Techno-Economic Evaluation of Co-Removal of NOx and SOx Species from Flue Gases via Enhanced Oxidation of NO by ClO2—Case Studies of Implementation at a Pulp and Paper Mill, Waste-to-Heat Plant and a Cruise Ship
Abstract
1. Introduction
2. Methods
2.1. Case Studies
2.1.1. Waste-to-Heat Plant
2.1.2. Kraft Recovery Boiler
2.1.3. Cruiser
2.2. Choice of Oxidizing Agent
2.3. Process Designs and Contingencies
2.4. Process Modeling
2.5. Cost Estimation
3. Results and Discussion
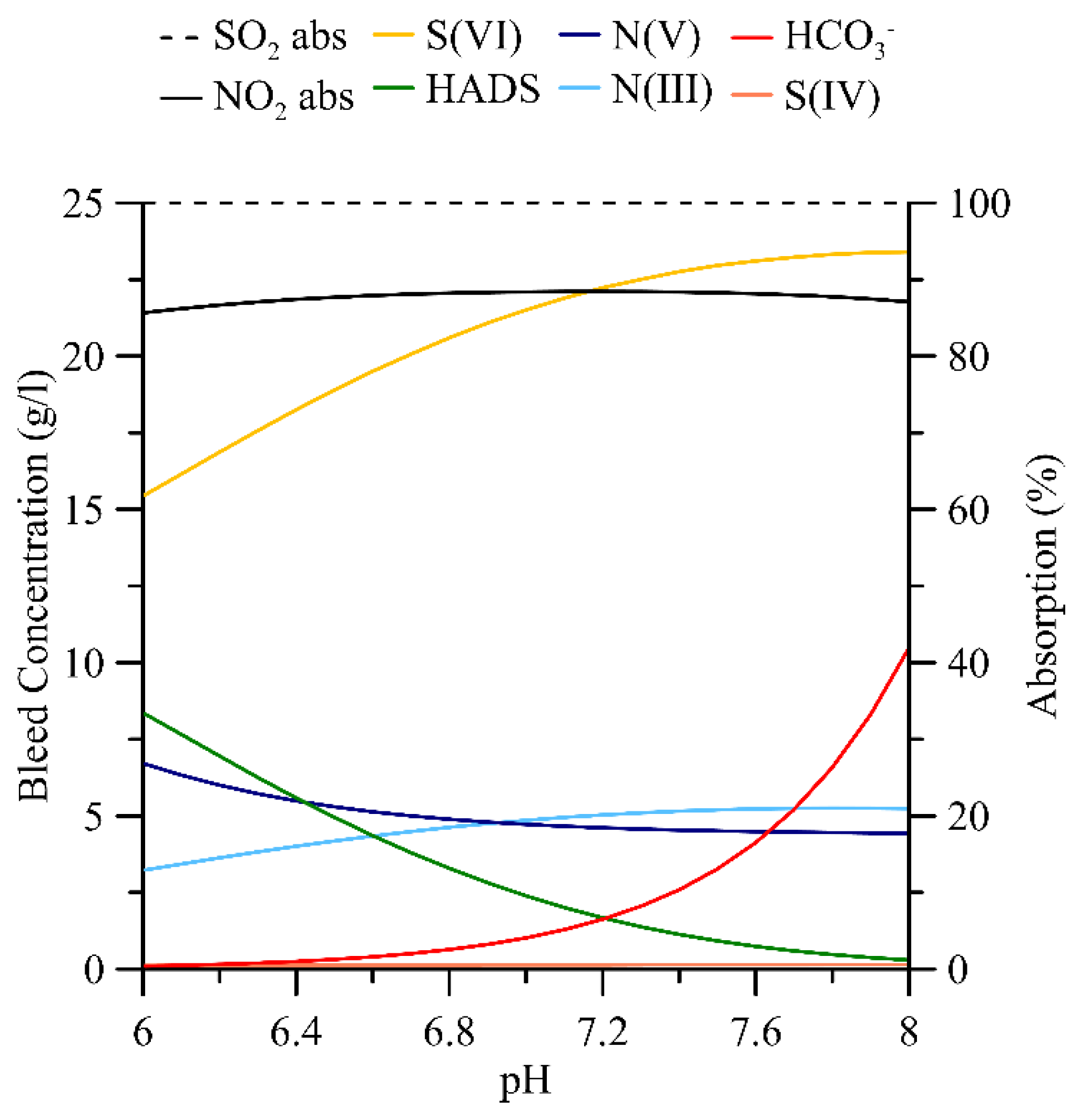
3.1. Technical Performance
3.2. Economic Performance
4. Conclusions
- The removal efficiencies of the co-absorption system are able to reach the level of what is currently viewed as best available technologies, with >90% and >99% removal for NOx and SO2, respectively.
- The waste-to-heat plant had an estimated total specific cost of NO2 removal of 5300 €/ton NO2, the recovery boiler 4700 €/ton NO2 which is relatively close to the Swedish charge on NO2 at 4900 €/ton NO2. The cruiser had an estimated total specific cost of NO2 removal at 3300 €/ton NO2.
- The consumption of absorption chemicals (Na2SO3) should be significantly reduced when either an inhibitor or another absorption chemical is used, for instance Na2S2O3.
- The investigated technology is well suited for emission control of sources with a high share of SO2 in the flue gas and/or sites with current availability of oxidizing chemicals and absorption chemicals.
- The treatment of wastewater was identified as an unknown parameter in the cost evaluation.
Supplementary Materials
Author Contributions
Funding
Institutional Review Board Statement
Informed Consent Statement
Data Availability Statement
Conflicts of Interest
References
- European Parliament and Council DIRECTIVE (EU) 2016/2284 on the Reduction of National Emissions of Certain Atmospheric Pollutants. Off. J. Eur. Union 2016, L 344, 19–20.
- European Environment Agency. Available online: https://www.eea.europa.eu/publications/national-emission-reduction-commitments-directive (accessed on 20 November 2021).
- Kang, M.S.; Shin, J.; Yu, T.U.; Hwang, J. Simultaneous removal of gaseous NOx and SO2 by gas-phase oxidation with ozone and wet scrubbing with sodium hydroxide. Chem. Eng. J. 2020, 381, 122601. [Google Scholar] [CrossRef]
- Zwolińska, E.; Sun, Y.; Chmielewski, A.G.; Pawelec, A.; Bułka, S. Removal of high concentrations of NOx and SO2 from diesel off-gases using a hybrid electron beam technology. Energy Rep. 2020, 6, 952–964. [Google Scholar] [CrossRef]
- Zou, Y.; Liu, X.; Zhu, T.; Tian, M.; Cai, M.; Zhao, Z.; Wu, H. Simultaneous Removal of NOx and SO2 by MgO Combined with O3 Oxidation: The Influencing Factors and O3 Consumption Distributions. ACS Omega 2019, 4, 21091–21099. [Google Scholar] [CrossRef] [PubMed]
- Krzyżyńska, R.; Hutson, N.; Zhao, Y.; Szeliga, Z.; Regucki, P. Mercury removal and its fate in oxidant enhanced wet flue gas desulphurization slurry. Fuel 2018, 211, 876–882. [Google Scholar] [CrossRef]
- Johansson, J.; Hultén, A.H.; Normann, F.; Andersson, K. Simultaneous Removal of NOx and SOx from Flue Gases Using ClO2: Process Scaling and Modeling Simulations. Ind. Eng. Chem. Res. 2021, 60, 1774–1783. [Google Scholar] [CrossRef]
- Meng, Z.; Wang, C.; Wang, X.; Chen, Y.; Wu, W.; Li, H. Simultaneous Removal of SO2 and NOx from Flue Gas Using (NH4)2S2O3/Steel Slag Slurry Combined with Ozone Oxidation. Fuel 2019, 255, 115760. [Google Scholar] [CrossRef]
- Hutson, N.D.; Krzyżyńska, R.; Srivastava, R.K. Simultaneous Removal of SO2, NOX, and Hg from Coal Flue Gas Using a NaClO2-Enhanced Wet Scrubber. Ind. Eng. Chem. Res. 2008, 47, 5825–5831. [Google Scholar] [CrossRef]
- Si, T.; Wang, C.; Yan, X.; Zhang, Y.; Ren, Y.; Hu, J.; Anthony, E.J. Simultaneous removal of SO2 and NOx by a new combined spray-and-scattered-bubble technology based on preozonation: From lab scale to pilot scale. Appl. Energy 2019, 242, 1528–1538. [Google Scholar] [CrossRef]
- Neuwahl, F.; Cusano, G.; Benavides, J.G.; Holbrook, S.; Roudier, S. Best Available Techniques (BAT) Reference Document for Waste Incineration; European Commission: Brussels, Belgium, 2019. [Google Scholar]
- Ståhls, J. Minskade NOx-Utsläpp Med Nya Tillämpningar i Rökgasrening. Valmet Miljösystem. In Proceedings of the Panndagarna i Borås, Borås, Sweden, 9–10 April 2019. [Google Scholar]
- Suhr, M.; Klein, G.; Kourti, I.; Gonzalo, M.R.; Santonja, G.G.; Roudier, S.; Sancho, L.D. Best Available Techniques (BAT) Reference Document for the Production of Pulp, Paper and Board; European Commission: Brussels, Belgium, 2015. [Google Scholar]
- International Maritime Organization. Available online: https://www.imo.org/en/OurWork/Environment/Pages/Sulphur-oxides-(SOx)-–-Regulation-14.aspx (accessed on 11 November 2021).
- International Maritime Organization. Available online: https://www.imo.org/en/OurWork/Environment/Pages/Nitrogen-oxides-(NOx)-–-Regulation-13.aspx (accessed on 11 November 2021).
- Johansson, J.; Hultén, A.H.; Ajdari, S.; Nilsson, P.; Samuelsson, M.; Normann, F.; Andersson, K. Gas-Phase Chemistry of the NO–SO2–ClO2 System Applied to Flue Gas Cleaning. Ind. Eng. Chem. Res. 2018, 57, 14347–14354. [Google Scholar] [CrossRef]
- Kasper, J.M.; Iii, C.A.C.; Cooper, C.D. Control of Nitrogen Oxide Emissions by Hydrogen Peroxide-Enhanced Gas-Phase Oxidation Of Nitric Oxide. J. Air Waste Manag. Assoc. 1996, 46, 127–133. [Google Scholar] [CrossRef]
- Zhao, H.-Q.; Wang, Z.-H.; Gao, X.-C.; Liu, C.-H.; Qi, H.-B. Optimization of NO oxidation by H2O2 thermal decomposition at moderate temperatures. PLoS ONE 2018, 13, e0192324. [Google Scholar] [CrossRef] [PubMed]
- Lin, F.; Wang, Z.; Ma, Q.; He, Y.; Whiddon, R.; Zhu, Y.; Liu, J. N2O5 Formation Mechanism during the Ozone-Based Low-Temperature Oxidation deNOx Process. Energy Fuels 2016, 30, 5101–5107. [Google Scholar] [CrossRef]
- Si, M.; Shen, B.; Adwek, G.; Xiong, L.; Liu, L.; Yuan, P.; Gao, H.; Liang, C.; Guo, Q. Review on the NO removal from flue gas by oxidation methods. J. Environ. Sci. 2021, 101, 49–71. [Google Scholar] [CrossRef] [PubMed]
- Ma, Q.; Wang, Z.; Lin, F.; Kuang, M.; Whiddon, R.; He, Y.; Liu, J. Characteristics of O3 Oxidation for Simultaneous Desulfurization and Denitration with Limestone–Gypsum Wet Scrubbing: Application in a Carbon Black Drying Kiln Furnace. Energy Fuels 2016, 30, 2302–2308. [Google Scholar] [CrossRef]
- Jakubiak, M.P. Kordylewski Pilot-scale studies on NOx removal from flue gas via NO ozonation and absorption into NaOH solution. Chem. Process. Eng.-Inz. Chem. Proces. 2012, 33, 345–358. [Google Scholar] [CrossRef][Green Version]
- Johansson, J.; Normann, F.; Sarajlic, N.; Andersson, K. Technical-Scale Evaluation of Scrubber-Based, Co-Removal of NOx and SOx Species from Flue Gases via Gas-Phase Oxidation. Ind. Eng. Chem. Res. 2019, 58, 21904–21912. [Google Scholar] [CrossRef]
- Faanes, A.; Skogestad, S. Buffer Tank Design for Acceptable Control Performance. Ind. Eng. Chem. Res. 2003, 42, 2198–2208. [Google Scholar] [CrossRef]
- Ajdari, S.; Normann, F.; Andersson, K.; Johnsson, F. Reduced Mechanism for Nitrogen and Sulfur Chemistry in Pressurized Flue Gas Systems. Ind. Eng. Chem. Res. 2016, 55, 5514–5525. [Google Scholar] [CrossRef]
- Littlejohn, D.; Wang, Y.; Chang, S.G. Oxidation of aqueous sulfite ion by nitrogen dioxide. Environ. Sci. Technol. 1993, 27, 2162–2167. [Google Scholar] [CrossRef]
- NETL. Quality Guidelines for Energy System Studies: Cost Estimation Methodology for NETL Assessments of Power Plant Performance; National Energy Technology Laboratory: Pittsburgh, UK, 2021.
- Rao, A.B.; Rubin, E.S.; Berkenpas, M.B. An Integrated Modeling Framework for Cabon Management Technologies; U.S. Department of Energy: Washington, DC, USA, 2004.
- Zis, T.P. Prospects of cold ironing as an emissions reduction option. Transp. Res. Part A Policy Pr. 2019, 119, 82–95. [Google Scholar] [CrossRef]
- Anantharaman, O.R.B.; Booth, N.; van Dorst, E.; Ekstrom, C.; Fernandes, E.S.; Franco, F.; Macchi, E.; Manzolini, G.; Nikolic, D.; Pfeffer, A.; et al. European Best Practise Guidelines for Assesment of CO2 Capture Technologies; CTCV: Copenhagen, Denmark, 2011. [Google Scholar]
- Dahlin, P. Na/S Balances at Skoghall Mill 2015. Balances after Reconstruction of the Fiber Line. Master’s Thesis, Karlstad University, Karlstad, Sweden, 2015. [Google Scholar]
- Hruška, M.; Variny, M.; Haydary, J.; Janošovský, J. Sulfur Recovery from Syngas in Pulp Mills with Integrated Black Liquor Gasification. Forests 2020, 11, 1173. [Google Scholar] [CrossRef]
- Yaramenka, K.; Winnes, H.; Åström, S.; Fridell, E. Cost-Benefit Analysis of NOx Control for Ships in the Baltic Sea and the North Sea; Swedish Environmental Research Institute: Stockholm, Sweden, 2017. [Google Scholar]
- den Boer, E.; Hoen, M. Scrubbers—An Economic and Ecological Assessment. Delft, CE Delft; NABU: Stuttgart, Germany, 2015. [Google Scholar]








| Method | NO Oxidation Rate | Main Active Species | Oxidizing Agent Efficiency (OA/NO) | Reference | 
|---|---|---|---|---|
| ClO2 | 99% | ClO, ClO2 | 0.5 | [7] | 
| O3 | 95% | O3 | 1 | [8] | 
| O3 | 95% | O3 | 1.25 | [22] | 
| H2O2 | 95% | H2O2 | 2.7 | [17] | 
| Parameter | Waste to Heat Plant | Kraft Recovery Boiler | Cruise Ship | 
|---|---|---|---|
| SO2 removal efficiency (%) | >99 | >99 | >99 | 
| NO2 removal efficiency (%) | >90 | >90 | >90 | 
| Raw Flue Gas Flow (Nm3/h) | 57,500 | 357,000 | 61,600 | 
| Flue gas concentrations after oxidation | |||
| N2 (%) | 65 | 68 | 76 | 
| CO2 (%) | 8 | 12 | 3.2 | 
| H2O (%) | 16 | 16 | 9.2 | 
| O2 (%) | 11 | 3 | 11.3 | 
| SO2 (ppm wet) | 150 | 20 | 900 | 
| NO2 (ppm wet) | 150 | 150 | 600 | 
| HCl (ppm wet) | 60 | 60 | 220 | 
| Project Region Base | EU | 
|---|---|
| Project currency | € (2020) | 
| Conversion rate €/US. $ | 0.85 | 
| Lifetime of Unit | 25 years | 
| Tax rate | 0% | 
| Inflation rate | 0% | 
| Annual operating hours | 8000 | 
| Process contingencies | 10% [27] | 
| Construction time | 1 year | 
| Indirect costs | 14% of TDC [30] | 
| Project contingencies | 15% of TDC [27] | 
| Owner’s cost | 7% of TDC [27] | 
| Number of full-time employees required | 0.5 | 
| Total Maintenance cost | 2.5% of TPC [28] | 
| NaOH 100 wt% | 400 €/ton 1 | 
| Na2SO3 100 wt% | 500 €/ton 2 | 
| ClO2 100% | 1200 €/ton [31] | 
| Electricity | 68.4 €/MWh | 
| Make-up water | 6.65 €/m3 [30] | 
| Parameter | Waste to Heat Plant | Kraft Recovery Boiler | Cruise Ship, Closed/Open | 
|---|---|---|---|
| Liquid Flow (m3/h) | 575 | 3570 | 616 | 
| L/G (kg liquid/kg gas) | 10 | 10 | 10 | 
| NaOH (l/h) | 58 | 75 | 350/280 | 
| Na2SO3 (l/h) | 60 | 460 | 10/150 | 
| S(IV)/NO2 ratio 1 | 1.3 | 1.2 | 1.7/2.2 | 
| ClO2 (kg/h) | 8.5 | 52.7 | 33.7/33.7 | 
| SO2 removed (kg/h) | 20 | 20 | 130/130 | 
| NO2 removed (kg/h) | 13 | 80 | 50/50 | 
| Make up water (m3/h) | 1.34 | 4.16 | 6.26/616 | 
| Liquid bleed (m3/h) | 1.38 | 6.1 | 6.27/616 | 
| N(III) (g/L) | 8.8 | 10.5 | 7.9/0.1 | 
| N(V) (mg/L) | 36 | 9.4 | 1.98/0.67 | 
| S(IV) (mg/L) | 60 | 140 | 1110/90 | 
| S(VI) (g/L) | 25 | 25 | 25/0.11 | 
| HADS (g/L) | 2.7 | 10 | 3.4/0.0 | 
| Carbonates (g/L) | 1.8 | 2.2 | 0.67/0.0 | 
| Publisher’s Note: MDPI stays neutral with regard to jurisdictional claims in published maps and institutional affiliations. | 
© 2021 by the authors. Licensee MDPI, Basel, Switzerland. This article is an open access article distributed under the terms and conditions of the Creative Commons Attribution (CC BY) license (https://creativecommons.org/licenses/by/4.0/).
Share and Cite
Johansson, J.; Normann, F.; Andersson, K. Techno-Economic Evaluation of Co-Removal of NOx and SOx Species from Flue Gases via Enhanced Oxidation of NO by ClO2—Case Studies of Implementation at a Pulp and Paper Mill, Waste-to-Heat Plant and a Cruise Ship. Energies 2021, 14, 8512. https://doi.org/10.3390/en14248512
Johansson J, Normann F, Andersson K. Techno-Economic Evaluation of Co-Removal of NOx and SOx Species from Flue Gases via Enhanced Oxidation of NO by ClO2—Case Studies of Implementation at a Pulp and Paper Mill, Waste-to-Heat Plant and a Cruise Ship. Energies. 2021; 14(24):8512. https://doi.org/10.3390/en14248512
Chicago/Turabian StyleJohansson, Jakob, Fredrik Normann, and Klas Andersson. 2021. "Techno-Economic Evaluation of Co-Removal of NOx and SOx Species from Flue Gases via Enhanced Oxidation of NO by ClO2—Case Studies of Implementation at a Pulp and Paper Mill, Waste-to-Heat Plant and a Cruise Ship" Energies 14, no. 24: 8512. https://doi.org/10.3390/en14248512
APA StyleJohansson, J., Normann, F., & Andersson, K. (2021). Techno-Economic Evaluation of Co-Removal of NOx and SOx Species from Flue Gases via Enhanced Oxidation of NO by ClO2—Case Studies of Implementation at a Pulp and Paper Mill, Waste-to-Heat Plant and a Cruise Ship. Energies, 14(24), 8512. https://doi.org/10.3390/en14248512
 
         
                                                

 
       