Next Article in Journal
A Numerical Model of Biomass Combustion Physical and Chemical Processes
Previous Article in Journal
The Evaluation of the Corrosion Rates of Alloys Applied to the Heating Tower Heat Pump (HTHP) by Machine Learning
Previous Article in Special Issue
Numerical Study of Hydrogen Auto-Ignition Process in an Isotropic and Anisotropic Turbulent Field
 
 
Font Type:
Arial Georgia Verdana
Font Size:
Aa Aa Aa
Line Spacing:
Column Width:
Background:
Article

Flame Stabilization and Blow-Off of Ultra-Lean H2-Air Premixed Flames

Department of Mechanical Engineering, Eindhoven University of Technology, 5600 MB Eindhoven, The Netherlands
*
Author to whom correspondence should be addressed.
Energies 2021, 14(7), 1977; https://doi.org/10.3390/en14071977
Submission received: 11 March 2021 / Revised: 25 March 2021 / Accepted: 30 March 2021 / Published: 2 April 2021
(This article belongs to the Special Issue Modelling of Combustion and Detonation of Hydrogen)

Abstract

The manner in which an ultra-lean hydrogen flame stabilizes and blows off is crucial for the understanding and design of safe and efficient combustion devices. In this study, we use experiments and numerical simulations for pure H2-air flames stabilized behind a cylindrical bluff body to reveal the underlying physics that make such flames stable and eventually blow-off. Results from CFD simulations are used to investigate the role of stretch and preferential diffusion after a qualitative validation with experiments. It is found that the flame displacement speed of flames stabilized beyond the lean flammability limit of a flat stretchless flame ( ϕ = 0.3 ) can be scaled with a relevant tubular flame displacement speed. This result is crucial as no scaling reference is available for such flames. We also confirm our previous hypothesis regarding lean limit blow-off for flames with a neck formation that such flames are quenched due to excessive local stretching. After extinction at the flame neck, flames with closed flame fronts are found to be stabilized inside a recirculation zone.

1. Introduction

In order to reduce harmful emissions, alternative fuels need to be investigated. One such promising fuel is hydrogen, which can be produced from renewable sources, stored and used when and where needed [1,2,3,4,5,6]. However, hydrogen differs from natural gas, e.g., due to the differences caused by the low molecular weight and associated Lewis number, which is the ratio of thermal to mass diffusion. For H2, the Lewis number is around 0.3 , while for natural gas it is around 1. For fuels with Lewis numbers less than unity, positive stretch rates can induce strong changes in local stoichiometry, resulting in an increase in the local flame speed [7]. Due to these effects, it is possible to stabilize H2/air flames near the lean flammability limit and even beyond that limit [8,9,10]. Such ultra-lean flames are of fundamental interest for investigation of limits of blow-off, formation of unique flames such as flame balls and validation of kinetics. Another aspect of ultra-lean combustion is that it can help in reducing flame temperatures and, in turn, NOx emissions.
Stabilization and blow-off of ultra-lean CH4/H2/air flames has been a topic of active research. Shoshin et al. [11] studied the anomalous blow-off of hydrogen-enriched flames experimentally and found that, for flames with L e 1 , a flame neck is formed downstream of the flame base region. It was postulated and later confirmed in [12] that at flame neck, due to excessive stretching, similar to tubular flames, extinction occurs, resulting in the downstream flame section convecting away. The upstream flame called “residual flame” was found to be stable. Such a residual flame has also been observed in numerical studies involving high-velocity blow-off [13,14] after local extinction occurred. Recently, Jimenez et al. studied the shedding of flame balls from the residual flame in a time-dependent simulation [15] highlighting the complex nature of the physical phenomenon. Stabilization of unique ball-like flames beyond flammability conditions has attracted the interest of many researchers [8,9,10]. These flames stabilize due to strong curvature effects and have been a subject of fundamental interest.
Another practical aspect is the high propensity of hydrogen flames to flashback compared to methane flames. Investigation of fundamental reasons for the hydrogen flashback problem can help in designing counter strategies for stabilizing flame for wider limits. The relationship between flow strain, flame curvature and strong preferential diffusion effects in the presence of a heat conducting flame holder needs to be well understood. For the burner presented in our previous study [12], flashback was found to occur for H2-air flames at equivalence ratios higher than the lean flammability limit in both experiments and simulations. Thus, it is of interest to find out how a flame stabilizes at ultra-lean conditions and use this knowledge for design of burners that can stabilize hydrogen flames at higher ϕ ’s.
Scaling of ultra-lean beyond lean flammability flames is also of interest as there is no adiabatic unstretched flame that can be used as a reference. It is expected that the flame stretch and curvature will play a major role in stabilization of “beyond-flammability” flames and, as such, stretched canonical configurations could yield a better scaling option. Due to a significant increase in the trustworthiness of numerical methods, chemical kinetics, computational power along with flame diagnostics [16], numerical simulations coupled with experiments can reveal the underlying physics of flames in an accurate manner.
Based on the previous paragraphs, it can be argued that an experimental and numerical investigation into the stabilization and lean blow-off of pure H2-air flames is missing from the literature. Information on scaling of such beyond flammability limit flames is also scarce but is required for estimating the flame reference response. Another aspect that needs to be investigated is the extinction of flames with neck formation for pure H2-air flames so as to test our previous hypothesis in [12]. The main difference between our current and previous work is that in this study we focus on: (1) Pure H2-air flames with away from extinction and at extinction, (2) scaling of beyond flammability limit (of a flat flame) flame which has not been done in a systematic manner prior to this study (as far as we know), and (3) testing of our hypothesis for flame extinction for pure H2-air flames.
In order to study ultra-lean flames, we use experiments and numerical simulations for H2/air flames stabilized behind a bluff body. We first find a stable flame away from extinction and gradually decrease the equivalence ratio towards extinction. Focus is kept on the flame base region for flames away from extinction for finding relevant scaling characteristics. Flame neck extinction is then compared with that of a tubular flame. In the end, we present post-extinction residual and ball-like flames which burn in a narrow equivalence ratio range.

2. Experimental Setup and Numerical Model

Experimental setup used in this work is shown in Figure 1a and is the same as used in our previous studies [12,17]. The premixed mixture passes through a cylindrical plenum chamber where initial turbulence is dissipated by a 30 mm layer of small steel beads at the bottom. A uniform flow profile is generated by two perforated plates of 21.5 mm diameter, with holes of 0.4 mm diameter installed at the plenum chamber outlet. Supported by a 0.4 mm diameter steel rod, a cylindrical brass bluff body with a diameter of D = 2 R = 8 mm and a height of 8 mm acts as a flame holder. In order to protect the flame from external flow and from dilution of the mixture with the surrounding air, fused silica tube with 21.5 mm internal diameter is installed. Radiation from the burnt gas (H2O) is captured by camera (Pike F-032B) by Allied Vision at exposure times 30–120 s. Mixture was prepared in-line by combining air in hydrogen flows controlled by Bronkhorst mass flow controllers with 0.5% accuracy.
The numerical configuration is based on the experimental setup and the geometry is shown in Figure 1b. The inlet velocity is fixed at 1 m s 1 . Axi-symmetric 2D slices of the fluid and solid domains are modelled as the computational domain. The enclosing glass tube is modelled as an isothermal wall with a temperature of 300 K and a no-slip condition. The outlet is modelled with an outflow boundary condition so that no change occurs in the field variables in the normal direction. Conjugate heat transfer of the fluid with the solid brass bluff body (thermal conductivity, k = 109 W / K m ) has also been modelled. A commercial CFD code Ansys Fluent [18] is used to solve the governing equations by using a coupled solver. Gravitational, and viscous work effects are ignored as they were found to play a minimum role. Soret (thermal diffusion) is modelled by using a reduced model for H and H2 species following [19,20]. Radiation heat loss from gas to the surrounding environment is modelled using an optically thin model for H2O species [21]. Radiation heat loss from the solid burner to the cold environment is modelled as well assuming grey body radiation. Chemistry of H2-air flames is modelled using the Konnov mechanism recently introduced in [22] which contains 15 species and 75 reactions. This mechanism has been updated with chemically termolecular reactions H + O 2 + R along with new theoretical transport property database by Jasper et al. [23] and validated with experimental measurements of flame speed in [22]. Constant Lewis number based mixture properties are used [24] based on conclusions from [25,26]. Corresponding 1D simulations with multi-component transport model are used to generate constant Lewis numbers using CHEM1D [27]. CHEM1D is a one-dimensional code developed using FORTRAN-90 at Eindhoven University of Technology. The spatial co-ordinates are discretised using a second order finite volume scheme in CHEM1D. CHEM1D applies the weighted function gridding strategy for adaptive grid generation so that points are concentrated in the region of high activity. It also uses the modified Newton method as the Non-linear solver to solve the fully discretised system. For a steady, laminar, reactive flow, the following equations are solved:
· ( ρ v ) = 0
· ( ρ v Y i ) + · J i = ω i
· ( ρ v v ) = p + · τ ¯ ¯
· ( ( ρ E + p ) v ) = · ( λ T ) · ( Σ i h i J i ) + ω T + q r a d
In the above equations, the velocity vector, density, the species mass fractions, the species source terms, pressure, temperature, species sensible enthalpy and heat loss due to radiation from burnt gases (H2O vapors) are represented by v , ρ , Y i , ω i , p, T, h i and q r a d , respectively. The stress tensor, total energy, enthalpy and thermal heat release rate are represented by τ ¯ ¯ , E, h and ω T , respectively.
τ ¯ ¯ = μ [ ( v + v T ) 2 3 · v I ]
E = h p ρ + v · v 2
h = i Y i h i
h i = T r e f T c p , i d T
ω T = i h i 0 M i ω i
In the above equations, formation enthalpy and molecular weight of species i is represented by h i 0 and M i , respectively. For the solid domain, the heat conduction equation is solved using
· ( k T ) = 0
The thermal conductivity of the solid body is represented by k. J i represents the diffusion flux and is given by
J i = J i F + J i T
where the Fickian diffusion flux due to species gradients is given as: J i F = ρ D i , m Y i , with D i , m the mixture averaged Fickian diffusion coefficients for species i. The thermal diffusive flux (Soret effect) due to temperature gradients is given as: J i T = ρ D i T T T , with D i T being the thermal diffusion coefficient for species i. Thermal diffusion is modelled using a reduced model presented in [19] for H2 and H species and was modelled using the relation below:
D i T = α i 15 4 X i μ i ρ Φ i , m 1.2 C i , m * 1 1 Y i Y i S [ m 2 s 1 ]
Here the mole fraction and viscosity of species i is represented by X i and μ i , respectively. S is a scalar enforcing mass conservation for thermal diffusion fluxes. Further information on Φ i , m and C i , m * can be looked up in [19]. The values of α i are chosen to correct for systematic errors in the derivation of Equation (12) [19]. The transport properties are calculated based on the following relations [28]:
λ = 2.58 × 10 5 c p T 298 0.69 [ W m 1 K 1 ]
μ = 1.67 × 10 8 c p T 298 0.51 [ k g m 1 s 1 ]
Here the mixture viscosity, conductivity and the specific heat capacity is represented by μ , λ and c p , respectively. An equidistant structured grid is employed for solving the two dimensional steady reacting flow equations. A 100 μ m global grid resolution with an additional level grid refinement in the flame zone resulting in a local resolution of 25 μ m is used to ensure grid independent and well resolved solutions. This model was previously validated in our earlier studies [12,17].

3. Results and Discussion

In this section results from experiments and simulations are presented for pre-extinction flames. Equivalence ratios are varied in steps similar to experimental values and solution is initialized from higher ϕ flame. Using detailed numerical model with detailed kinetics, objective is to first validate numerical results and then use numerical results to analyze beyond flammability flames away from extinction.

3.1. Qualitative Comparison between Experiments and Simulations

Experimental results of radiation emitted from burnt gas H2O is shown in the top row of Figure 2 for ϕ = 0.2 , 0.16 , 0.13 , 0.11 . Images were taken by Pike F-032B camera by Allies Vision, with wavelength sensitivity range 300–1005 nm at 30–120 s exposure times. Corresponding radiation heat loss source term q r a d from numerical simulations is shown in the bottom row of the same figure for corresponding equivalence ratios except for the leanest case at ϕ = 0.11 , where flame extinction was found to happen at experimental conditions. At ϕ = 0.2 , a conical flame can be observed, with no neck formation. As ϕ is decreased, flame base width is found to change slightly, but downstream, a narrow flame neck starts to form. The flame neck does not show higher H2O concentration than the flame base at ϕ = 0.11 . Similar observations can be made from the numerical results for conical flame at ϕ = 0.2 and formation of neck at ϕ = 0.115 . Overall, good qualitative agreement can be observed for flame shapes between experiments and simulations. In the experiments, post-extinction flames were also observed which will be discussed in Section 4.1.
Stabilization of L e < 1 flames beyond the flammability limit are of peculiar interest. As we have used a cylindrical geometry, it is expected that flame curvature will play major role in keeping the flame burning by inducing preferential diffusion effects. This behaviour will be analyzed in the next subsection.

3.2. Flame Base Behaviour Away from Extinction

In this subsection, flames stabilized away from the neck formation and subsequent extinction are studied. Heat release contours for ϕ = 0.2 , 0.16 , 0.13 from numerical simulations are plotted in Figure 3 along with streamlines. Stronger burning at the flame base can be observed for all flames relative to downstream locations. With a decrease in ϕ , a progressive reduction in width between two flame fronts at downstream location can be observed. The flame at ϕ = 0.2 stabilizes inside a small recirculation zone (RZ), which grows with the decrease in ϕ resulting from a decrease in thermal expansion due to lowering of the flame temperature. The growth of the RZ shows that as ϕ is decreased, flames stabilize in the RZ stabilized regime as discussed in [17].
In order to investigate stronger burning near the flame base, hydrogen elemental mass fraction normalized with the respective inlet value is plotted in Figure 4. It can be observed that local Z H decreases in the pre-heat zone and quickly rises towards the burnt side of the flame. The maximum increase can observed to be 100%, 150% and 200% for ϕ = 0.2 , ϕ = 0.16 and ϕ = 0.13 , respectively, at the flame base location. This indicates very strong preferential diffusion effects induced by a possible higher stretch rate and pure flame curvature near the flame base region. At downstream locations, the increase in hydrogen elemental mass fraction is found to be less drastic than at the flame base.
Flame stretch rates for flames are calculated at the inner layer of the flame at an iso-level of progress variable defined as Y = 1 Y H 2 Y H 2 , u at Y = 0.8 . Here, Y H 2 and Y H 2 , u are the H2 mass fraction profile and unburnt values. Total stretch rate can be calculated as [29]:
ρ K = · ( ρ S D )
Here, ρ , K, and S D are the density, stretch rate and local flame displacement speed, respectively. The displacement speed is calculated from the local kinematic balance as ρ S D = ρ v · n . Here v and n are the local flow velocity and flame normal to iso-surface of H2 mass fraction, respectively. Further contributions from flow strain K s and flame curvature K c towards total stretch can be calculated as [30]:
K c = S D t · n
K s = t · v
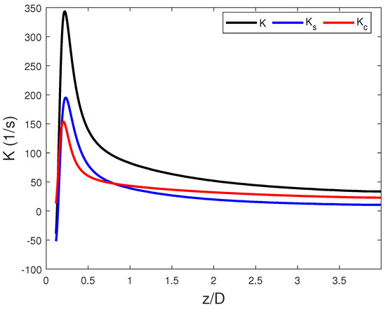
Here t is the tangential component of the∇ operator. The stretch rate and its contributions are plotted in Figure 5 for ϕ = 0.2 at Y = 0.8 as a function height above the bluff body (scaled with bluff body diameter). It can observed that from the leading edge, total stretch increases to a maximum value and then decays at downstream flame locations. K s and K c follow similar trends. The location of maximum total stretch rate can be anticipated to cause strong preferential diffusion effects as observed in Figure 4 near the flame base region. Scaling the flame speed with the speed of a flame in a canonical configuration, in which flow strain and flame curvature both induce strong preferential diffusion effects, could work. For this purpose, in the next subsections, an investigation into the causes of stronger burning at the flame base and relevant scaling characteristics is pursued.

3.3. Scaling Beyond Flammability Flames

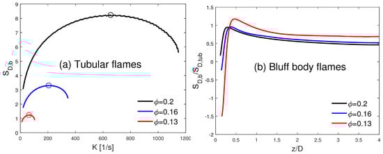
In order to scale the flame speed in a physical manner, 1D tubular flames represent an ideal configuration as these flames experience both stretch due to flow strain and flame curvature [31]. An illustration of the tubular flame configuration is shown in Figure 6 where a tubular flame is established in cylindrical coordinates (r,z). Premixed mixture flows in radial direction and leaves axially. Such flames have a 1D flame structure similar to counter flow premixed flames. For the present flames, tubular premixed flames are solved using CHEM1D [27] by varying applied strain rate from 10 s 1 to the extinction values. Here, the motivation is to find the relevant scaling for beyond lean limit flames away from extinction. The displacement speed at the inner layer S D , b as a function of stretch rate is plotted in Figure 7a. It can be observed that S D , b first increases with stretch rate due to strong preferential diffusion effects and then decreases towards extinction. This change in trend indicates extinction effects which result from incomplete combustion due to a geometrical restriction. In this study, we propose that the maximum S D , b , hereby referred as S D , t u b could serve as a relevant scaling characteristic for ultra-lean H2/air flames studied here. This scaling is proposed only for flames away from extinction such as those for ϕ = 0.2 , 0.16 , 0.13 in this study. The main reason behind choosing the maximum displacement speed is that it represents a similar flame with flow strain and flame curvature effects that is also stable beyond the lean flammability limit of a flat stretchless flame and its structure is one-dimensional in cylindrical coordinate system.
The flame displacement speed for bluff body stabilized flames at Y = 0.8 is shown in Figure 7b for ϕ = 0.2 , 0.16 , 0.13 flames, scaled with S D , t u b speed from 1D tubular flame simulations. It can be observed that the scaling works quite good especially where the local flame speed is maximum which corresponds to the location of maximum stretch rate at the flame base. For ϕ = 0.2 , 0.16 maximum S D , b S D , t u b is slightly less than 1 while for ϕ = 0.13 , it is slightly greater than 1. This indicates that the 1D tubular flames can be used to scale flame displacement speed away from extinction and beyond the lean flammability limit. In Figure 7b, it can also be observed that upstream of maximum S D , b S D , t u b location, flame speed is low indicating strong heat losses. For ϕ = 0.16 , 0.13 , a negative displacement speed can also be observed at the upstream locations due to flame leading edge stabilized inside a recirculation zone where diffusion transport dominates and convection transport is from the burnt to the unburnt side. Downstream of the maximum displacement speed location, S D , b S D , t u b decays to values under 1 due to the decrease in stretch rate (and thus stretch-induced preferential diffusion effects).

4. Neck Formation

With further decrease in ϕ , a flame neck downstream of the flame base region is found to be present in Figure 2. Unscaled heat release contours for ϕ = 0.115 from numerical simulations are plotted in Figure 8a along with streamlines. It can be observed that when a neck is formed, the flame burns strongest at the neck location rather than at the flame base due to strong curvature-induced preferential diffusion effects. The flame base remains well anchored inside the recirculation zone where preferential diffusion effects are also strong despite heat loss to the bluff body.
In order to investigate the stretch rate at the flame neck, local stretch rate profiles along with displacement speed are plotted in Figure 8b as a function of scaled axial length for flame sections outside the RZ. The corresponding extinction stretch rate of 1D tubular flame was found to be 30 s 1 . The flame neck location in Figure 8b is characterized where S D , b is the lowest at the inner layer of the flame in tubular region of the flame. This location is the narrowest downstream of the flame base where local flame displacement speed is the lowest and reactions are incomplete leading to possible extinction of the flame. The comparison of total stretch rate at the neck location shows that stretch is around 27 s 1 , which is close to the value of extinction of the corresponding tubular flame. It can be postulated, that similar to our findings in [12], with further decrease in ϕ extinction will occur at the neck location due to locally stronger stretch effects. It can also be observed that the stretch rates are higher than the tubular flame extinction values at locations downstream of the minimum displacement speed point. In this work, due to strong effect of incomplete conversion on the flame displacement speed, it appears likely that extinction will occur at the location of minimum displacement speed in the narrow region downstream of flame base. However, exact unsteady dynamics of flame extinction need further study. It is also to be noted here that the scaling introduced in the previous section is valid for beyond-flammability flames away from extinction and will not be suitable for flames with neck formation. Displacement speed of near extinction flame is around 2.5 cm/s at z / D = 1 which is higher than the maximum displacement speed of the corresponding tubular flame (0.48 cm/s), indicating strong curvature only effects.

4.1. Post Extinction, Near Limit Flames

After extinction has occurred at the flame neck, the downstream section is convected downstream while the upstream flame is stabilized. This upstream flame is called the “residual flame” and was also found to be steady and stable in our previous study [12] for CH4/H2/air mixtures. For the current H2/air flames, residual flames are presented in Figure 9. From experiments, a residual flame is found to form at ϕ = 0.1 while from numerical simulations, this flame was found at ϕ = 0.11 . With further reduction in ϕ , stable ball-like flames were found between ϕ = 0.094 and ϕ = 0.088 . In numerical simulations, ball-like flames were observed but eventually quenched by losing heat to the bluff body in an unsteady simulation. The inability of the simulation to capture these ultra-lean ball-like flames, indicates that further research is required into the ultra-lean limit flame chemistry and transport. Bluff body stabilized flames presented in this study present an ideal validation case for such endeavors.

4.2. Structure of the Residual Flame

In this subsection, the structure of residual flame at ϕ = 0.11 from numerical simulations is discussed. Heat release rate contours along with streamlines are plotted in Figure 10a magnified on the region near flame holder. It can be observed that the residual flame is completely immersed inside a recirculation zone. The residual flame burns strongest at the tip which appears to be positively curved with the center of curvature at the burnt side. At the upstream region, the flame burns less strongly than at the flame tip but is again positively curved. The enclosed surface of the flame inside a RZ is very similar to ball-like flames observed in [8,9,10]. For further investigation, diffusive and convective fluxes of H2 are plotted in Figure 10b along with the iso-level of progress variable Y = 0.8 . Convective fluxes are plotted on the right side and it can be observed that near the flame region, transport contribution from convection is not high. On the other hand, on the left side, diffusive fluxes show that transport of fuel is primarily dominated by diffusion. Fuel is transported almost from all sides towards the highly curved flame surface. The corresponding preferential diffusion effects are characterized by the normalized hydrogen elemental mass fraction in Figure 10c. It can be seen that the mixture is locally rich at the burnt side. The maximum change occurs near the flame base region while the heat release was found to be highest at the flame tip. This is most likely due to heat loss to the flame holder. The rise in local elemental mass fraction is due to strong curvature effects which allow for the flame to be stable at ultra-lean conditions. Such unique flames present a challenge for inclusion in a universal premixed flame theory.

5. Conclusions

In this study, an experimental and numerical investigation was made into ultra-lean H2/air flames stabilized behind a cylindrical bluff body. Hydrogen flames are found to stabilize beyond the lean flammability limit (of a flat stretchless flame) due to stronger preferential diffusion effects. Flames without neck formation burn stronger at the flame base where stretch is the maximal. It is found that the maximum displacement speed of a corresponding 1D tubular premixed flame can scale the flame speed at the flame base in a good manner. For the flame with neck formation, our previous hypothesis is again found to be in agreement, that extinction at the neck occurs due to excessive stretch rate in a similar way as for tubular flames. Stable residual flames are found in both experiments and simulations after extinction at the neck. In experiments small ball-like flames are found at further lean conditions, while in simulations, such flames were formed but eventually quenched due to losing heat to the bluff body. Quenching of small ball-like flames indicates that further development into numerical modelling is required for beyond lean flammability limit flames.

Author Contributions

Conceptualization, F.H.V., Y.S., P.d.G. and J.v.O.; Data curation, Y.S.; Formal analysis, F.H.V. and J.v.O.; Funding acquisition, P.d.G.; Investigation, Y.S.; Methodology, F.H.V. and J.v.O.; Supervision, Y.S., P.d.G. and J.v.O.; Validation, F.H.V.; Writing—original draft, F.H.V.; writing—review and editing, F.H.V., Y.S., P.d.G. and J.v.O. All authors have read and agreed to the published version of the manuscript.

Funding

This research was funded by Netherlands Organisation for Scientific Research (NWO) under Project no. 13549.

Institutional Review Board Statement

Not applicable.

Informed Consent Statement

Not applicable.

Data Availability Statement

The data presented in this study are available on request from the corresponding author.

Conflicts of Interest

The authors declare no conflict of interest. The funders had no role in the design of the study; in the collection, analyses, or interpretation of data; in the writing of the manuscript, or in the decision to publish the results.

References

  1. Council, H. Hydrogen Scaling Up: A Sustainable Pathway for the Global Energy Transition. 2017. Available online: https://hydrogencouncil.com/wp-content/uploads/2017/11/Hydrogen-scaling-up-Hydrogen-Council.pdf (accessed on 22 March 2021).
  2. Rastetter, A.; Goldstein, R.W. Power to Gas: The Final Breakthrough for the Hydrogen Economy? Green 2013, 3, 891–921. Available online: https://www.degruyter.com/document/doi/10.1515/green-2013-0001/html (accessed on 22 March 2021).
  3. Europe, H. Annual Report. 2016. Available online: https://www.fch.europa.eu/sites/default/files/Hydrogen%20Roadmap%20Europe_Report.pdf (accessed on 22 March 2021).
  4. IRENA. Hydrogen from Renewable Power. 2016. Available online: https://www.irena.org/publications/2018/Sep/Hydrogen-from-renewable-power (accessed on 22 March 2021).
  5. Board, N.I. The Green Hydrogen Economy in the Northern Netherlands. Available online: https://www.ebnn-nieuw.nl/wp-content/uploads/2019/05/NIB-Hydrogen-Full_report.pdf (accessed on 22 March 2021).
  6. CSIRO. National Hydrogen Roadmap. Pathways to an Economically Sustainable Hydrogen Industry in Australia. Available online: https://www.csiro.au/~/media/Do-Business/Files/Futures/18-00314_EN_NationalHydrogenRoadmap_WEB_180823.pdf (accessed on 22 March 2021).
  7. Law, C.K. Dynamics of stretched flames. Symp. Int. Combust. 1989, 22, 1381–1402. [Google Scholar] [CrossRef]
  8. Hernández-Pérez, F.E.; Oostenrijk, B.; Shoshin, Y.; van Oijen, J.A.; Goey, L. Formation, prediction and analysis of stationary and stable ball-like flames at ultra-lean and normal-gravity conditions. Combust. Flame 2015, 162, 932–943. [Google Scholar] [CrossRef]
  9. Shoshin, Y.; van Oijen, J.; Sepman, A.; de Goey, L. Experimental and computational study of the transition to the flame ball regime at normal gravity. Proc. Combust. Inst. 2011, 33, 1211–1218. [Google Scholar] [CrossRef]
  10. Zhou, Z.; Shoshin, Y.; Hernández-Pérez, F.E.; van Oijen, J.A.; de Goey, L. Effect of Lewis number on ball-like lean limit flames. Combust. Flame 2018, 188, 77–89. [Google Scholar] [CrossRef]
  11. Shoshin, Y.; Bastiaans, R.J.M.; de Goey, L.P.H. Anomalous blow-off behavior of laminar inverted flames of ultra-lean hydrogen-methane-air mixtures. Combust. Flame 2013, 160, 565–576. [Google Scholar] [CrossRef]
  12. Vance, F.H.; Shoshin, Y.; van Oijen, J.A.; Goey, L.P.H. Effect of Lewis number on premixed laminar lean-limit flames stabilized on a bluff body. Proc. Combust. Inst. 2019, 37, 1663–1672. [Google Scholar] [CrossRef]
  13. Lee, B.J.; Yoo, C.S.; Im, H.G. Dynamics of bluff-body-stabilized premixed hydrogen/air flames in a narrow channel. Combust. Flame 2015, 162, 2602–2609. [Google Scholar] [CrossRef]
  14. Kim, Y.J.; Lee, B.J.; Im, G.H. Hydrodynamic and chemical scaling for blow-off dynamics of lean premixed flames stabilized on a mes-scale bluff-body. Proc. Combust. Inst. 2019, 37, 1831–1841. [Google Scholar] [CrossRef]
  15. Jiménez, C.; Michaels, D.; Ghoniem, F.A. Ultra-lean hydrogen-enriched oscillating flames behind a heat conducting bluff-body, Anomalous and normal blow-off. Proc. Combust. Inst. 2019, 37, 1843–1850. [Google Scholar] [CrossRef]
  16. Sizikov, V.; Sidorov, D. Generalized quadrature for solving singular integral equations of Abel type in application to infrared tomography. Appl. Numer. Math. 2016, 106, 69–78. [Google Scholar] [CrossRef][Green Version]
  17. Vance, F.H.; Shoshin, Y.; de Goey, L.P.H.; van Oijen, J.A. Flame stabilization regimes for premixed flames anchored behind cylindrical flame holders. Proc. Combust. Inst. 2020. [Google Scholar] [CrossRef]
  18. Ansys® Fluent, Academic Research, Release 17.2. Available online: https://www.ansys.com/products/fluids/ansys-fluent (accessed on 1 April 2021).
  19. Schlup, J.; Blanquart, G. A reduced thermal diffusion model for H and H2. Combust. Flame 2018, 191, 1–8. [Google Scholar] [CrossRef]
  20. Vance, F.H.; Shoshin, Y.; van Oijen, J.A.; Goey, L.P.H. The effect of thermal diffusion on stabilization of premixed flames. Combust. Flame 2020, 216, 45–57. [Google Scholar] [CrossRef]
  21. Barlow, R.S.; Karpetis, A.N.; Frank, J.H.; Chen, J.Y. Scalar profiles and NO formation in laminar opposed-flow partially premixed methane/air flames. Combust. Flame 2001, 127, 2102–2118. [Google Scholar] [CrossRef]
  22. Konnov, A.A. Yet another kinetic mechanism for hydrogen combustion. Combust. Flame 2019, 203, 14–22. [Google Scholar] [CrossRef]
  23. Jasper, A.W.; Kamarchik, J.A.M.E.; Klippenstein, S.J. First-principles binary diffusion coefficients for H, H2, and four normal alkanes+ N2. J. Chem. Phys. 2014, 141, 124313. [Google Scholar] [CrossRef]
  24. Smooke, M.D.; Giovangigli, V. Reduced Reaction Sets Based on GRI-Mech 1.2; Springer: Berlin/Heidelberg, Germany, 1991. [Google Scholar]
  25. Burali, N.; Lapointe, S.; Bobbitt, B.; Blanquart, G.; Xuan, Y. Assessment of the constant non-unity Lewis number assumption in chemically-reacting flows. Combust. Theory Model. 2016, 20, 632–657. [Google Scholar] [CrossRef]
  26. van Oijen, J.A.; Donini, A.; Bastiaans, R.J.M.; ten thije Boonkkamp, J.H.M.; de Goey, L.P.H. State-of-the-art in premixed combustion modeling using flamelet generated manifolds. Prog. Energy Combust. Sci. 2016, 57, 30–74. [Google Scholar] [CrossRef]
  27. CHEM1D. A One Dimensional Laminar Flame Code; Eindhoven University of Technology: Eindhoven, The Netherlands, 2021. [Google Scholar]
  28. van Oijen, J.A. Flamelet-Generated Manifolds: Development and Application to Premixed Laminar Flames. Ph.D. Thesis, Eindhoven University of Technology, Eindhoven, The Netherlands, 2002. [Google Scholar]
  29. de Goey, L.P.H.; ten thije Boonkkamp, J.H.M. A flamelet description of premixed laminar flames and the relation with flame stretch. Combust. Flame 1999, 119, 253–271. [Google Scholar] [CrossRef]
  30. Poinsot, T.; Veynante, D. Theoretical and Numerical Combustion; Edwards: Philadelphia, PA, USA, 2005. [Google Scholar]
  31. Pitz, R.W.; Hu, S.; Wang, P. Tubular premixed and diffusion flames: Effect of stretch and curvature. Prog. Energy Combust. Sci. 2014, 42, 1–34. [Google Scholar] [CrossRef]
Figure 1. Experimental setup (a) and computational model (b) with D = 2R = 8 mm.
Figure 1. Experimental setup (a) and computational model (b) with D = 2R = 8 mm.
Energies 14 01977 g001
Figure 2. Radiation intensity from burnt gas from experiments (top row) and heat loss due to radiation q r a d from simulations (bottom row) for pre-extinction flames.
Figure 2. Radiation intensity from burnt gas from experiments (top row) and heat loss due to radiation q r a d from simulations (bottom row) for pre-extinction flames.
Energies 14 01977 g002
Figure 3. Heat release rate contours in W   m 3 along with streamlines (white lines) from numerical simulations for flames away from extinction.
Figure 3. Heat release rate contours in W   m 3 along with streamlines (white lines) from numerical simulations for flames away from extinction.
Energies 14 01977 g003
Figure 4. Scaled hydrogen elemental mass fraction Z H Z H , i n Z H , i n from numerical simulations for flames away from extinction.
Figure 4. Scaled hydrogen elemental mass fraction Z H Z H , i n Z H , i n from numerical simulations for flames away from extinction.
Energies 14 01977 g004
Figure 5. Stretch rate K along with contributions from flow strain K s and flame curvature K c as a function of axial length scaled with bluff body diameter for ϕ = 0.2 flame.
Figure 5. Stretch rate K along with contributions from flow strain K s and flame curvature K c as a function of axial length scaled with bluff body diameter for ϕ = 0.2 flame.
Energies 14 01977 g005
Figure 6. An illustration of tubular premixed flame configuration.
Figure 6. An illustration of tubular premixed flame configuration.
Energies 14 01977 g006
Figure 7. (a) S D , b at the inner layer of the flame for 1D tubular premixed flames at ϕ = 0.2 , 0.16 , 0.13 as a function of stretch rate. The maximum flame speed S D , t u b is marked with ∘ symbol for each curve. (b) Flame displacement speed for bluff body stabilized flames scaled with maximum displacement speed of corresponding tubular flame S D , t u b for ϕ = 0.2 , 0.16 , 0.13 at Y = 0.8 iso-level.
Figure 7. (a) S D , b at the inner layer of the flame for 1D tubular premixed flames at ϕ = 0.2 , 0.16 , 0.13 as a function of stretch rate. The maximum flame speed S D , t u b is marked with ∘ symbol for each curve. (b) Flame displacement speed for bluff body stabilized flames scaled with maximum displacement speed of corresponding tubular flame S D , t u b for ϕ = 0.2 , 0.16 , 0.13 at Y = 0.8 iso-level.
Energies 14 01977 g007
Figure 8. (a) Heat release contour for near extinction flame at ϕ = 0.115 ; (b) Local stretch rate and displacement speed as a function of axial length. Neck location is identified with ∘ symbol on the displacement speed curve.
Figure 8. (a) Heat release contour for near extinction flame at ϕ = 0.115 ; (b) Local stretch rate and displacement speed as a function of axial length. Neck location is identified with ∘ symbol on the displacement speed curve.
Energies 14 01977 g008
Figure 9. Radiation intensity from burnt gas from experiments (top row) and heat loss due to radiation q r a d from simulations (bottom row) for post-extinction flames.
Figure 9. Radiation intensity from burnt gas from experiments (top row) and heat loss due to radiation q r a d from simulations (bottom row) for post-extinction flames.
Energies 14 01977 g009
Figure 10. (a) Heat release contour along with streamlines for the residual flame at ϕ = 0.11 ; (b) Diffusive (left) and convective (right) flux of H2; (c) Scaled hydrogen elemental mass fraction Z H Z H , i n Z H , i n .
Figure 10. (a) Heat release contour along with streamlines for the residual flame at ϕ = 0.11 ; (b) Diffusive (left) and convective (right) flux of H2; (c) Scaled hydrogen elemental mass fraction Z H Z H , i n Z H , i n .
Energies 14 01977 g010
Publisher’s Note: MDPI stays neutral with regard to jurisdictional claims in published maps and institutional affiliations.

Share and Cite

MDPI and ACS Style

Vance, F.H.; Shoshin, Y.; de Goey, P.; van Oijen, J. Flame Stabilization and Blow-Off of Ultra-Lean H2-Air Premixed Flames. Energies 2021, 14, 1977. https://doi.org/10.3390/en14071977

AMA Style

Vance FH, Shoshin Y, de Goey P, van Oijen J. Flame Stabilization and Blow-Off of Ultra-Lean H2-Air Premixed Flames. Energies. 2021; 14(7):1977. https://doi.org/10.3390/en14071977

Chicago/Turabian Style

Vance, Faizan Habib, Yuriy Shoshin, Philip de Goey, and Jeroen van Oijen. 2021. "Flame Stabilization and Blow-Off of Ultra-Lean H2-Air Premixed Flames" Energies 14, no. 7: 1977. https://doi.org/10.3390/en14071977

APA Style

Vance, F. H., Shoshin, Y., de Goey, P., & van Oijen, J. (2021). Flame Stabilization and Blow-Off of Ultra-Lean H2-Air Premixed Flames. Energies, 14(7), 1977. https://doi.org/10.3390/en14071977

Note that from the first issue of 2016, this journal uses article numbers instead of page numbers. See further details here.

Article Metrics

Back to TopTop