Swirl-Bypass Nozzle for CO2 Two-Phase Ejectors: Numerical Design Exploration
Abstract
1. Introduction
1.1. Literature Review
1.2. Swirl-Bypass Concept
1.3. Knowledge Gap
2. CFD Model
2.1. Multiphase Model
2.2. Turbulence Model
2.3. Numerical Approach
2.4. Calculation of Ejector Parameters
3. Swirl Injection Geometry
4. Model Validation
4.1. Experimental Test Campaign
4.2. Comparison with Experimental Results
4.3. Mesh Independence Study
4.3.1. Flow-Rate Prediction
4.3.2. Shock Resolution
4.4. Comparison of Turbulence Models
4.5. Bypass Inlet
5. Results
5.1. Bypass Inlet Design
5.1.1. Bypass Position,
5.1.2. Flow Inclination Angle, , and Flow Tangential Angle,
5.1.3. Pressure Lift
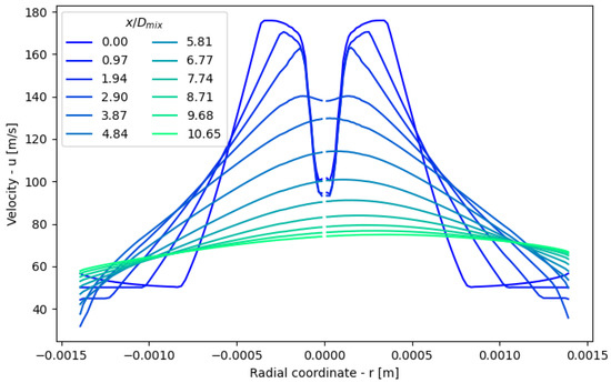
5.2. Flow Structure of Swirl Mixing
5.3. Discussion
5.4. Open Access
6. Further Work and Future Design Considerations
7. Conclusions
- Increase in mixing-chamber diameter.
- Reduction in bypass inlet size.
- Optimization of bypass inlet opening shape.
- Adding additional bypass inlets with a constant offset.
- Combined design optimization of ejector and swirl bypass inlet.
- Identification of optimal operating ranges.
- Designing for simple and low-cost manufacturing.
- Exploration of the combination of different ejector concepts.
- Definition of appropriate control strategies.
Author Contributions
Funding
Institutional Review Board Statement
Informed Consent Statement
Data Availability Statement
Conflicts of Interest
Appendix A
| # | P [bar] | T [C] | P [bar] | T [C] | [bar] | P [bar] | MFR [kg/s] | MFR [kg/s] |
|---|---|---|---|---|---|---|---|---|
| 1 | 79.7 | 24.7 | 34.5 | 14.6 | 1.5 | 36.0 | 0.0322 | 0.0414 |
| 2 | 79.8 | 24.1 | 34.5 | 9.6 | 1.9 | 36.4 | 0.0331 | 0.0337 |
| 3 | 80.4 | 23.1 | 31.5 | 9.8 | 3.9 | 35.5 | 0.0346 | 0.0062 |
| 4 | 85.0 | 24.2 | 34.5 | 13.2 | 1.6 | 36.2 | 0.0361 | 0.0431 |
| 5 | 84.9 | 24.4 | 33.7 | 11.6 | 2.0 | 35.7 | 0.0357 | 0.0371 |
| 6 | 85.2 | 23.7 | 30.8 | 9.6 | 4.3 | 35.1 | 0.0368 | 0.0073 |
| 7 | 89.9 | 23.8 | 34.3 | 10.1 | 1.7 | 36.0 | 0.0390 | 0.0450 |
| 8 | 90.2 | 23.9 | 33.6 | 9.2 | 2.0 | 35.6 | 0.0391 | 0.0410 |
| 9 | 90.0 | 23.4 | 30.6 | 8.1 | 4.6 | 35.2 | 0.0395 | 0.0086 |
| 10 | 94.9 | 24.4 | 34.4 | 9.6 | 1.8 | 36.2 | 0.0409 | 0.0476 |
| 11 | 95.2 | 23.5 | 32.7 | 8.3 | 2.8 | 35.4 | 0.0418 | 0.0345 |
| 12 | 95.1 | 24.1 | 30.2 | 7.5 | 5.2 | 35.4 | 0.0414 | 0.0070 |
| 13 | 65.0 | 12.0 | 34.4 | 12.1 | 1.2 | 35.5 | 0.0315 | 0.0258 |
| 14 | 69.7 | 11.5 | 34.4 | 11.0 | 1.0 | 35.4 | 0.0342 | 0.0327 |
| 15 | 74.9 | 11.9 | 34.4 | 9.4 | 1.0 | 35.4 | 0.0367 | 0.0374 |
| 16 | 65.2 | 11.9 | 33.6 | 13.2 | 1.9 | 35.5 | 0.0319 | 0.0142 |
| 17 | 70.1 | 11.7 | 32.8 | 9.6 | 2.4 | 35.2 | 0.0348 | 0.0145 |
| 18 | 74.8 | 11.9 | 33.0 | 8.3 | 2.1 | 35.1 | 0.0370 | 0.0220 |
| 19 | 64.9 | 11.9 | 33.0 | 16.0 | 2.5 | 35.4 | 0.0321 | 0.0079 |
| 20 | 70.1 | 11.9 | 32.2 | 9.4 | 3.0 | 35.2 | 0.0352 | 0.0073 |
| 21 | 75.1 | 11.9 | 31.4 | 8.3 | 3.7 | 35.0 | 0.0379 | 0.0058 |
| 22 | 65.0 | 14.5 | 34.2 | 13.7 | 1.3 | 35.5 | 0.0311 | 0.0237 |
| 23 | 69.6 | 15.4 | 34.5 | 11.1 | 1.1 | 35.6 | 0.0331 | 0.0320 |
| 24 | 74.5 | 13.5 | 34.5 | 10.9 | 1.1 | 35.5 | 0.0361 | 0.0370 |
| 25 | 64.7 | 14.6 | 33.5 | 13.7 | 2.0 | 35.5 | 0.0312 | 0.0124 |
| 26 | 70.3 | 14.8 | 33.5 | 11.9 | 2.1 | 35.5 | 0.0340 | 0.0180 |
| 27 | 74.9 | 14.4 | 33.0 | 9.7 | 2.1 | 35.1 | 0.0365 | 0.0228 |
| 28 | 64.9 | 15.3 | 32.9 | 14.2 | 2.6 | 35.5 | 0.0315 | 0.0062 |
| 29 | 69.7 | 14.8 | 32.9 | 14.1 | 2.8 | 35.7 | 0.0339 | 0.0083 |
| 30 | 75.4 | 14.6 | 31.6 | 9.7 | 3.5 | 35.1 | 0.0373 | 0.0073 |
| 31 | 70.3 | 19.1 | 33.9 | 10.3 | 1.6 | 35.5 | 0.0324 | 0.0264 |
| 32 | 74.7 | 20.3 | 34.0 | 12.5 | 1.2 | 35.2 | 0.0340 | 0.0380 |
| 33 | 80.0 | 20.0 | 34.5 | 10.1 | 1.2 | 35.8 | 0.0369 | 0.0426 |
| 34 | 85.0 | 19.3 | 34.4 | 9.4 | 1.2 | 35.6 | 0.0394 | 0.0430 |
| 35 | 90.0 | 19.2 | 34.1 | 7.5 | 1.3 | 35.5 | 0.0415 | 0.0442 |
| 36 | 94.9 | 19.5 | 33.9 | 7.4 | 1.5 | 35.4 | 0.0434 | 0.0452 |
| 37 | 69.9 | 19.3 | 33.5 | 11.3 | 2.0 | 35.5 | 0.0320 | 0.0193 |
| 38 | 75.3 | 19.0 | 32.9 | 11.2 | 2.3 | 35.2 | 0.0354 | 0.0205 |
| 39 | 80.0 | 19.2 | 33.8 | 9.9 | 1.9 | 35.7 | 0.0373 | 0.0305 |
| 40 | 85.1 | 18.8 | 33.1 | 8.0 | 2.2 | 35.3 | 0.0398 | 0.0296 |
| 41 | 89.8 | 19.3 | 33.5 | 6.7 | 2.0 | 35.4 | 0.0415 | 0.0364 |
| 42 | 94.9 | 19.7 | 32.9 | 7.6 | 2.4 | 35.3 | 0.0435 | 0.0351 |
| 43 | 70.0 | 18.6 | 32.7 | 16.0 | 2.8 | 35.5 | 0.0328 | 0.0086 |
| 44 | 75.1 | 18.4 | 31.8 | 11.1 | 3.5 | 35.3 | 0.0360 | 0.0067 |
| 45 | 79.9 | 18.8 | 31.6 | 11.4 | 3.9 | 35.5 | 0.0380 | 0.0071 |
| 46 | 84.9 | 19.2 | 30.5 | 6.9 | 4.4 | 34.8 | 0.0404 | 0.0071 |
| 47 | 89.8 | 19.4 | 30.6 | 8.5 | 4.8 | 35.4 | 0.0423 | 0.0072 |
| 48 | 95.1 | 19.1 | 29.5 | 6.7 | 5.4 | 34.9 | 0.0447 | 0.0060 |
| 49 * | 90.3 | 29.2 | 34.2 | 7.9 | 2.0 | 36.3 | 0.0339 | 0.0440 |
| 50 | 95.1 | 28.3 | 33.8 | 6.9 | 2.0 | 35.8 | 0.0377 | 0.0476 |
| 51 | 90.2 | 29.0 | 32.4 | 7.0 | 3.2 | 35.6 | 0.0340 | 0.0249 |
| 52 | 95.0 | 28.1 | 32.5 | 6.6 | 3.1 | 35.6 | 0.0378 | 0.0310 |
| 53 | 90.3 | 29.2 | 30.8 | 7.0 | 4.6 | 35.5 | 0.0338 | 0.0063 |
| 54 | 95.4 | 27.5 | 30.3 | 6.4 | 5.0 | 35.3 | 0.0384 | 0.0078 |
| 55 | 79.7 | 28.6 | 34.4 | 8.0 | 1.9 | 36.3 | 0.0270 | 0.0343 |
| 56 | 84.7 | 30.1 | 34.5 | 8.0 | 2.1 | 36.6 | 0.0290 | 0.0370 |
| 57 | 80.0 | 29.5 | 34.8 | 8.7 | 2.1 | 36.9 | 0.0259 | 0.0308 |
| 58 | 84.8 | 28.8 | 32.4 | 7.9 | 3.1 | 35.5 | 0.0306 | 0.0198 |
| 59 * | 79.9 | 29.3 | 31.9 | 14.6 | 3.7 | 35.6 | 0.0260 | 0.0067 |
| 60 | 85.1 | 28.2 | 30.8 | 7.0 | 4.1 | 34.9 | 0.0315 | 0.0076 |
| 61 | 71.2 | 24.4 | 34.2 | 8.8 | 1.4 | 35.7 | 0.0262 | 0.0336 |
| 62 * | 74.6 | 24.3 | 34.3 | 8.6 | 1.5 | 35.7 | 0.0293 | 0.0366 |
| 63 | 69.9 | 24.6 | 33.4 | 9.3 | 2.2 | 35.6 | 0.0247 | 0.0161 |
| 64 | 75.3 | 23.7 | 33.5 | 8.4 | 2.1 | 35.6 | 0.0305 | 0.0257 |
| 65 | 69.7 | 23.4 | 32.1 | 9.9 | 2.9 | 35.0 | 0.0266 | 0.0068 |
| 66 | 74.7 | 24.4 | 32.2 | 13.2 | 3.3 | 35.4 | 0.0291 | 0.0070 |
| 67 | 72.8 | 15.2 | 34.1 | 11.8 | 1.3 | 35.4 | 0.0350 | 0.0310 |
| 68 | 73.2 | 14.7 | 33.3 | 11.1 | 2.0 | 35.3 | 0.0355 | 0.0223 |
| 69 | 72.9 | 14.8 | 31.4 | 10.7 | 3.5 | 34.9 | 0.0363 | 0.0055 |
| 70 | 80.0 | 14.8 | 34.3 | 9.2 | 1.1 | 35.4 | 0.0384 | 0.0414 |
| 71 | 79.9 | 14.1 | 33.0 | 8.3 | 2.2 | 35.2 | 0.0388 | 0.0260 |
| 72 | 80.2 | 14.1 | 31.2 | 8.6 | 4.1 | 35.3 | 0.0397 | 0.0061 |
| 73 | 80.0 | 13.9 | 32.4 | 8.2 | 2.9 | 35.3 | 0.0391 | 0.0173 |
| 74 | 85.1 | 14.6 | 34.3 | 10.6 | 1.2 | 35.5 | 0.0407 | 0.0440 |
| 75 | 84.9 | 15.1 | 33.4 | 9.7 | 1.9 | 35.3 | 0.0406 | 0.0338 |
| 76 | 85.0 | 14.2 | 30.4 | 8.2 | 4.6 | 34.9 | 0.0420 | 0.0061 |
| 77 | 79.9 | 23.7 | 32.5 | 8.0 | 2.8 | 35.4 | 0.0335 | 0.0184 |
| 78 | 84.8 | 23.9 | 32.2 | 7.4 | 3.1 | 35.3 | 0.0364 | 0.0195 |
| 79 * | 82.8 | 34.5 | 34.3 | 9.1 | 2.7 | 37.0 | 0.0216 | 0.0263 |
| 80 | 83.1 | 34.6 | 32.4 | 8.5 | 3.5 | 35.9 | 0.0217 | 0.0122 |
| 81 | 82.8 | 34.6 | 31.7 | 9.6 | 3.9 | 35.6 | 0.0217 | 0.0053 |
| 82 | 86.3 | 34.3 | 34.4 | 9.1 | 2.3 | 36.7 | 0.0244 | 0.0332 |
| 83 | 85.7 | 34.7 | 33.4 | 8.2 | 3.0 | 36.4 | 0.0235 | 0.0225 |
| 84 | 85.9 | 33.8 | 31.3 | 7.9 | 4.1 | 35.3 | 0.0248 | 0.0077 |
| 85 | 64.9 | 19.8 | 33.9 | 11.7 | 1.6 | 35.5 | 0.0281 | 0.0193 |
| 86 | 65.2 | 19.5 | 33.5 | 11.9 | 2.0 | 35.5 | 0.0286 | 0.0128 |
| 87 | 65.2 | 19.3 | 32.6 | 12.9 | 2.7 | 35.3 | 0.0291 | 0.0049 |
| 88 | 94.9 | 19.6 | 32.2 | 6.8 | 3.2 | 35.4 | 0.0438 | 0.0257 |
| 89 | 95.0 | 19.0 | 30.9 | 6.2 | 4.3 | 35.2 | 0.0443 | 0.0146 |
| 90 | 90.7 | 18.8 | 32.1 | 6.8 | 3.5 | 35.5 | 0.0424 | 0.0199 |
| 91 | 85.5 | 19.1 | 32.1 | 7.1 | 3.2 | 35.3 | 0.0402 | 0.0186 |
| 92 | 80.1 | 18.1 | 32.2 | 7.3 | 3.1 | 35.2 | 0.0382 | 0.0147 |
| 93 | 94.9 | 13.0 | 34.2 | 8.1 | 1.4 | 35.6 | 0.0450 | 0.0480 |
| 94 | 95.0 | 12.9 | 33.0 | 7.2 | 2.2 | 35.2 | 0.0454 | 0.0374 |
| 95 | 94.8 | 12.6 | 31.9 | 6.3 | 3.3 | 35.1 | 0.0457 | 0.0255 |
| 96 | 94.9 | 12.4 | 29.4 | 5.4 | 5.4 | 34.7 | 0.0466 | 0.0073 |
| 97 | 89.9 | 12.6 | 34.2 | 8.9 | 1.2 | 35.4 | 0.0432 | 0.0466 |
| 98 | 89.9 | 12.7 | 33.1 | 8.3 | 2.1 | 35.2 | 0.0434 | 0.0355 |
| 99 | 90.1 | 12.6 | 32.1 | 7.1 | 3.1 | 35.2 | 0.0437 | 0.0242 |
| 100 | 89.9 | 12.6 | 30.5 | 6.6 | 4.6 | 35.1 | 0.0442 | 0.0097 |
| 101 | 85.0 | 12.0 | 34.3 | 10.2 | 1.1 | 35.5 | 0.0412 | 0.0441 |
| 102 | 84.9 | 12.2 | 33.0 | 9.0 | 2.1 | 35.1 | 0.0415 | 0.0311 |
| 103 | 84.8 | 12.5 | 31.9 | 8.2 | 3.3 | 35.1 | 0.0417 | 0.0175 |
| 104 | 84.9 | 12.5 | 30.5 | 8.1 | 4.6 | 35.0 | 0.0423 | 0.0065 |
| 105 | 80.0 | 12.9 | 34.1 | 11.7 | 1.5 | 35.6 | 0.0389 | 0.0347 |
| 106 | 80.0 | 12.5 | 33.4 | 11.0 | 2.0 | 35.4 | 0.0392 | 0.0282 |
| 107 | 80.0 | 12.4 | 32.2 | 10.1 | 3.2 | 35.3 | 0.0396 | 0.0149 |
| 108 | 80.0 | 11.9 | 31.0 | 9.7 | 4.1 | 35.1 | 0.0402 | 0.0063 |
| 109 | 89.9 | 12.6 | 34.2 | 8.9 | 1.2 | 35.4 | 0.0432 | 0.0466 |
| 110 | 89.9 | 12.7 | 33.1 | 8.3 | 2.1 | 35.2 | 0.0434 | 0.0355 |
| 111 | 90.1 | 12.6 | 32.1 | 7.1 | 3.1 | 35.2 | 0.0437 | 0.0242 |
| 112 | 89.9 | 12.6 | 30.5 | 6.6 | 4.6 | 35.1 | 0.0442 | 0.0097 |
| 113 | 94.9 | 13.0 | 34.2 | 8.1 | 1.4 | 35.6 | 0.0450 | 0.0480 |
| 114 | 95.0 | 12.9 | 33.0 | 7.2 | 2.2 | 35.2 | 0.0454 | 0.0374 |
| 115 | 94.8 | 12.6 | 31.9 | 6.3 | 3.3 | 35.1 | 0.0457 | 0.0255 |
| 116 | 94.9 | 12.4 | 29.4 | 5.4 | 5.4 | 34.7 | 0.0466 | 0.0073 |
| 117 | 89.9 | 14.5 | 34.0 | 13.1 | 1.4 | 35.4 | 0.0426 | 0.0431 |
| 118 | 90.2 | 14.9 | 33.1 | 11.9 | 2.2 | 35.3 | 0.0428 | 0.0338 |
| 119 | 90.2 | 14.8 | 32.1 | 10.6 | 3.2 | 35.3 | 0.0431 | 0.0219 |
| 120 | 89.8 | 14.6 | 30.1 | 9.3 | 5.0 | 35.0 | 0.0438 | 0.0064 |
| 121 | 94.6 | 14.9 | 34.1 | 11.2 | 1.4 | 35.6 | 0.0444 | 0.0469 |
| 122 | 94.8 | 14.6 | 32.7 | 9.5 | 2.6 | 35.2 | 0.0448 | 0.0333 |
| 123 | 95.3 | 14.4 | 31.7 | 8.2 | 3.6 | 35.2 | 0.0453 | 0.0227 |
| 124 | 95.1 | 14.4 | 29.8 | 7.1 | 5.1 | 35.0 | 0.0459 | 0.0088 |
| 125 | 90.5 | 33.8 | 34.4 | 9.7 | 2.6 | 37.0 | 0.0286 | 0.0344 |
| 126 | 90.4 | 33.6 | 32.5 | 7.7 | 3.3 | 35.8 | 0.0286 | 0.0229 |
| 127 | 90.0 | 33.7 | 30.9 | 6.9 | 4.4 | 35.3 | 0.0282 | 0.0081 |
| 128 | 95.0 | 33.8 | 34.1 | 9.4 | 2.7 | 36.8 | 0.0318 | 0.0378 |
| 129 | 94.9 | 34.7 | 33.1 | 8.9 | 3.6 | 36.7 | 0.0306 | 0.0243 |
| 130 | 94.8 | 33.2 | 30.8 | 7.6 | 4.5 | 35.3 | 0.0321 | 0.0118 |
References
- European Commision. Regulation (EU) No 517/2014 of the European Parliament and of the Council of 16th April 2014 on Fluorinated Greenhouse Gases and Repealing Regulation (EC) No 842/2006. Off. J. Eur. Union 2014, 150, 195–230. [Google Scholar]
- Gullo, P.; Hafner, A.; Banasiak, K. Transcritical R744 refrigeration systems for supermarket applications: Current status and future perspectives. Int. J. Refrig. 2018, 93, 269–310. [Google Scholar] [CrossRef]
- Karampour, M.; Sawalha, S. Energy efficiency evaluation of integrated CO2 trans-critical system in supermarkets: A field measurements and modelling analysis. Int. J. Refrig. 2017, 82, 470–486. [Google Scholar] [CrossRef]
- Rony, R.; Yang, H.; Krishnan, S.; Song, J.; Rony, R.U.; Yang, H.; Krishnan, S.; Song, J. Recent Advances in Transcritical CO2 (R744) Heat Pump System: A Review. Energies 2019, 12, 457. [Google Scholar] [CrossRef]
- Austin, B.T.; Sumathy, K. Transcritical carbon dioxide heat pump systems: A review. Renew. Sustain. Energy Rev. 2011, 15, 4013–4029. [Google Scholar] [CrossRef]
- Jin, Z.; Eikevik, T.M.; Nekså, P.; Hafner, A. Investigation on CO2 hybrid ground-coupled heat pumping system under warm climate. Int. J. Refrig. 2016, 62, 145–152. [Google Scholar] [CrossRef]
- Yang, J.; Yu, B.; Chen, J. Improved genetic algorithm-based prediction of a CO2 micro-channel gas-cooler against experimental data in automobile air conditioning system. Int. J. Refrig. 2019, 106, 517–525. [Google Scholar] [CrossRef]
- Luger, C.; Rieberer, R. Multi-objective design optimization of a rail HVAC CO2 cycle. Int. J. Refrig. 2018, 92, 133–142. [Google Scholar] [CrossRef]
- Ozcana, H.G.; Gunerhanb, H.; Hepbaslia, A.; Yaldirakc, H. Environmental Impact and Performance Comparison of Refrigerants (R744 and R134a) in a Mobile Air Conditioning System Used for Cooling Buses. Int. J. Eng. Technol. 2014, 7, 233–241. [Google Scholar] [CrossRef]
- de Carvalho, B.Y.K.; Melo, C.; Pereira, R.H. An experimental study on the use of variable capacity two-stage compressors in transcritical carbon dioxide light commercial refrigerating systems. Int. J. Refrig. 2019, 106, 604–615. [Google Scholar] [CrossRef]
- Mastrullo, R.; Mauro, A.W.; Perrone, A. A model and simulations to investigate the effects of compressor and fans speeds on the performance of CO2 light commercial refrigerators. Appl. Therm. Eng. 2015, 84, 158–169. [Google Scholar] [CrossRef]
- Sian, R.A.; Wang, C.C. Comparative study for CO2 and R-134a heat pump tumble dryer—A rational approach. Int. J. Refrig. 2019, 106, 474–491. [Google Scholar] [CrossRef]
- Mancini, F.; Minetto, S.; Fornasieri, E. Thermodynamic analysis and experimental investigation of a CO2 household heat pump dryer. Int. J. Refrig. 2011, 34, 851–858. [Google Scholar] [CrossRef]
- Purohit, N.; Sharma, V.; Fricke, B.; Gupta, D.K.; Dasgupta, M.S. Parametric analysis and optimization of CO2 trans-critical cycle for chiller application in a warm climate. Appl. Therm. Eng. 2019, 150, 706–719. [Google Scholar] [CrossRef]
- Dai, B.; Zhao, X.; Liu, S.; Yang, Q.; Zhong, D.; Hao, Y.; Hao, Y. Energetic, exergetic and exergoeconomic assessment of transcritical CO2 reversible system combined with dedicated mechanical subcooling (DMS) for residential heating and cooling. Energy Convers. Manag. 2020, 209, 112594. [Google Scholar] [CrossRef]
- Smitt, S.; Tolstorebrov, I.; Gullo, P.; Pardiñas, A.; Hafner, A. Energy use and retrofitting potential of heat pumps in cold climate hotels. J. Clean. Prod. 2021, 298, 126799. [Google Scholar] [CrossRef]
- Kim, M.H.; Pettersen, J.; Bullard, C.W. Fundamental process and system design issues in CO2 vapor compression systems. Prog. Energy Combust. Sci. 2004, 30, 119–174. [Google Scholar] [CrossRef]
- Gullo, P.; Hafner, A.; Banasiak, K.; Minetto, S.; Kriezi, E.; Gullo, P.; Hafner, A.; Banasiak, K.; Minetto, S.; Kriezi, E.E. Multi-Ejector Concept: A Comprehensive Review on its Latest Technological Developments. Energies 2019, 12, 406. [Google Scholar] [CrossRef]
- Elbel, S.; Lawrence, N. Review of recent developments in advanced ejector technology. Int. J. Refrig. 2016, 62, 1–18. [Google Scholar] [CrossRef]
- Chen, J.; Jarall, S.; Havtun, H.; Palm, B. A review on versatile ejector applications in refrigeration systems. Renew. Sustain. Energy Rev. 2015, 49, 67–90. [Google Scholar] [CrossRef]
- Sumeru, K.; Nasution, H.; Ani, F.N. A review on two-phase ejector as an expansion device in vapor compression refrigeration cycle. Renew. Sustain. Energy Rev. 2012, 16, 4927–4937. [Google Scholar] [CrossRef]
- Sarkar, J. Ejector enhanced vapor compression refrigeration and heat pump systems - A review. Renew. Sustain. Energy Rev. 2012, 16, 6647–6659. [Google Scholar] [CrossRef]
- Besagni, G.; Mereu, R.; Inzoli, F. Ejector refrigeration: A comprehensive review. Renew. Sustain. Energy Rev. 2016, 53, 373–407. [Google Scholar] [CrossRef]
- Tashtoush, B.M.; Al-Nimr, M.A.; Khasawneh, M.A. A comprehensive review of ejector design, performance, and applications. Appl. Energy 2019, 240, 138–172. [Google Scholar] [CrossRef]
- Aidoun, Z.; Ameur, K.; Falsafioon, M.; Badache, M.; Aidoun, Z.; Ameur, K.; Falsafioon, M.; Badache, M. Current Advances in Ejector Modeling, Experimentation and Applications for Refrigeration and Heat Pumps. Part 2: Two-Phase Ejectors. Inventions 2019, 4, 16. [Google Scholar] [CrossRef]
- Elbel, S. Historical and present developments of ejector refrigeration systems with emphasis on transcritical carbon dioxide air-conditioning. Int. J. Refrig. 2011, 34, 1545–1561. [Google Scholar] [CrossRef]
- Besagni, G. Ejectors on the cutting edge: The past, the present and the perspective. Energy 2019, 170, 998–1003. [Google Scholar] [CrossRef]
- Bodys, J.; Palacz, M.; Haida, M.; Smolka, J.; Nowak, A.J.; Banasiak, K.; Hafner, A. Full-scale multi-ejector module for a carbon dioxide supermarket refrigeration system: Numerical study of performance evaluation. Energy Convers. Manag. 2017, 138, 312–326. [Google Scholar] [CrossRef]
- Nakagawa, M.; Marasigan, A.; Matsukawa, T.; Kurashina, A. Experimental investigation on the effect of mixing length on the performance of two-phase ejector for CO2 refrigeration cycle with and without heat exchanger. Int. J. Refrig. 2011, 34, 1604–1613. [Google Scholar] [CrossRef]
- Zhu, J.; Elbel, S. Application of Vortex Control to an Automotive Transcritical R744 Ejector Cycle. SAE Tech. Pap. Ser. 2018, 1, 1–6. [Google Scholar] [CrossRef]
- Zheng, L.; Deng, J.; Zhang, Z. Dynamic simulation of an improved transcritical CO2 ejector expansion refrigeration cycle. Energy Convers. Manag. 2016, 114, 278–289. [Google Scholar] [CrossRef]
- Liu, F.; Groll, E.A. Study of ejector efficiencies in refrigeration cycles. Appl. Therm. Eng. 2013, 52, 360–370. [Google Scholar] [CrossRef]
- Elbel, S.; Hrnjak, P. Experimental validation of a prototype ejector designed to reduce throttling losses encountered in transcritical R744 system operation. Int. J. Refrig. 2008, 31, 411–422. [Google Scholar] [CrossRef]
- Taslimi Taleghani, S.; Sorin, M.; Poncet, S.; Nesreddine, H. Performance investigation of a two-phase transcritical CO2 ejector heat pump system. Energy Convers. Manag. 2019, 185, 442–454. [Google Scholar] [CrossRef]
- Taslimi Taleghani, S.; Sorin, M.; Poncet, S. Modeling of two-phase transcritical CO2 ejectors for on-design and off-design conditions. Int. J. Refrig. 2018, 87, 91–105. [Google Scholar] [CrossRef]
- Smolka, J.; Bulinski, Z.; Fic, A.; Nowak, A.J.; Banasiak, K.; Hafner, A. A computational model of a transcritical R744 ejector based on a homogeneous real fluid approach. Appl. Math. Model. 2013, 37, 1208–1224. [Google Scholar] [CrossRef]
- Lucas, C.; Rusche, H.; Schroeder, A.; Koehler, J. Numerical investigation of a two-phase CO2 ejector. Int. J. Refrig. 2014, 43, 154–166. [Google Scholar] [CrossRef]
- Palacz, M.; Smolka, J.; Kus, W.; Fic, A.; Bulinski, Z.; Nowak, A.J.; Banasiak, K.; Hafner, A. CFD-based shape optimisation of a CO2 two-phase ejector mixing section. Appl. Therm. Eng. 2016, 95, 62–69. [Google Scholar] [CrossRef]
- Palacz, M.; Smolka, J.; Nowak, A.J.; Banasiak, K.; Hafner, A. Shape optimisation of a two-phase ejector for CO2 refrigeration systems. Int. J. Refrig. 2017, 74, 210–221. [Google Scholar] [CrossRef]
- Haida, M.; Smolka, J.; Hafner, A.; Ostrowski, Z.; Palacz, M.; Madsen, K.B.; Försterling, S.; Nowak, A.J.; Banasiak, K. Performance mapping of the R744 ejectors for refrigeration and air conditioning supermarket application: A hybrid reduced-order model. Energy 2018, 153, 933–948. [Google Scholar] [CrossRef]
- Fang, Y.; Poncet, S.; Nesreddine, H.; Bartosiewicz, Y. An open-source density-based solver for two-phase CO2 compressible flows: Verification and validation. Int. J. Refrig. 2019, 106, 526–538. [Google Scholar] [CrossRef]
- Haida, M.; Fingas, R.; Szwajnoch, W.; Smolka, J.; Palacz, M.; Bodys, J.; Nowak, A.; Haida, M.; Fingas, R.; Szwajnoch, W.; et al. An Object-Oriented R744 Two-Phase Ejector Reduced-Order Model for Dynamic Simulations. Energies 2019, 12, 1282. [Google Scholar] [CrossRef]
- He, Y.; Deng, J.; Li, Y.; Ma, L. A numerical contrast on the adjustable and fixed transcritical CO2 ejector using exergy flux distribution analysis. Energy Convers. Manag. 2019, 196, 729–738. [Google Scholar] [CrossRef]
- He, Y.; Deng, J.; Li, Y.; Zhang, X. Synergistic effect of geometric parameters on CO2 ejector based on local exergy destruction analysis. Appl. Therm. Eng. 2021, 184, 116256. [Google Scholar] [CrossRef]
- Colarossi, M.; Trask, N.; Schmidt, D.P.; Bergander, M.J. Multidimensional modeling of condensing two-phase ejector flow. Int. J. Refrig. 2012, 35, 290–299. [Google Scholar] [CrossRef]
- Palacz, M.; Haida, M.; Smolka, J.; Nowak, A.J.; Banasiak, K.; Hafner, A. HEM and HRM accuracy comparison for the simulation of CO2 expansion in two-phase ejectors for supermarket refrigeration systems. Appl. Therm. Eng. 2017, 115, 160–169. [Google Scholar] [CrossRef]
- Bodys, J.; Smolka, J.; Palacz, M.; Haida, M.; Banasiak, K. Non-equilibrium approach for the simulation of CO2 expansion in two-phase ejector driven by subcritical motive pressure. Int. J. Refrig. 2020, 114, 32–46. [Google Scholar] [CrossRef]
- Giacomelli, F.; Mazzelli, F.; Milazzo, A. A novel CFD approach for the computation of R744 flashing nozzles in compressible and metastable conditions. Energy 2018, 162, 1092–1105. [Google Scholar] [CrossRef]
- Giacomelli, F.; Mazzelli, F.; Banasiak, K.; Hafner, A.; Milazzo, A. Experimental and computational analysis of a R744 flashing ejector. Int. J. Refrig. 2019, 107, 326–343. [Google Scholar] [CrossRef]
- Bodys, J.; Smolka, J.; Palacz, M.; Haida, M.; Banasiak, K.; Nowak, A.J. Effect of turbulence models and cavitation intensity on the motive and suction nozzle mass flow rate prediction during a non-equilibrium expansion process in the CO2 ejector. Appl. Therm. Eng. 2022, 201, 117743. [Google Scholar] [CrossRef]
- Ringstad, K.E.; Allouche, Y.; Gullo, P.; Ervik, Å.; Banasiak, K.; Hafner, A. A detailed review on CO2 two-phase ejector flow modeling. Therm. Sci. Eng. Prog. 2020, 20, 100647. [Google Scholar] [CrossRef]
- Nowak, A.J.; Palacz, M.; Smolka, J.; Banasiak, K.; Bulinski, Z.; Fic, A.; Hafner, A. CFD simulations of transport phenomena during transcritical flow of real fluid (CO2) within ejector. Int. J. Numer. Methods Heat Fluid Flow 2016, 26, 805–817. [Google Scholar] [CrossRef]
- Zhu, Y.; Wang, Z.; Yang, Y.; Jiang, P.X. Flow visualization of supersonic two-phase transcritical flow of CO2 in an ejector of a refrigeration system. Int. J. Refrig. 2017, 74, 352–359. [Google Scholar] [CrossRef]
- Bodys, J.; Palacz, M.; Haida, M.; Smolka, J.; Dziurowicz, D.; Majchrzyk, M.; Nowak, A.J. Experimental investigation of R744 transcritical flow and mixing in the two-phase ejector. J. Physics: Conf. Ser. 2022, 2177, 012044. [Google Scholar] [CrossRef]
- Palacz, M.; Bodys, J.; Haida, M.; Smolka, J.; Nowak, A.J. Two-phase flow visualisation in the R744 vapour ejector for refrigeration systems. Appl. Therm. Eng. 2022, 210, 118322. [Google Scholar] [CrossRef]
- Banasiak, K.; Hafner, A.; Andresen, T. Experimental and numerical investigation of the influence of the two-phase ejector geometry on the performance of the R744 heat pump. Int. J. Refrig. 2012, 35, 1617–1625. [Google Scholar] [CrossRef]
- Ringstad, K.E.; Banasiak, K.; Ervik, Å.; Hafner, A. Machine learning and CFD for mapping and optimization of CO2 ejectors. Appl. Therm. Eng. 2021, 199, 117604. [Google Scholar] [CrossRef]
- Lucas, C.; Koehler, J. Experimental investigation of the COP improvement of a refrigeration cycle by use of an ejector. Int. J. Refrig. 2012, 35, 1595–1603. [Google Scholar] [CrossRef]
- Gullo, P.; Kærn, M.R.; Haida, M.; Smolka, J.; Elbel, S. A Review on Current Status of Capacity Control Techniques for Two-Phase Ejectors. Int. J. Refrig. 2020, 119, 64–79. [Google Scholar] [CrossRef]
- Hafner, A.; Försterling, S.; Banasiak, K. Multi-ejector concept for R-744 supermarket refrigeration. Int. J. Refrig. 2014, 43, 1–13. [Google Scholar] [CrossRef]
- Zhu, J.; Elbel, S. Experimental investigation of a novel expansion device control mechanism: Vortex control of initially subcooled flashing R134a flow expanded through convergent-divergent nozzles. Int. J. Refrig. 2018, 85, 167–183. [Google Scholar] [CrossRef]
- Liu, F.; Groll, E.A.; Li, D. Investigation on performance of variable geometry ejectors for CO2 refrigeration cycles. Energy 2012, 45, 829–839. [Google Scholar] [CrossRef]
- Gullo, P.; Birkelund, M.; Kriezi, E.E.; Ryhl Kærn, M. Novel flow modulation method for R744 two-phase ejectors—Proof of concept, optimization and first experimental results. Energy Convers. Manag. 2021, 237, 114082. [Google Scholar] [CrossRef]
- Tang, Y.; Liu, Z.; Li, Y.; Shi, C.; Wu, H. Performance improvement of steam ejectors under designed parameters with auxiliary entrainment and structure optimization for high energy efficiency. Energy Convers. Manag. 2017, 153, 12–21. [Google Scholar] [CrossRef]
- Tang, Y.; Li, Y.; Liu, Z.; Wu, H.; Fu, W. A novel steam ejector with auxiliary entrainment for energy conservation and performance optimization. Energy Convers. Manag. 2017, 148, 210–221. [Google Scholar] [CrossRef]
- Chen, W.; Huang, C.; Chong, D.; Yan, J.J. Numerical assessment of ejector performance enhancement by means of combined adjustable-geometry and bypass methods. Appl. Therm. Eng. 2019, 149, 950–959. [Google Scholar] [CrossRef]
- Chen, W.; Fan, J.; Huang, C.; Liu, S.; Chong, D.; Yan, J.J. Numerical assessment of ejector performance enhancement by means of two-bypass inlets. Appl. Therm. Eng. 2020, 171, 115086. [Google Scholar] [CrossRef]
- Chen, W.; Chen, H.; Shi, C.; Xue, K.; Chong, D.T.; Yan, J.J. Impact of operational and geometrical factors on ejector performance with a bypass. Appl. Therm. Eng. 2016, 99, 476–484. [Google Scholar] [CrossRef]
- Chen, W.; Chen, H.; Shi, C.; Xue, K.; Chong, D.; Yan, J. A novel ejector with a bypass to enhance the performance. Appl. Therm. Eng. 2016, 93, 939–946. [Google Scholar] [CrossRef]
- Bodys, J.; Smolka, J.; Banasiak, K.; Palacz, M.; Haida, M.; Nowak, A.J. Performance improvement of the R744 two-phase ejector with an implemented suction nozzle bypass. Int. J. Refrig. 2018, 90, 216–228. [Google Scholar] [CrossRef]
- Bodys, J.; Smolka, J.; Palacz, M.; Haida, M.; Banasiak, K.; Nowak, A.J. Experimental and numerical study on the R744 ejector with a suction nozzle bypass. Appl. Therm. Eng. 2021, 194, 117015. [Google Scholar] [CrossRef]
- Park, I.S. Numerical investigation of entraining performance and operational robustness of thermal vapor compressor having swirled motive steam inflow. Desalination 2010, 257, 206–211. [Google Scholar] [CrossRef]
- Bodys, J.; Smolka, J.; Palacz, M.; Haida, M.; Banasiak, K.; Nowak, A.J.; Hafner, A. Performance of fixed geometry ejectors with a swirl motion installed in a multi-ejector module of a CO2 refrigeration system. Energy 2016, 117, 620–631. [Google Scholar] [CrossRef]
- Bell, I.H.; Wronski, J.; Quoilin, S.; Lemort, V. Pure and Pseudo-pure Fluid Thermophysical Property Evaluation and the Open-Source Thermophysical Property Library CoolProp. Ind. Eng. Chem. Res. 2014, 53, 2498–2508. [Google Scholar] [CrossRef] [PubMed]
- ANSYS. ANSYS Fluent Theory Guide. Release 19.0. Canonsburg. 2018. Available online: https://www.ansys.com/academic/terms-and-conditions (accessed on 10 September 2022).
- Gatski, T.B.; Bonnet, J.P. Compressibility, Turbulence and High Speed Flow; Elsevier Ltd.: Amsterdam, The Netherlands, 2013. [Google Scholar] [CrossRef]
- Palacz, M.; Smolka, J.; Fic, A.; Bulinski, Z.; Nowak, A.J.; Banasiak, K.; Hafner, A. Application range of the HEM approach for CO2 expansion inside two-phase ejectors for supermarket refrigeration systems. Int. J. Refrig. 2015, 59, 251–258. [Google Scholar] [CrossRef]
- Banasiak, K.; Hafner, A.; Kriezi, E.E.; Madsen, K.B.; Birkelund, M.; Fredslund, K.; Olsson, R. Development and performance mapping of a multi-ejector expansion work recovery pack for R744 vapour compression units. Int. J. Refrig. 2015, 57, 265–276. [Google Scholar] [CrossRef]
- Banasiak, K.; Hafner, A. 1D Computational model of a two-phase R744 ejector for expansion work recovery. Int. J. Therm. Sci. 2011, 50, 2235–2247. [Google Scholar] [CrossRef]
- Sjalander, M.; Jahre, M.; Tufte, G.; Reissmann, N. {EPIC}: An Energy-Efficient, High-Performance {GPGPU} Computing Research Infrastructure. arXiv 2019, arXiv:1912.05848. [Google Scholar]
- Brown, G.L.; Roshko, A. On density effects and large structure in turbulent mixing layers. J. Fluid Mech. 1974, 64, 775–816. [Google Scholar] [CrossRef]
- Papamoschou, D.; Roshko, A. The compressible turbulent shear layer: An experimental study. J. Fluid Mech. 1988, 197, 453–477. [Google Scholar] [CrossRef]


















| Parameter | ||||||||
|---|---|---|---|---|---|---|---|---|
| Value | 0.85 mm | 3 mm | 34 mm | 3.1 mm | 10 mm | 5 | 30 | 38 |
| Parameter | Device | Accuracy |
|---|---|---|
| P | Cerabar PMP71 | ±0.25% of span |
| Deltabar PMD75 | ±0.25% of span | |
| T | PT 1000 | ±0.15 K |
| MFR | Rheonik RHM 08 | ±0.1% of reading |
| Coriolis mass flow meter |
| P | T | P | T | P | MFR | MFR | |||
|---|---|---|---|---|---|---|---|---|---|
| [bar] | [C] | [bar] | [C] | [bar] | [g/s] | [g/s] | [g/s] | [g/s] | |
| I | 90.3 | 29.2 | 34.2 | 7.9 | 36.3 | 33.9 ± 0.2 | −0.9 | 44.0 ± 0.5 | +1.2 |
| II | 79.9 | 29.3 | 31.9 | 14.6 | 35.6 | 26.0 ± 0.5 | −1.5 | 6.74 ± 0.05 | +2.15 |
| III | 74.6 | 24.3 | 34.3 | 8.6 | 35.7 | 29.3 ± 1.2 | −3.6 | 36.6 ± 1.9 | +5.0 |
| IV | 82.8 | 34.5 | 34.3 | 9.1 | 37.0 | 21.6 ± 0.2 | −1.1 | 26.3 ± 0.7 | +13.4 |
| Mesh | Case | Cells | MFR [kg/s] | MFR [kg/s] |
|---|---|---|---|---|
| A | I | 700,000 | 0.0333 | 0.0473 |
| B | I | 1,000,000 | 0.0331 | 0.0468 |
| D | I | 1,400,000 | 0.0330 | 0.0448 |
| E | I | 2,500,000 | 0.0330 | 0.0452 |
| A | II | 700,000 | 0.0245 | 0.0105 |
| B | II | 1,000,000 | 0.0245 | 0.0101 |
| E | II | 2,500,000 | 0.0245 | 0.0089 |
| A | III | 700,000 | 0.0257 | 0.0417 |
| B | III | 1,000,000 | 0.0257 | 0.0417 |
| C | III | 2,000,000 | 0.0257 | 0.0416 |
| D | IV | 1,400,000 | 0.0205 | 0.0396 |
| E | IV | 2,500,000 | 0.0206 | 0.0397 |
| Turbulence Model | MFR [kg/s] | MFR [kg/s] |
|---|---|---|
| SST | 0.0330 | 0.0448 |
| realizable | 0.0330 | 0.0273 |
| Experimental | 0.0339 | 0.0440 |
| Case | Sim | [-] | [] | [] | P [bar] | MFR [kg/s] | MFR [kg/s] | Diff [%] |
|---|---|---|---|---|---|---|---|---|
| Case IV | 1 | 2 | 0 | 90 | 2.5 | 0.0295 | 0.0016 | −21.3 |
| 2 | 4 | 0 | 90 | 2.5 | 0.0321 | 0.0015 | −15.0 | |
| 3 | 7 | 0 | 90 | 2.5 | 0.0375 | 0.0006 | −3.6 | |
| 4 | 10 | 0 | 90 | 2.5 | 0.0385 | 0.0003 | −1.8 | |
| 5 | 4 | 20 | 90 | 2.5 | 0.0324 | 0.0015 | −14.2 | |
| 6 | 4 | 45 | 90 | 2.5 | 0.0328 | 0.0012 | −13.9 | |
| 7 | 4 | 0 | 40 | 2.5 | 0.0303 | 0.0027 | −16.5 | |
| 8 | 4 | 0 | 60 | 2.5 | 0.0308 | 0.0025 | −15.7 | |
| 9 | 4 | 45 | 90 | 2 | 0.0395 | 0.0019 | −20.0 | |
| 10 | 10 | 0 | 90 | 1 | 0.0454 | 0.0025 | −14.0 | |
| Case I | 11 | 2 | 0 | 90 | 2 | 0.0328 | 0.0021 | −22.8 |
| 12 | 4 | 0 | 60 | 2 | 0.0320 | 0.0039 | −20.6 | |
| 13 | 4 | 0 | 90 | 2 | 0.0335 | 0.0021 | −21.3 | |
| 14 | 4 | 20 | 90 | 2 | 0.0340 | 0.0020 | −20.5 | |
| 15 | 7 | 0 | 90 | 2 | 0.0357 | 0.0015 | −17.7 | |
| 16 | 4 | 20 | 90 | 1 | 0.0378 | 0.0024 | −18.8 | |
| 17 | 4 | 20 | 90 | 0.5 | 0.0426 | oscillating | ||
| No bypass | ||||||||
| Case IV | N1 | - | - | - | 2.5 | 0.039514 | - | |
| N2 | - | - | - | 2 | 0.051762 | - | ||
| N3 | - | - | - | 1 | 0.055674 | - | ||
| Case I | N4 | - | - | - | 2 | 0.045234 | - | |
| N5 | - | - | - | 1 | 0.049482 | - | ||
| N6 | - | - | - | 0.5 | oscillating | - | ||
Publisher’s Note: MDPI stays neutral with regard to jurisdictional claims in published maps and institutional affiliations. |
© 2022 by the authors. Licensee MDPI, Basel, Switzerland. This article is an open access article distributed under the terms and conditions of the Creative Commons Attribution (CC BY) license (https://creativecommons.org/licenses/by/4.0/).
Share and Cite
Ringstad, K.E.; Banasiak, K.; Ervik, Å.; Hafner, A. Swirl-Bypass Nozzle for CO2 Two-Phase Ejectors: Numerical Design Exploration. Energies 2022, 15, 6765. https://doi.org/10.3390/en15186765
Ringstad KE, Banasiak K, Ervik Å, Hafner A. Swirl-Bypass Nozzle for CO2 Two-Phase Ejectors: Numerical Design Exploration. Energies. 2022; 15(18):6765. https://doi.org/10.3390/en15186765
Chicago/Turabian StyleRingstad, Knut Emil, Krzysztof Banasiak, Åsmund Ervik, and Armin Hafner. 2022. "Swirl-Bypass Nozzle for CO2 Two-Phase Ejectors: Numerical Design Exploration" Energies 15, no. 18: 6765. https://doi.org/10.3390/en15186765
APA StyleRingstad, K. E., Banasiak, K., Ervik, Å., & Hafner, A. (2022). Swirl-Bypass Nozzle for CO2 Two-Phase Ejectors: Numerical Design Exploration. Energies, 15(18), 6765. https://doi.org/10.3390/en15186765
