Fractal Analysis and Classification of Pore Structures of High-Rank Coal in Qinshui Basin, China
Abstract
:1. Introduction
| Samples | Source | Methods | Pore Size Characterization | Research Objective and Parameters | Literature |
|---|---|---|---|---|---|
| Anthracite, Low-/Medium-/High-volatile bituminous, Lignite coal | The northern China mining area | LP-N2GA, SEM | Pore images at micron scale; PSDs: <30 nm | Pore shape, specific surface area, pore volume | [23] |
| Tectonically deformed coals | Several collieries in north China | AFM | Pore images and corresponding PSDs: <15 nm | Tectonically deformed nanoscale pore structure and shape | [24] |
| Low-rank coals | The Erlian Basin, Hailar Basin, the Junggar Basin, and the Ordos Basin | MIP, NMR, SEM | Pore images at micron scale; Differentiated PSDs by each method | Pore structure evolution | [25] |
| Middle- and high-rank coals | Eastern Yunnan and Western Guizhou, China | MIP, LP-N2GA, Fractal Analysis | PSDs | Fractal characteristics of pore structure | [26] |
| Bituminous coals covering a wide range of rank | Poland, the US (Appalachian), New Zealand, and Australia (Bowen and Sydney Basins) | Neutron scattering measurements USANS and SANS | PSDs: 5 nm–7 μm, No image observation | PSDs and accessible PSDs in bituminous coals | [27] |
| Not mentioned | The Fucheng Colliery, Qiwu Colliery, and Cuizhuang Colliery in China | MIP, LP-N2GA, Fractal Analysis | Differentiated PSDs by each method | Pore structure and adsorption characteristics of destructed coals | [28] |
| Anthracite and semi-anthracite coal | The southern Qinshui Basin in China | FIB-SEM and X-ray CT | Differentiated PSDs by each method | Interconnected pores in coal | [29] |
| Anthracites | The Qinshui Basin in China | HPMI, AIP–FESEM, Fractal Analysis | Qualitative–quantitative combined method and corresponding PSDs | Pore size classification related to gas behavior | This research |
2. Geological Setting
3. Materials and Methods
3.1. Samples
3.2. Methods
4. Results
4.1. Morphological Characteristics
4.2. Pore Structure Characteristics
4.3. Fractal Characteristics
5. Discussion
5.1. The Structural Characteristics and Natural Classification of Pores
5.2. Genetic Types and Subtypes of Pores
5.3. The Relationship between Fractal Dimensions and Pore Parameters
6. Conclusions
- (1)
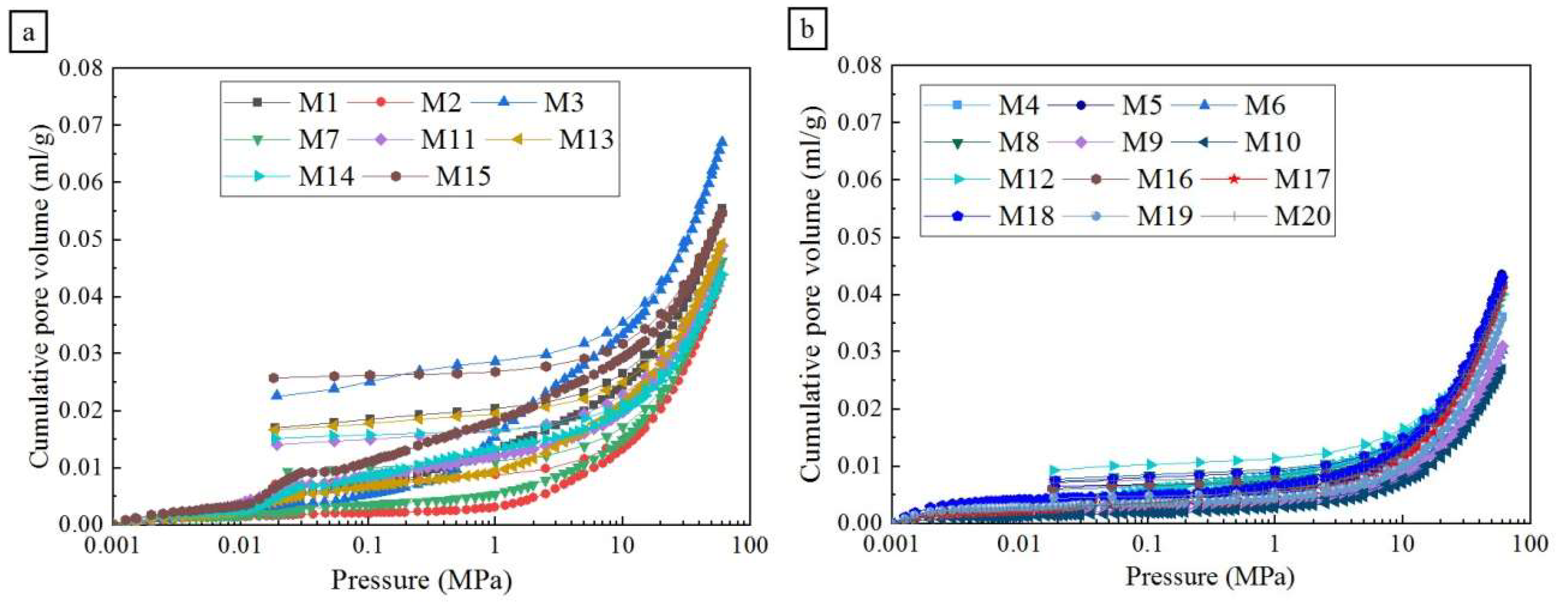
- The coal samples are bipolar distributed, and the majority of the pore volume is dominated by transitional pores and micropores, followed by macropores. The mesoporosity of high-rank coal is limited. The specific surface area is concentrated in micropores. The samples can be divided into two groups, according to the different shapes of HPMI: intrusion and extrusion curves.
- (2)
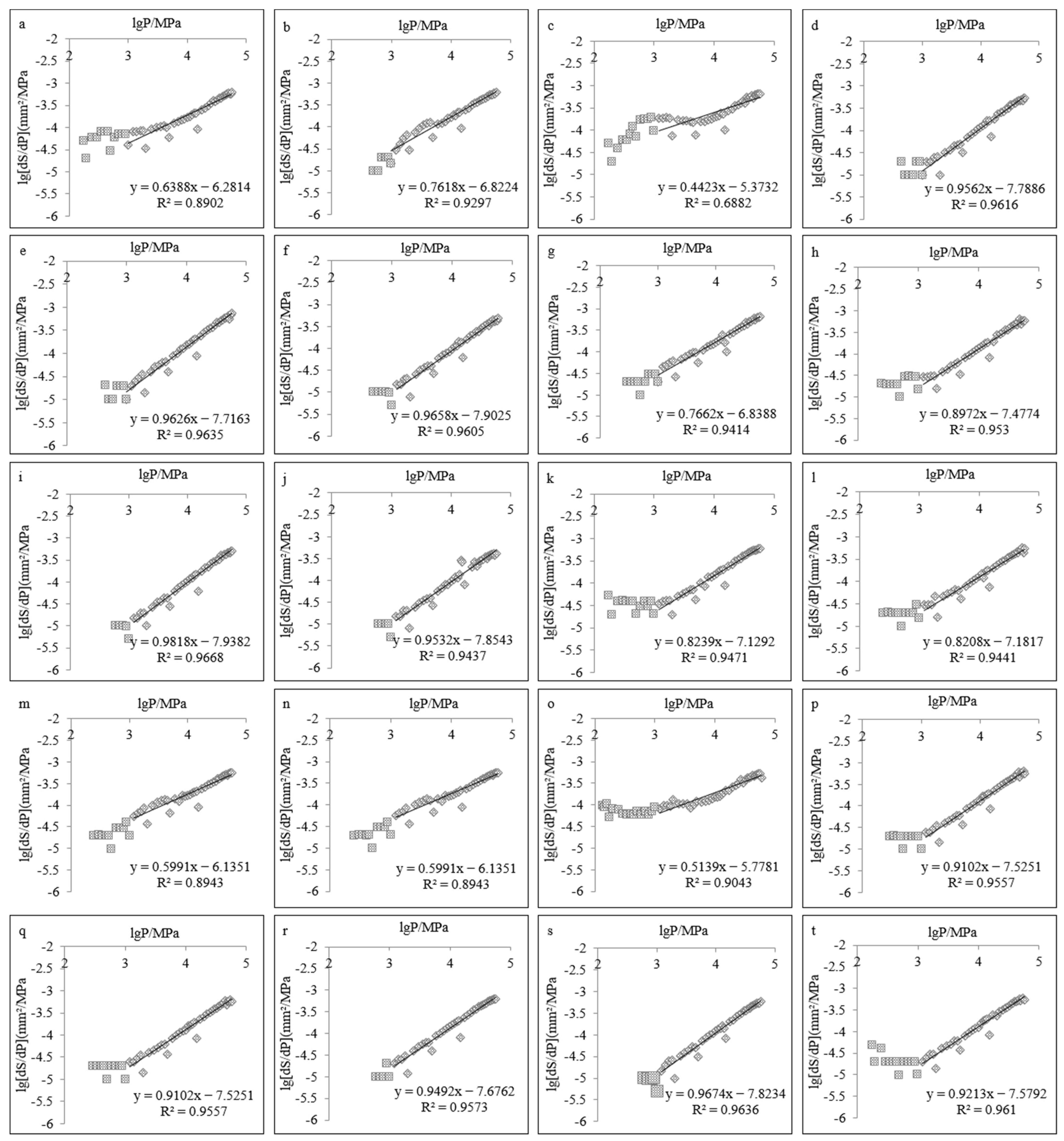
- Menger sponge fractal models are established by analyzing the plots of lgP-lg(dV/dP), showing two or three distinct straight-line segments with demarcation points of 65 nm and 1000 nm. Pores > 1000 nm are significantly fractal with the calculated fractal dimensions of D1, which vary from 2.616 to 3.0927. Pores of 65–1000 nm are not fractal, while pores <65 nm are relatively weakly fractal, with D2 values larger than 3.
- (3)
- A natural classification with three major types and seven subtypes is established based on the fractal characteristics and kinetic characteristics of methane molecular, which is correlated with pores in different scales, as well as pore networks and gas behavior. Diffusion pores (D-pores), seepage pores (S-pores), and pico pores (P-pores) are demarcated by pore size intervals of 65 nm and 1 nm.
- (4)
- P-pores and D-pores are predominately nanoscale OM pores with three major genetic types: interparticle pores of organic constituents (5–200 nm), metamorphic pores (<5 nm), and intermorphic pores (<5 nm). S-pores are more complex in genetic type, with the major genetic types of SII- and SIII-pores being outgas pores, plant tissue residual pores, mineral-related pores, and microfractures.
- (5)
- The mean radius (Pa), total pore volume (Vt), apparent porosity (Φ), and the volume ratio of macro- and mesopores are positively correlated with fractal dimension D1 of S-pores (>65 nm). Fractal parameters reflect the pore structure, the undulating state, and the roughness of the inner surface. These can be used as an important index to describe the pore structure characteristics. The fractal analysis of pore structure characteristics and natural classification also provides a novel approach for the study of microstructures and their influence on gas migration of high-rank coal reservoirs, which is helpful for revealing the origin of the “bottleneck” problem in both the Qinshui Basin and other high-rank CBM-bearing strata in China.
Author Contributions
Funding
Data Availability Statement
Acknowledgments
Conflicts of Interest
References
- Lau, H.C.; Li, H.; Huang, S. Challenges and opportunities of coalbed methane development in China. Energy Fuels 2017, 31, 4588–4602. [Google Scholar] [CrossRef]
- Aminian, K.; Rodvelt, G. Evaluation of coalbed methane reservoirs. Coal Bed Methane 2014, 43, 63–91. [Google Scholar]
- Liu, J.; Yao, Y.B.; Liu, D.M. Comparison of pore fractal characteristics between marine and continental shales. Fractals 2018, 26, 1840016. [Google Scholar] [CrossRef]
- Li, Y.J.; Li, X.Y.; Wang, Y.L.; Yu, Q.C. Effects of composition and pore structure on the reservoir gas capacity of Carboniferous shale from Qaidam Basin, China. Mar. Pet. Geol. 2015, 62, 44–57. [Google Scholar]
- Wang, A.M.; Wei, Y.C.; Yuan, Y.; Li, C.F.; Li, Y.; Cai, D.Y. Coalbed methane reservoirs’ pore-structure characterization of different macrolithotypes in the southern Junggar Basin of Northwest China. Mar. Pet. Geol. 2017, 86, 675–688. [Google Scholar] [CrossRef]
- Mosher, K.; He, J.J.; Liu, Y.Y.; Rupp, E.; Wilcox, J. Molecular simulation of methane adsorption in micro-and mesoporous carbons with applications to coal and gas shale systems. Int. J. Coal Geol. 2013, 109, 36–44. [Google Scholar] [CrossRef]
- Zhao, Y.X.; Sun, Y.F.; Liu, S.M.; Wang, K.; Jiang, Y. Pore structure characterization of coal by NMR cryoporometry. Fuel 2017, 190, 359–369. [Google Scholar] [CrossRef]
- Karacan, C.Ö.; Ruiz, F.A.; Cotè, M.; Phipps, S. Coal mine methane: A review of capture and utilization practices with benefits to mining safety and to greenhouse gas reduction. Int. J. Coal Geol. 2011, 86, 121–156. [Google Scholar] [CrossRef]
- Liu, S.Q.; Sang, S.X.; Liu, H.H.; Zhu, Q.P. Growth characteristics and genetic types of pores and fractures in a high-rank coal reservoir of the southern Qinshui basin. Ore Geol. Rev. 2015, 64, 140–151. [Google Scholar] [CrossRef]
- Shi, J.Q.; Durucan, S. CO2 storage in deep unminable coal seams. Oil Gas Sci. Technol. 2005, 60, 547–558. [Google Scholar]
- Gan, H.; Nandi, S.P.; Walker, P.L. Nature of the porosity in American coals. Fuel 1972, 51, 272–277. [Google Scholar] [CrossRef]
- Zhao, J.; Xu, H.; Tang, D.; Mathews, J.P.; Li, S.; Tao, S. Coal seam porosity and fracture heterogeneity of macrolithotypes in the Hancheng Block, eastern margin, Ordos basin, China. Int. J. Coal Geol. 2016, 159, 18–29. [Google Scholar] [CrossRef]
- Radlinski, A.P.; Mastalerz, M.; Hinde, A.L.; Hainbuchner, M.; Rauch, H.; Baron, M.; Lin, J.S.; Fan, L.; Thiyagarajan, P. Application of SAXS and SANS in evaluation of porosity, pore size distribution and surface area of coal. Int. J. Coal Geol. 2004, 59, 245–271. [Google Scholar] [CrossRef]
- Yao, Y.B.; Liu, D.M. Comparison of low-field NMR and mercury intrusion porosimetry in characterizing pore size distributions of coals. Fuel 2012, 95, 152–158. [Google Scholar] [CrossRef]
- Loucks, R.G.; Reed, R.M.; Ruppel, S.C.; Jarvie, D.M. Morphology, genesis, and distribution of nanometer-scale pores in siliceous mudstones of the Mississippian Barnett Shale. J. Sediment. Res. 2009, 79, 848–861. [Google Scholar] [CrossRef]
- Zhao, D.F.; Guo, Y.H.; Wang, G.; Jiao, W.W.; Liu, J.; Hui, Y. Quantitative characterization of nano-scale pores in shale reservoirs of Wufeng-Longmaxi formation based on image processing. Fresenius Environ. Bull. 2020, 29, 3992–4000. [Google Scholar]
- Chalmers, G.R.; Bustin, R.M.; Power, I.M. Characterization of gas shale pore systems by porosimetry, pycnometry, surface area, and field emission scanning electron microscopy/transmission electron microscopy image analyses: Examples from the Barnett, Woodford, Haynesville, Marcellus, and Doig units. AAPG Bull. 2012, 96, 1099–1119. [Google Scholar]
- Pan, J.; Wang, K.; Hou, Q.; Niu, Q.; Ji, Z. Micro-pores and fractures of coals analysed by field emission scanning electron microscopy and fractal theory. Fuel 2016, 164, 277–285. [Google Scholar] [CrossRef]
- Zhao, D.F.; Guo, Y.H.; Wang, G.; Mao, X.X. Characterizing nanoscale pores and its structure in coal: Experimental investigation. Energy Explor. Exploit. 2019, 37, 1320–1347. [Google Scholar] [CrossRef]
- Zavialova, O.; Kostenko, V.; Liashok, N.; Grygorian, M.; Kostenko, T.; Pokaliuk, V. Theoretical basis for the formation of damaging factors during the coal aerosol explosion. Min. Miner. Depos. 2021, 15, 130–138. [Google Scholar] [CrossRef]
- Liu, S.Q.; Sang, S.X.; Wang, G.; Ma, J.S.; Wang, X.; Wang, W.F.; Du, Y.; Wang, T.; Liu, S.; Sang, S.; et al. FIB-SEM and X-ray CT characterization of interconnected pores in high-rank coal formed from regional metamorphism. J. Pet. Sci. Eng. 2017, 148, 21–31. [Google Scholar] [CrossRef]
- Yue, J.; Wang, Z.; Chen, J.; Zheng, M.; Lou, X. Investigation of pore structure characteristics and adsorption characteristics of coals with different destruction types. Adsorpt. Sci. Technol. 2019, 37, 623–648. [Google Scholar] [CrossRef]
- Nie, B.; Liu, X.; Yang, L.; Meng, J.; Li, X. Pore structure characterization of different rank coals using gas adsorption and scanning electron microscopy. Fuel 2015, 158, 908–917. [Google Scholar] [CrossRef]
- Pan, J.; Zhu, H.; Hou, Q.; Wang, H.; Wang, S. Macromolecular and pore structures of Chinese tectonically deformed coal studied by atomic force microscopy. Fuel 2015, 139, 94–101. [Google Scholar] [CrossRef]
- Xin, F.; Xu, H.; Tang, D.; Yang, J.; Chen, Y.; Cao, L.; Qu, H. Pore structure evolution of low-rank coal in China. Int. J. Coal Geol. 2019, 205, 126–139. [Google Scholar] [CrossRef]
- Zhang, S.S.; Liu, H.; Jin, Z.H.; Wu, C.F. Multifractal analysis of pore structure in middle- and high-rank coal by mercury intrusion porosimetry and low-pressure N2 adsorption. Nat. Resour. Res. 2021, 30, 4565–4584. [Google Scholar] [CrossRef]
- Sakurovs, R.; He, L.; Melnichenko, Y.B.; Radlinski, A.P.; Blach, T.; Lemmel, H.; Mildner, D.F. Pore size distribution and accessible pore size distribution in bituminous coals. Int. J. Coal Geol. 2012, 100, 51–64. [Google Scholar] [CrossRef]
- Han, W.; Zhou, G.; Gao, D.; Zhang, Z.; Yang, H. Experimental analysis of the pore structure and fractal characteristics of different metamorphic coal based on mercury intrusionnitrogen adsorption porosimetry. Powder Technol. 2020, 362, 386–398. [Google Scholar] [CrossRef]
- Zhu, L.Q.; Ma, Y.S.; Cai, J.; Zhang, C.C.; Wu, S.G.; Zhou, X.Q. Key factors of marine shale conductivity in southern China—Part II: The influence of pore space and the development direction of shale gas saturation models. J. Pet. Sci. Eng. 2022, 209, 109516. [Google Scholar] [CrossRef]
- Zhang, B.Q.; Li, S.F. Determination of the surface fractal dimension for porous media by mercury porosimetry. Ind. Eng. Chem. Res. 1995, 34, 1383–1386. [Google Scholar] [CrossRef]
- Mandelbrot, B.B. The Fractal Geometry of Nature; Freeman: New York, NY, USA, 1982; p. 1. [Google Scholar]
- Liu, X.; Xiong, J.; Liang, L. Investigation of pore structure and fractal characteristics of organic-rich Yanchang formation shale in central China by nitrogen adsorption/desorption analysis. J. Nat. Gas Sci. Eng. 2015, 22, 62–72. [Google Scholar] [CrossRef]
- Zhang, S.H.; Tang, S.H.; Tang, D.Z.; Huang, W.; Pan, Z. Determining fractal dimensions of coal pores by FHH model: Problems and effects. J. Nat. Gas Sci. Eng. 2014, 21, 929–939. [Google Scholar] [CrossRef]
- Fu, X.H.; Qin, Y.; Zhang, W.H.; Wei, C.T.; Zhou, R. Fractal classification and natural classification of coal pore structure based on migration of coal bed methane. Chin. Sci. Bull. 2005, 50, 66–71. [Google Scholar] [CrossRef]
- Alvarez, A.C.; Passé-Coutrin, N.; Gaspard, S. Determination of the textural characteristics of carbon samples using scanning electronic microscopy images: Comparison with mercury porosimetry data. Adsorption 2013, 19, 841–850. [Google Scholar] [CrossRef]
- Sastry, P.U.; Mazumder, S.; Chandrasekaran, K.S.; Sen, D. Structural variations in lignite coal: A small angle X-ray scattering investigation. Solid State Commun. 2000, 114, 329–333. [Google Scholar] [CrossRef]
- Shelberg, M.; Lam, N.; Moellering, H. Measuring the fractal dimension of surfaces. In Proceedings of the Sixth International Symposium on Computer-Assisted Cartography Auto-Carto, Ottawa, ON, Canada, 16–21 October 1983; Volume 6, pp. 319–328. [Google Scholar]
- Dekayir, A.; Rouai, M. Basalt pore fractal dimensions from image analysis and mercury porosimetry. Arab. J. Eng. 2003, 28, 223–231. [Google Scholar]
- Hu, Q.; Ewing, R.P.; Dultz, S. Low pore connectivity in natural rock. J. Contam. Hydrol. 2012, 133, 76–83. [Google Scholar] [CrossRef]
- Cai, Y.D.; Liu, D.M.; Pan, Z.J.; Che, Y.; Liu, Z.H. Investigating the effects of seepage-pores and fractures on coal permeability by fractal analysis. Transp. Porous Media 2016, 111, 479–497. [Google Scholar] [CrossRef]
- Antoshchenko, M.; Tarasov, V.; Nedbailo, O.; Zakharova, O.; Yevhen, R. On the possibilities to apply indices of industrial coal-rank classification to determine hazardous characteristics of workable beds. Min. Miner. Depos. 2021, 15, 1–8. [Google Scholar] [CrossRef]
- Antoshchenko, M.; Tarasov, V.; Rudniev, R.; Zakharova, O. Using indices of the current industrial coal classification to forecast hazardous characteristics of coal seams. Min. Miner. Depos. 2022, 16, 7–13. [Google Scholar] [CrossRef]
- Moore, T.A. Coalbed methane: A review. Int. J. Coal Geol. 2012, 101, 36–81. [Google Scholar] [CrossRef]
- Zhu, J.; Zhao, Y.; Hu, Q.; Zhang, Y.; Shao, T.; Fan, B.; Jiang, Y.; Chen, Z.; Zhao, M. Coalbed methane production model based on random forests optimized by a genetic algorithm. ACS Omega 2022, 7, 13083–13094. [Google Scholar] [CrossRef] [PubMed]
- Wu, C.F.; Qin, Y.; Zhou, L.G. Effective migration system of coalbed methane reservoirs in the southern Qinshui basin. Sci. China-Earth Sci. 2015, 57, 2978–2984. [Google Scholar] [CrossRef]
- Su, X.B.; Lin, X.Y.; Liu, S.B.; Zhao, M.J.; Song, Y. Geology of coalbed methane reservoirs in the Southeast Qinshui Basin of China. Int. J. Coal Geol. 2005, 62, 197–210. [Google Scholar] [CrossRef]
- Yao, Y.B.; Liu, D.M.; Tang, D.Z.; Tang, S.H.; Huang, W.H. Fractal characterization of adsorption-pores of coals from North China: An investigation on CH4 adsorption capacity of coals. Int. J. Coal Geol. 2008, 73, 27–42. [Google Scholar] [CrossRef]
- Jin, Z.; Wang, C. Sedimentary conditions for good coal reservoir development in the Carboniferous and Permian, Qinshui Basin. Chin. Sci. Bull. 2005, 50, 17–23. [Google Scholar] [CrossRef]
- Lv, Y.; Tang, D.; Hao, X.; Luo, H. Production characteristics and the key factors in high-rank coalbed methane fields: A case study on the Fanzhuang Block, Southern Qinshui Basin, China. Int. J. Coal Geol. 2012, 96, 93–108. [Google Scholar] [CrossRef]
- ISO 11760:2005(E); Classification of Coals, 1st ed. International Organization for Standardization (ISO): Geneva, Switzerland.
- Chalmers, G.R.L.; Bustin, R.M. On the effects of petrographic composition on coalbed methan sorption. Int. J. Coal Geol. 2007, 69, 288–304. [Google Scholar] [CrossRef]
- Hodot, B.B. Outburst of Coal and Coalbed Gas; China Industry Press: Beijing, China, 1966. (In Chinese) [Google Scholar]
- Friesen, W.I.; Mikule, R.J. Fractal dimensions of coal particles. J. Colloid Interface Sci. 1987, 120, 263–271. [Google Scholar] [CrossRef]
- Liu, Y.; Zhu, Y. Comparison of pore characteristics in the coal and shale reservoirs of Taiyuan Formation, Qinshui Basin, China. Int. J. Coal Sci. Technol. 2016, 3, 330–338. [Google Scholar] [CrossRef]
- Atzeni, C.; Pia, G.; Sanna, U.; Spanu, N. A fractal model of the porous microstructure of earth-based materials. Constr. Build. Mater. 2008, 22, 1607–1613. [Google Scholar] [CrossRef]
- Tian, H.; Pan, L.; Xiao, X.; Wilkins, R.W.; Meng, Z.; Huang, B. A preliminary study on the pore characterization of lower Silurian black shales in the Chuandong thrust fold belt, southwestern China using low pressure N2 adsorption and FE-SEM methods. Mar. Pet. Geol. 2013, 48, 8–19. [Google Scholar] [CrossRef]
- Li, Z.; Liu, D.; Cai, Y.; Ranjith, P.G.; Yao, Y. Multi-scale quantitative characterization of 3-D pore-fracture networks in bituminous and anthracite coals using FIB-SEM tomography and X-ray μ-CT. Fuel 2017, 209, 43–53. [Google Scholar] [CrossRef]
- Okolo, G.N.; Everson, R.C.; Neomagus, H.W.; Roberts, M.J.; Sakurovs, R. Comparing the porosity and surface areas of coal as measured by gas adsorption, mercury intrusion and SAXS techniques. Fuel 2015, 141, 293–304. [Google Scholar] [CrossRef]
- Clarkson, C.R.; Solano, N.; Bustin, R.M.; Bustin, A.M.M.; Chalmers, G.R.L.; He, L.; Melnichenko, Y.B.; Radliński, A.P.; Blach, T.P. Pore structure characterization of North American shale gas reservoirs using USANS/SANS, gas adsorption, and mercury intrusion. Fuel 2013, 103, 606–616. [Google Scholar] [CrossRef]
- Zhao, D.F.; Guo, Y.H.; Mao, X.X.; Lu, C.G.; Qian, F.C. Characteristics of macro-nanopores in anthracite coal based on mercury injection, nitrogen adsorption and FE-SEM. J. China Coal Soc. 2017, 42, 1517–1526. [Google Scholar]
- Sakhaee-Pour, A.; Bryant, S.L. Pore structure of shale. Fuel 2015, 143, 467–475. [Google Scholar] [CrossRef]
- Pfeifer, P.; Avnir, D. Chemistry in noninteger dimensions between two and three. I. Fractal theory of heterogeneous surfaces. J. Chem. Phys. 1983, 80, 3558–3565. [Google Scholar] [CrossRef]
- Zhao, A.H.; Liao, Y.; Tang, X.Y. Quantitative analysis of pore structure by fractal analysis. J. China Coal Soc. 1998, 23, 105–108. [Google Scholar]
- Loucks, R.G.; Reed, R.M.; Ruppel, S.C.; Hammes, U. Spectrum of pore types and networks in mudrocks and a descriptive classification for matrix-related mudrock pores. AAPG Bull. 2012, 96, 1071–1098. [Google Scholar] [CrossRef]
- Rouquerol, J.; Avnir, D.; Fairbridge, C.W.; Everett, D.H.; Haynes, J.H.; Pernicone, N.; Ramsay, D.F.; Sing, K.S.W.; Unger, K.K. Recommendations for the characterization of porous solids. Pure Appl. Chem. 1994, 66, 1739–1758. [Google Scholar] [CrossRef]
- Bear, J. Dynamics of Fluids in Porous Media; Dover Publication, Inc.: New York, NY, USA, 1972. [Google Scholar]
- Krooss, B.M.; Bergen, F.V.; Gensterblum, Y.; Siemons, N.; Pagnier, H.J.M.; David, P. High-pressure methane and carbon dioxide adsorption on dry and moisture-equilibrated Pennsylvanian coals. Int. J. Coal Geol. 2002, 51, 69–92. [Google Scholar] [CrossRef]
- Pillalamarry, M.; Harpalani, S.; Liu, S. Gas diffusion behavior of coal and its impact on production from coalbed methane reservoirs. Int. J. Coal Geol. 2011, 86, 342–348. [Google Scholar] [CrossRef]
- Fathi, E.; Akkutlu, I.Y. Mass transport of adsorbed-phase in stochastic porous medium with fluctuating porosity field and nonlinear gas adsorption kinetics. Transp. Porous Media 2012, 91, 5–33. [Google Scholar] [CrossRef]
- Song, Y.C.; Xing, W.L.; Zhang, Y.; Jian, W.W.; Liu, Z.Y.; Liu, S. Adsorption isotherms and kinetics of carbon dioxide on Chinese dry coal over a wide pressure range. Adsorpt. J. Int. Adsorpt. Soc. 2015, 21, 53–65. [Google Scholar] [CrossRef]
- Wang, Y.; Agostini, F.; Skoczylas, F.; Jeannin, L.; Éric, P. Experimental study of the gas permeability and bulk modulus of tight sandstone and changes in its pore structure. Int. J. Rock Mech. Min. Sci. 2017, 91, 203–209. [Google Scholar] [CrossRef]
- Nie, B.S.; Yang, L.L.; Ge, B.Q.; Wang, J.W.; Li, X.C. Chemical kinetic characteristics of methane/air mixture explosion and its affecting factors. J. Loss Prev. Process Ind. 2017, 49, 675–682. [Google Scholar] [CrossRef]
- Guo, L.W.; Xiao, C.Y.; Liu, Y.X. Effect of coal pore structure on the CO proliferation. J. China Univ. Min. Technol. 2007, 36, 636–640, (In Chinese with English abstract). [Google Scholar]
- Civan, F. Effective correlation of apparent gas permeability in tight porous media. Transp. Porous Media 2010, 82, 375–384. [Google Scholar] [CrossRef]
- Chen, L.; Zhang, L.; Kang, Q.J.; Viswanathan, H.S.; Yao, J.; Tao, W.Q. Nanoscale simulation of shale transport properties using the lattice Boltzmann method: Permeability and diffusivity. Sci. Rep. 2015, 5, 8089. [Google Scholar] [CrossRef]
- Fu, X.H.; Qin, Y.; Jiang, B.; Wei, C.T. Study on the “bottle-neck” problem of coalbed methane productivity of high-rank coal reservoirs. Geol. Rev. 2004, 50, 33–35, (In Chinese with English abstract). [Google Scholar]
- Pommer, M.; Milliken, K. Pore types and pore-size distributions across thermal maturity, Eagle Ford Formation, southern Texas. AAPG Bull. 2015, 99, 1713–1744. [Google Scholar] [CrossRef]
- Yao, S.P.; Jiao, K.; Zhang, K.; Hu, W.X.; Ding, H.; Li, M.C.; Pei, W.M. An atomic force microscopy study of coal nanopore structure. Chin. Sci. Bull. 2011, 56, 2706–2712. [Google Scholar] [CrossRef]
- Cai, Y.D.; Liu, D.M.; Pan, Z.J.; Yao, Y.B.; Li, J.Q.; Qiu, Y.K. Pore structure and its impact on CH4 adsorption capacity and flow capability of bituminous and subbituminous coals from Northeast China. Fuel 2013, 103, 258–268. [Google Scholar] [CrossRef]
- Karacan, C.O.; Okandan, E. Adsorption and gas transport in coal microstructure: Investigation and evaluation by quantitative X-ray CT imaging. Fuel 2001, 80, 509–520. [Google Scholar] [CrossRef]
- Yang, F.; Ning, Z.F.; Liu, H.Q. Fractal characteristics of shales from a shale gas reservoir in the Sichuan Basin, China. Fuel 2014, 115, 378–384. [Google Scholar] [CrossRef]
- Zhao, D.F.; Guo, Y.H.; Zhu, Y.M.; Wang, G.; Chong, X.; Hu, X.M. Analysis of micro-scale heterogeneity characteristics in marine shale gas reservoir: Pore heterogeneity and its quantitative characterization. J. China Univ. Min. Technol. 2018, 47, 296–307. [Google Scholar]
- Lewis, R.T.; Seland, J.G. A multi-dimensional experiment for characterization of pore structure heterogeneity using NMR. J. Magn. Reson. 2016, 263, 19–32. [Google Scholar] [CrossRef]











| Sample | Ro, Max (%) a | Coal Type b | Maceral Compositions (Vol.%) | |||
|---|---|---|---|---|---|---|
| Vitrinite | Exinite | Inertinite | Mineral | |||
| M1 | 2.22 | Anthracite C | 82.13 | 1.19 | 5.14 | 11.54 |
| M2 | 2.94 | Anthracite C | 69.98 | 0.80 | 9.15 | 18.69 |
| M3 | 3.41 | Anthracite B | 85.18 | 0.00 | 14.03 | 0.59 |
| M4 | 2.39 | Anthracite C | 77.65 | 0.98 | 11.18 | 10.00 |
| M5 | 3.49 | Anthracite B | 76.07 | 0.19 | 23.15 | 0.39 |
| M6 | 4.37 | Anthracite A | 80.65 | 0.00 | 6.83 | 9.59 |
| M7 | 3.67 | Anthracite B | 71.27 | 0.19 | 25.93 | 2.61 |
| M8 | 2.40 | Anthracite C | 70.94 | 0.00 | 15.63 | 13.43 |
| M9 | 2.27 | Anthracite C | 77.01 | 0.00 | 18.47 | 4.32 |
| M10 | 2.83 | Anthracite C | 75.64 | 0.00 | 12.67 | 11.69 |
| M11 | 2.99 | Anthracite C | 71.23 | 0.00 | 16.63 | 12.13 |
| M12 | 2.87 | Anthracite C | 67.96 | 0.19 | 28.54 | 3.11 |
| M13 | 2.52 | Anthracite C | 86.07 | 0.57 | 10.88 | 2.48 |
| M14 | 2.91 | Anthracite C | 80.46 | 0.00 | 10.46 | 9.07 |
| M15 | 3.15 | Anthracite B | 71.92 | 0.00 | 21.63 | 6.26 |
| M16 | 3.05 | Anthracite B | 70.50 | 0.00 | 24.16 | 5.34 |
| M17 | 2.91 | Anthracite C | 76.60 | 0.00 | 15.63 | 7.38 |
| M18 | 3.64 | Anthracite B | 84.45 | 0.00 | 8.83 | 6.72 |
| M19 | 3.07 | Anthracite B | 82.14 | 0.00 | 3.69 | 13.98 |
| M20 | 3.25 | Anthracite B | 73.42 | 0.00 | 9.37 | 17.21 |
| Average value | 3.02 | Anthracites | 76.56 | 0.2055 | 14.6 | 8.3265 |
| Samples | Vt/cm3/g | St/m2/g | Pa/nm | Φ/% | Eex/% | Vma/vol.% | Vme/vol.% | Vtr/vol.% | Vmi/vol.% |
|---|---|---|---|---|---|---|---|---|---|
| M1 | 0.0554 | 24.058 | 9.2 | 4.23668363 | 0.693971 | 0.141391 | 0.133841 | 0.405132 | 0.594868 |
| M2 | 0.0437 | 23.442 | 7.5 | 2.875017847 | 0.836646 | 0.050663 | 0.049563 | 0.327251 | 0.572524 |
| M3 | 0.0671 | 26.425 | 10.2 | 5.243544874 | 0.662968 | 0.095449 | 0.209747 | 0.282208 | 0.412595 |
| M4 | 0.0361 | 19.257 | 7.5 | 2.483028784 | 0.837087 | 0.129555 | 0.049703 | 0.243811 | 0.576931 |
| M5 | 0.0435 | 23.911 | 7.3 | 2.784934146 | 0.850978 | 0.10488 | 0.041491 | 0.258232 | 0.595397 |
| M6 | 0.0302 | 16.468 | 7.3 | 2.142209757 | 0.835817 | 0.123626 | 0.039652 | 0.248222 | 0.5885 |
| M7 | 0.0463 | 24.181 | 7.7 | 3.106191827 | 0.797199 | 0.085255 | 0.061752 | 0.295108 | 0.557885 |
| M8 | 0.0417 | 21.796 | 7.7 | 3.178743539 | 0.81445 | 0.126779 | 0.063328 | 0.242133 | 0.56776 |
| M9 | 0.031 | 17.817 | 7 | 2.038316061 | 0.888077 | 0.082111 | 0.038966 | 0.257422 | 0.621501 |
| M10 | 0.0269 | 15.304 | 7 | 2.273857933 | 0.890588 | 0.071168 | 0.045663 | 0.266526 | 0.616642 |
| M11 | 0.049 | 22.265 | 8.8 | 3.809653428 | 0.713238 | 0.187692 | 0.080622 | 0.24131 | 0.490376 |
| M12 | 0.0401 | 19.237 | 8.3 | 3.007224346 | 0.768682 | 0.162004 | 0.068018 | 0.252918 | 0.51706 |
| M13 | 0.0494 | 21.584 | 9.1 | 3.910959308 | 0.662878 | 0.149132 | 0.077111 | 0.312709 | 0.461048 |
| M14 | 0.044 | 18.615 | 9.5 | 3.586923412 | 0.653708 | 0.219241 | 0.107855 | 0.218769 | 0.454135 |
| M15 | 0.0547 | 19.835 | 11 | 4.991520702 | 0.529635 | 0.233452 | 0.140195 | 0.243524 | 0.382829 |
| M16 | 0.0415 | 22.134 | 7.5 | 2.719432336 | 0.851428 | 0.125044 | 0.044963 | 0.254698 | 0.575295 |
| M17 | 0.041 | 23.165 | 7.1 | 2.540655263 | 0.889488 | 0.087397 | 0.0346 | 0.266363 | 0.61164 |
| M18 | 0.0428 | 22.574 | 7.6 | 2.846067496 | 0.827288 | 0.119889 | 0.052287 | 0.257824 | 0.57 |
| M19 | 0.0357 | 20.007 | 7.1 | 2.340004794 | 0.8762 | 0.101501 | 0.036536 | 0.256486 | 0.605478 |
| M20 | 0.0406 | 21.757 | 7.5 | 2.7318207 | 0.822922 | 0.100303 | 0.061896 | 0.261411 | 0.57639 |
| Average | 0.043035 | 21.1916 | 8.095 | 3.142339509 | 0.785162 | 0.124827 | 0.071889 | 0.269603 | 0.547443 |
| Sample | D1 | R12 | V1/cm3/g | S1/m2/g | D2 | R22 | Vm+h/cm3/g | Sm+h/m2/g |
|---|---|---|---|---|---|---|---|---|
| M1 | 3.1384 | 0.9528 | 0.0174 | 0.241 | 3.7041 | 0.9304 | 0.038 | 23.817 |
| M2 | 2.7643 | 0.9173 | 0.0063 | 0.15 | 3.7207 | 0.9151 | 0.0374 | 23.292 |
| M3 | 3.2413 | 0.8649 | 0.0244 | 0.477 | 3.5809 | 0.8769 | 0.0427 | 25.948 |
| M4 | 3.0927 | 0.9125 | 0.0072 | 0.073 | 3.8973 | 0.6492 | 0.0289 | 19.184 |
| M5 | 2.865 | 0.8289 | 0.0074 | 0.09 | 3.8831 | 0.6366 | 0.0361 | 23.821 |
| M6 | 2.7485 | 0.9133 | 0.0056 | 0.057 | 3.9087 | 0.6736 | 0.0246 | 16.411 |
| M7 | 3.0175 | 0.8226 | 0.0084 | 0.147 | 3.7392 | 0.9041 | 0.0379 | 24.034 |
| M8 | 2.6392 | 0.9762 | 0.0089 | 0.097 | 3.8856 | 0.7237 | 0.0328 | 21.699 |
| M9 | 2.8944 | 0.8913 | 0.0044 | 0.059 | 3.9171 | 0.591 | 0.0266 | 17.758 |
| M10 | 2.8717 | 0.9162 | 0.0037 | 0.054 | 3.8856 | 0.6295 | 0.0232 | 15.25 |
| M11 | 2.9264 | 0.8971 | 0.0144 | 0.132 | 3.8015 | 0.8584 | 0.0346 | 22.133 |
| M12 | 3.0327 | 0.9095 | 0.0103 | 0.108 | 3.7927 | 0.8611 | 0.0298 | 19.129 |
| M13 | 3.0206 | 0.8976 | 0.0136 | 0.21 | 3.6791 | 0.9384 | 0.0358 | 21.374 |
| M14 | 3.2243 | 0.6911 | 0.0155 | 0.13 | 3.8142 | 0.9337 | 0.0285 | 18.485 |
| M15 | 3.2443 | 0.7248 | 0.0231 | 0.274 | 3.7506 | 0.8869 | 0.0316 | 19.561 |
| M16 | 2.8332 | 0.9331 | 0.008 | 0.088 | 3.8787 | 0.7721 | 0.0335 | 22.046 |
| M17 | 2.7342 | 0.8887 | 0.0059 | 0.08 | 3.8826 | 0.8605 | 0.0351 | 23.085 |
| M18 | 2.616 | 0.9223 | 0.0084 | 0.097 | 3.8599 | 0.8549 | 0.0344 | 22.477 |
| M19 | 2.8068 | 0.8024 | 0.0057 | 0.066 | 3.9096 | 0.6417 | 0.03 | 19.941 |
| M20 | 3.0736 | 0.8169 | 0.0075 | 0.091 | 3.8787 | 0.756 | 0.0331 | 21.666 |
| Average | 2.9393 | 0.8740 | 0.010305 | 0.13605 | 3.8185 | 0.7947 | 0.03273 | 21.05555 |
Publisher’s Note: MDPI stays neutral with regard to jurisdictional claims in published maps and institutional affiliations. |
© 2022 by the authors. Licensee MDPI, Basel, Switzerland. This article is an open access article distributed under the terms and conditions of the Creative Commons Attribution (CC BY) license (https://creativecommons.org/licenses/by/4.0/).
Share and Cite
Zhao, D.; Guo, Y.; Wang, G.; Guan, X.; Zhou, X.; Liu, J. Fractal Analysis and Classification of Pore Structures of High-Rank Coal in Qinshui Basin, China. Energies 2022, 15, 6766. https://doi.org/10.3390/en15186766
Zhao D, Guo Y, Wang G, Guan X, Zhou X, Liu J. Fractal Analysis and Classification of Pore Structures of High-Rank Coal in Qinshui Basin, China. Energies. 2022; 15(18):6766. https://doi.org/10.3390/en15186766
Chicago/Turabian StyleZhao, Difei, Yinghai Guo, Geoff Wang, Xin Guan, Xueqing Zhou, and Jing Liu. 2022. "Fractal Analysis and Classification of Pore Structures of High-Rank Coal in Qinshui Basin, China" Energies 15, no. 18: 6766. https://doi.org/10.3390/en15186766
APA StyleZhao, D., Guo, Y., Wang, G., Guan, X., Zhou, X., & Liu, J. (2022). Fractal Analysis and Classification of Pore Structures of High-Rank Coal in Qinshui Basin, China. Energies, 15(18), 6766. https://doi.org/10.3390/en15186766

