Augmentation of Heat Transfer in a Circular Channel with Inline and Staggered Baffles
Abstract
:1. Introduction
2. Physical Model and Governing Equations
- ▪
- The flow was steady, three-dimensional, and developing.
- ▪
- All simulations were performed for a fixed value of heat flux (2 kW/m2). The Reynolds number varied between 10,000 to 50,000.
- ▪
- Air was used as the working medium, and the flow was single-phase.
- ▪
- The thermal conductivity of the baffles, and therefore their heat absorption, were neglected.
3. Meshing and Grid Independence Study
4. Data Reduction
- ▪
- Diameter (D), mm: 20 mm
- ▪
- Length (L), mm: 2000 mm
- ▪
- Pitch Ratio (Y) = P/D: 3, 4, and 5
- ▪
- Baffle height (e), mm: 5 mm (constant throughout the simulation)
- ▪
- Baffle effective length (Lw), mm: 150 mm (constant throughout the simulation for inlet portion, middle portion, and exit portion)
- ▪
- Baffle thickness (t), mm: 2 mm (constant throughout the simulation)
5. Results and Discussion
5.1. Validation of Nu and f
5.2. Nusselt Number
5.3. Friction Factor
5.4. Colburn j-Factor
5.5. Flow Field
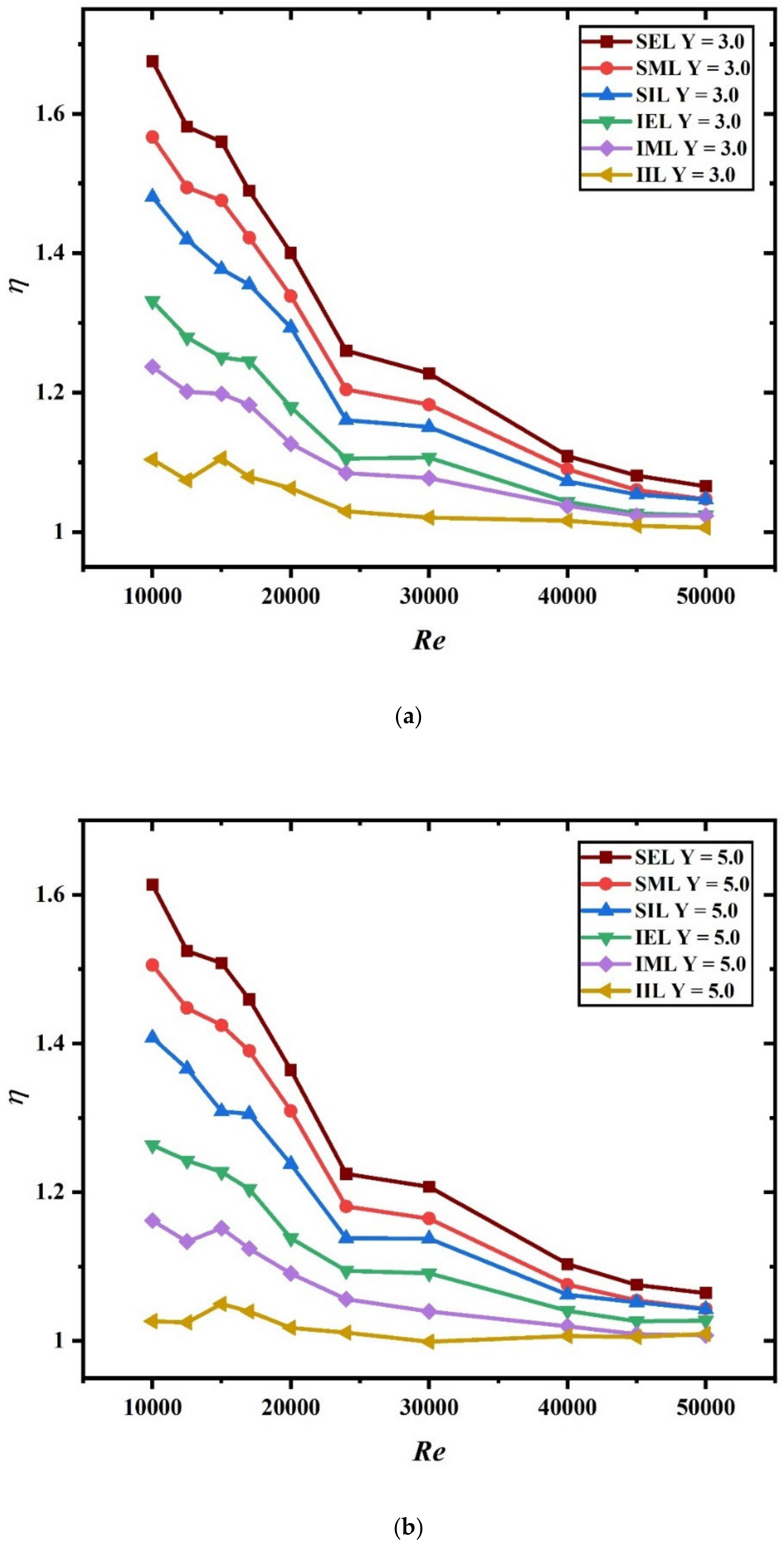
5.6. Thermal Performance Factor
6. Conclusions
- Staggered exit-length baffles showed the highest enhancement in Nusselt number, friction factor, j-factor, and thermal performance factor, while the least enhancement was reported for staggered inlet-length baffles.
- For a pitch ratio of 3.0, the enhancement in all parameters was maximum, while at a pitch ratio of 5.0, the enhancement in all parameters was the least.
- In all cases, the thermal performance factor value remained higher than the unity. Moreover, for SEL baffles at Y = 3.0, the enhancement was maximum at 1.6.
- Staggered exit-length baffles appeared the best in terms of positioning as regards Nusselt number, j-factor, and thermal performance.
Author Contributions
Funding
Institutional Review Board Statement
Informed Consent Statement
Data Availability Statement
Acknowledgments
Conflicts of Interest
Nomenclature
| A | Cross-section area |
| D | hydraulic diameter, m |
| e | baffle height, m |
| Fi | model blending functions |
| f | friction factor |
| h | heat transfer coefficient, W m−2 K−1 |
| HT | heat transfer |
| j | Colburn j-factor |
| L | tube length, m |
| LW | baffle effective length, m |
| M | model constant |
| m | mass flow rate of working fluid, kg/s |
| Nu | Nusselt number |
| P | pitch |
| PD | pressure drop |
| Pκ | turbulent kinetic energy production term |
| Pr | molecular Prandtl number |
| Prturb | turbulent Prandtl number |
| q | heat flux, W m−2 |
| Re | Reynolds number |
| Rw | average thermal resistance of wall, ohm |
| RANS | Reynolds averaged numerical simulation |
| SST | shear stress transport |
| TT | twisted tape |
| V | bulk velocity, m s−1 |
| Y | pitch ratio |
| Greek Symbols | |
| α | molecular thermal diffusivity, m2 sec−1 |
| βi | model constant |
| σi | model constant |
| γ | intermittency |
| ΔP | pressure drop, Pa |
| η | thermo-hydraulic performance factor |
| µ | molecular dynamic viscosity, kg m−1 s−1 |
| µturb | turbulent dynamic viscosity, kg m−1 s−1 |
| ν | molecular kinematic viscosity, m2 s−1 |
| νturb | molecular kinematic viscosity, m2 s−1 |
| turbulence kinetic energy, m2 s−2 | |
| specific dissipation rate of , s−1 |
References
- Sahu, M.K.; Matheswaran, M.M.; Bishnoi, P. Experimental study of thermal performance and pressure drop on a solar air heater with different orientations of arc-shape rib roughness. J. Therm. Anal. Calorim. 2021, 144, 1417–1434. [Google Scholar] [CrossRef]
- Baig, W.; Ali, H.M. An experimental investigation of performance of a double pass solar air heater with foam aluminum thermal storage medium. Case Stud. Therm. Eng. 2019, 14, 100440. [Google Scholar] [CrossRef]
- Kumar, R.; Goel, V.; Kumar, M. Effect of providing gap in multiple-arc rib-roughened solar air heater—Part 1. J. Mech. Sci. Technol. 2020, 34, 2619–2625. [Google Scholar] [CrossRef]
- Thakur, D.S.; Khan, M.K.; Pathak, M. Solar air heater with hyperbolic ribs: 3D simulation with experimental validation. Renew. Energy 2017, 113, 357–368. [Google Scholar] [CrossRef]
- Bharadwaj, G.; Varun; Kumar, R.; Sharma, A. Heat transfer augmentation and flow characteristics in ribbed triangular duct solar air heater: An experimental analysis. Int. J. Green Energy 2017, 14, 587–598. [Google Scholar] [CrossRef]
- Jouybari, N.F.; Lundström, T.S. Performance improvement of a solar air heater by covering the absorber plate with a thin porous material. Energy 2020, 190, 116437. [Google Scholar] [CrossRef]
- Goel, V.; Kumar, R.; Bhattacharyya, S.; Tyagi, V.; Abusorrah, A.M. A comprehensive parametric investigation of hemispherical cavities on thermal performance and flow-dynamics in the triangular-duct solar-assisted air-heater. Renew. Energy 2021, 173, 896–912. [Google Scholar] [CrossRef]
- Bhattacharyya, S.; Benim, A.C.; Pathak, M.; Chamoli, S.; Gupta, A. Thermohydraulic characteristics of inline and staggered angular cut baffle inserts in the turbulent flow regime. J. Therm. Anal. Calorim. 2020, 140, 1519–1536. [Google Scholar] [CrossRef]
- Bhattacharyya, S.; Paul, A.R. The effect of circular hole spring tape on the turbulent heat transfer and entropy analysis in a heat exchanger tube: An experimental study. Exp. Heat Transf. 2020, 34, 1–20. [Google Scholar] [CrossRef]
- Bhattacharyya, S.; Benim, A.C.; Chattopadhyay, H.; Banerjee, A. Experimental investigation of heat transfer performance of corrugated tube with spring tape inserts. Exp. Heat Transf. 2018, 32, 411–425. [Google Scholar] [CrossRef]
- Bhattacharyya, S.; Chattopadhyay, H.; Benim, A.C. Heat Transfer Enhancement of Laminar Flow of Ethylene Glycol through a Square Channel Fitted with Angular Cut Wavy Strip. Procedia Eng. 2016, 157, 19–28. [Google Scholar] [CrossRef] [Green Version]
- Bhattacharyya, S.; Chattopadhyay, H.; Pal, T.K.; Roy, A. Numerical Investigation of Thermohydraulics Performance in Elliptical Twisted Duct Heat Exchanger. In CAD/CAM, Robotics and Factories of the Future; Lecture Notes in Mechanical Engineering; Springer: New Delhi, India, 2016; pp. 839–849. [Google Scholar] [CrossRef]
- Bhattacharyya, S.; Chattopadhyay, H.; Benim, A.C. Computational investigation of heat transfer enhancement by alternating inclined ribs in tubular heat exchanger. Prog. Comput. Fluid Dyn. Int. J. 2017, 17, 390. [Google Scholar] [CrossRef]
- Bhattacharyya, S.; Roy, A.; Chattopadhyay, H.; Rakshit, A. A Numerical Investigation Based on Heat Transfer and Fluid Flow Characteristics of Air in a Circular Tube Heat Exchanger with Inclined Ribs. Recent Adv. Chem. Eng. 2016, 11–20. [Google Scholar] [CrossRef]
- Bhattacharyya, D.K.; Vishwakarma, V.; Goel, S.; Chamoli, A.; Issakhov, J.P. Meyer, Thermodynamics and heat transfer study of a circular tube embedded with novel perforated angular-cut alternate segmental baffles. J. Therm. Anal. Calorim. 2021, 145, 1445–1465. [Google Scholar] [CrossRef]
- Sriromreun, P.; Thianpong, C.; Promvonge, P. Experimental and numerical study on heat transfer enhancement in a channel with Z-shaped baffles. Int. Commun. Heat Mass Transf. 2012, 39, 945–952. [Google Scholar] [CrossRef]
- Karwa, R.; Maheshwari, B.; Karwa, N. Experimental study of heat transfer enhancement in an asymmetrically heated rectangular duct with perforated baffles. Int. Commun. Heat Mass Transf. 2005, 32, 275–284. [Google Scholar] [CrossRef]
- Promvonge, P.; Kwankaomeng, S. Periodic laminar flow and heat transfer in a channel with 45° staggered V-baffles. Int. Commun. Heat Mass Transf. 2010, 37, 841–849. [Google Scholar] [CrossRef]
- Chamoli, S.; Thakur, N.S. Exergetic performance evaluation of solar air heater having V-down perforated baffles on the absorber plate. J. Therm. Anal. Calorim. 2014, 117, 909–923. [Google Scholar] [CrossRef]
- Rashidi, S.; Akbarzadeh, M.; Karimi, N.; Masoodi, R. Combined effects of nanofluid and transverse twisted-baffles on the flow structures, heat transfer and irreversibilities inside a square duct—A numerical study. Appl. Therm. Eng. 2018, 130, 135–148. [Google Scholar] [CrossRef] [Green Version]
- Menni, Y.; Ghazvini, M.; Ameur, H.; Ahmadi, M.H.; Sharifpur, M.; Sadeghzadeh, M. Numerical calculations of the thermal-aerodynamic characteristics in a solar duct with multiple V-baffles. Eng. Appl. Comput. Fluid Mech. 2020, 14, 1173–1197. [Google Scholar] [CrossRef]
- Samruaisin, P.; Kunnarak, K.; Chuwattanakul, V.; Eiamsa-Ard, S. Effect of sparsely placed twisted tapes installed with multiple-transverse twisted-baffles on heat transfer enhancement. J. Therm. Anal. Calorim. 2020, 140, 1159–1175. [Google Scholar] [CrossRef]
- Yu, J.-S.; Kim, J.-H.; Kim, J.-T. Effect of Triangular Baffle Arrangement on Heat Transfer Enhancement of Air-Type PVT Collector. Sustainability 2020, 12, 7469. [Google Scholar] [CrossRef]
- Bensaci, C.-E.; Moummi, A.; de la Flor, F.J.S.; Jara, E.A.R.; Rincon-Casado, A.; Ruiz-Pardo, Á. Numerical and experimental study of the heat transfer and hydraulic performance of solar air heaters with different baffle positions. Renew. Energy 2020, 155, 1231–1244. [Google Scholar] [CrossRef]
- Reddy, K.S.; Satyanarayana, G.V. Numerical Study of Porous Finned Receiver for Solar Parabolic Trough Concentrator. Eng. Appl. Comput. Fluid Mech. 2008, 2, 172–184. [Google Scholar] [CrossRef] [Green Version]
- Sari, A.; Sadi, M.; Sabet, G.S.; Mohammadiun, M.; Mohammadiun, H. Experimental analysis and exergetic assessment of the solar air collector with delta winglet vortex generators and baffles. J. Therm. Anal. Calorim. 2021, 145, 867–885. [Google Scholar] [CrossRef]
- Yaningsih, I.; Wijayanta, A.T.; Miyazaki, T.; Koyama, S. Thermal hydraulic characteristics of turbulent single-phase flow in an enhanced tube using louvered strip insert with various slant angles. Int. J. Therm. Sci. 2018, 134, 355–362. [Google Scholar] [CrossRef]
- Wijayanta, A.T.; Aziz, M.; Kariya, K.; Miyara, A. Numerical Study of Heat Transfer Enhancement of Internal Flow Using Double-Sided Delta-Winglet Tape Insert. Energies 2018, 11, 3170. [Google Scholar] [CrossRef] [Green Version]
- Wijayanta, A.T.; Aziz, M. Heat transfer augmentation of internal flow using twisted tape insert in turbulent flow. Heat Transf. Eng. 2020, 41, 1288–1300. [Google Scholar] [CrossRef]
- Menter, F.; Esch, T.; Kubacki, S. Transition modelling based on local variables. Eng. Turbul. Model. Exp. 2002, 5, 555–564. [Google Scholar] [CrossRef]
- Bhattacharyya, S.; Chattopadhyay, H.; Guin, A.; Benim, A.C. Investigation of Inclined Turbulators for Heat Transfer Enhancement in a Solar Air Heater. Heat Transf. Eng. 2018, 40, 1451–1460. [Google Scholar] [CrossRef]
- Bhattacharyya, S.; Chattopadhyay, H.; Biswas, R.; Ewim, D.R.E.; Huan, Z. Influence of Inlet Turbulence Intensity on Transport Phenomenon of Modified Diamond Cylinder: A Numerical Study. Arab. J. Sci. Eng. 2020, 45, 1051–1058. [Google Scholar] [CrossRef]
- Bhattacharyya, S.; Vishwakarma, D.; Chakraborty, S.; Roy, R.; Issakhov, A.; Sharifpur, M. Turbulent Flow Heat Transfer through a Circular Tube with Novel Hybrid Grooved Tape Inserts: Thermohydraulic Analysis and Prediction by Applying Machine Learning Model. Sustainability 2021, 13, 3068. [Google Scholar] [CrossRef]
- Kumar, A.; Dey, K.; Bhattacharyya, S.; Paul, A.R.; Benim, A.C.; Vishwakarma, D.K.; Huan, Z. Augmented thermal performance in a non-uniform heat flux circular tube with twisted tape insert using hybrid nanofluid. E3S Web Conf. 2021, 321, 04009. [Google Scholar] [CrossRef]
- Bhattacharyya, S.; Vishwakarma, D.K.; Soni, M.K. Heat Transfer and Pressure Drop in Transitional Flow: A Short Review. IOP Conf. Ser. Mater. Sci. Eng. 2021, 1080, 012050. [Google Scholar] [CrossRef]
- Bhattacharyya, S.; Chattopadhyay, H. Computational of studies of heat transfer enhancement in turbulent channel flow with twisted strip inserts. In Proceedings of the CHT-15, 6th International Symposium on Advances in Computational Heat Transfer, 25–29 May 2015; Rutgers University: New Brunswick, NJ, USA; Begellhouse: Danbury, CT, USA, 2015; p. 12. [Google Scholar]
- Olsen, L.; Bhattacharyya, S.; Cheng, L.; Minkowycz, W.; Abraham, J. Heat Transfer Enhancement for Internal Flows with a Centrally Located Circular Obstruction and the Impact of Buoyancy. Heat Transf. Eng. 2021, 1–24. [Google Scholar] [CrossRef]
- Bhattacharyya, S.H.; Chattopadhyay, S.K. Saha, Numerical Study on heat transfer enhancement of laminar flow through a circular tube with artificial rib roughness. J. Refrig. Air Cond. Heat. Vent. 2014, 3, 14–19. [Google Scholar]
- Bhattacharyya, S. The effects of short length and full length swirl generators on heat transfer and flow fields in a solar air heater tube. J. Therm. Anal. Calorim. 2019, 140, 1355–1369. [Google Scholar] [CrossRef]
- Bhattacharyya, S.; Benim, A.C.; Chattopadhyay, H.; Banerjee, A. Experimental and numerical analysis of forced convection in a twisted tube. Therm. Sci. 2019, 23, 1043–1052. [Google Scholar] [CrossRef] [Green Version]
- Bhattacharyya, S. Fluid Flow and Heat Transfer in a Heat Exchanger Channel with Short-Length Twisted Tape Turbulator Inserts. Iran. J. Sci. Technol. Trans. Mech. Eng. 2018, 44, 217–227. [Google Scholar] [CrossRef]
- Dittus, F.W.; Boelter, L.M.K. Heat transfer in automobile radiators of the tubular type. Int. Commun. Heat Mass Transf. 1985, 12, 3–22. [Google Scholar] [CrossRef]
- Blasius, H. Das Aehnlichkeitsgesetz bei Reibungsvorgängen in Flüssigkeiten. In Mitteilungen über Forschungsarbeiten auf dem Gebiete des Ingenieurwesens; Springer Science and Business Media LLC: Berlin/Heidelberg, Germany, 1913; pp. 1–41. [Google Scholar]

















| Total Number of Grid Nodes | Nu | f | |
|---|---|---|---|
| Re = 10,000, Plain Channel | |||
| Grid 1 | 1,195,758 | 33.12 | 0.0411 |
| Grid 2 | 1,374,386 | 33.76 | 0.0422 |
| Grid 3 | 1,589,365 | 33.78 | 0.0422 |
Publisher’s Note: MDPI stays neutral with regard to jurisdictional claims in published maps and institutional affiliations. |
© 2021 by the authors. Licensee MDPI, Basel, Switzerland. This article is an open access article distributed under the terms and conditions of the Creative Commons Attribution (CC BY) license (https://creativecommons.org/licenses/by/4.0/).
Share and Cite
Al Nuwairan, M.; Souayeh, B. Augmentation of Heat Transfer in a Circular Channel with Inline and Staggered Baffles. Energies 2021, 14, 8593. https://doi.org/10.3390/en14248593
Al Nuwairan M, Souayeh B. Augmentation of Heat Transfer in a Circular Channel with Inline and Staggered Baffles. Energies. 2021; 14(24):8593. https://doi.org/10.3390/en14248593
Chicago/Turabian StyleAl Nuwairan, Muneerah, and Basma Souayeh. 2021. "Augmentation of Heat Transfer in a Circular Channel with Inline and Staggered Baffles" Energies 14, no. 24: 8593. https://doi.org/10.3390/en14248593
APA StyleAl Nuwairan, M., & Souayeh, B. (2021). Augmentation of Heat Transfer in a Circular Channel with Inline and Staggered Baffles. Energies, 14(24), 8593. https://doi.org/10.3390/en14248593

