Curved Surface Minijet Impingement Phenomena Analysed with ζ-f Turbulence Model
Abstract
1. Introduction
1.1. Flat Surface Jet Impingement
1.2. Curved Surface Jet Impingement
1.3. Motivation
2. Geometrical Model and Boundary Conditions
- at the inlet: the constant bulk velocity, determined from the Reynolds number values (namely Re = 5000; Re = 10,000; Re = 23,000) and the constant bulk temperature equal to 293 K,
- at impinged wall: the constant heat flux equal to 1000 W/m2,
- at the upper wall: the constant heat flux equal to 0 W/m2,
- at the outlet: the gauge pressure equal to 0 Pa.
3. Numerical Model and Solver Configuration
Selection of Turbulence Model
4. Results
- overall thermal results of the jet impingement for all 54 cases,
- influence of the impinged surface type on the flow behaviour near it,
- impact of the impinged surface type on the impinging jet.
4.1. Thermal Performance of Convex and Concave Cases
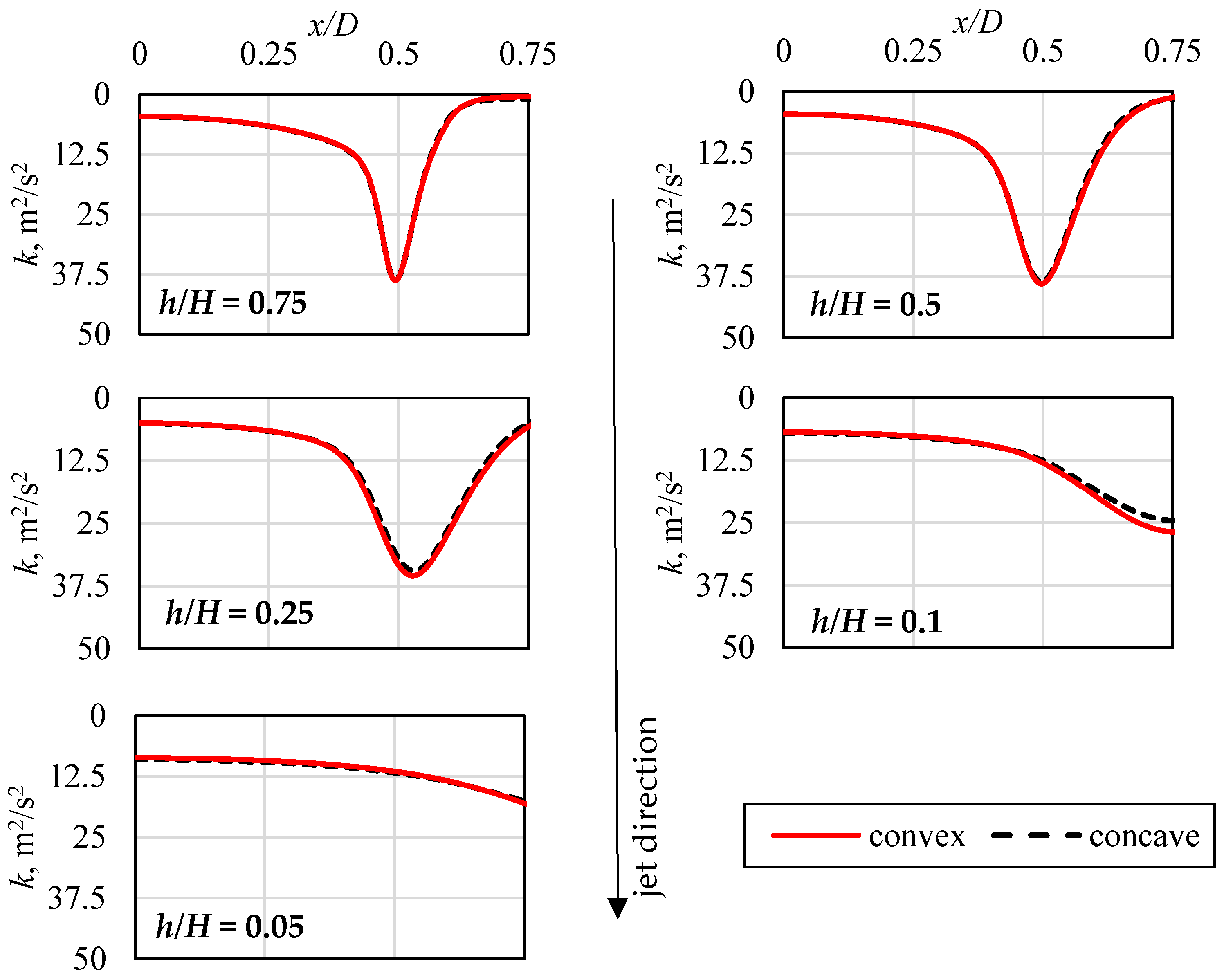
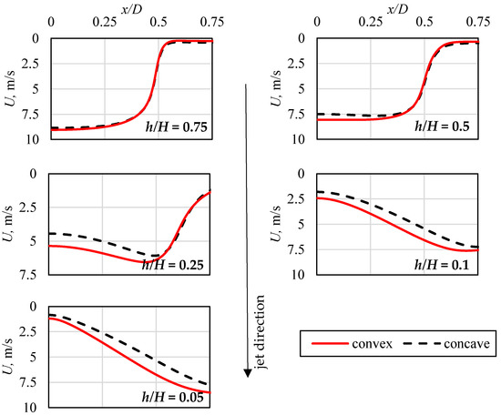
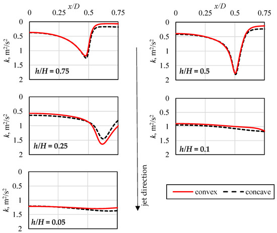
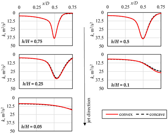
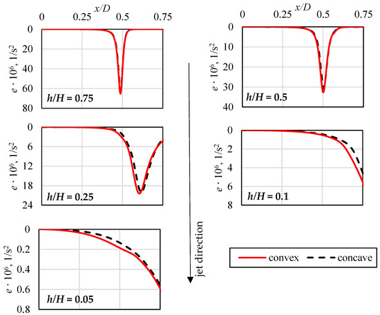
4.2. Influence of Geometry Type on Stagnation Zone Flow Behaviour
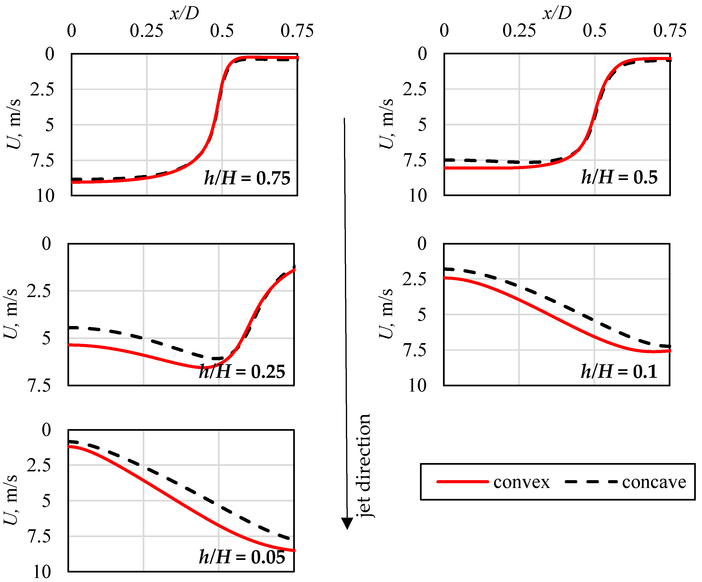
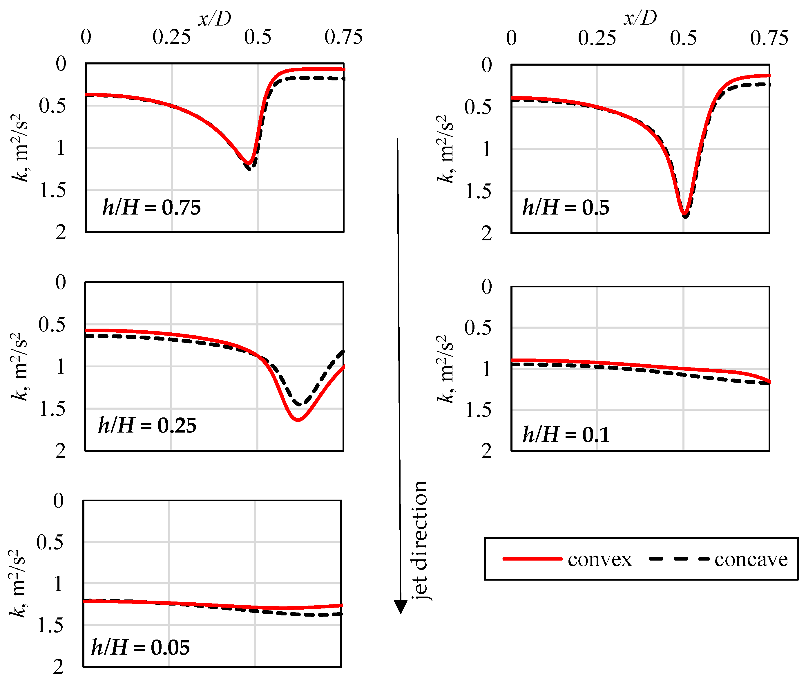
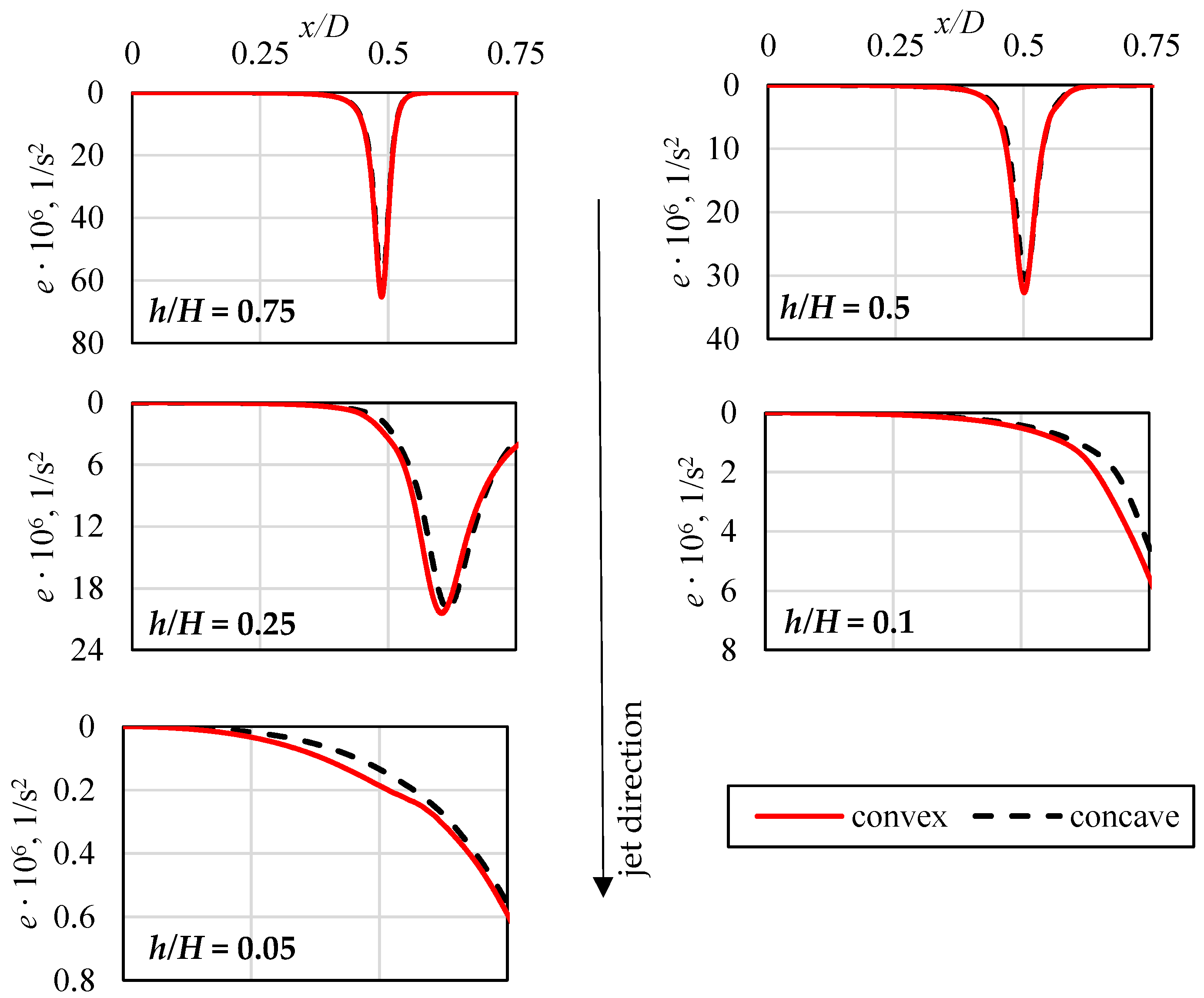
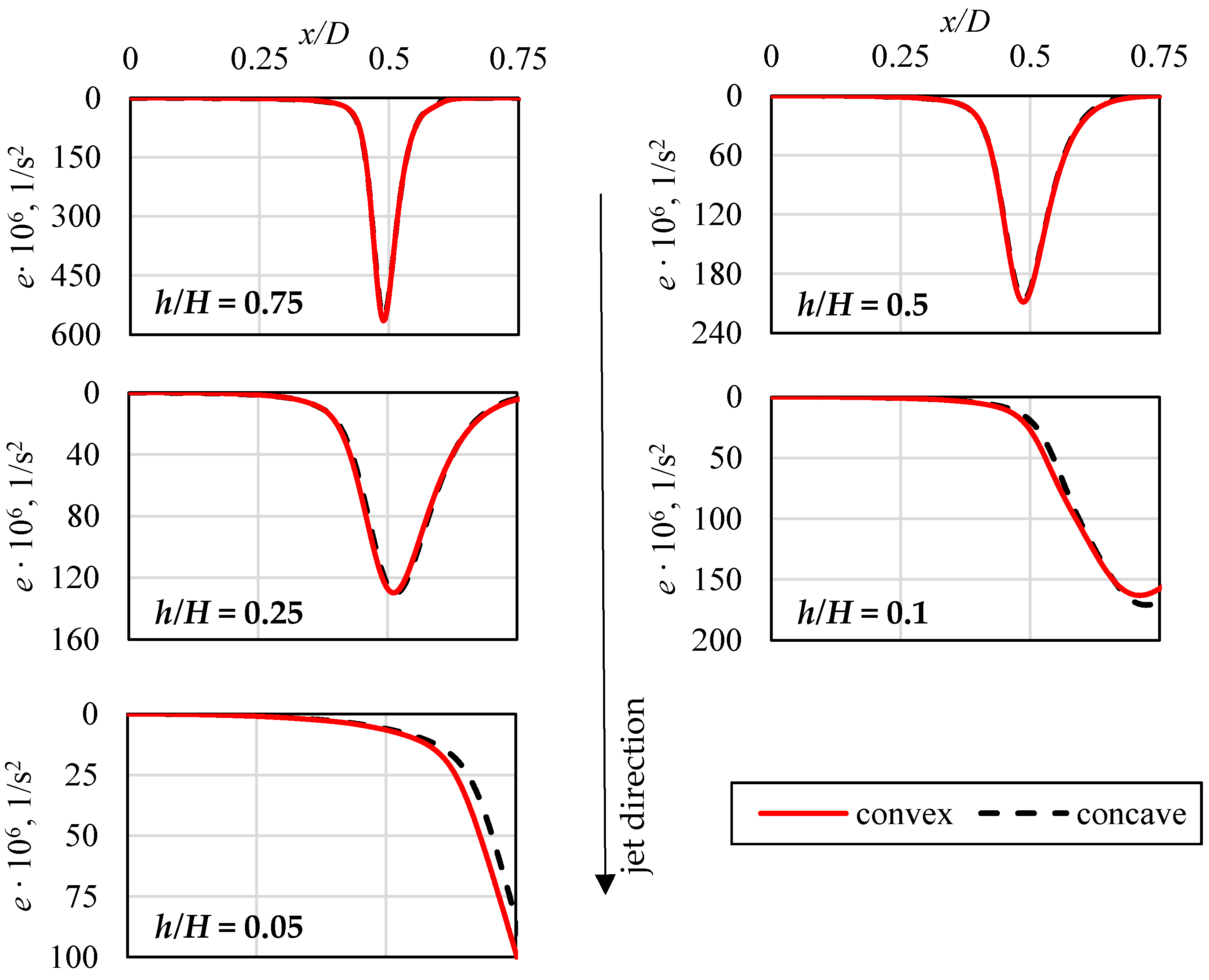
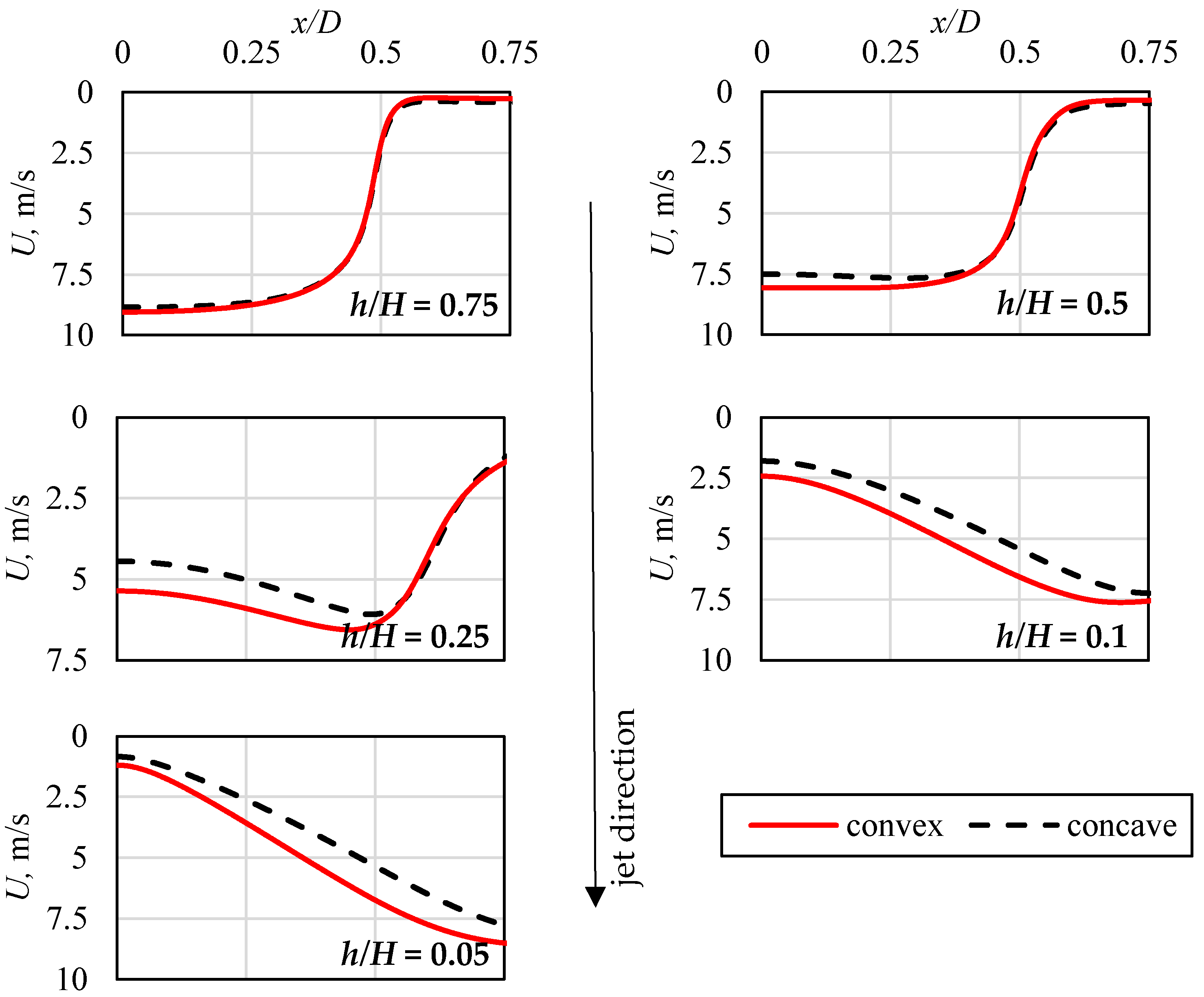
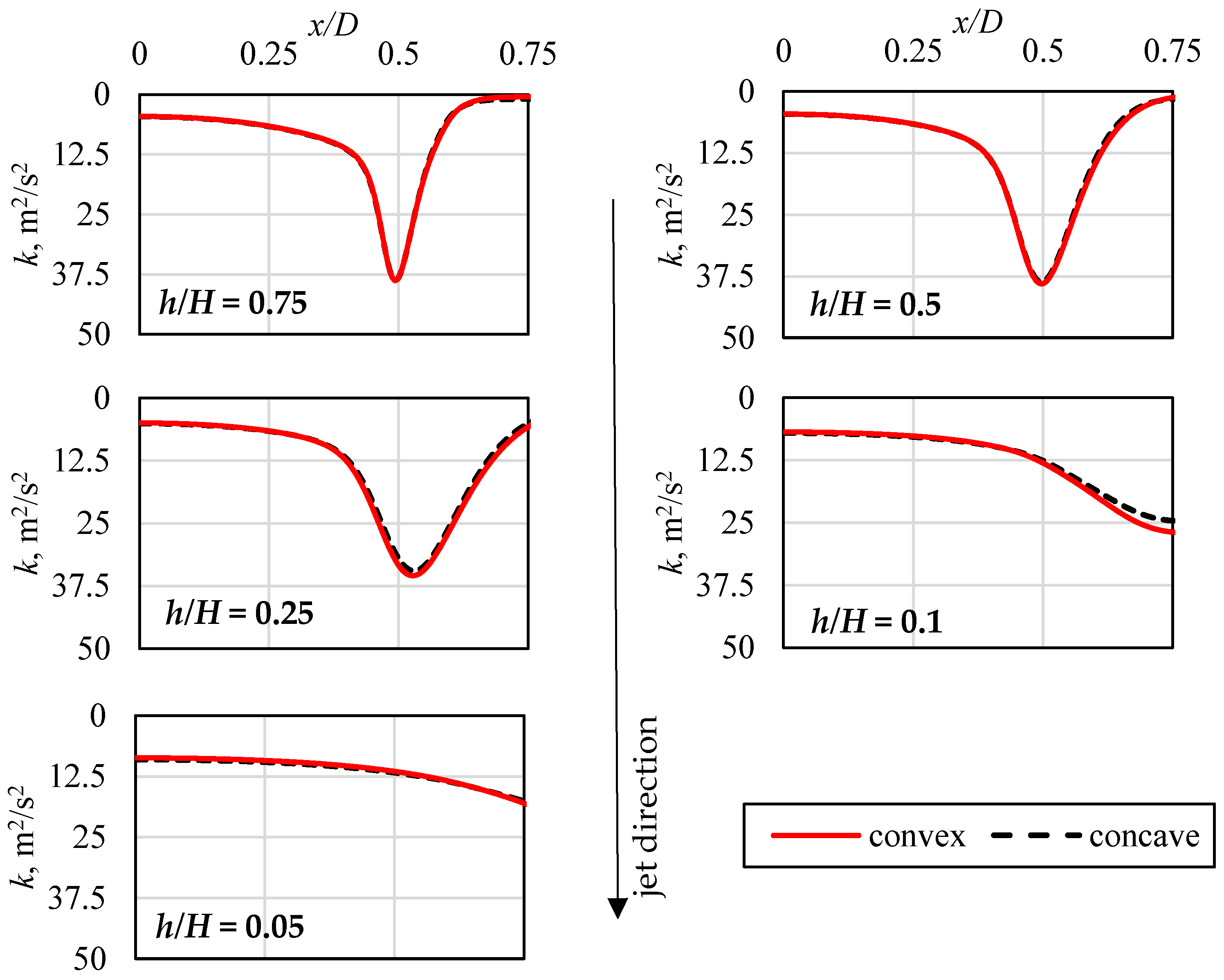
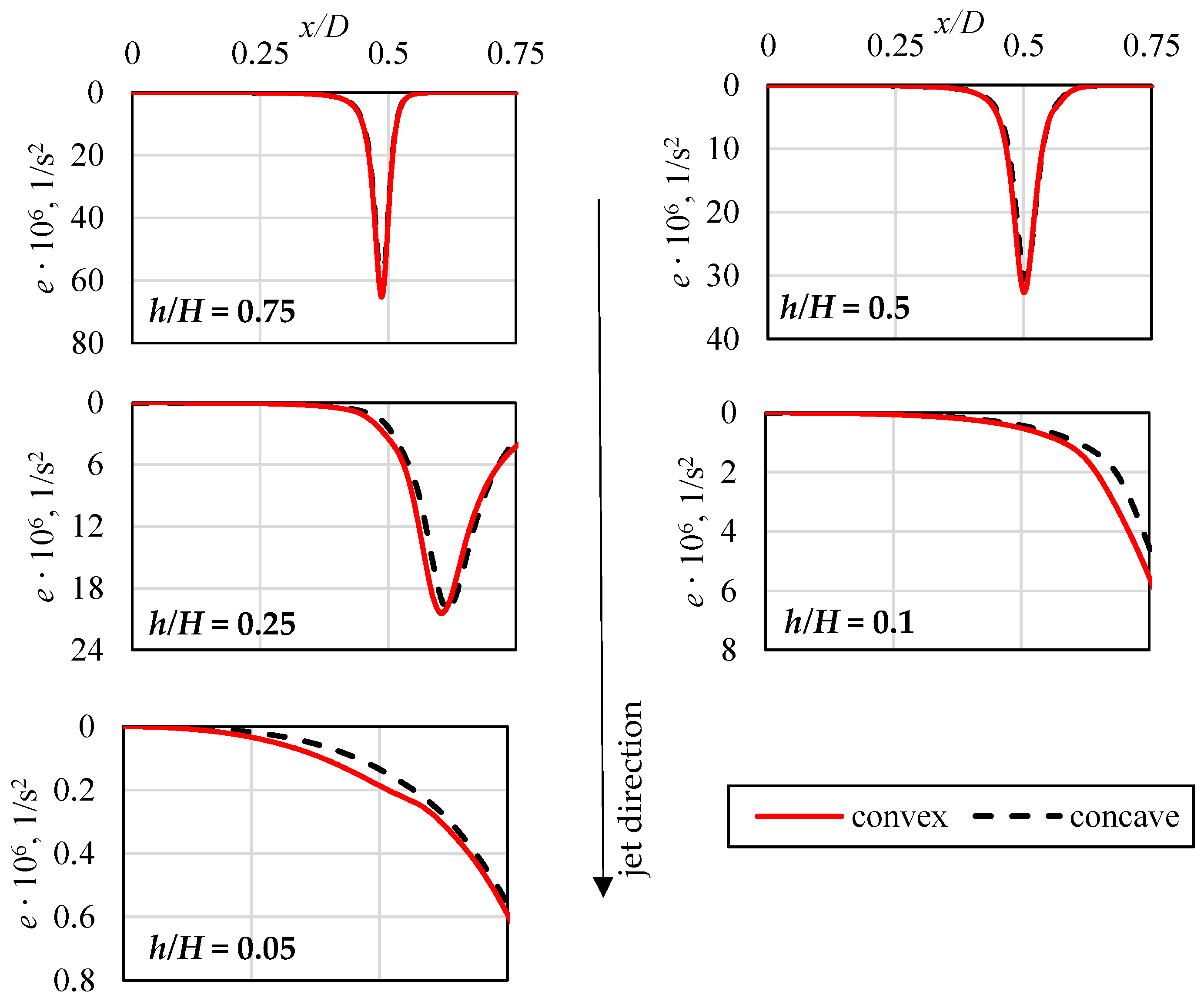
4.3. Impact of Surface Shape on Impinging Jet Hydrodynamics
5. Conclusions
Author Contributions
Funding
Acknowledgments
Conflicts of Interest
Nomenclature
| Latin symbols | |
| a | thermal diffusivity, m2/s |
| C1 | ζ-f model constant, – |
| C’2 | ζ-f model constant, – |
| Cε1 | ζ-f model constant, – |
| Cε2 | ζ-f model constant, – |
| cp | specific heat, J/(kg·K) |
| D | diameter, m |
| e | enstrophy, 1/s2 |
| f | elliptic relaxation of the ζ-f model, 1/s |
| G | turbulence production rate, m2/s3 |
| H | distance between the pipe exit and impinged surface, m |
| h | distance between the stagnation point and the potential jet core termination, m |
| i | iteration |
| k | turbulence kinetic energy, m2/s2 |
| L | turbulent length scale, 1/m |
| p | pressure, Pa |
| pgauge | gauge outlet pressure, Pa |
| Sij | strain rate tensor, 1/s |
| T | temperature, K |
| Tb | bulk temperature, K |
| u | velocity, m/s |
| ub | bulk velocity, m/s |
| u’ | velocity fluctuation, m/s |
| root mean square of the fluctuation of the velocity normal to streamlines, m2/s2 | |
| x | radial distance from the stagnation point, m |
| y | point to wall distance, m |
| y+ | dimensionless wall distance, – |
| Greek symbols | |
| αef | effective heat transfer coefficient, W/(m2·K) |
| ε | dissipation of the turbulence kinetic energy rate, m2/s3 |
| ζ | normalised by k, – |
| Θ | mean temperature, K |
| θ | temperature fluctuation, K |
| λ | thermal conductivity of the fluid, W/(m·K) |
| μ | dynamic viscosity, Pa·s |
| ν | kinematic viscosity, m2/s |
| νt | eddy viscosity, m2/s |
| ρ | density, kg/m3 |
| τ | turbulent time scale, 1/s |
| σε | ζ-f model constant, – |
| σk | ζ-f model constant, – |
| σζ | ζ-f model constant, – |
References
- Freidman, S.J.; Mueller, A.C. Heat Transfer to Flat Surfaces. General Discussion on Heat Transfer. Proc. Inst. Mech. Eng. 1951, c164, 138–142. [Google Scholar]
- Zuckerman, N.; Lior, N. Jet Impingement Heat Transfer: Physics, Correlations, and Numerical Modelling. Adv. Heat Transf. 2006, 39, 565–631. [Google Scholar]
- Dewan, A.; Dutta, R.; Srinivasan, B. Recent Trends in Computation of Turbulent Jet Impingement Heat Transfer. Heat Transf. Eng. 2012, 33, 447–460. [Google Scholar] [CrossRef]
- Ries, F.; Li, Y.; Rißmann, M.; Klingenberg, D.; Nishad, K.; Böhm, B.; Dreizler, A.; Janicka, J.; Sadiki, A. Database of Near-Wall Turbulent Flow Properties of a Jet Impinging on a Solid Surface under Different Inclination Angles. Fluids 2018, 3, 5. [Google Scholar] [CrossRef]
- Satake, S.; Kunugi, T. Direct numerical simulation of an impinging jet into parallel disks. Int. J. Numer. Methods Heat Fluid Flow 1998, 8, 768–780. [Google Scholar] [CrossRef]
- Hattori, H.; Nagano, Y. Direct numerical simulation of turbulent heat transfer in plane impinging jet. Int. J. Heat Fluid Flow 2004, 25, 749–758. [Google Scholar] [CrossRef]
- Dairay, T.; Fortuné, V.; Lamballais, E.; Brizzi, L.-E. Direct numerical simulation of a turbulent jet impinging on a heated wall. J. Fluid Mech. 2015, 764, 362–394. [Google Scholar] [CrossRef]
- Wilke, R.; Sesterhenn, J. Statistics of fully turbulent impinging jets. J. Fluid Mech. 2017, 825, 795–824. [Google Scholar] [CrossRef]
- Koide, T.; Tsujimoto, K.; Shakouchi, T.; Ando, T. DNS analysis of multiple impinging jets. J. Fluid Sci. Technol. 2014, 9, 27. [Google Scholar] [CrossRef]
- Geers, L.F.G.; Hanjalic, K.; Tummers, M.J. Experimental investigation of impinging jet arrays. Exp. Fluids 2004, 36, 946–958. [Google Scholar] [CrossRef]
- Geers, L.F.G.; Hanjalic, K.; Tummers, M.J. Particle imaging velocimetry-based identification of coherent structures in normally impinging multiple jets. Phys. Fluids 2005, 17, 1–13. [Google Scholar] [CrossRef]
- Geers, L.F.G.; Hanjalic, K.; Tummers, M.J. Wall imprint of turbulent structures and heat transfer in multiple impinging jet arrays. J. Fluid Mech. 2006, 546, 255–284. [Google Scholar] [CrossRef]
- Geers, L.F.G.; Tummers, M.J.; Bueninck, T.J.; Hanjalic, K. Heat transfer correlation for hexagonal and in-line arrays of impinging jets. Int. J. Heat Mass Transf. 2008, 51, 5389–5399. [Google Scholar] [CrossRef]
- Draksler, M.; Končar, B.; Cizelj, L.; Ničeno, B. Large Eddy Simulation of multiple impinging jets in hexagonal configuration—Flow dynamics and heat transfer characteristics. Int. J. Heat Mass Transf. 2017, 109, 16–27. [Google Scholar] [CrossRef]
- Hadžiabdić, M.; Hanjalić, K. Vortical structures and heat transfer in a round impinging jet. J. Fluid Mech. 2008, 596, 221–260. [Google Scholar] [CrossRef]
- Uddin, N.; Neumann, S.; Weigand, B. LES simulations of an impinging jet: On the origin of the second peak in the Nusselt number distribution. Int. J. Heat Mass Transf. 2013, 57, 356–368. [Google Scholar] [CrossRef]
- Durbin, P.A. Separated flow computations with the k−ε−v2 model. AIAA J. 1995, 33, 659–664. [Google Scholar] [CrossRef]
- Billard, F.; Laurence, D. A robust k−ε−v2/k elliptic blending turbulence model applied to near-wall, separated and buoyant flows. Int. J. Heat Fluid Flow 2012, 33, 45–58. [Google Scholar] [CrossRef]
- Hanjalic, K.; Popovac, M.; Hadziabdic, M. A robust near-wall elliptic-relaxation eddy-viscosity turbulence model for CFD. Int. J. Heat Fluid Flow 2004, 25, 1047–1051. [Google Scholar] [CrossRef]
- Lien, F.; Kalitzin, G. Computations of transonic flow with the v2−f turbulence model. Int. J. Heat Fluid Flow 2001, 22, 53–61. [Google Scholar] [CrossRef]
- Kenjeres, S.; Gunarjo, S.B.; Hanjalic, K. Contribution to elliptic relaxation modelling of turbulent natural and mixed convection. Int. J. Heat Fluid Flow 2005, 26, 569–586. [Google Scholar] [CrossRef]
- Behnia, M.; Parneix, S.; Durbin, P.A. Prediction of heat transfer in an axisymmetric turbulent jet impinging on a flat plate. Int. J. Heat Mass Transf. 1998, 41, 1845–1855. [Google Scholar] [CrossRef]
- Behnia, M.; Parneix, S.; Shabany, Y.; Durbin, P.A. Numerical study of turbulent heat transfer in confined and unconfined impinging jets. Int. J. Heat Fluid Flow 1999, 20, 1–9. [Google Scholar] [CrossRef]
- Cooper, D.; Jackson, D.C.; Launder, B.E.; Liao, G.X. Impinging jet studies for turbulence model assessment: Part I, flow field experiments. Int. J. Heat Mass Transf. 1993, 36, 2675–2684. [Google Scholar] [CrossRef]
- Baughn, J.W.; Shimizu, S. Heat transfer measurements from a surface with uniform heat flux and an impinging jet. J. Heat Transf. 1989, 111, 1096–1098. [Google Scholar] [CrossRef]
- Yan, X. A Preheated-Wall Transient Method Using Liquid Crystals for the Measurement of Heat Transfer on External Surfaces and in Ducts. Ph.D. Thesis, University of California, Davis, CA, USA, 1993. [Google Scholar]
- Camerlengo, G.; Borello, D.; Salvagni, A.; Sesterhenn, J. Effects of Wall Curvature on the Dynamics of an Impinging Jet and Resulting Heat Transfer. In Active Flow and Combustion Control. Notes on Numerical Fluid Mechanics and Multidisciplinary Design; Springer: Cham, Switzerland, 2018; pp. 355–366. [Google Scholar]
- Hashiehbaf, A.; Baramade, A.; Agrawal, A.; Romano, G. Experimental investigation on an axisymmetric turbulent jet impinging on a concave surface. Int. J. Heat Fluid Flow 2015, 53, 167–182. [Google Scholar] [CrossRef]
- Yang, G.; Choi, M.; Lee, J.S. An experimental study of slot jet impingement cooling on concave surface: Effects of nozzle configuration and curvature. Int. J. Heat Mass Transf. 1999, 42, 2199–2209. [Google Scholar] [CrossRef]
- Zhou, Y.; Lin, G.; Bu, X.; Bai, L.; Wen, D. Experimental study of curvature effects on jet impingement heat transfer on concave surfaces. Chin. J. Aeronaut. 2017, 30, 586–594. [Google Scholar] [CrossRef]
- Craft, T.J.; Iacovides, H.; Mostafa, N.A. Modelling of three-dimensional jet array impingement and heat transfer on a concave surface. Int. J. Heat Fluid Flow 2008, 29, 687–702. [Google Scholar] [CrossRef]
- Fenot, M.; Dorignac, E.; Vullierme, J.-J. An experimental study on hot round jets impinging a concave surface. Int. J. Heat Fluid Flow 2008, 29, 945–956. [Google Scholar] [CrossRef]
- Lee, D.H.; Kim, S.J.; Kim, Y.H.; Park, H.J. Heat transfer with fully developed slot jets impinging on confined concave and convex surfaces. Int. J. Heat Mass Transf. 2015, 88, 218–223. [Google Scholar] [CrossRef]
- Kura, T.; Fornalik-Wajs, E.; Wajs, J. Thermal and hydraulic phenomena in boundary layer of minijets impingement on curved surfaces. Arch. Thermodyn. 2018, 39, 147–166. [Google Scholar]
- Wajs, J.; Mikielewicz, D.; Fornalik-Wajs, E. Cylindrical Jet Heat Exchanger Dedicated to Heat Recovery, Especially From Low Temperature Waste Sources. Patent PL224494, 8 July 2013. [Google Scholar]
- Wajs, J.; Mikielewicz, D.; Fornalik-Wajs, E.; Bajor, M. Recuperator with microjet technology as a proposal for heat recovery from low-temperature sources. Arch. Thermodyn. 2015, 36, 49–64. [Google Scholar] [CrossRef][Green Version]
- Wajs, J.; Mikielewicz, D.; Fornalik-Wajs, E.; Bajor, M. High Performance Tubular Heat Exchanger with Minijet Heat Transfer Enhancement. Heat Transf. Eng. 2019, 40, 772–783. [Google Scholar] [CrossRef]
- Menter, F.R.; Smirnov, P.E.; Liu, T.; Avancha, R. A One-Equation Local Correlation-Based Transition Model. FlowTurbul. Combust. 2015, 95, 583–619. [Google Scholar] [CrossRef]
- Kura, T.; Fornalik-Wajs, E.; Wajs, J.; Kenjeres, S. Turbulence models impact on the flow and thermal analyses of jet impingement. Matec Web Conf. 2018, 240, 01016. [Google Scholar] [CrossRef]
- Kura, T.; Fornalik-Wajs, E.; Wajs, J.; Kenjeres, S. Local Nusselt number evaluation in the case of jet impingement. J. Phys. Conf. Ser. 2018, 1101, 012018. [Google Scholar] [CrossRef]
- Ramadani, K.; Kelterer, M.E.; Pecnik, R.; Sanz, W. Application of Zeta-f-Turbulence Model to Steady Transitional Flow. Ercoftac. Bull. 2009, 80, 35–40. [Google Scholar]
- Garimella, S.V.; Nenaydykh, B. Nozzle-Geometry Effects in Liquid Jet Impingement Heat Transfer. Int. J. Heat Mass Transf. 1996, 39, 2915–2923. [Google Scholar] [CrossRef]
- Lee, D.H.; Song, J.; Jo, M.C. The effects of nozzle diameter on impinging jet heat transfer and fluid flow. J. Heat Transf. 2004, 126, 554–557. [Google Scholar] [CrossRef]
- Kura, T.; Wajs, J.; Fornalik-Wajs, E.; Kenjeres, S.; Gurgul, S. Thermal and Hydrodynamic Phenomena in the Stagnation Zone—Impact of the Inlet Turbulence Characteristics on the Numerical Analyses. Energies 2021, 14, 105. [Google Scholar] [CrossRef]
- OpenFOAM Extended Code Guide. Available online: https://www.openfoam.com/documentation/guides/latest/doc/> (accessed on 18 February 2021).
- Aillaud, P.; Duchaine, F.; Gicquel, L.Y.M.; Didorally, S. Secondary peak in the Nusselt number distribution of impinging jet flows: A phenomenological analysis. Phys. Fluids 2016, 28, 095110. [Google Scholar] [CrossRef]
- Lee, J.; Lee, S.J. Stagnation Region Heat Transfer of a Turbulent Axisymmetric Jet Impingement. Exp. Heat Transf. 1999, 12, 137–156. [Google Scholar] [CrossRef]
- O’Donovan, T.S.; Murray, D.B. Jet impingement heat transfer–Part I: Mean and root-mean-square heat transfer and velocity distributions. Int. J. Heat Mass Transf. 2007, 50, 3291–3301. [Google Scholar] [CrossRef]
- Kura, T.; Fornalik-Wajs, E.; Wajs, J.; Kenjeres, S. Heat transfer intensification by jet impingement—Numerical analysis using RANS approach. E3S Web Conf. 2019, 108, 01025. [Google Scholar] [CrossRef]
- Zhu, Y.; Antonia, R.A. Correlation between the Enstrophy and the Energy Dissipation Rate in a Turbulent Wake. In Proceedings of the Advances in Turbulence VI. Proceedings of the Sixth European Turbulence Conference, Lausanne, Switzerland, 2–5 July 1996; pp. 507–510.























| Surface Type | H/D | R/D | Reynolds Number |
|---|---|---|---|
| Concave convex | 1 2 4 | 4 6 8 | 5000 10,000 23,000 |
| Property | Value |
|---|---|
| density, kg/m3 | 1.225 |
| kinematic viscosity, m2/s | 1.5·10−5 |
| specific heat capacity, J/(kg∙K) | 1.005·103 |
| Pr (Prandtl number) | 0.713 |
| Prt (turbulent Prandtl number) | 1 |
| Case | Convex | Concave |
|---|---|---|
| x/D | ||
| Re = 23,000; H/D = 1; R/D = 4 | 1.89 | 2.02 |
| Re = 23,000; H/D = 1; R/D = 6 | 1.87 | 1.97 |
| Re = 23,000; H/D = 1; R/D = 8 | 1.89 | 1.99 |
Publisher’s Note: MDPI stays neutral with regard to jurisdictional claims in published maps and institutional affiliations. |
© 2021 by the authors. Licensee MDPI, Basel, Switzerland. This article is an open access article distributed under the terms and conditions of the Creative Commons Attribution (CC BY) license (http://creativecommons.org/licenses/by/4.0/).
Share and Cite
Kura, T.; Fornalik-Wajs, E.; Wajs, J.; Kenjeres, S. Curved Surface Minijet Impingement Phenomena Analysed with ζ-f Turbulence Model. Energies 2021, 14, 1846. https://doi.org/10.3390/en14071846
Kura T, Fornalik-Wajs E, Wajs J, Kenjeres S. Curved Surface Minijet Impingement Phenomena Analysed with ζ-f Turbulence Model. Energies. 2021; 14(7):1846. https://doi.org/10.3390/en14071846
Chicago/Turabian StyleKura, Tomasz, Elzbieta Fornalik-Wajs, Jan Wajs, and Sasa Kenjeres. 2021. "Curved Surface Minijet Impingement Phenomena Analysed with ζ-f Turbulence Model" Energies 14, no. 7: 1846. https://doi.org/10.3390/en14071846
APA StyleKura, T., Fornalik-Wajs, E., Wajs, J., & Kenjeres, S. (2021). Curved Surface Minijet Impingement Phenomena Analysed with ζ-f Turbulence Model. Energies, 14(7), 1846. https://doi.org/10.3390/en14071846

