Numerical Analysis of Mixed Convective Heat Transfer from a Square Cylinder Utilizing Nanofluids with Multi-Phase Modelling Approach
Abstract
:1. Introduction
2. Review of Previous Work
3. Mathematical Formulation
3.1. Problem Description and Geometrical Configuration
3.2. Governing Equations
3.2.1. Single-Phase Model (SPM)
- Continuity equation:
- Momentum equation:
- Energy equation:where, , , , , , and are the velocity vector, density, viscosity, thermal expansion coefficient, specific heat, and thermal conductivity, respectively. The difference between the solid surface temperature and free-stream average temperature is used as the characteristic temperature difference.
3.2.2. Nanofluids Modelling
- Effective density:
- Effective viscosity (Brinkman [37]):
- Effective specific heat (Xuan and Roetzel [38]):
- Effective thermal conductivity (Xie et al. [39]):where,where, g is ratio of the nanolayer thickness () to the original particle radius (rp). The nanoparticle diameter (2rp) and nanolayer thickness () are taken as 30 nm and 2 nm, respectively.
3.2.3. Multi-Phase Model (MPM)
- Continuity equation:
- Momentum equation:
- Energy equation:
- Volume fraction equation:
3.3. Boundary Conditions
4. Numerical Details
4.1. Grid Sensitivity Analysis and Code Verification
4.2. Numerical Method
5. Results and Discussions
- Reynolds number (Re) = 10, 30, 50, 80, 100, and 150.
- Richardson number (Ri) = 0, 0.5, and 1.
- Volume fraction of nanoparticles (φ) = 0, 1%, 3%, and 5%.
5.1. Fluid Flow Characteristics
5.1.1. Flow Patterns
5.1.2. Time-Averaged Pressure Coefficient
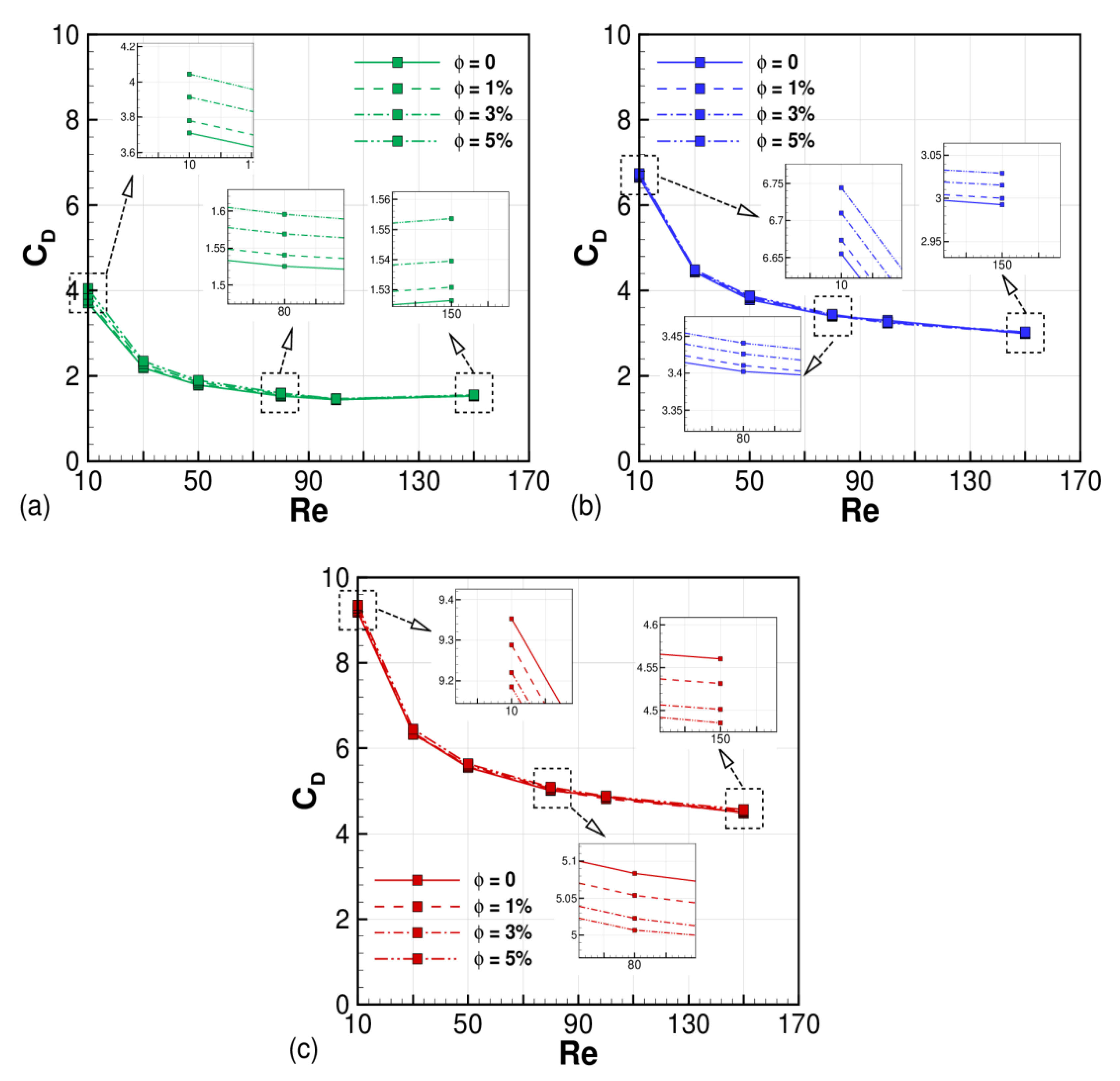
5.1.3. Time-Averaged Drag Coefficients
5.2. Heat Transfer Characteristics
5.2.1. Isotherms
5.2.2. Local and Mean Nusselt Number of the Cylinder
5.2.3. Thermal Performance
6. Conclusions
Author Contributions
Funding
Institutional Review Board Statement
Informed Consent Statement
Data Availability Statement
Conflicts of Interest
Nomenclature
| Notations | |
| drag coefficient, | |
| lift coefficient, | |
| pressure coefficient, | |
| specific heat capacity, J/kg-K | |
| D | height of the cylinder, m |
| E | heat transfer enhancement ratio, |
| drag force, N | |
| lift force, N | |
| g | gravitational acceleration, m/s2 |
| Gr | Grashof number, |
| K | thermal conductivity of fluid, W/m-K |
| length of upstream boundary, m | |
| length of downstream boundary, m | |
| height of the boundary from the cylinder, m | |
| m, n | number of grids in x- and y-direction |
| Nu | Nusselt number, |
| p | dimensional pressure, N/m2 |
| P | non-dimensional pressure, |
| Pr | Prandtl number, |
| thermal conductivity ratio, | |
| Ra | Rayleigh number, Gr Pr |
| Re | Reynolds number, |
| Ri | Richardson number, |
| t | dimensional time, s |
| U | non-dimensional x-component of velocity, u/ |
| u, v | dimensional x- and y-component of velocity, m/s |
| reference velocity, m/s | |
| V | non-dimensional y-component of velocity, v/ |
| X | dimensionless horizontal distance, x/D |
| Y | dimensionless vertical distance, y/D |
| x, y | horizontal and vertical coordinate |
| Greek symbols | |
| Δ | largest grid size |
| δ | smallest grid size |
| μ | dynamic viscosity, kg/m-s |
| ω | vorticity magnitude, 1/s |
| φ | nanoparticles volume fraction in nanofluid |
| ψ | stream function, m2/s |
| ρ | fluid density, kg/m3 |
| non-dimensional time, t/D | |
| Θ | non-dimensional temperature, |
| θ | dimensional temperature, K |
| β | thermal expansion coefficient, °C |
| Subscripts | |
| 0 | reference value |
| avg | average |
| bf | base fluid |
| cr | critical |
| D | downstream |
| dr | drift |
| e | effective |
| f | fluid |
| l | local value of variable |
| M | mean value |
| m | mixture |
| nf | nanofluid |
| np | nanoparticles |
| nl | nano layer |
| p | particle |
| s | solid |
| U | upstream |
| w | wall |
References
- Sivashanmugam, P. Application of nanofluids in heat transfer. Overv. Heat Transf. Phenom. 2012, 16. [Google Scholar] [CrossRef] [Green Version]
- Wong, K.V.; De Leon, O. Applications of nanofluids: Current and future. Nanotechnol. Energy 2017, 105–132. [Google Scholar] [CrossRef] [Green Version]
- Sajid, M.U.; Ali, H.M. Recent advances in application of nanofluids in heat transfer devices: A critical review. Renew. Sustain. Energy Rev. 2019, 103, 556–592. [Google Scholar] [CrossRef]
- Rafati, M.; Hamidi, A.; Niaser, M.S. Application of nanofluids in computer cooling systems (heat transfer performance of nanofluids). Appl. Therm. Eng. 2012, 45, 9–14. [Google Scholar] [CrossRef]
- Huminic, G.; Huminic, A. Application of nanofluids in heat exchangers: A review. Renew. Sustain. Energy Rev. 2012, 16, 5625–5638. [Google Scholar] [CrossRef]
- Kulkarni, D.P.; Das, D.K.; Vajjha, R.S. Application of nanofluids in heating buildings and reducing pollution. Appl. Energy 2009, 86, 2566–2573. [Google Scholar] [CrossRef]
- Okonkwo, E.C.; Wole-Osho, I.; Almanassra, I.W.; Abdullatif, Y.M.; Al-Ansari, T. An updated review of nanofluids in various heat transfer devices. J. Therm. Anal. Calorim. 2021, 145, 2817–2872. [Google Scholar] [CrossRef]
- Senthilraja, S.; Karthikeyan, M.; Gangadevi, R. Nanofluid applications in future automobiles: Comprehensive review of existing data. Nano-Micro Lett. 2010, 2, 306–310. [Google Scholar]
- Bhogare, R.A.; Kothawale, B. A review on applications and challenges of nanofluids as coolant in automobile radiator. Int. J. Sci. Res. Publ. 2013, 3, 1–11. [Google Scholar]
- Arani, A.A.; Amani, J. Experimental study on the effect of TiO2–water nanofluid on heat transfer and pressure drop. Exp. Therm. Fluid Sci. 2012, 42, 107–115. [Google Scholar]
- Kayhani, M.; Soltanzadeh, H.; Heyhat, M.; Nazari, M.; Kowsary, F. Experimental study of convective heat transfer and pressure drop of TiO2/water nanofluid. Int. Commun. Heat Mass Transf. 2012, 39, 456–462. [Google Scholar] [CrossRef]
- Esfe, M.H.; Saedodin, S.; Wongwises, S.; Toghraie, D. An experimental study on the effect of diameter on thermal conductivity and dynamic viscosity of Fe/water nanofluids. J. Therm. Anal. Calorim. 2015, 119, 1817–1824. [Google Scholar]
- Vanaki, S.M.; Ganesan, P.; Mohammed, H.A. Numerical study of convective heat transfer of nanofluids: A review. Renew. Sustain. Energy Rev. 2016, 54, 1212–1239. [Google Scholar] [CrossRef]
- Choi, H.; Jeon, W.P.; Kim, J. Control of flow over a bluff body. Annu. Rev. Fluid Mech. 2008, 40, 113–139. [Google Scholar]
- Derakhshandeh, J.; Alam, M.M. A review of bluff body wakes. Ocean Eng. 2019, 182, 475–488. [Google Scholar]
- Kakaç, S.; Pramuanjaroenkij, A. Review of convective heat transfer enhancement with nanofluids. Int. J. Heat Mass Transf. 2009, 52, 3187–3196. [Google Scholar]
- Etminan-Farooji, V.; Ebrahimnia-Bajestan, E.; Niazmand, H.; Wongwises, S. Unconfined laminar nanofluid flow and heat transfer around a square cylinder. Int. J. Heat Mass Transf. 2012, 55, 1475–1485. [Google Scholar]
- Valipour, M.S.; Masoodi, R.; Rashidi, S.; Bovand, M.; Mirhosseini, M. A numerical study on convection around a square cylinder using Al2O3-H2O nanofluid. Therm. Sci. 2014, 18, 1305–1314. [Google Scholar]
- Bahiraei, M. A comprehensive review on different numerical approaches for simulation in nanofluids: Traditional and novel techniques. J. Dispers. Sci. Technol. 2014, 35, 984–996. [Google Scholar]
- Moraveji, M.K.; Ardehali, R.M. CFD modeling (comparing single and two-phase approaches) on thermal performance of Al2O3/water nanofluid in mini-channel heat sink. Int. Commun. Heat Mass Transf. 2013, 44, 157–164. [Google Scholar] [CrossRef]
- Ansys Fluent Users Guide. Release 15.0, November 2013 and ANSYS Fluent 12.0. Theory Guide; SAS IP Inc.: Canonsburg, Pennsylvania, 2009. [Google Scholar]
- Bizhaem, H.K.; Abbassi, A. Numerical study on heat transfer and entropy generation of developing laminar nanofluid flow in helical tube using two-phase mixture model. Adv. Powder Technol. 2017, 28, 2110–2125. [Google Scholar] [CrossRef]
- Karimi, A.; Al-Rashed, A.A.; Afrand, M.; Mahian, O.; Wongwises, S.; Shahsavar, A. The effects of tape insert material on the flow and heat transfer in a nanofluid-based double tube heat exchanger: Two-phase mixture model. Int. J. Mech. Sci. 2019, 156, 397–409. [Google Scholar]
- Selvakumar, R.D.; Dhinakaran, S. Forced convective heat transfer of nanofluids around a circular bluff body with the effects of slip velocity using a multi-phase mixture model. Int. J. Heat Mass Transf. 2017, 106, 816–828. [Google Scholar]
- Pakravan, H.A.; Yaghoubi, M. Analysis of nanoparticles migration on natural convective heat transfer of nanofluids. Int. J. Therm. Sci. 2013, 68, 79–93. [Google Scholar]
- Alinia, M.; Ganji, D.; Gorji-Bandpy, M. Numerical study of mixed convection in an inclined two sided lid driven cavity filled with nanofluid using two-phase mixture model. Int. Commun. Heat Mass Transf. 2011, 38, 1428–1435. [Google Scholar]
- Esfe, M.H.; Barzegarian, R.; Bahiraei, M. A 3D numerical study on natural convection flow of nanofluid inside a cubical cavity equipped with porous fins using two-phase mixture model. Adv. Powder Technol. 2020, 31, 2480–2492. [Google Scholar]
- Garoosi, F.; Rohani, B.; Rashidi, M.M. Two-phase mixture modeling of mixed convection of nanofluids in a square cavity with internal and external heating. Powder Technol. 2015, 275, 304–321. [Google Scholar]
- Darzi, A.A.R.; Farhadi, M.; Lavasani, A.M. Two phase mixture model of nano-enhanced mixed convection heat transfer in finned enclosure. Chem. Eng. Res. Des. 2016, 111, 294–304. [Google Scholar] [CrossRef]
- Ebrahimi, A.; Rikhtegar, F.; Sabaghan, A.; Roohi, E. Heat transfer and entropy generation in a microchannel with longitudinal vortex generators using nanofluids. Energy 2016, 101, 190–201. [Google Scholar]
- Naranjani, B.; Roohi, E.; Ebrahimi, A. Thermal and hydraulic performance analysis of a heat sink with corrugated channels and nanofluids. J. Therm. Anal. Calorim. 2020, 1–12. [Google Scholar] [CrossRef]
- Saieesh, A.T.S.V.; Prasad, M. Analysis of forced convective heat transfer through nanofluids around a square cylinder using Eulerian-Eulerian mixture modelling. Int. J. Nanotechnol. 2021, 18, 719–739. [Google Scholar] [CrossRef]
- Arjun, K.S.; Rakesh, K. Heat transfer in magnetohydrodynamic nanofluid flow past a circular cylinder. Phys. Fluids 2020, 32, 045112. [Google Scholar]
- Sawicka, D.; Baars, A.; Cieśliński, J.T.; Smoleń, S. Numerical simulation of natural convection of Glycol-Al2O3 nanofluids from a horizontal cylinder. Heat Transf. Eng. 2020, 42, 328–336. [Google Scholar] [CrossRef]
- Godson, L.; Raja, B.; Lal, D.M.; Wongwises, S.E.A. Enhancement of heat transfer using nanofluids—An overview. Renew. Sustain. Energy Rev. 2010, 14, 629–641. [Google Scholar] [CrossRef]
- Moraveji, M.K.; Darabi, M.; Haddad, S.M.H.; Davarnejad, R. Modeling of convective heat transfer of a nanofluid in the developing region of tube flow with computational fluid dynamics. Int. Commun. Heat Mass Transf. 2011, 38, 1291–1295. [Google Scholar]
- Brinkman, H. The viscosity of concentrated suspensions and solutions. J. Chem. Phys. 1952, 20, 571. [Google Scholar]
- Xuan, Y.; Roetzel, W. Conceptions for heat transfer correlation of nanofluids. Int. J. Heat Mass Transf. 2000, 43, 3701–3707. [Google Scholar]
- Xie, H.; Fujii, M.; Zhang, X. Effect of interfacial nanolayer on the effective thermal conductivity of nanoparticle-fluid mixture. Int. J. Heat Mass Transf. 2005, 48, 2926–2932. [Google Scholar]
- Khanafer, K.; Vafai, K. A critical synthesis of thermophysical characteristics of nanofluids. Int. J. Heat Mass Transf. 2011, 54, 4410–4428. [Google Scholar]
- El-Batsh, H.; Doheim, M.; Hassan, A. On the application of mixture model for two-phase flow induced corrosion in a complex pipeline configuration. Appl. Math. Model. 2012, 36, 5686–5699. [Google Scholar]
- Manninen, M.; Taivassalo, V.; Kallio, S. On the Mixture Model for Multi-Phase Flow; Valtion Teknillinen Tutkimuskeskus: Espoo, Finland, 1996. [Google Scholar]
- Schiller, L. A drag coefficient correlation. Zeit. Ver. Deutsch. Ing. 1933, 77, 318–320. [Google Scholar]
- Abu-Nada, E. Effects of variable viscosity and thermal conductivity of Al2O3–water nanofluid on heat transfer enhancement in natural convection. Int. J. Heat Fluid Flow 2009, 30, 679–690. [Google Scholar] [CrossRef]
- Hamzah, N.S.A.; Kandasamy, R.; Muhammad, R. Thermal radiation energy on squeezed MHD flow of Cu, Al2O3 and CNTs-nanofluid over a sensor surface. Alex. Eng. J. 2016, 55, 2405–2421. [Google Scholar] [CrossRef] [Green Version]
- Sasmal, C.; Chhabra, R. Laminar natural convection from a heated square cylinder immersed in power-law liquids. J. Non-Newton. Fluid Mech. 2011, 166, 811–830. [Google Scholar]
- Ansys, A.F. 14.0 Theory Guide; ANSYS Inc.: Canonsburg, PA, USA, 2011; pp. 218–221. [Google Scholar]
- Park, D.; Yang, K.S. Flow instabilities in the wake of a rounded square cylinder. J. Fluid Mech. 2016, 793, 915. [Google Scholar]
- Saha, A.K.; Muralidhar, K.; Biswas, G. Transition and chaos in two-dimensional flow past a square cylinder. J. Eng. Mech. 2000, 126, 523–532. [Google Scholar]
- Jiang, H.; Cheng, L.; An, H. Three-dimensional wake transition of a square cylinder. J. Fluid Mech 2018, 842, 102–127. [Google Scholar]
- Sohankar, A.; Norbergb, C.; Davidson, L. Numerical simulation of unsteady low-Reynolds number flow around rectangular cylinders at incidence. J. Wind Eng. Ind. Aerodyn. 1997, 69, 189–201. [Google Scholar]
- Abdelhamid, T.; Alam, M.M.; Islam, M. Heat transfer and flow around cylinder: Effect of corner radius and Reynolds number. Int. J. Heat Mass Transf. 2021, 171, 121105. [Google Scholar]
- Bai, H.; Alam, M.M. Dependence of square cylinder wake on Reynolds number. Phys. Fluids 2018, 30, 015102. [Google Scholar]
- Sharma, N.; Dhiman, A.K.; Kumar, S. Mixed convection flow and heat transfer across a square cylinder under the influence of aiding buoyancy at low Reynolds numbers. Int. J. Heat Mass Transf. 2012, 55, 2601–2614. [Google Scholar] [CrossRef]
- Gupta, R.K.; Chandra, A.; Gupta, R.K. Buoyancy-driven convective heat transfer from a semi-circular cylinder for various confinements. Sadhana 2018, 43, 1–18. [Google Scholar] [CrossRef] [Green Version]
- Srinivas, A.T.; Bharti, R.P.; Chhabra, R.P. Mixed convection heat transfer from a cylinder in power-law fluids: Effect of aiding buoyancy. Ind. Eng. Chem. Res. 2009, 48, 9735–9754. [Google Scholar] [CrossRef]















| Property | Water [21] | Al2O3 [44,45] |
|---|---|---|
| ρ (Kg/m3) | 998.2 | 3790 |
| (j/Kg-K) | 4182 | 765 |
| K (W/m-K) | 0.6 | 40 |
| μ (Kg/m-s) | 10.03 × 10−4 | - |
| β (1/K) | 2.1 × 10−4 | 8.5 × 10−6 |
| Grid Size | Ri = 0 | Ri = 1 | |||
|---|---|---|---|---|---|
| (m × n) | |||||
| 10 | 172 × 102 | 1.896 | 8.3245 | 7.584 | 9.8541 |
| 194 × 124 | 1.8152 | 8.1251 | 7.4879 | 9.8574 | |
| 260 × 190 | 1.7548 | 7.8951 | 7.3215 | 9.5411 | |
| 15 * | 222 × 112 | 1.7984 | 7.4614 | 5.6412 | 9.2448 |
| 244 × 134 * | 1.7843 | 7.4566 | 5.6332 | 9.2258 | |
| 310 × 200 | 1.7843 | 7.4564 | 5.6332 | 9.2256 | |
| 20 | 272 × 122 | 1.7784 | 7.5842 | 5.6311 | 9.2258 |
| 294 × 144 | 1.7842 | 7.4566 | 5.6332 | 9.2258 | |
| 360 × 210 | 1.7843 | 7.4548 | 5.6422 | 9.2255 | |
| 25 | 322 × 132 | 1.7821 | 7.4667 | 5.6411 | 9.2287 |
| 344 × 154 | 1.7833 | 7.4545 | 5.6612 | 9.2255 | |
| 410 × 220 | 1.7844 | 7.4566 | 5.6332 | 9.2258 | |
| Re | CD | ||||||||
| Ri = 0 | Ri = 0.5 | Ri = 1.0 | |||||||
| aa | bb | Error (%) | aa | bb | Error (%) | aa | bb | Error (%) | |
| 1 | 13.995 | 13.836 | 1.137 | 22.125 | 21.883 | 1.094 | 29.32 | 28.965 | 1.211 |
| 5 | 4.878 | 4.8 | 1.6 | 8.012 | 7.977 | 0.437 | 10.325 | 10.424 | 0.959 |
| 10 | 3.322 | 3.318 | 0.121 | 5.443 | 5.436 | 0.129 | 7.029 | 7.012 | 0.242 |
| 20 | 2.351 | 2.353 | 0.086 | 3.861 | 3.859 | 0.052 | 4.981 | 4.989 | 0.161 |
| 30 | 1.978 | 1.977 | 0.051 | 3.247 | 3.248 | 0.031 | 4.181 | 4.189 | 0.192 |
| 40 | 1.764 | 1.765 | 0.057 | 2.896 | 2.895 | 0.035 | 3.733 | 3.742 | 0.242 |
| Re | NuM | ||||||||
| Ri = 0 | Ri = 0.5 | Ri = 1.0 | |||||||
| aa | bb | Error (%) | aa | bb | Error (%) | aa | bb | Error (%) | |
| 1 | 0.681 | 0.696 | 2.203 | 0.771 | 0.758 | 1.687 | 0.781 | 0.793 | 1.537 |
| 5 | 1.212 | 1.191 | 1.733 | 1.322 | 1.329 | 0.53 | 1.422 | 1.405 | 1.196 |
| 10 | 1.544 | 1.551 | 0.454 | 1.733 | 1.744 | 0.635 | 1.833 | 1.852 | 1.037 |
| 20 | 2.051 | 2.035 | 0.781 | 2.322 | 2.312 | 0.431 | 2.433 | 2.457 | 0.987 |
| 30 | 2.367 | 2.388 | 0.888 | 2.722 | 2.727 | 0.184 | 2.922 | 2.911 | 0.377 |
| 40 | 2.612 | 2.596 | 0.613 | 3.05 | 3.08 | 0.984 | 3.254 | 3.288 | 1.054 |
| φ | NuM | ||||||||
| Re = 10 | Re = 40 | ||||||||
| aa | cc | Error (%) | aa | cc | Error (%) | ||||
| 0 | 3.811 | 3.81 | 0.027 | 7.101 | 7.1 | 0.015 | |||
| 1 | 3.829 | 3.824 | 0.131 | 7.11 | 7.104 | 0.085 | |||
| 3 | 3.944 | 3.937 | 0.178 | 7.33 | 7.343 | 0.178 | |||
| 5 | 4.158 | 4.166 | 0.193 | 7.822 | 7.812 | 0.128 | |||
| Re | φ = 1% | φ = 3% | φ = 5% | ||||||
|---|---|---|---|---|---|---|---|---|---|
| MPM | SPM | Deviation (%) | MPM | SPM | Deviation (%) | MPM | SPM | Deviation (%) | |
| 10 | 3.392 | 3.381 | 0.326 | 3.585 | 3.55 | 0.986 | 3.789 | 3.768 | 0.558 |
| 30 | 5.415 | 5.393 | 0.408 | 5.716 | 5.687 | 0.51 | 6.033 | 5.986 | 0.786 |
| 50 | 6.84 | 6.818 | 0.323 | 7.193 | 7.127 | 0.927 | 7.565 | 7.496 | 0.921 |
| 80 | 8.331 | 8.325 | 0.073 | 8.718 | 8.702 | 0.184 | 9.124 | 9.1 | 0.264 |
| 100 | 9.037 | 9.021 | 0.178 | 9.46 | 9.453 | 0.075 | 9.847 | 9.883 | 0.365 |
| 150 | 10.821 | 10.773 | 0.446 | 11.386 | 11.277 | 0.967 | 11.991 | 11.877 | 0.96 |
Publisher’s Note: MDPI stays neutral with regard to jurisdictional claims in published maps and institutional affiliations. |
© 2021 by the authors. Licensee MDPI, Basel, Switzerland. This article is an open access article distributed under the terms and conditions of the Creative Commons Attribution (CC BY) license (https://creativecommons.org/licenses/by/4.0/).
Share and Cite
Rajpoot, R.S.; Dhinakaran, S.; Alam, M.M. Numerical Analysis of Mixed Convective Heat Transfer from a Square Cylinder Utilizing Nanofluids with Multi-Phase Modelling Approach. Energies 2021, 14, 5485. https://doi.org/10.3390/en14175485
Rajpoot RS, Dhinakaran S, Alam MM. Numerical Analysis of Mixed Convective Heat Transfer from a Square Cylinder Utilizing Nanofluids with Multi-Phase Modelling Approach. Energies. 2021; 14(17):5485. https://doi.org/10.3390/en14175485
Chicago/Turabian StyleRajpoot, Rajendra S., Shanmugam. Dhinakaran, and Md. Mahbub Alam. 2021. "Numerical Analysis of Mixed Convective Heat Transfer from a Square Cylinder Utilizing Nanofluids with Multi-Phase Modelling Approach" Energies 14, no. 17: 5485. https://doi.org/10.3390/en14175485
APA StyleRajpoot, R. S., Dhinakaran, S., & Alam, M. M. (2021). Numerical Analysis of Mixed Convective Heat Transfer from a Square Cylinder Utilizing Nanofluids with Multi-Phase Modelling Approach. Energies, 14(17), 5485. https://doi.org/10.3390/en14175485

