Detection of Winding Axial Displacement of a Real Transformer by Frequency Response Analysis without Fingerprint Data
Abstract
:1. Introduction
2. Review of AD Diagnosis by FRA
3. AD Detection Method without Fingerprint Data
3.1. Accumulation of Data of Normal Transformers without AD
3.2. Proposal of AD Detection Method witouut Fingerprint Data
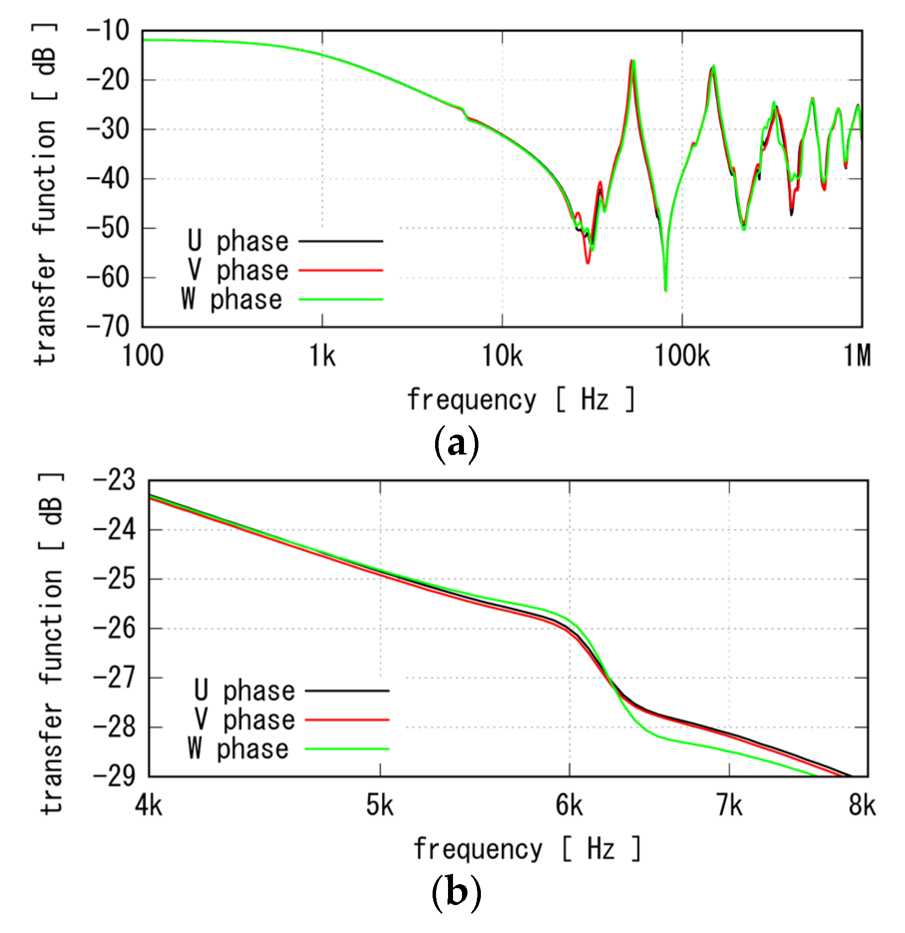
4. Detection of AD in Real Transformer without Fingerprint Data
5. Conclusions
Funding
Data Availability Statement
Acknowledgments
Conflicts of Interest
References
- Tenbohlen, S.; Coonan, S.; Djamel, M.; Muller, A.; Samimi, M.H.; Siegel, M. Diagnostic measurements for power transformers. Energies 2016, 9, 347. [Google Scholar] [CrossRef]
- Christian, J.; Feser, K. Procedures for detecting winding displacements in power transformers by the transfer function method. IEEE Trans. Power Deliv. 2004, 19, 214–220. [Google Scholar] [CrossRef]
- McNutt, W.J.; Johnson, W.M.; Nelson, R.A. Power transformer short-circuit strength—Requirements, design, and demonstration. IEEE Trans. Power Appar. Syst. 1970, 89, 1955–1969. [Google Scholar] [CrossRef]
- McNutt, W.J.; Patel, M.R. The combined effects of thermal aging and short-circuit stresses on transformer life. IEEE Trans. Power Appar. Syst. 1976, 95, 1275–1286. [Google Scholar] [CrossRef]
- Kobayashi, T.; Shirasaka, Y.; Ebisawa, Y.; Murakami, H. Expected life and maintenance/upgrade strategy for transformers. In Proceedings of the 6th CIGRE Southern Africa Regional Conference, Cape Town, South Africa, 17–21 August 2009. [Google Scholar]
- Miyazaki, S.; Mizutani, Y.; Ichikawa, M. Mechanical faults in oil immersed power transformers with disc-type windings due to external short circuit. IEEJ Trans. Electr. Electron. Eng. 2021, 16, 545–550. [Google Scholar] [CrossRef]
- Miyazaki, S.; Mizutani, Y.; Ichikawa, M.; Hayashi, Y.; Kato, O. Discussion on tolerance of power transformer against electromagnetic force generated by short-circuit current. In Proceedings of the Annual Conference of Power & Energy Society, Kyoto, Japan, 10–12 September 2014. (In Japanese). [Google Scholar]
- IEC60076-5. Power Transformers—Part 5: Ability to Withstand Short Circuit; International Electrotechnical Commission: Geneva, Switzerland, 2006. [Google Scholar]
- Heathcote, M.J. The J & P Transformer Book, 12th ed.; Reed Educational and Professional Publication Ltd.: Oxford, UK, 1998; pp. 226–245. [Google Scholar]
- Hashemnia, N.; Abu-Siada, A.; Islam, S. Improved power transformer winding fault detection using FRA diagnostics—Part 1: Axial displacement simulation. IEEE Trans. Dielectr. Electr. Insul. 2015, 22, 556–563. [Google Scholar] [CrossRef]
- Zhang, F.; Ji, S.; Shi, Y.; Ren, F.; Zhan, C.; Zhu, L. Comprehensive vibration generation model of transformer winding under load current. IET Gener. Transm. Distrib. 2019, 13, 1563–1571. [Google Scholar] [CrossRef]
- Manohar, S.S.; Subramaniam, A.; Bagheri, M.; Nadarajan, S.; Gupta, A.K.; Panda, S.K. Transformer winding fault diagnosis by vibration monitoring. In Proceedings of the 2018 Condition Monitoring and Diagnosis, Perth, Australia, 23–26 August 2018. [Google Scholar]
- Karami, H.; Tabarsa, H.; Gharehpetian, G.B.; Norouzi, Y.; Hejazi, M.A. Feasibility study on simultaneous detection of partial discharge and axial displacement of HV transformer winding using electromagnetic waves. IEEE Trans Ind. Inform. 2020, 16, 67–76. [Google Scholar] [CrossRef]
- Rahbarimagham, H.; Esmaeili, S.; Gharehpetian, G.B. Discrimination between radial deformation and axial displacement in power transformers using analysis of electromagnetic waves. IEEE Sens. J. 2017, 17, 5324–5331. [Google Scholar] [CrossRef]
- Bagheri, S.; Moravej, Z.; Gharehpetian, G.B. Classification and discrimination among winding mechanical defects, internal and external electrical faults, and inrush current of transformer. IEEE Trans Ind. Inform. 2018, 14, 484–493. [Google Scholar] [CrossRef]
- Bagheri, S.; Moravej, Z.; Gharehpetian, G.B. Effect of transformer winding mechanical defects, internal and external electrical faults and inrush currents on performance of differential protection. IET Gener. Transm. Distrib. 2017, 11, 2508–2520. [Google Scholar] [CrossRef]
- Ghanizadeh, A.J.; Gharehpetian, G.B. ANN and cross-correlation based features for discrimination between electrical and mechanical defects and their localization in transformer winding. IEEE Trans. Dielectr. Electr. Insul. 2014, 21, 2374–2382. [Google Scholar] [CrossRef]
- Picher, P.; Tenbohlen, S.; Lachmann, M.; Scardazzi, A.; Pavel, P. Current state of transformer FRA interpretation. Procedia Eng. 2017, 202, 3–12. [Google Scholar] [CrossRef]
- Cigre, W.G. Advances in the Interpretation of Transformer Frequency Response Analysis (FRA); Brochure 812; GIGRE: Paris, France, 2020. [Google Scholar]
- IEC 60076-18. Power Transformers—Part 18: Measurement of Frequency Response; International Electrotechnical Commission: Geneva, Switzerland, 2012. [Google Scholar]
- IEEE Guide for the Application and Interpretation of Frequency Response Analysis for Oil-Immersed Transformers; IEEE Std. C57.149; IEEE Power & Energy Society: New York, NY, USA, 2012.
- Abbasi, A.R.; Mahmoudi, M.R.; Arefi, M.M. Transformer winding faults detection based on time series analysis. IEEE Trans. Instrum. Meas. 2021, 70, 1–10. [Google Scholar] [CrossRef]
- Jiang, J.; Zhou, L.; Gao, S.; Li, W.; Wang, D. Frequency response features of axial displacement winding faults in autotransformers with split windings. IEEE Trans. Power Deliv. 2018, 33, 1699–1706. [Google Scholar] [CrossRef]
- Aljohani, O. Application of DIP to detect power transformers axial displacement and disk space variation using FRA polar plot signature. IEEE Trans Industr. Inform. 2017, 13, 1794–1805. [Google Scholar] [CrossRef] [Green Version]
- Liu, S.; Liu, Y.; Li, H.; Lin, F. Diagnosis of transformer winding faults based on FEM simulation and on-site experiments. IEEE Trans. Dielectr. Electr. Insul. 2016, 23, 3752–3760. [Google Scholar] [CrossRef]
- Tarimoradi, H.; Gharehpetian, G.B. Novel calculation method of indices to improve classification of transformer winding fault type, location, and extent. IEEE Trans Ind. Inform. 2017, 13, 1531–1540. [Google Scholar] [CrossRef]
- Al-Ameri, S.M.A.N.; Kamarudin, M.S.; Yousof, M.F.M.; Salem, A.A.; Banakhr, F.A.; Mosaad, M.I.; Abu-Siada, A. Understanding the Influence of Power Transformer Faults on the Frequency Response Signature Using Simulation Analysis and Statistical Indicators. IEEE Access 2021, 9, 70935–70947. [Google Scholar] [CrossRef]
- Miyazaki, S.; Tahir, M.; Tenbohlen, S. Detection and quantitative diagnosis of axial displacement of transformer winding by frequency response analysis. IET Gener. Transm. Distrib. 2019, 13, 3493–3500. [Google Scholar] [CrossRef]
- Samimi, M.H.; Tenbohlen, S.; Akmal, A.A.S.; Mohseni, H. Effect of different connection schemes, terminating resistors and measurement impedances on the sensitivity of the FRA method. IEEE Trans. Power Deliv. 2017, 32, 1713–1720. [Google Scholar] [CrossRef]
- Miyazaki, S.; Mizutani, Y. Method of evaluating probability of pressboard failure in power transformer with disc-type winding due to electromagnetic force by external short circuit. IEEJ Trans. Electr. Electron. Eng. 2021, 16, 973–981. [Google Scholar] [CrossRef]
- Takeuchi, J. Design of Electric Machinery and Apparatus, 3rd ed.; Ohmsha: Tokyo, Japan, 2016; pp. 187–200. (In Japanese) [Google Scholar]
- Miyazaki, S.; Mizutani, Y.; Tahir, M.; Tenbohlen, S. Influence of employing different measuring systems on measurement repeatability in frequency response analyses of power transformers. IEEE Electr. Insul. Mag. 2019, 35, 27–33. [Google Scholar] [CrossRef]
- Kennedy, G.M.; McGrail, A.J.; Lapworth, J.A. Using Cross-Correlation Coefficients to Analyze Transformer Sweep Frequency Response Analysis (SFRA) Traces. In Proceedings of the 2007 IEEE Power Engineering Society Conference and Exposition in Africa, Johannesburg, South Africa, 16–20 July 2007. [Google Scholar]
- Al-Ameri, S.M.; Kamarudin, M.S.; Yousof, M.F.M.; Salem, A.A.; Siada, A.A.; Mosaad, M.I. Interpretation of Frequency Response Analysis for Fault Detection in Power Transformers. Appl. Sci. 2021, 11, 2923. [Google Scholar] [CrossRef]
- Miyazaki, S. Detection of axial displacement of transformer winding by frequency response analysis without past measured reference data. In Proceedings of the International Conference on Condition Monitoring and Diagnosis, Bangkok, Thailand, 25–28 October 2020. [Google Scholar]












| Name | Rated Capacity | Rated Voltage | Vector Group | Stabilizing Winding | Winding Arrangement | Winding Type | Grounding Point in IIW Measurement *2 | RBS Type | |
|---|---|---|---|---|---|---|---|---|---|
| HV | LV | ||||||||
| Tr-A4 | 20 | 77.25/22 | YNyn0+d | Available | Figure 5a | Interleaved | Neutral | neutral | Stair type |
| Tr-A4a *2 | 20 | 77.25/22 | YNyn0d1 | N/A | Figure 5a | Interleaved | Neutral | neutral | |
| Tr-A1 *3 | 30 | 66/6.6 | Yy0+d | Available | Figure 5a | Interleaved | OPW *1 | OPW | Crossing-curve type |
| Tr-A4b *4 | 20 | 77.25/22 | Yy0+d | Available | Figure 5a | Interleaved | OPW *1 | OPW | |
| Tr-A4c *5 | 20 | 77.25/22 | Yy0d1 | N/A | Figure 5a | Interleaved | OPW *1 | OPW | |
| Tr-B1 | 20 | 66/6.9 | Yy0+d | Available | Figure 5b | Multilayer | OPW *1 | OPW | |
| Tr-B2 | 30 | 66/6.9 | Yy0+d | Available | Figure 5b | Multilayer | OPW *1 | OPW | |
| Tr-B3 | 15 | 66/6.9 | Yy0+d | Available | Figure 5b | Multilayer | OPW *1 | OPW | |
| Tr-B4 | 20 | 66/6.9 | Yy0+d | Available | Figure 5b | Multilayer | OPW *1 | OPW | |
| Tr-A2 | 20 | 66/6.6 | YNy0 | N/A | Figure 5c | Interleaved | Neutral | OPW | No RBS |
| Tr-A3 | 10 | 66/6.6 | YNy0+d | Available | Figure 5a | Interleaved | Neutral | OPW | |
Publisher’s Note: MDPI stays neutral with regard to jurisdictional claims in published maps and institutional affiliations. |
© 2021 by the author. Licensee MDPI, Basel, Switzerland. This article is an open access article distributed under the terms and conditions of the Creative Commons Attribution (CC BY) license (https://creativecommons.org/licenses/by/4.0/).
Share and Cite
Miyazaki, S. Detection of Winding Axial Displacement of a Real Transformer by Frequency Response Analysis without Fingerprint Data. Energies 2022, 15, 200. https://doi.org/10.3390/en15010200
Miyazaki S. Detection of Winding Axial Displacement of a Real Transformer by Frequency Response Analysis without Fingerprint Data. Energies. 2022; 15(1):200. https://doi.org/10.3390/en15010200
Chicago/Turabian StyleMiyazaki, Satoru. 2022. "Detection of Winding Axial Displacement of a Real Transformer by Frequency Response Analysis without Fingerprint Data" Energies 15, no. 1: 200. https://doi.org/10.3390/en15010200
APA StyleMiyazaki, S. (2022). Detection of Winding Axial Displacement of a Real Transformer by Frequency Response Analysis without Fingerprint Data. Energies, 15(1), 200. https://doi.org/10.3390/en15010200
