Design and Implementation of a New Cuk-Based Step-Up DC–DC Converter
Abstract
:1. Introduction
2. Proposed Topology
2.1. Fundamental Concepts
2.2. Operational Modes
2.3. Average Values of the Voltage/Current of the Energy Storage Components
2.4. Voltage/Current Stresses of Semiconductor-Based Components
2.5. Current Ripple of Inductors and Voltage Ripple of Capacitors
3. Discontinuous Conduction Mode
4. The Non-Ideal Mode
4.1. The Non-Ideal Voltage Gain
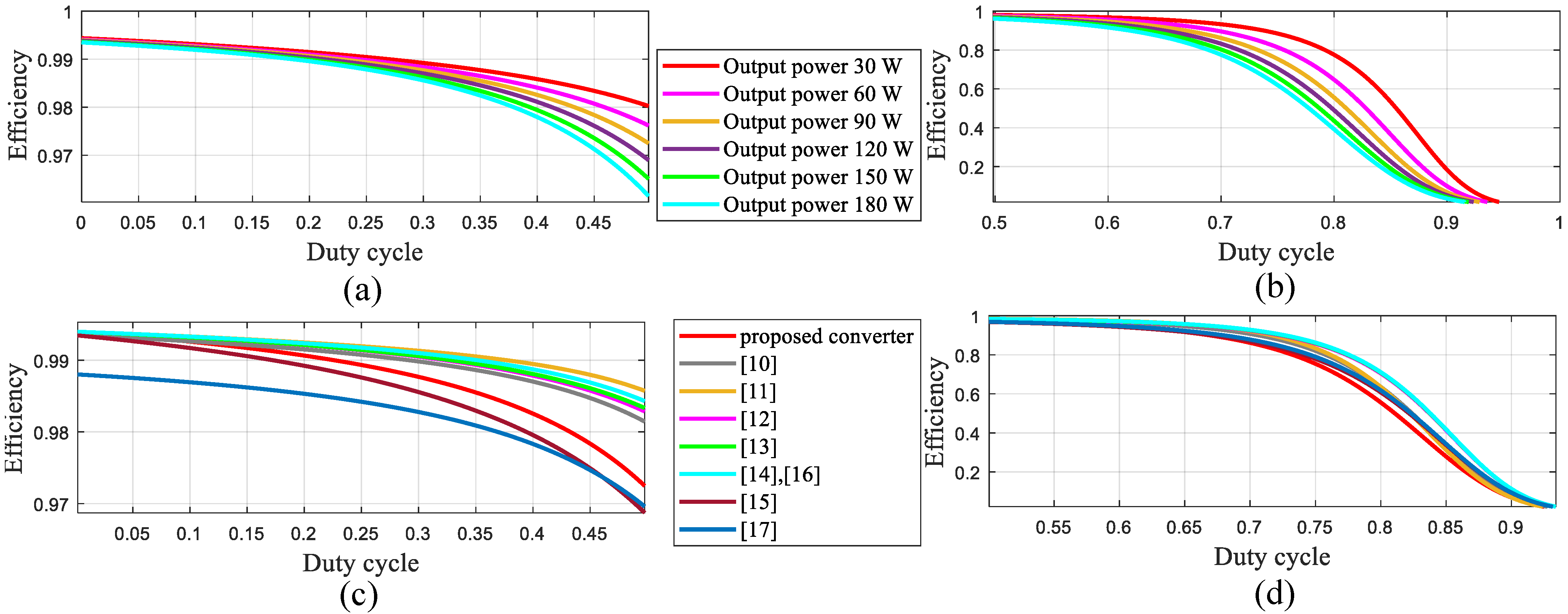
4.2. Efficiency
5. Comparative Analysis with Other Topologies
5.1. Different Kinds of Power Losses
5.2. The Comparison of the Current/Voltage Stress of the Switches and Diodes at the Operating Point
5.3. The Comparison of the Component Numbers and Continuity of Input/Output Currents
6. Simulation Results
7. Experimental Results
8. Conclusions
Author Contributions
Funding
Conflicts of Interest
Appendix A

References
- Li, W.; Lv, X.; Deng, Y.; Liu, J.; He, X. A Review of Non-Isolated High Step-Up DC/DC Converters in Renewable Energy Applications. In Proceedings of the 2009 Twenty-Fourth Annual IEEE Applied Power Electronics Conference and Exposition, Washington, DC, USA, 15–19 February 2009; pp. 364–369. [Google Scholar]
- Marjani, J.; Imani, A.; Hekmati, A.; Afjei, E. A new dual output DC–DC converter based on SEPIC and Cuk converters. In Proceedings of the 2016 International Symposium on Power Electronics, Electrical Drives, Automation and Motion (SPEEDAM), Capri, Italy, 22–24 June 2016; pp. 946–950. [Google Scholar]
- Gopi, R.R.; Sreejith, S. Converter topologies in photovoltaic applications—A review. Renew. Sustain. Energy Rev. 2018, 94, 1–14. [Google Scholar] [CrossRef]
- Amir, A.; Amir, A.; Che, H.S.; Elkhateb, A.; Abd Rahim, N. Comparative analysis of high voltage gain DC–DC converter topologies for photovoltaic systems. Renew. Energy 2019, 136, 1147–1163. [Google Scholar] [CrossRef] [Green Version]
- Tewari, N.; Sreedevi, V. A novel single switch dc-dc converter with high voltage gain capability for solar PV based power generation systems. Sol. Energy 2018, 171, 466–477. [Google Scholar] [CrossRef]
- Revathi, B.S.; Prabhakar, M. Non isolated high gain DC–DC converter topologies for PV applications—A comprehensive review. Renew. Sustain. Energy Rev. 2016, 66, 920–933. [Google Scholar] [CrossRef]
- Liu, T.; Wong, T.T.Y.; Shen, Z.J. A Survey on Switching Oscillations in Power Converters. IEEE J. Emerg. Sel. Top. Power Electron. 2020, 8, 893–908. [Google Scholar] [CrossRef]
- Górecki, P.; Górecki, K. Analysis of the Usefulness Range of the Averaged Electrothermal Model of a Diode–Transistor Switch to Compute the Characteristics of the Boost Converter. Energies 2021, 14, 154. [Google Scholar] [CrossRef]
- Forouzesh, M.; Siwakoti, Y.P.; Gorji, S.A.; Blaabjerg, F.; Lehman, B. Step-Up DC–DC Converters: A Comprehensive Review of Voltage-Boosting Techniques, Topologies, and Applications. IEEE Trans. Power Electron. 2017, 32, 9143–9178. [Google Scholar] [CrossRef]
- Miao, S.; Wang, F.; Ma, X. A New Transformerless Buck-Boost Converter With Positive Output Voltage. IEEE Trans. Ind. Electron. 2016, 63, 2965–2975. [Google Scholar] [CrossRef]
- Sarikhani, A.; Allahverdinejad, B.; Hamzeh, M.; Afjei, E. A continuous input and output current quadratic buck-boost converter with positive output voltage for photovoltaic applications. Sol. Energy 2019, 188, 19–27. [Google Scholar] [CrossRef]
- Gholizadeh, H.; Salehi, M.; Rafiee, Z.; Afjei, E.; Hamzeh, M. A Transformer less Quadratic Buck-Boost Converter with Wide Range of Output Voltage and Low Switch Stresses. In Proceedings of the 2020 11th Power Electronics, Drive Systems, and Technologies Conference (PEDSTC), Tehran, Iran, 4–6 February 2020; pp. 1–6. [Google Scholar]
- Babazadeh, Y.; Babaei, E.; Sabahi, M. A New Non-Isolated Buck-Boost Converter with High Voltage Gain and Positive Output Voltage for Renewable Energy Applications. In Proceedings of the 2019 10th International Power Electronics, Drive Systems and Technologies Conference (PEDSTC), Shiraz, Iran, 12–14 February 2019; pp. 201–206. [Google Scholar]
- Gholizadeh, H.; Sarikhani, A.; Hamzeh, M. A Transformerless Quadratic Buck-Boost Converter Suitable for Renewable Applications. In Proceedings of the 2019 10th International Power Electronics, Drive Systems and Technologies Conference (PEDSTC), Shiraz, Iran, 12–14 February 2019; pp. 470–474. [Google Scholar]
- Totonchi, N.; Gholizadeh, H.; Afjei, E.; Hamzeh, M. A Novel Transformer less High Gain DC–DC Converter with Continuous Input Current and Suitable for Photo Voltaic Panels. In Proceedings of the 2020 11th Power Electronics, Drive Systems, and Technologies Conference (PEDSTC), Tehran, Iran, 4–6 February 2020; pp. 1–6. [Google Scholar]
- Gholizadeh, H.; Aboufazeli, S.; Rafiee, Z.; Afjei, E.; Hamzeh, M. A Non-Isolated High Gain DC–DC Converters with Positive Output Voltage and Reduced Current Stresses. In Proceedings of the 2020 11th Power Electronics, Drive Systems, and Technologies Conference (PEDSTC), Tehran, Iran, 4–6 February 2020; pp. 1–6. [Google Scholar]
- Garcia-Vite, P.M.; Soriano-Rangel, C.A.; Rosas-Caro, J.C.; Mancilla-David, F. A DC–DC converter with quadratic gain and input current ripple cancelation at a selectable duty cycle. Renew. Energy 2017, 101, 431–436. [Google Scholar] [CrossRef]









| Inductors Loss (W) | Switches Conduction Loss (W) | |
|---|---|---|
| proposed converters | ||
| [10] | ||
| [11] | ||
| [12] | ||
| [13] | ||
| [14] | ||
| [15] | ||
| [16] | ||
| [17] |
| Switching Loss of Switches (W) | Diodes Loss (W) | Duty Cycle | ||
|---|---|---|---|---|
| proposed converters | 0.5 | 97.2 | ||
| [10] | 0.63 | 97.1 | ||
| [11] | 0.63 | 96.5 | ||
| [12] | 0.63 | 96.1 | ||
| [13] | 0.63 | 96.3 | ||
| [14] | 0.63 | 96.4 | ||
| [15] | 0.57 | 96.6 | ||
| [16] | 0.57 | 97.7 | ||
| [17] | 0.57 | 95.6 |
| D | |||||
|---|---|---|---|---|---|
| proposed converter | 0.5 | ||||
| [12] | = 0.82 | 1 | = 0.82 | = 1.6 | 0.63 |
| [10] | = 0.82 | = 1.6 | = 0.82 | = 1.6 | 0.63 |
| [11] | = 2.56 | = 1.6 | = 0.82 | = 1.6 | 0.63 |
| [13] | = 0.82 | = 1.6 | = 0.82 | = 1.6 | 0.63 |
| [14] | = 0.82 | = 1.6 | = 0.82 | = 1.6 | 0.63 |
| [15] | = 0.75 | = 0.24 | = 0.75 | 1 | 0.57 |
| [16] | = 0.75 | = 1.75 | = 0.75 | = 1.75 | 0.57 |
| [17] | = 0.75 | 1 | = 0.75 | 1 | 0.57 |
| D | ||||||
|---|---|---|---|---|---|---|
| proposed converter | 0.5 | |||||
| [10] | 1 | = 0.59 | = 0.59 | = 0.33 | 0.63 | = 3 |
| [11] | 1 | = 0.59 | = 0.59 | = 0.33 | 0.63 | = 3 |
| [12] | 1 | = 0.41 | = 0.59 | = 0.33 | 0.63 | = 3 |
| [13] | 1 | = 0.59 | = 0.59 | = 0.33 | 0.63 | = 3 |
| [14] | 1 | = 0.59 | = 0.59 | = 0.33 | 0.63 | = 3 |
| [15] | = 1.43 | = 0.43 | = 0.75 | = 0.33 | 0.57 | = 3 |
| [16] | D = 0.57 | = 0.43 | 1-D = 0.43 | = 0.33 | 0.57 | = 3 |
| [17] | 1 | = 0.57 | = 0.75 | = 0.33 | 0.57 | = 3 |
| No. L | No. C | No. S | No. D | Total | Input Current | Output Current | Voltage Gain | |
|---|---|---|---|---|---|---|---|---|
| proposed | 3 | 3 | 2 | 2 | 10 | Continuous | Continuous | |
| [10] | 2 | 2 | 2 | 2 | 8 | Discontinuous | Discontinuous | |
| [11] | 3 | 3 | 2 | 2 | 10 | Continuous | Continuous | |
| [12] | 3 | 3 | 2 | 2 | 10 | Continuous | Discontinuous | |
| [13] | 2 | 2 | 2 | 2 | 8 | Discontinuous | Discontinuous | |
| [14] | 3 | 3 | 2 | 2 | 10 | Continuous | Continuous | |
| [15] | 3 | 3 | 2 | 2 | 10 | Continuous | Discontinuous | |
| [16] | 3 | 3 | 2 | 2 | 10 | Continuous | Discontinuous | |
| [17] | 2 | 2 | 2 | 2 | 8 | Continuous | Discontinuous |
Publisher’s Note: MDPI stays neutral with regard to jurisdictional claims in published maps and institutional affiliations. |
© 2021 by the authors. Licensee MDPI, Basel, Switzerland. This article is an open access article distributed under the terms and conditions of the Creative Commons Attribution (CC BY) license (https://creativecommons.org/licenses/by/4.0/).
Share and Cite
Gholizadeh, H.; Gorji, S.A.; Afjei, E.; Sera, D. Design and Implementation of a New Cuk-Based Step-Up DC–DC Converter. Energies 2021, 14, 6975. https://doi.org/10.3390/en14216975
Gholizadeh H, Gorji SA, Afjei E, Sera D. Design and Implementation of a New Cuk-Based Step-Up DC–DC Converter. Energies. 2021; 14(21):6975. https://doi.org/10.3390/en14216975
Chicago/Turabian StyleGholizadeh, Hossein, Saman A. Gorji, Ebrahim Afjei, and Dezso Sera. 2021. "Design and Implementation of a New Cuk-Based Step-Up DC–DC Converter" Energies 14, no. 21: 6975. https://doi.org/10.3390/en14216975
APA StyleGholizadeh, H., Gorji, S. A., Afjei, E., & Sera, D. (2021). Design and Implementation of a New Cuk-Based Step-Up DC–DC Converter. Energies, 14(21), 6975. https://doi.org/10.3390/en14216975

