Abstract
Under the background of high wind power permeability, the frequency regulation capability of high voltage direct current (HVDC) sending-end system tends to deteriorate. For this reason, this paper regards the wind farm (WF) and HVDC as a combined frequency regulation system, and a fuzzy-based coordinated control strategy is proposed for the cooperation of HVDC and WF to participate in frequency regulation. First of all, at a system level, in order to realize the dynamic cooperation of the WF and the HVDC to participate in frequency regulation, two fuzzy logic controllers (FLCs) are designed to determine the total power support of the combined system and the participation coefficient of the WF in the frequency regulation according to the frequency characteristics of the sending-end system and the operation state of the WF, respectively. Secondly, at the WF level, considering the rotating kinetic energy and capacity of the wind turbines (WTs), a power allocation strategy is proposed to maximize the utilization of the frequency regulation capacity of the grid-connected WTs in WF. Finally, based on the fast power regulation of HVDC, an active secondary frequency drop (SFD) suppression strategy is proposed to avoid the possible SFD caused by the rotor speed recovery of WTs. The simulation results show that the proposed strategy can make full use of the frequency regulation ability of the WF and HVDC, and can effectively improve the frequency characteristics of the HVDC sending-end system.
1. Introduction
In order to deal with the energy crisis and carbon emissions, renewable energy has been developed rapidly. As the most economical and mature renewable energy power generation technology, wind power has become a common choice for almost all countries committed to developing and utilizing renewable energy. The proportion of wind power in the power system has increased rapidly in the past decade [,]. However, large-scale wind energy resources are mainly located far away from the load center. For example, in China, wind energy resources are mainly concentrated in the northwest and North China, while the load is mainly concentrated in the central and eastern regions, which are hundreds of kilometers apart []. In the United States, the wind energy resources are mainly concentrated in the Midwest according to the report of US Department of Energy, which is still far away from the load center []. In order to facilitate wind energy transmission, the line commutation converter-based high voltage direct current (LCC-HVDC) has become the first choice for the long-distance transmission of large-scale onshore wind power because of its bulk power transmission capacity and low loss [,].
With large-scale wind farm integration, the frequency stability of the HVDC sending-end system is facing great challenges for the following reasons. Firstly, the randomness and intermittence of wind turbines (WTs) increase the uncertainty of the frequency regulation in the sending-end system. Secondly, the WF is mainly composed of variable speed wind turbines (VSWTs), which are connected to the grid through the power electronic converter interface. As the rotor speed of VFWTs is completely decoupled from the system frequency, they cannot respond the frequency change, thus weakening the frequency regulation ability of the power supply side []. Thirdly, when the LCC-HVDC operates in constant power mode, the rectifier station can be equivalent to a fixed load, which cannot sense the frequency deviation, and thus the load frequency regulation effect of the sending-end system declines []. On the other hand, both the WF and HVDC system have flexible power regulation capabilities, and they can provide fast frequency support for the power grid under appropriate control.
For the WF, there are two popular approaches to provide frequency support. The first is to add a supplementary virtual inertia control or frequency droop control to the control loop of WTs [,], which can enable WF to supply an emulated inertial response by releasing the stored rotational kinetic energy of the WTs’ rotor. The second one is based on overspeed de-loading or the variable pitch angle de-loading state of WF, and the reserved wind energy is used to provide frequency support. For the HVDC system, frequency droop control is a widely used method to enable HVDC so as to provide fast frequency support like a conventional generator [,].
Based on this, some papers have combined the frequency control methods of WF and HVDC systems in order to enable them to provide frequency support together. In [], a nonlinear mathematical prediction model based on situation awareness was established, which can dynamically adjust the frequency–power (f-P) droop coefficients of HVDC and WF for cooperative frequency regulation. However, the performance of the cooperative frequency regulation is affected by the accuracy of the prediction model. In [], the WF was integrated into HVDC and operated with reserve, where a frequency differential and a deviation droop link were added to the rectifier control loop of the HVDC system. When a frequency event occurs, HVDC changes the transmission power following the frequency differential and deviation variation, and the WF adjusts the pitch angle to extract wind power for frequency response. However, although the de-loading state can enable WF to have both an inertial response and primary frequency regulation ability, this method requires the WF to abandon the maximum power point tracking (MPPT) mode when system frequency is stable [], thus, the long-term de-loading state will greatly affect the profit of the WF.
WF utilizes kinetic energy to provide frequency support, while the working of MPPT model with the cooperation of HVDC was discussed in [,]. In [], the HVDC transmission power was determined by the frequency deviation through a PI controller, and WF supplemented a comprehensive inertia and frequency droop control. When the system frequency fluctuates, HVDC and WF provide a fast frequency response according to their respective frequency controllers. The effect of this method on enhancing the frequency regulation capability of the sending-end system was proven through small signal analysis in []. However, it is worth pointing out that the kinetic energy stored by WT is directly related to its operational status, and the randomness and fluctuation of the wind speed cannot ensure that WT has a stable and reliable inertia response. Moreover, when WF quits the frequency support process, a secondary frequency drop (SFD) may occur due to the output power drop []. For this reason, a method of exerting the transmission power of the HVDC system to compensate the power shortage when WF exits have been proposed in [], but its compensation power is still determined by the frequency change rate passively, and the performance needs to be further improved.
The control strategies proposed by the above-mentioned research have improved the frequency regulation ability of the HVDC transmission system with wind power to a certain extent. However, the frequency response of WF in the research is mostly based on frequency deviation or frequency differential droop control, and the fixed droop coefficient makes it impossible for WF to determine the participation degree in frequency regulation according to its operation status, lacking effective coordination with the HVDC. This may lead to the frequency regulation ability of wind with a high wind speed to not fully be utilized, while the WF in a low wind speed is excessively involved in frequency response. Moreover, the above-mentioned research only focused on the WF level, which does not consider how to reasonably allocate the frequency response power demand of WF to the WTs.
Motivated by the aforementioned limitations, this paper proposes a fuzzy-logic-based frequency coordinated control strategy for a WF and HVDC system to provide frequency support cooperatively. The objective of the frequency coordinated control strategy is to make full use of the frequency regulation potential of a wind farm, while avoiding its excessive participation and suppressing the potential secondary frequency drop caused by the rotor speed restoration. Besides, the frequency response power demand of wind farm can be reasonably allocated to grid-connected wind turbines. Compared with the existing research, the main contributions of this paper can be listed as follows:
- (1)
- A frequency coordinated control strategy of a WF and HVDC system for frequency response is designed based on the fuzzy logic controllers (FLCs), so that WF can dynamically cooperate with the HVDC system to participate in frequency regulation according to its operational status.
- (2)
- A method to reasonably allocate the frequency response power demand of WF to the WTs is designed. Therefore, the WTs can allocate frequency support power reference according to their rotating kinetic energy and capacity limit, which can not only make full use of the frequency regulation potential of high wind speed WTs, but also avoid the excessive participation of low wind speed WTs.
- (3)
- A method to actively suppress the SFD is proposed, which can exert the fast power regulation ability of HVDC to actively compensate for the power shortages caused by the WF output droop.
The rest of the paper is organized as follows. The models and frequency response characteristic of WF and HVDC are discussed in Section 2. Section 3 introduces the proposed frequency coordinated control strategy. Simulation results of different cases are shown in Section 4 so as to verify the effectiveness of the proposed control strategy, and the conclusions are drawn in Section 5.
2. System Model
The typical configuration of an HVDC asynchronous interconnected grid with WF integration is shown in Figure 1. The active power generated by the synchronous generators (SGs) and the WF is consumed by the local load partly, and the other part is collected into the rectifier and is transmitted to the receiving end grid through the DC lines. The receiving-end alternating current (AC) grid is an equivalent system in this paper.

Figure 1.
Configuration of HVDC asynchronous interconnected grid with WF.
When the sending-end system is operating stably, the active power of the system remains balanced, then
where PG and PLD denote the active power output on the power supply side and load side of the grid, respectively. PSG and PWF denote the active power output of SGs and the WF, respectively. PLoad and PDC denote the load power demand and HVDC transmission active power, respectively.
Taking a power unbalance event, such as a sudden load increase or generator trip, into account, ignoring the influence of the grid structure and only considering the system inertial center frequency, the frequency deviation (∆f) of the sending-end system can be expressed as follows []:
where Hsys denotes the equivalent inertia constant of sending-end system, and ΔPG and ΔPLD denote the active power change on the power supply side and load side of the grid, respectively. ΔPSG, ΔPWF, ΔPLoad, and ΔPDC denote the active power change of synchronous generators, the WF, load, and HVDC system, respectively.
At this time, the frequency regulation resources in the sending-end system will respond to the frequency deviation. Assuming that a f-P droop control loop is added to both the WF and the HVDC control system, the active power support provided by the generation side in the sending-end system can be expressed as follows:
where KSG and KWF denote the power frequency characteristic coefficient of a synchronous generator and the f-P droop coefficient of WF, respectively. fdb_SG and fdb_WF denote the action threshold of the synchronous generator and WF for participating in frequency regulation, respectively. λ1 = PWF/PG denotes the proportion of wind power output in the total generator output.
The total load active power change of the frequency response in the sending-end system can be expressed as follows:
where KLoad and KDC are the power frequency characteristic coefficient of the load and the f-P droop coefficient of the HVDC system, respectively. fdb_DC is the action threshold of the HVDC system for the participating frequency regulation. λ2 = PDC/PLD denotes the proportion of HVDC transmission power in the total load power.
Equations (3) and (4) show that the participation of WF and HVDC in frequency regulation can significantly enhance the frequency regulation capability of the sending-end system. However, at the same time, the frequency response output characteristic of the sending-end system will be affected by the WF and HVDC.
2.1. WF Model
Nowadays, the doubly-fed inductive generator (DFIG) has become one of the most popular types of WTs generator []. In this paper, DFIG is used to represent the WF in sending-end system. According to [], the single line diagram of the grid-connected DFIG is shown in Figure 2.

Figure 2.
The structure diagram of the grid-connected DFIG.
In order to utilize wind energy to the maximum extent, most of DFIG works in the MPPT mode currently, and the mechanical power output by the WT in MPPT model can be expressed as follows []:
where ρ is the air density, R is the radius of the WT blade, vw is the wind speed, Cp,max is the maximum wind energy utilization coefficient, and wr is the rotor speed.
During the normal operation stage, the rotor of the DFIG contains sufficient rotational kinetic energy, which can be expressed as follows []:
where JWT is the moment of inertia of DFIG’s rotor. However, there is no direct coupling relationship between DFIG’s rotor speed and system frequency because of the converter interfaces, thus the kinetic energy stored by DFIG’s rotor is completely “hidden”, which cannot respond to the change of system frequency. In order to utilize the kinetic energy of the DFIG’s rotor for providing frequency support, supplementary frequency control, such as frequency droop control [] and inertia control [], are added into the DFIG control system, as shown in Figure 3.

Figure 3.
Frequency droop and inertia control for DFIG.
Under the frequency droop and inertia control, the active power reference of DFIG can be expressed as follows:
When a frequency disturbance event occurs, DFIG can actively release the kinetic energy to provide frequency support, according to Equation (7). During the frequency response stage, the power output of DFIG can be divided into the inertia response stage and rotor speed restoration stage, as shown in Figure 4.

Figure 4.
Active power and rotor speed change of DFIG during the frequency response stage.
According to Figure 4, DFIG’s active power output increases and the rotor speed decreases during the inertia response stage. When DFIG quits its inertial response, it immediately enters the rotor speed restoration stage. During this period, DFIG needs to absorb electromagnetic power from the grid to restore the rotor speed to the pre-disturbance value or to a new optimal operating state. Therefore, two pressing issues may be caused by DFIG during the frequency response process. Firstly, during the inertial response process, if the kinetic energy released by DFIG is too small, the frequency deviation cannot be effectively suppressed. If the kinetic energy is released too much, the rotor speed will be too low, which is not conducive to the safe and stable operation of DFIG. Thus, it is necessary to exert the frequency regulation capability and ensure the safe operation of DFIG at the same time. Secondly, during the rotor speed restoration process, the electromagnetic power absorbed by DFIG to restore its rotor speed will inevitably lead to the SFD in the system frequency recovery. Especially in a high wind power permeability grid, the nadir of SFD may be lower than the initial frequency nadir []. Thus, the system needs to find other resources in a short time to alleviate the SFD caused by the DFIG rotor speed restoration.
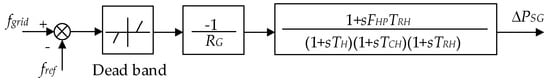
2.2. LCC-HVDC Model
The HVDC converter station takes the transmission power as the direct control target, and its control characteristics do not change with the voltage and frequency fluctuations of the AC grid, so as to realize the asynchronous interconnection of the AC systems on both sides. When the DC system is required to respond to the frequency deviation, the most commonly used method is to add an f-P droop control loop in the rectifier side control loop, as shown in Figure 5.

Figure 5.
Frequency–power droop control for the HVDC rectifier convertor.
At this time, the active power reference of HVDC can be expressed as follows:
where PDC_ref donates the scheduled transmission power of the HVDC. When a frequency event occurs in the sending-end system, the rectifier station can rapidly change its transmission power according to Equation (8), and the inverter station makes corresponding power changes in the meantime, which realize the spinning reserve sharing and frequency support between asynchronous interconnected power grids.
With the supplementary f-P control loop, the HVDC rectifier convertor can be regarded as a high-quality frequency regulation resource in a sending-end system. If HVDC can provide frequency support with WFs coordinately, it can not only improve the frequency performance of the sending-end system, but it can also alleviate the SFD using its accurate and rapid power regulation ability.
3. HVDC-WF Coordinated Frequency Control Strategy
In this paper, the WF and HVDC systems in a sending-end system are regarded as a combined frequency regulation system, the HVDC-WF frequency regulation system (HWFRS), and the HVDC-WF coordinated frequency control strategy for HWFRS to provide frequency support is proposed. The aim of the coordinated frequency control strategy is to fully release the frequency response potential of the WF, considering the operating status, while suppressing the SFD caused by rotor speed restoration.
The coordinated frequency control strategy includes three sub-strategies, as depicted in Figure 6. (1) The HWFRS power allocation strategy is utilized to allocate the frequency response power demand between the HVDC and WF through the FLCs, while considering the frequency deviation Δf and frequency change rate df/dt of the sending-end system, as well as the permeability αw and the average wind speed Vw of the WF. After that, (2) the WT power allocation strategy will allocate the frequency response power demand of the WF to each grid-connected WT reasonably. Then, HVDC adopts (3) an SFD active suppression strategy to suppress the SFD during the rotor speed restoration stage.

Figure 6.
HVDC-WF frequency coordinated control strategy.
3.1. HWFRS Power Allocation Strategy
The frequency response power allocation of HWFRS is the most important step to realize the coordinated participation of WF and HVDC in frequency regulation. However, the operation feature of HWFRS differs at different operation statuses, and the frequency regulation ability is also different. Thus, the determination of the power output of HWFRS is a complex process, which is difficult to express accurately mathematically. The fuzzy logic control does not depend on the accurate mathematical model of the controlled object [], so it is very suitable for the power allocation of HWFRS.
In this paper, two fuzzy logic controllers are employed to allocate the frequency response power demand of HWFRS. The first fuzzy logic controller (FLC-1) is designed for determining the total frequency response power demand of HWFRS in real time according to the current frequency characteristics of the sending-end system. The second fuzzy logic controller (FLC-2) is designed for determining the participation coefficient of the WF for frequency response, which is the output power proportion of WF in the total output power of the HWFRS. The frequency response output reference of WF and HVDC in HWFRS can be obtained through the cooperation of the two fuzzy logic controllers.
The controller structure of FLC-1 is shown in Figure 7a. The system frequency deviation Δf and the frequency change rate df/dt are selected as input variables of FLC-1, which have ranges of [−0.01, 0.01] p.u./s and [−0.012, 0.012] p.u./s, respectively []. The total frequency response power demand of HWFRS ΔPHW_total is selected as the output variable of FLC-1.

Figure 7.
The structure diagram and membership of FLC-1. (a) The structure diagram of FLC-1, (b) the membership function of ΔPHW_total, (c) the membership function of Δf, and (d) the membership function of df/dt.
The membership function used in FLC-1 is shown in Figure 7b–d. The seven fuzzy domains, which are designed for describing the state of Δf and ΔPHW_total, are set as follows: L (very large), ML (middle large), L (large), M (middle), S (small), MS (middle small), and VS (very small). The other seven fuzzy domains, which is designed for describing the state of df/dt, are set as follows: NL (negative large), NM (negative middle), NS (negative small), Z (zero), PS (positive small), PM (positive middle), and PL (positive large).
The fuzzy logic rules for FLC-1 are shown in Table 1, which reflects the following basic principles: if Δf and the absolute value of df/dt is small, which means the system frequency can remain relatively stable, the output ΔPHW_total should be as small as possible. If Δf is large and df/dt is negative, the output ΔPHW_total should be as large as possible to suppress the system frequency deviation. If Δf is large and df/dt is positive, the system frequency has reached the nadir and is in the recovery process, thus, the output ΔPHW_total should be as large as possible to help the frequency recover.

Table 1.
The rules of FLC-1.
The controller structure of FLC-2 is shown in Figure 8a. The wind power permeability αw and the average wind speed of the WF Vw are selected as the input variables of the controller, which are in the range of [0.02, 1] and [7, 12] m/s, respectively. The participation coefficient of WF ∂w is selected as the output variable of the controller, which has a range of [0, 1]. The membership functions used in FLC-2 are shown in Figure 8b–d, and the means of the fuzzy domains can be referred to in FLC-1.

Figure 8.
The structure diagram and membership of FLC-2. (a) The structure diagram of FLC-2, (b) the membership function of ∂w, (c) the membership function of αw, and (d) the membership function of Vw.
The fuzzy logic rules for FLC-2 are shown in Table 2, which reflects the following basic principles: if αw is small and Vw is very small, the rotation kinetic energy stored in WT is not sufficient for frequency support, thus, ∂w should be as small as possible. If αw is large and Vw is very large, the WF output is near the rated value and the power increase will be limited by WT’s capacity, thus, ∂w is small. If the αw is between large to very large and the Vw is between middle and large, the rotation kinetic energy and power regulating capacity of WF are sufficient for frequency support, thus, ∂w should be large or very large.

Table 2.
The rules of FLC-2.
Through the cooperation of FLC-1 and FLC-2, the total frequency response power demand of HWFRS ΔPHW_total and the participation coefficient of the WF ∂w can be obtained. Furthermore, the frequency response power demand allocated to the WF can be calculated as follows:
then, the frequency response power demand for HVDC can be calculated as follows:
According to (9) and (10), the total output power demand of HWFRS can dynamically allocate to WF and HVDC. Through the power allocation strategy, the WF can dynamically provide frequency support according to its current operating state, which can not only make full use of its frequency regulation potential, but also avoid excessive participation. HVDC can cooperate flexibly with the WF during the whole process of frequency response, to ensure the frequency regulation performance of HWFRS.
3.2. WT Power Allocation Strategy
When WF gets orders for the frequency response, it needs to allocate the power demand to the WTs. Due to the different operation status of the WTs in WF, the uniform distribution method is obviously unreasonable. According to the above analysis, it can be seen that the frequency regulation ability of the WT is affected by the actually useful rotation kinetic energy and the adjustable power capacity. Therefore, the kinetic energy utilization μKE and capacity utilization μP-WT of WT are defined as follows:
where EKt, EK0, and EKmin are the rotation kinetic energy of the WT under the condition of current rotor speed wr, rated rotor speed wr0, and rotor speed lower limit wr min, respectively. PWT_t and PWT_min are the output power of WT under current rotor speed and rotor speed lower limit, respectively, and PWT_ 0 is the rated power of WT.
According to (11) and (12), if the rotation kinetic energy EKt is larger, the kinetic energy utilization μKE is larger; if the active power output PWT_t is larger, the capacity utilization μP-WT is smaller. Therefore, in order to comprehensively evaluate the frequency regulation capability of WT, the frequency regulation capability coefficient ηWT of WT is defined as follows:
Taking a 1.5 MW DFIG as an example [], when DFIG works in the MPPT model, the rotor speed satisfies wr (0.7, 1.2) p.u., and the active power output satisfies PWT_t (0.14, 0.73) p.u. Then, the process of the frequency regulation capability coefficient ηWT changing with f rotor speed wr under MPPT mode can be drawn as shown in Figure 9.

Figure 9.
Curve of frequency regulation capability coefficient ηWT.
Figure 9 shows that with the increase of rotor speed wr, the frequency regulation capability coefficient ηWT increases monotonously at first, and then decreases monotonously. When wr is 1.09 p.u., ηWT achieves a maximum value of 0.5340. Therefore, the power demand allocation of WT is
where ΔPf_WT,i is the frequency response power reference of the ith WT, and N is the total number of grid-connected WTs in WF. According to (14), the WTs under a medium or high wind speed are able to allocate more power to make their frequency regulation ability be fully released, while the WTs under a low wind speed are allocated less power to avoid excessive participation, thus realizing the reasonable frequency response power allocation of WTs.
3.3. SFD Active Suppression Strategy
In HWFRS, the power required to restore the rotor speed of the WF is less than the adjustable power capacity of the HVDC. Therefore, the fast power regulation ability of HVDC could be utilized to provide additional compensation power during the rotor speed restoration stage. Based on this, this paper proposes an SFD active suppression control for HVDC, as shown in Figure 10, where ΔPinit and α are the preset initial power value and power decay coefficient.

Figure 10.
SFD active suppression control for HVDC.
When WF quits the inertia response stage and enters the rotor speed restoration stage, the SFD active suppression control should be activated. Then, the HVDC will be superimposed with a supplementary power reference.
If the supplementary power reference ΔPrec_HVDC is close to the power change of WF during the rotor speed restoration stage, the SFD can be well suppressed. When the WF quits its inertia response, its power reference will be switched to PMPPT, thus, the preset initial power value ΔPinit can be calculated as follows:
where PWT_0,i is the power reference of WT before the inertial response stage.
When the preset initial power value ΔPinit is obtained, the power decay coefficient α can be calculated as follows:
where ΔPfin is the final value of power decay. According to the characteristics of function e−αt [], the final value must be greater than 0, so ΔPfin = 1 × 10−6 is chosen in this paper.
3.4. Realization of HVDC-WF Coordinated Frequency Control Strategy
Figure 11 shows control block-diagram of HWFRS, and the process of the control consists of the following four steps:

Figure 11.
The control block-diagram of HWFRS.
- During normal operation, trigger 1 is connected to port A, and trigger 2 is connected to port A’.
- When the system frequency deviation exceeds the minimum allowable value, the coordinated frequency control of HWFRS is activated and trigger 1 turns to port B. Then, the HWFRS enters the power allocation stage. During this period, the frequency response power demand of WF and HVDC can be determined by the two FLCs, and the power demand of WF will be allocated to all grid-connected WTs according to Equation (14). After this, HWFRS enters the inertial response stage, and HVDC and WF provide frequency support based on their power output demand, respectively.
- When the inertial response stage is completed, trigger 1 turns back to port A, the HWFRS enters rotor speed restoration stage. At this stage, trigger 2 is switched from A’ port to B’ port to activate the SFD active suppression control. Then, HVDC adjusts the transmission power according to the supplementary power reference ΔPrec_WT to alleviate the impact of SFD.
- When the system frequency is restored to the allowable range, trigger 2 switches from port B’ to port A’ and HWFRS quits the coordinated frequency control.
4. Case Study
4.1. Introduction of the Simulation System
In order to verify the effectiveness of the proposed HVDC-WF coordinated frequency control strategy, a simulation test system is built in the MATLAB/Simulink platform, as shown in Figure 1. Traditional generators in the sending-end system consist of 9 SGs with a rated power of 150 MW, and all the governors are thermal generators and are equipped with a speed governor, as shown in Figure 12. The WF contains 150 DFIGs with a rated power of 5 MW. The load demand is adjusted flexibly according to the active power output of the generators and WF, to ensure that the system frequency is maintained at the rated value at the initial moment. The receiving end AC grid has a capacity of 2000 MW, and the scheduled power of the HVDC system is 1000 MW. The detailed parameters of the test system are shown in Table 3.

Figure 12.
Structure of the steam turbine governor.

Table 3.
Parameters of the test system. (a) Parameters of the SG, (b) parameters of the HVDC system, and (c) parameters of the DFIG.
In this paper, the wind power permeability αw is changed by replacing the installed capacity of SGs and WF in equal proportion, under the premise of keeping the total capacity of the sending-end system unchanged. The WF is divided into three subareas: R1, R2, and R3, and the WTs of each subarea are supposed to operate in the same state. Because the frequency rise event can be resolved easily by reducing the output of WF, this paper only focuses on the more serious condition, the frequency droop event, and the frequency droop event is uniformly set as a sudden load increased by 200 MW at 5 s.
4.2. Simulation Results under Different Operation Conditions
In this section, the proposed HVDC-WF coordinated frequency control strategy (WF and HVDC), the inertia and frequency droop loop-based comprehensive control of only WF [,] (WF only), and no supplementary frequency control of both HVDC and WF (no control) are simulated under different cases. In these three control strategies, SGs participate in the primary frequency regulation through the governor control, and the detailed frequency control methods of HVDC and WF in each control strategy are shown in Table 4. The effectiveness and adaptability of HVDC-WF coordinated frequency control strategy are verified by comparing the simulation results of these three different control strategies.

Table 4.
Frequency control methods of HVDC and WF in different control strategies.
4.2.1. Case 1: High Wind Power Permeability and High Wind Speed Condition
Under the high wind power permeability and high wind speed condition, the wind power permeability αw is set to 50%, and wind speeds of subareas R1, R2, and R3 are set as 13 m/s, 12 m/s, and 11 m/s, respectively. Under this condition, there are 5 SGs and 150 WTs connected to the sending-end system, and the installed capacities of SGs and WF are both 750 MW. Each of the subareas of R1, R2, and R3 have 50 WTs. The simulation results are shown in Figure 13 and Figure 14, and the frequency data comparison can be seen in Table 5.

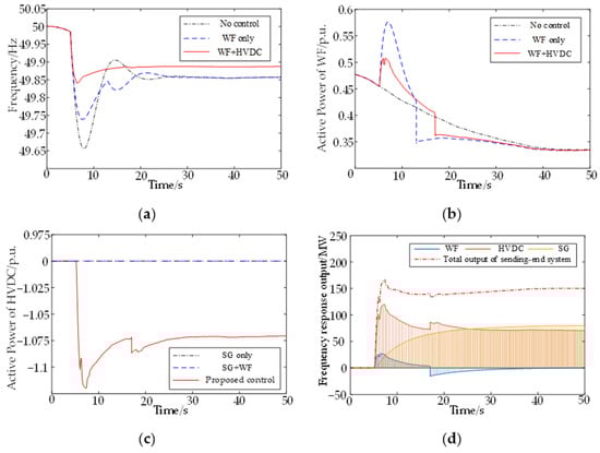
Figure 13.
Simulation results under high wind power permeability and high wind speed condition. (a) Sending-end system frequency, (b) active power of WF, and (c) active power of HVDC, (d) frequency response output of sending-end system.

Figure 14.
Active power and rotor speed of WTs in each subarea. (a) Active power of WTs in R1, (b) rotor speed of WTs in R1, (c) active power of WTs in R2, (d) rotor speed of WTs in R2, (e) active power of WTs in R3, and (f) rotor speed of WTs in R3.

Table 5.
Simulation results under high wind power permeability and high wind speed conditions.
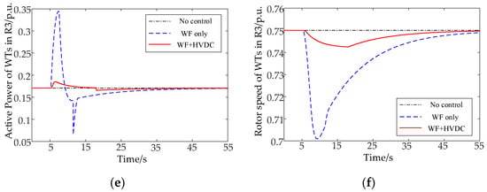
From Figure 13a, it can be seen that sending-end system has the lowest frequency nadir when the WF does not have any additional control. When the WF adopts the comprehensive control, it can provide fast power support since the rotational kinetic energy stored by the WTs is sufficient in a high wind speed. Thus, the system frequency nadir is increased to 49.77 Hz, which is higher than no control. However, when the WF quits the inertia response stage, the output power of the WF drops sharply from 535 MW to 420 MW, as shown in Figure 13b, which leads to a serious SFD, and the system frequency drops again from 49.83 Hz to 49.71 Hz.
Under the proposed HVDC-WF coordinated frequency control strategy, HWFRS responds to the frequency deviation through the coordination of fuzzy logic controllers. The WF in HWFRS is allocated more of a frequency response power demand because of the high wind power permeability and high wind speed. Therefore, the WF maximum output change is 140 MW, which is higher than HVDC during the inertia response stage, and is also higher than that under the SG and WF strategy, as shown in Figure 13b,c, and the frequency regulation capability of WF is fully released. Thus, the frequency nadir of the proposed control strategy is only 49.83 Hz, which is higher than the other two control strategies. As shown in Figure 13d, when WF exits the inertia response stage at 25.1 s, HVDC adjusts the transmission power rapidly through the active SFD suppression control to make up for the power shortage caused by the WF output drop, so there is no significant fluctuation in the total frequency response output of the sending-end system, thus effectively suppressing the SFD.
Figure 14 shows the output power and rotor speed changes of WTs in each subarea of the WF. Because of the high wind speed, the initial rotor speed of WTs in R1 and R2 are both 1.2 p.u. However, due to the larger wind speed in R1, the WT output in this area is closer to the upper limit. Under the WF-only strategy, the output of WTs in subarea R1 is limited by the capacity, as shown in Figure 14a, but the kinetic energy of the WTs in subareas R2 and R3 cannot fully utilized. Under the proposed control strategy, the frequency response power allocated to WTs is determined by the frequency regulation capability coefficient ηWT, which can coordinate the WTs in each subarea to provide frequency support according to their operating status. Thus, the WT output limitation in subarea R1 is avoided, and the kinetic energy stored by the WTs in subareas R2 and R3 is fully released, as shown in Figure 14a,c,e.
The simulation result validates that under the proposed HVDC-WF coordinated frequency control strategy, the potential of WF and HVDC for frequency regulation can be fully utilized, thus suppressing the frequency deviation rapidly. Benefiting from the power allocation strategy, the output of WTs in a high wind speed is not exceeded the upper limitation. By applying the proposed control strategy, the SFD caused by the WF output drop can be alleviated effectively through the coordination of WF and HVDC.
4.2.2. Case 2: Low Wind Power Permeability and Low Wind Speed Condition
Under low wind power permeability and low wind speed condition, the wind power permeability αw is set to 10%, and wind speeds of subarea R1, R2, and R3 are set as 9.5 m/s, 8.5 m/s, and 7.5 m/s, respectively. Under this condition, there are 9 SGs and 30 WTs connected to sending-end system, and the installed capacity of SGs and WF are 1350 MW and 150 MW, respectively. Each subarea of R1, R2, and R3 has 10 WTs. The simulation results are shown in Figure 15 and Figure 16, and frequency data comparison can be seen in Table 6.

Figure 15.
Simulation results under low wind power permeability and low wind speed condition. (a) Sending-end system frequency, (b) active power of WF, and (c) active power of HVDC, (d) frequency response output of sending-end system.


Figure 16.
Active power and rotor speed of WTs in each subarea. (a) Active power of WTs in R1, (b) rotor speed of WTs in R1, (c) active power of WTs in R2, (d) rotor speed of WTs in R2, (e) active power of WTs in R3, and (f) rotor speed of WTs in R3.

Table 6.
Simulation results under low wind power permeability and low wind speed condition.
It can be seen from Figure 15a that the frequency nadir under HVDC-WF coordinated frequency control strategy is still higher than the other control strategies, which is similar to the simulation result in Case 1. However, the frequency nadir in no control increased from 49.59 Hz in Case 1 to 49.69 Hz, due to the low wind power permeability. Moreover, because of the low wind speed, the WF output variation during the inertia response stage is less than that in Case 1, so no obvious SFD occurs.
Under the HVDC-WF coordinated frequency control strategy, the participation coefficient of WF is small, thus, HVDC needs to undertake more frequency response power demand, as shown in Figure 15d. The maximum output change of WF is only 7.5 MW, and it is less than that under the SG and WF strategy, as shown in Figure 15b, which avoids excessive participation of the WF for frequency response.
Figure 16 shows the output power and rotor speed changes of WTs in each subarea of WF. The initial rotor speed of WTs in all subareas is relatively low, because of the lower wind speed. In particular, the initial rotor speed of WTs in subarea R3 is only 0.75 p.u., which is close to the lower limitation value of 0.71 p.u. Under the WF-only strategy, the rotor speed protection is activated due to the excessive participation of WTs in subarea R3, which leads to a sharp drop of the output power, as shown in Figure 16e. Under the proposed control strategy, due to the lower frequency response power demand for WF, the output of WTs in all three subareas is less than that under the WF-only strategy, which effectively avoids the excessive participation of low-speed WTs to provide frequency support. In particular, the power demand allocated to the WT in subarea R3 is less than others due to the small frequency regulation capability coefficient. Therefore, its rotor speed only has to reduce to 0.743 p.u. to meet the output requirement, as shown in Figure 16f, thus avoiding the rotor speed protection action.
This case proves that, under the conditions of low wind speed and low wind power permeability, the proposed control strategy HVDC could undertake the most of frequency response power demand, which can reduce the dependence on WF for a frequency response, while fully ensuring the stable operation of low-speed WTs.
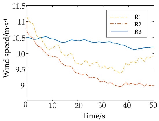
4.2.3. Case 3: Middle Wind Power Permeability and Variable Wind Speed Condition
To verify the adaptability and effectiveness of the proposed strategy in a varying wind speed conditions, the wind power permeability αw is set to 20%, and the wind speeds of subareas R1, R2, and R3 are shown in Figure 17. Under this condition, there are 8 SGs and 60 WTs connected to the sending-end system, and the installed capacity of SGs and WF are 1200 MW and 300 MW, respectively. Each of the subareas of R1, R2, and R3 have 20 WTs. The simulation results are shown in Figure 18 and Figure 19, and the frequency data comparison can be seen in Table 7.

Figure 17.
Wind speed curves of variable wind speeds in different subareas of WF.

Figure 18.
Simulation results under middle wind power permeability and variable wind speed condition. (a) Sending-end system frequency, (b) active power of WF, and (c) active power of HVDC, (d) frequency response output of sending-end system.

Figure 19.
Active power and rotor speed of WTs in each subarea. (a) Active power of WTs in R1, (b) rotor speed of WTs in R1, (c) active power of WTs in R2, (d) rotor speed of WTs in R2, (e) active power of WTs in R3, and (f) rotor speed of WTs in R3.

Table 7.
Simulation results under middle wind power permeability and variable wind speed condition.
Since the output of the WF varies with the wind speed, the system frequency fluctuates at the beginning of the simulation, and the frequency decreases rapidly at 5 s because a load disturbance occurs. Under the no control strategy, the system frequency reaches a nadir of 49.66 Hz after 7.92 s, as shown in Figure 18a. The WF can still provide frequency support with the WF-only strategy and the proposed control strategy in a varying wind speeds, but its total power output trends to decrease. Under the WF-only strategy, because the WF output decreases during the inertial response stage and drops sharply at the end, the system frequency drops again from 49.85 Hz to 49.82 Hz. Under the proposed control strategy, the output of HVDC can cooperate with WF. As shown in Figure 18d, when the WF output decreases during 6.5 s to 17 s, HVDC varies the transmission power slowly to maintain frequency stability. When WF quits the inertial response stage at 17 s, HVDC can start the SFD active restrain control smoothly to make up for the power shortage.
From Figure 19, it can be seen that the WTs in all three subareas can provide frequency support after the load disturbance occurs. Under the proposed control strategy, the output and rotor speed change of WTs in subareas R1 to R3 are relatively close, because of the similar initial operation status of WTs in each subarea. Because of the HVDC is allocated more frequency response power demand, the output of WTs is less than that under the WF-only strategy.
4.3. Simulation Results under Different HVDC-WF Control Strategies
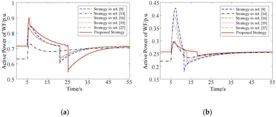
In this section, in order to verify the superiority of the proposed control strategy, several control strategies shown in Table 8 are chosen for comparison. The strategy in reference [] only commands the WF to participate in frequency regulation, which is used as a reference. In the strategy of [], the HVDC system adopts the frequency derivative droop control, and the wind farm operates in 10% de-loading mode to use the reserved wind energy for frequency support. The strategy in [] is a frequency-droop-based control strategy, which is widely applied in HVDC-WF systems for frequency response. The strategy in reference [] contains a frequency-droop-based back-up frequency response control and a frequency-detection based power compensation control. The strategy in reference [] applies an adaptive frequency regulation control in the HVDC-WF system for frequency support, which is more advanced than the abovementioned strategies. The simulation is based on the operating conditions of Case 1 and Case 2, and the results are shown in Figure 20, Figure 21 and Figure 22 and Table 9 and Table 10.

Table 8.
Control strategies of a HVDC-WF system for frequency response.

Figure 20.
Sending-end system frequency. (a) Sending-end system frequency based on the operating conditions of Case 1 and (b) sending-end system frequency based on the operating conditions of Case 2.

Figure 21.
Active power of WF. (a) Active power of WF based on the operating conditions of Case 1 and (b) active power of WF based on the operating conditions of Case 2.

Figure 22.
Active power of HVDC. (a) Active power of HVDC based on the operating conditions of Case 1 and (b) active power of HVDC based on the operating conditions of Case 2.

Table 9.
Simulation results of different control strategies based on the operating conditions of Case 1 and Case 2.

Table 10.
Frequency response output of different control strategies based on the operating conditions of Case 1 and Case 2.
As shown in Figure 20a,b, all the control strategies that enable HVDC and WF to participate in frequency regulation together have a better performance in lifting the frequency nadir than that of only WF, which participates in both operation conditions. The proposed strategy and the strategy in reference [] both have the highest initial frequency nadir of 49.83 Hz under the operation condition of Case 1. In the strategy of reference [], the frequency response capacity of wind farm is limited by its de-loading state, and the wind farm cannot fully release its potential for frequency response. Thus, the strategy in reference [] has a lower initial frequency nadir compared with the proposed strategy. no matter if it is in a high or low wind speed condition. Furthermore, except the strategy of reference [], different degrees of SFD occur in the rest of the strategies when WF quits the inertial response stage under the operation condition of Case 1. Especially for the strategies in references [,], the nadirs of SFD are 49.78 Hz and 49.79 Hz, respectively, which are lower than their initial frequency nadir of 49.81 Hz and -49.83 Hz. Moreover, although the strategy in reference [] has a higher nadir of SFD, it is still lower compared with the proposed strategy. Under the operation condition of Case 2, only the strategy of reference [] had a slight SFD, but the strategy in reference [] had a larger frequency oscillation compared with the other five control strategies.
While the problem of secondary frequency drop can be avoided in the strategy of reference [], the wind farm has to abandon the MPPT mode when the system frequency is stable. As shown in Figure 21a,b, before the disturbance, the initial power of the wind farm in reference [] is lower than that of the other strategies, and the long-term de-loading state will greatly affect the profits of the wind farm operator. On the contrary, the wind farm is able to provide frequency support while working in the MPPT mode. In the strategies of references [,], the power output of the WF and HVDC for frequency response is determined by the fixed f-P droop coefficient, thus they cannot coordinate to participate in frequency regulation according to their operating status. The adaptive frequency control strategy in reference [] uses adaptive control coefficients to make the WF and HVDC system determine the frequency response output according to their own state. Thus, compared with the strategies in references [,], the output of WF under strategy of reference [] is larger at a high wind speed and lower at a low wind speed, as shown in Figure 21a,b. However, the changes in the adaptive frequency control coefficients of the WF and HVDC system are decoupled from each other, thus, the WF still needs to bear a larger output at a low wind speed, but fails to fully release the frequency regulation capability at a high wind speed. On the contrary, in the proposed strategy, the frequency power output of WF and HVDC is highly coupled, and can dynamically adjust their output power with a different operation state of wind power, as shown in Figure 21a,b. As a consequence, WF can fully release its frequency regulation ability when operating at a high wind speed, and can avoid excessive participation when operating at low wind speed.
Besides, it can be seen from Table 10, in the proposed strategy, the maximum output changes of wind farm in conditions of Case 1 and Case 2 are 0.183 p.u. and 0.037 p.u., respectively. The different output changes show the proposed control can dynamically adjust the frequency participation degree of wind farm according to its own operating status. In addition, no matter in the conditions of Case 1 or Case 2, the time for wind farm output change to reaches the maximum value in the proposed strategy is shorter than other strategies. The shorter time is beneficial to enable the system frequency deviation to be suppressed earlier, which reflects the superiority of our proposed fuzzy-based controller in control performance. Furthermore, the duration of the wind farm frequency response in our proposed strategy is longer than that in the strategies that also use the kinetic energy to provide frequency support. The longer frequency response duration also validates the superior performance of the proposed control.
As shown in Figure 22a,b, the frequency response output change of HVDC is similar whenever the wind farm is operating at a low or high wind speed in the strategies of references [,], which reflects that the WF and HVDC are not well coordinated in frequency regulation. The HVDC transmission power in the strategies of reference [] and the proposed strategy have a sudden change at the end of inertial response stage, which indicates that the HVDC is able to decrease transmission power to compensate for part of the power required for the WF rotor speed recovery. In the strategy of reference [], the power change of HVDC at 21 s is determined by detecting the frequency change rate, which is more sensitive than the method of detecting frequency deviation in the strategies of references [,]. Therefore, the nadir of SFD in strategy of references [] is higher than that in the strategies of references [,]. Although all three strategies in reference [,,] can utilize the HVDC transmission power to alleviate SFD, they still use the passive ways to change DC power following the frequency change rate or frequency deviation, and their suppression effect of SFD is closely related to the f-P droop coefficient. However, in the proposed strategy, the compensation power of HVDC is determined in advance according to Equation (16), and can be changed actively when the WF exits the inertial response stage. Therefore, the nadir of SFD in the proposed strategy is higher than that in the other three strategies of references [,,].
Based on the above analysis, the proposed control strategy in this paper has better performance in frequency regulation.
5. Conclusions
In this paper, a fuzzy logic-based coordinated control strategy is proposed for enhancing the frequency response capability of HVDC sending-end system with WF integration. Through the simulation analysis under different cases, the conclusions can be drawn as follows:
- (1)
- At the system level, based on the proposed control strategy, the WF can dynamically cooperate with HVDC to provide frequency support according to its own operation status. When the WF operates in a high wind speed, it undertakes the main frequency regulation power demand to fully release its frequency regulation potential; when the WF operates in a low wind speed, HVDC will undertake the most of frequency regulation demand to avoid excessive participation of WF.
- (2)
- At the WF level, the WTs in the WF can be allocated additional power references corresponding to their frequency regulation capability through the sub strategy of power allocation, thus all grid-connected WTs can participate in frequency response reasonably.
- (3)
- Under the proposed SFD active suppression control, the SFD caused by the WT rotor speed restoration can be effectively alleviated under different cases, and the frequency stability of the HVDC sending end system is significantly enhanced.
- (4)
- Compared with the f-P droop control, the frequency deviation of the HVDC sending-end system is smaller and the frequency regulation performance has been significantly improved under the proposed control strategy.
With the widespread application of large-scale energy storage, the form of frequency regulation service in the HVDC sending-end system will be more diverse in the future. How to realize the comprehensive optimization of frequency regulation, while considering the cost of various frequency regulation ancillary services, is our next work.
Author Contributions
Conceptualization, Y.W. and J.Z.; methodology, Y.W., J.Z. and Q.Z.; software, J.Z. and Z.Z.; validation, Z.Z. and Q.Z.; formal analysis, Z.Z. and Q.Z.; data curation, Q.Z.; writing—original draft preparation, J.Z. and Z.Z.; writing—review and editing, Y.W., J.Z. and Z.Z.; project administration, G.Y. and A.Y.; funding acquisition, G.Y. and A.Y. All authors have read and agreed to the published version of the manuscript.
Funding
This research was funded by the Science and Technology Project of State Grid Corporation Head-quarters “Full-band Oscillation Analysis, Positioning and Control System Research of AC/DC Hybrid Power Electronic System” (5100-202055459A-0-0-00).
Conflicts of Interest
The authors declare no conflict of interest.
References
- Jallad, J.; Mekhilef, S.; Mokhlis, H. Frequency regulation strategies in grid integrated offshore wind turbines via VSC-HVDC technology: A Review. Energies 2017, 10, 1244. [Google Scholar] [CrossRef] [Green Version]
- Erika, P.; Ole, B.; Nasser, G.A.; Michael, K. Challenges and opportunities for a European HVDC grid. Renew. Sustain. Energy Rev. 2017, 70, 427–456. [Google Scholar]
- Tan, Z.; Chen, K.; Ju, L.; Liu, P.; Zhang, C. Issues and solutions of China’s generation resource utilization based on sustainable development. J. Mod. Power Syst. Clean Energy 2016, 4, 147–160. [Google Scholar] [CrossRef] [Green Version]
- U.S. Department of Energy. 20% Wind Energy by 2030: Increasing Wind Energy’s Contribution to U.S. Electricity Supply; Tech. Rep; DOE/GO-102008-2567; U.S. Department of Energy: Washington, DC, USA, 2008. [Google Scholar]
- Harrison, C.; Abdelaty, E.; Mohamed, E.; Ken, E.; Andrew, I.; Dennis, D. Softening the blow of disturbances. IEEE Power Energy Mag. 2008, 6, 30–41. [Google Scholar]
- Jin, X.; Nian, H. Overvoltage suppression strategy for sending AC grid with high penetration of wind power in the LCC-HVdc system under commutation failure. IEEE Trans. Power Electron. 2021, 36, 10265–10277. [Google Scholar] [CrossRef]
- Li, C.; Zhan, P.; Wen, J.; Yao, M.; Li, N.; Lee, W. Offshore WF Integration and Frequency Support Control Utilizing Hybrid Multiterminal HVDC Transmission. IEEE Trans. Ind. Appl. 2014, 50, 2788–2797. [Google Scholar] [CrossRef]
- Renner, R.H.; Van Hertem, D. Ancillary services in electric power systems with HVDC grids. IET Gener. Transm. Distrib. 2015, 9, 1179–1185. [Google Scholar] [CrossRef]
- Lee, J.; Muljadi, E.; Srensen, P.; Kang, Y.C. Releasable kinetic energy based inertial control of a DFIG wind power plant. IEEE Trans. Sustain. Energy 2016, 7, 279–288. [Google Scholar] [CrossRef]
- Tielens, P.; Van Hertem, D. The relevance of inertia in power systems. Renew. Sustain. Energy Rev. 2016, 55, 999–1009. [Google Scholar] [CrossRef]
- Huang, J.; Preece, R. HVDC-based fast frequency support for low inertia power systems. In Proceedings of the 13th IET International Conference on AC and DC Power Transmission (ACDC 2017), Manchester, UK, 14–16 February 2017; pp. 1–6. [Google Scholar]
- De Haan, J.E.; Concha, C.E.; Gibescu, M.; van Putten, J.; Doorman, G.L.; Kling, W.L. Stabilising system frequency using HVDC between the Continental European, Nordic, and Great Britain systems. Sustain. Energy Grids Netw. 2016, 5, 125–134. [Google Scholar] [CrossRef]
- Ai, Q.; Liu, T.; Yin, Y.; Tao, Y. Frequency coordinated control strategy of HVDC sending system with wind power based on situation awareness. IET Gener. Transm. Distrib. 2020, 14, 3179–3186. [Google Scholar] [CrossRef]
- Miao, Z.; Fan, L.; Osborn, D.; Yuvarajan, S. Wind farms with HVdc delivery in inertial response and primary frequency control. IEEE Trans. Energy Convers. 2010, 25, 1171–1178. [Google Scholar] [CrossRef]
- D’ıaz-Gonz’alez, F.; Hau, M.; Sumper, A.; Gomis-Bellmunt, O. Participation of wind power plants in system frequency control: Review of grid code requirements and control methods. Renew. Sustain. Energy Rev. 2014, 34, 551–564. [Google Scholar] [CrossRef]
- Zhang, M.; Yuan, X.; Hu, J.; Wang, S. Wind power transmission through LCC-HVDC with wind turbine inertial and primary frequency supports. In Proceedings of the 2015 IEEE Power & Energy Society General Meeting, Denver, CO, USA, 26–30 July 2015; pp. 1–5. [Google Scholar]
- Vennelaganti, S.G.; Chaudhuri, N.R. New insights into coupled frequency dynamics of AC grids in rectifier and inverter sides of LCC-HVDC interfacing DFIG based wind farms. IEEE Trans. Power Deliv. 2018, 33, 1765–1776. [Google Scholar] [CrossRef]
- Wu, Z.; Gao, W.; Zhang, H.; Yan, S.; Wang, X. Coordinated control strategy of battery energy storage system and PMSG-WTG to enhance system frequency regulation capability. IEEE Trans. Sustain. Energy 2017, 8, 1330–1343. [Google Scholar]
- Sun, K.; Xiao, H.; You, S.; Li, H.; Pan, J.; Li, K.; Liu, Y. Frequency secure control strategy for power grid with large-scale wind farms through HVDC links. Int. J. Electr. Power Energy Syst. 2020, 117, 105706. [Google Scholar] [CrossRef]
- Zhang, G.; Ela, E.; Wang, Q. Market scheduling and pricing for primary and secondary frequency reserve. IEEE Trans. Power Syst. 2019, 34, 2914–2924. [Google Scholar] [CrossRef]
- Yang, S.; Wu, Y.; Lin, H.; Lee, W. Integrated mechanical and electrical DFIG wind turbine model development. IEEE Trans. Ind. Appl. 2014, 50, 2090–2210. [Google Scholar] [CrossRef]
- Attya, A.B.; Dominguez-Garcia, J.L.; Anaya-Lara, O. A review on frequency support provision by wind power plants: Current and future challenges. Renew. Sustain. Energy Rev. 2018, 81, 2071–2087. [Google Scholar] [CrossRef] [Green Version]
- Zhang, S.; Mishra, Y.; Shahidehpour, M. Fuzzy-logic based frequency controller for wind farms augmented with energy storage systems. IEEE Trans. Power Syst. 2016, 31, 1595–1603. [Google Scholar] [CrossRef]
- Liu, J.; Wen, J.; Yao, W.; Long, Y. Solution to short-term frequency response of wind farms by using energy storage systems. IET Renew. Power Gener. 2016, 10, 669–678. [Google Scholar] [CrossRef]
- Miller, N.; Price, W.; Sanchez-Gasca, J. Modeling of GE Wind Turbine Generators for Grid Studies; Tech. Rep.; General Electric International, Inc.: Schenectady, NY, USA, 2005. [Google Scholar]
- Alkheir, A.A.; Ibnkahla, M. An accurate approximation of the exponential integral function using a sum of exponentials. IEEE Commun. Lett. 2013, 17, 1364–1367. [Google Scholar] [CrossRef]
- Lu, Z.; Ye, Y.; Qiao, Y. An adaptive frequency regulation method with grid-friendly restoration for VSC-HVDC integrated offshore wind farms. IEEE Trans. Power Syst. 2019, 34, 3582–3593. [Google Scholar] [CrossRef]
Publisher’s Note: MDPI stays neutral with regard to jurisdictional claims in published maps and institutional affiliations. |
© 2021 by the authors. Licensee MDPI, Basel, Switzerland. This article is an open access article distributed under the terms and conditions of the Creative Commons Attribution (CC BY) license (https://creativecommons.org/licenses/by/4.0/).