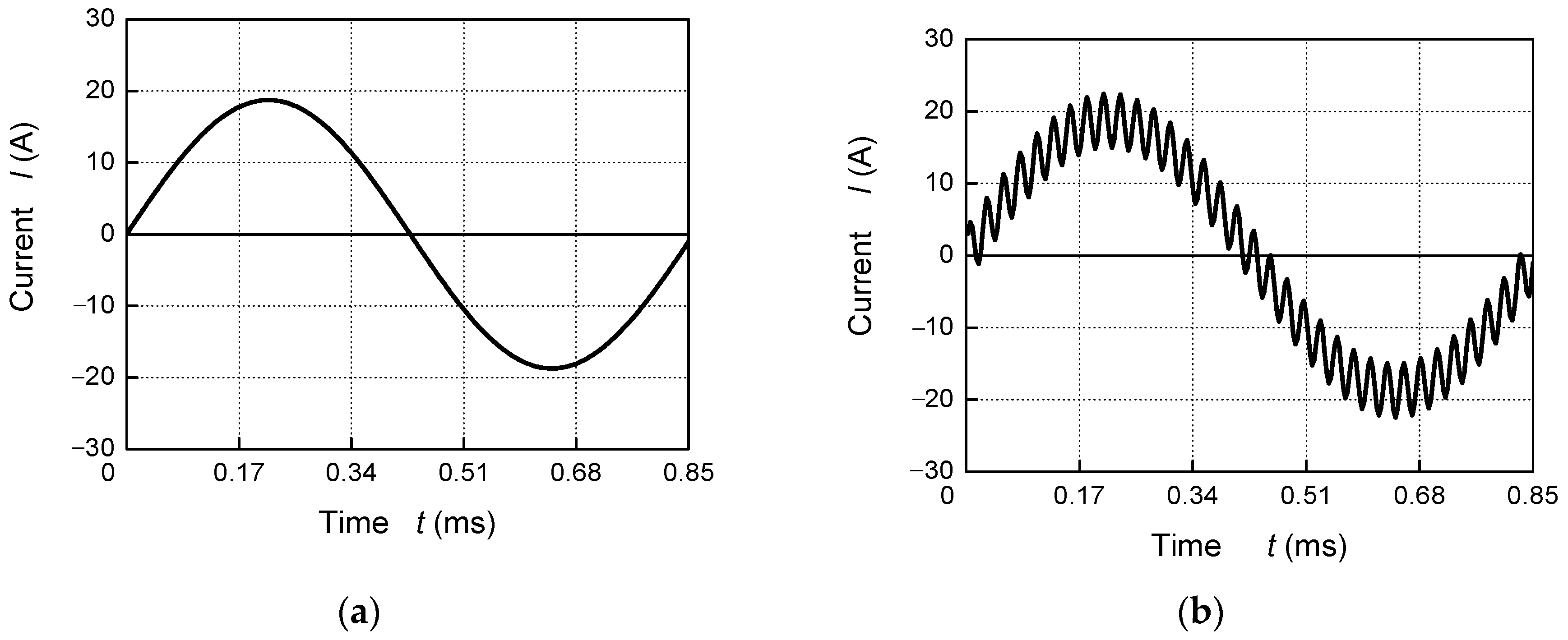
4. Magnetic Properties of Magnetic Tape for Improving the AC Copper Loss Reduction
4.1. Effect of Magnetic Properties of Materials on Motor Losses
4.2. Effect of Carrier Harmonics on Motor Losses
5. Conclusions
Author Contributions
Funding
Data Availability Statement
Conflicts of Interest
References
- Kwok, C.T.; Ching, C.C.; Chunhua, L. Overview of permanent-magnet brushless drives for electric and hybrid electric vehicles. IEEE Trans. Ind. Electron 2018, 55, 2246–2257. [Google Scholar]
- Chan, K.W.; Nirmal, U.; Cheaw, W.G. Progress on Drone Technology and Their Applications: A Comprehensive Review. AIP Conf. Proc. 2018, 2030, 020308. [Google Scholar]
- Tumbek, M.; Kesler, S. Design and Implementation of a Low Power Outer-Rotor Line-Start Permanent-Magnet Synchronous Motor for Ultra-Light Electric Vehicles. Energies 2019, 12, 3174. [Google Scholar] [CrossRef]
- Yuan, Y.; Wenjun, M.; Xiaoxia, S.; Liyong, Z. Design Optimization and Analysis of an Outer-Rotor Direct-Drive Permanent-Magnet for Medium-Speed Electric Vehicle. World Electr. Veh. J. 2019, 10, 16. [Google Scholar] [CrossRef]
- Bae, J.C.; Cho, H.R.; Yadav, S.; Kim, S.C. Cooling Effect of Water Channel with Vortex Generators on In-Wheel Driving Motors in Electric Vehicles. Energies 2022, 15, 722. [Google Scholar] [CrossRef]
- Henke, M.; Narjes, G.; Hoffman, J.; Wohlers, C.; Urbanek, S.; Heister, C.; Steinbrink, J.; Caanders, W.; Ponick, B. Challenges and Opportunities of Very Light High-Performance Electric Drives for Aviation. Energies 2018, 11, 344. [Google Scholar] [CrossRef]
- Sai, B.; Tawhid, T.M.B.; Seungdeog, C. Optimal Torque Ripple Reduction Technique for Outer Rotor Permanent Magnet Synchronous Reluctance Motors. IEEE Trans. Energy Convers. 2018, 33, 1184–1192. [Google Scholar]
- Liyi, L.; Jiangpeng, Z.; Chengming, Z.; Jikun, Y. Research on Electric and Thermal Issue of High-Efficiency and High-Power-Density Outer-Rotor Motor. IEEE Trans. Appl. Superconuctivity 2016, 26, 5204805. [Google Scholar] [CrossRef]
- Andrqej, L. Design, Analysis of the Location and Materials of Neodymium Magnets on the Torque and Power of In-Wheel External Rotor PMSM for Electric Vehicles. Energies 2018, 11, 2293. [Google Scholar]
- Iwasaki, I.S.; Rajesh, D.P.; Yong, L.; Adam, P.; Zhu, Z.Q.; Bremner, J.J. Influence of PWM on the Proximity Loss in Permanent-Magnet Brushless AC Machines. IEEE Trans. Ind. Appl. 2009, 45, 4. [Google Scholar] [CrossRef]
- Woo, J.; Bang, T.; Lee, J.; Lee, H.; Choi, J. Experimental Verification and Analytical Approach for Electromagnetic Characteristics of a High-Speed Permanent Magnet Motor with Two Different Rotors and Winding Patterns. Appl. Sci. 2021, 11, 9060. [Google Scholar] [CrossRef]
- Aitakkache, M.; Enrici, P.; Matt, D.; Boudaker, N.; Piscini, L. Concept, Feasibility of Cylindrical Bar Winding for Low Voltage Permanent Magnet Synchronous Motor. Energies 2022, 15, 1507. [Google Scholar] [CrossRef]
- Juha, P.; Tapani, J.; Valeria, H. Design of Rotating Electrical Machines; John Wiley & Sons: Hoboken, NJ, USA, 2013. [Google Scholar]
- Andreas, R.; Carla, B. Enhancing Litz Wire Power Loss Calculations by Combining a Sparse Strand Element Equivalent Circuit Method with a Voronoi-Based Geometry Model. IEEE Trans. Power Electron. 2022, 37, 9. [Google Scholar]
- Dimier, T.; Cossale, M.; Wellerdicck, T. Comparison of Stator Winding Technologies for High-Speed Motors in Electric Propulsion Systems. In Proceedings of the 2020 International Conference on Electrical Machines (ICEM), Gothenburg, Sweden, 23–26 August 2020; pp. 2406–2412. [Google Scholar]
- Han, Y.; Chen, S.; Gao, C.; Gao, M.; Si, J.; Hu, Y. Effect of Slot Opening Width on the Air-Gap magnetic Field of a Direct Drive Permanent Magnet Motor. Appl. Sci. 2019, 9, 4649. [Google Scholar] [CrossRef]
- Manabu, H.; Ryoken, M.; Mitsuhide, S.; Yiggen, B.; Masami, N.; Tsutotmu, M. Reduction of Rotor Loss and Torque Ripple in an IPMSM using Magnetic Wedge. In Proceedings of the IEEE 2020 23rd International Conference on Electrical Machines and Systems (ICEMS), Hamamatsu, Japan, 24–27 November 2020; pp. 498–503. [Google Scholar]
- Mitsuhide, S.; Keigo, T.; Manabu, H.; Ryoken, M.; Ryo, Y.; Masami, N.; Yeggin, B.; Tsutomu, M. Reducing Rotor Temperature Rise in Concentrated Winding by Using Magnetic Power Mixed Resin Ring. Energies 2020, 13, 6721. [Google Scholar]
- Kazuhiro, S.; Kazuma, K.; Mitsuhide, S.; Tsutomu, M.; Norio, K.; Masayuki, S.; Takao, N. Alternating-Current Copper Loss Reduction in a High-frequency Transformer for Railways Using Magnetic Tape. IEEE Trans. Magn. 2021, 57, 2021. [Google Scholar]
- Mitsuhide, S.; Kaito, S.; Kazuma, K.; Syun, E.; Tsutotmu, M. Reducing the Alternating Current Resistance and Heat Generation in a Single-Wire Coil Using a Magnetic Tape. IEEJ Trans. Electr. Electr. Eng. 2020, 15, 1541–1548. [Google Scholar]
- Pil, H.W.; Yon, C.D.; Jae, C.H.; Mi, K.J.; Dae, K.H.; Ju, L. The study to substitute aluminum for copper as a winding material in induction machine. In Proceedings of the INTELEC 2009 31st International Telecommunications Energy Conference, Incheon, Korea, 18–22 October 2009. [Google Scholar] [CrossRef]
- Cacurar, P.; Vasile, T.; Adina, G.; Calin, M.; Claudia, C.; Sergiu, A.; Marian, G. Modelling and Analysis of the Halbach Array Magnets. In Proceedings of the 2019 11th International Symposium on Advanced Topics in Electrical Engineering (ATEE), Bucharest, Romania, 28–30 March 2019. [Google Scholar] [CrossRef]
- Perez, R.; Pelletier, A.; Grenier, J.; Cros, J.; Rancourt, D.; Freer, R. Comparison between Space Mapping and Direct FEA Optimizations for the Design of Halbach Array PM Motor. Energies 2022, 15, 3969. [Google Scholar] [CrossRef]
- Huang, C.; Kou, B.; Zhao, X.; Niu, X.; Zhang, L. Multi-Objective Optimization Design of a Stator Coreless Multidisc Axial Flux Permanent Magnet Motor. Energies 2022, 15, 4810. [Google Scholar] [CrossRef]
- Abozar, A.; Ole-Morten, M. Winding loss analysis and optimization of an AC inductor for a galvanically isolated PV inverter. In Proceedings of the 2012 International Conference and Exposition on Electrical and Power Engineering, Iasi, Romania, 25–27 October 2012. [Google Scholar] [CrossRef]
- Xi, N.; Sullivan, R.C. An improved calculation of proximity-effect loss in high-frequency windings of round conductors. In Proceedings of the IEEE 34th Annual Conference on Power Electronics Specialist, Acapulco, Mexico, 15–19 June 2003. [Google Scholar] [CrossRef]
- Naoki, Y.; Kanako, S.; Makoto, S.; Toshiro, S. Fabrication and Evaluation of Composite Magnetic Core Using Iron-Based Amorphous Alloy Powder with Different Particle Size Distributions. IEEE Trans. Magn. 2018, 54, 1–5. [Google Scholar]
- Prashant, S.; Pooja, S. Polymer Nanocomposites in Sensor Applications: A Review on Present Trends and Future Scope. Chin. J. Polym. Sci. 2021, 39, 665–691. [Google Scholar]
- Hiremath, A.; Murthy, A.; Thipperudrappa, S.; Bharath, K.N. Nanoparticles Filled Polymer Nanocomposites: A Technological Review. Cogent Eng. 2021, 8, 1991229. [Google Scholar] [CrossRef]
- Liu, Y.; Lu, Q.; Wang, J.; Zhao, X. A Flexible Sandwich Structure Carbon Fiber Cloth with Resin Coating Composite Improves Electromagnetic Wave Absorption Performance at Low Frequency. Polymers 2022, 14, 233. [Google Scholar] [CrossRef]
- Bontas, M.G.; Diacon, A.; Calinescu, I.; Necolau, M.I.; Dinescu, A.; Toader, G.; Ginghina, R.; Viziriu, A.; Velicu, V.; Palade, P.; et al. Epoxy Coatings Containing Modified Graphene for Electromagnetic Shielding. Polymers 2022, 14, 2508. [Google Scholar] [CrossRef]
- Chenggao, L.; Xiaoli, Y.; Yancong, L.; Rui, G.; Guo, X.; Guijun, X. Long-term service evaluation of a pultruded carbon/glass hybrid rod exposed to elevated temperature, hydraulic pressure and fatigue load coupling. Int. J. Fatigue 2020, 134, 105480. [Google Scholar]
- Rui, G.; Guijun, X.; Feng, L.; Chenggao, L.; Bin, H. Hygrothermal resistance of pultruded carbon, glass and carbon/glass hybrid fiber reinforced epoxy composites. Constr. Build. Mater. 2022, 315, 125710. [Google Scholar]
- Wang, B.; Li, D.; Xian, G.; Li, C. Effect of Immersion in Water or Alkali Solution on the Structures and Properties of Epoxy Resin. Polymers 2021, 13, 1902. [Google Scholar] [CrossRef]
- Gimenez, R.; Serrano, B.; Miguel, V.S.; Cabanelas, J.C. Recent Advances in MXene/Epoxy Composites: Trend and Prospects. Polymers 2022, 14, 1170. [Google Scholar] [CrossRef]
- Wu, J.; Li, C.; Hailatihan, B.; Mi, L.; Baheti, Y.; Yan, Y. Effect of the Addition of Thermoplastic Resin and Composite on Mechanical and Thermal Properties of Epoxy Resin. Polymers 2022, 14, 1087. [Google Scholar] [CrossRef]


















| Item | Contents | |
|---|---|---|
| Software | JMAG Designer (64) Ver.19.1 | |
| Analysis method | Two-dimensional transient-response magnetic field analysis | |
| Solution | FEM | |
| Mesh size | (1) magnetic tape: Auto | |
| (2) Copper: 0.1 mm (1/8 of the skin effect) | ||
| (3) Teeth: Auto | ||
| (4) Permanent magnet: 0.2 mm | ||
| (5) Air: Auto | ||
| Analysis area | Analysis in 5 times the analysis model | |
| Rotate speed | 10,000 rpm | |
| Frequency | 1166 Hz | |
| Torque | 9.95 Nm | |
| Carrier frequency | none | 40 kHz |
| Current | Rectangular winding: 13.4 A | 13.4 A (ripple 10–100%) |
| Thin rectangular winding 13.5 A | - | |
| Magnetic tape winding 13.4 A | 13.3 A (ripple 10–100%) | |
| Materials | (1) Aluminum: (ρ = 2.92 × 10−8 Ωm, μ′ = 1, μ″ = 0) | |
| (2) Permanent magnetLHitachi material: NMX41-EH) | ||
| (3) Rotor core: (Vacuumschmelze: Permendur VACODUR49) | ||
| (4) Stator core: (Vacuumschmelze: Permendur VACODUR49) | ||
| (5) Magnetic tape: Magnetic composite material | ||
| (6) Air: (µ = ∞ Ωm, µ′ = 1, µ″ = 0) | ||
| Tape | Frequency | |
|---|---|---|
| 1166 Hz (fundamental frequency) | 40 kHz (harmonic frequency) | |
| Fe–Si–Al | ![]() | ![]() |
| μr = 100, Bm = 1.6 (Virtual) | ![]() | ![]() |
Publisher’s Note: MDPI stays neutral with regard to jurisdictional claims in published maps and institutional affiliations. |
© 2022 by the authors. Licensee MDPI, Basel, Switzerland. This article is an open access article distributed under the terms and conditions of the Creative Commons Attribution (CC BY) license (https://creativecommons.org/licenses/by/4.0/).
Share and Cite
Yoshida, R.; Kitajima, J.; Sakae, T.; Sato, M.; Mizuno, T.; Shimoda, Y.; Kubota, A.; Wada, S.; Kichiji, T.; Kumagai, H. Effect of Magnetic Properties of Magnetic Composite Tapes on Motor Losses. Energies 2022, 15, 7991. https://doi.org/10.3390/en15217991
Yoshida R, Kitajima J, Sakae T, Sato M, Mizuno T, Shimoda Y, Kubota A, Wada S, Kichiji T, Kumagai H. Effect of Magnetic Properties of Magnetic Composite Tapes on Motor Losses. Energies. 2022; 15(21):7991. https://doi.org/10.3390/en15217991
Chicago/Turabian StyleYoshida, Ryo, Jun Kitajima, Takashi Sakae, Mitsuhide Sato, Tsutomu Mizuno, Yuki Shimoda, Akihiro Kubota, Shogo Wada, Teruo Kichiji, and Hideo Kumagai. 2022. "Effect of Magnetic Properties of Magnetic Composite Tapes on Motor Losses" Energies 15, no. 21: 7991. https://doi.org/10.3390/en15217991
APA StyleYoshida, R., Kitajima, J., Sakae, T., Sato, M., Mizuno, T., Shimoda, Y., Kubota, A., Wada, S., Kichiji, T., & Kumagai, H. (2022). Effect of Magnetic Properties of Magnetic Composite Tapes on Motor Losses. Energies, 15(21), 7991. https://doi.org/10.3390/en15217991




