Effects of Mass and Damping on Flow-Induced Vibration of a Cylinder Interacting with the Wake of Another Cylinder at High Reduced Velocities
Abstract
:1. Introduction
2. Numerical Methodology
2.1. Computational Domain
2.2. Governing Equations and Numerical Technique
2.3. Validation
3. Results and Discussion
3.1. Vibration Response at Small m* and ζ
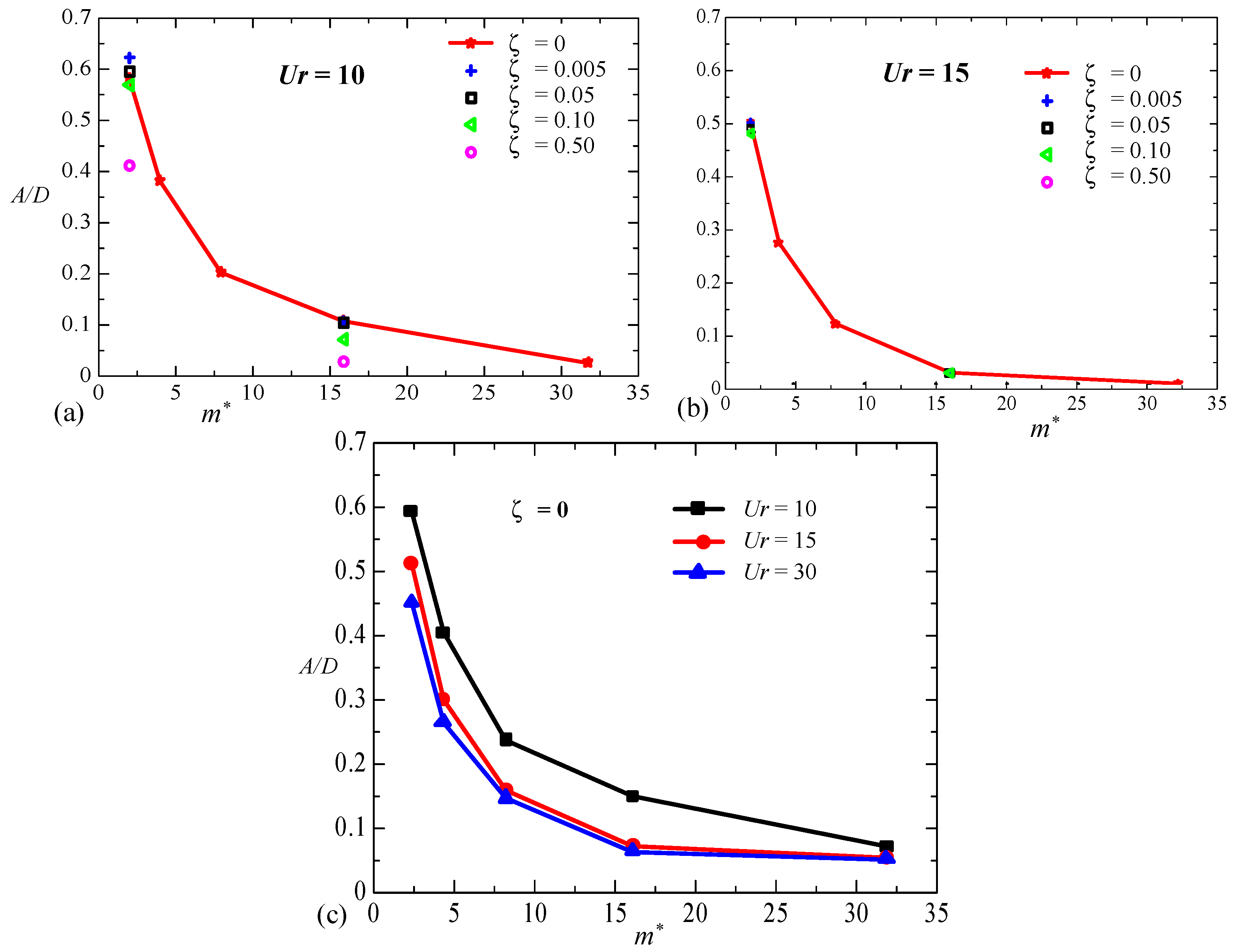
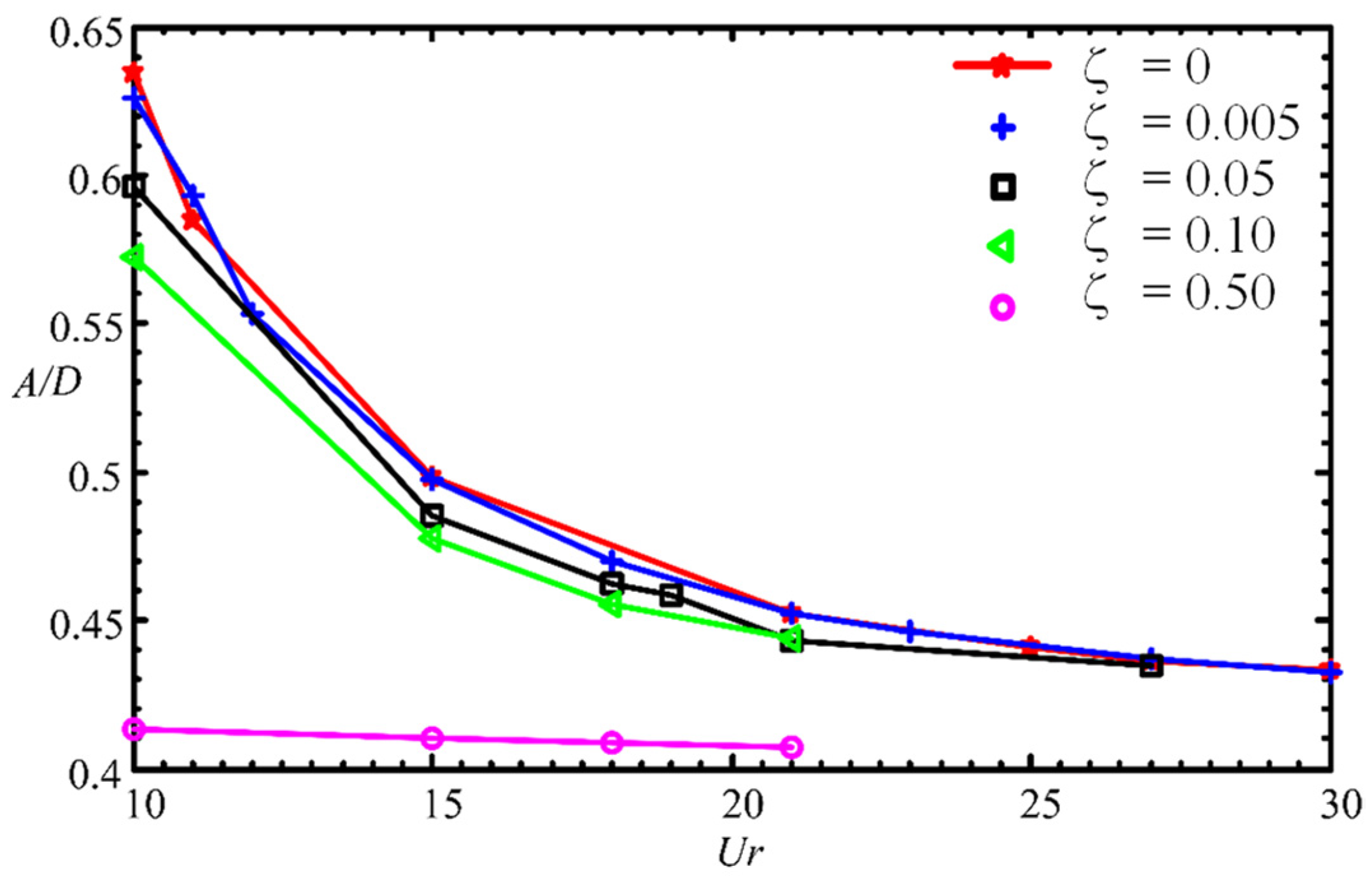
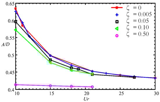
3.2. Effect of Damping Ratio on Vibration Amplitude
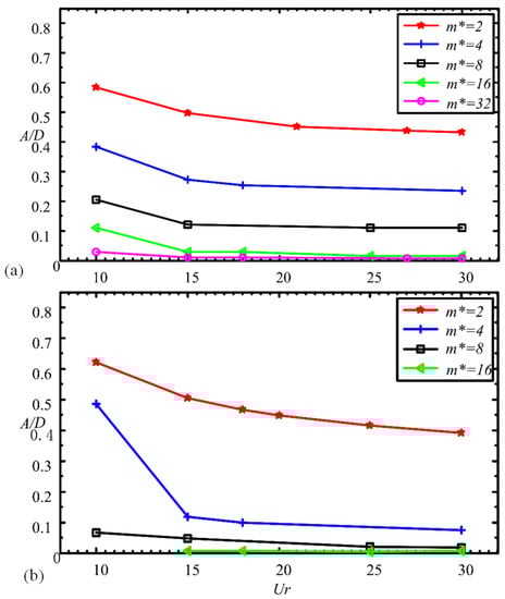
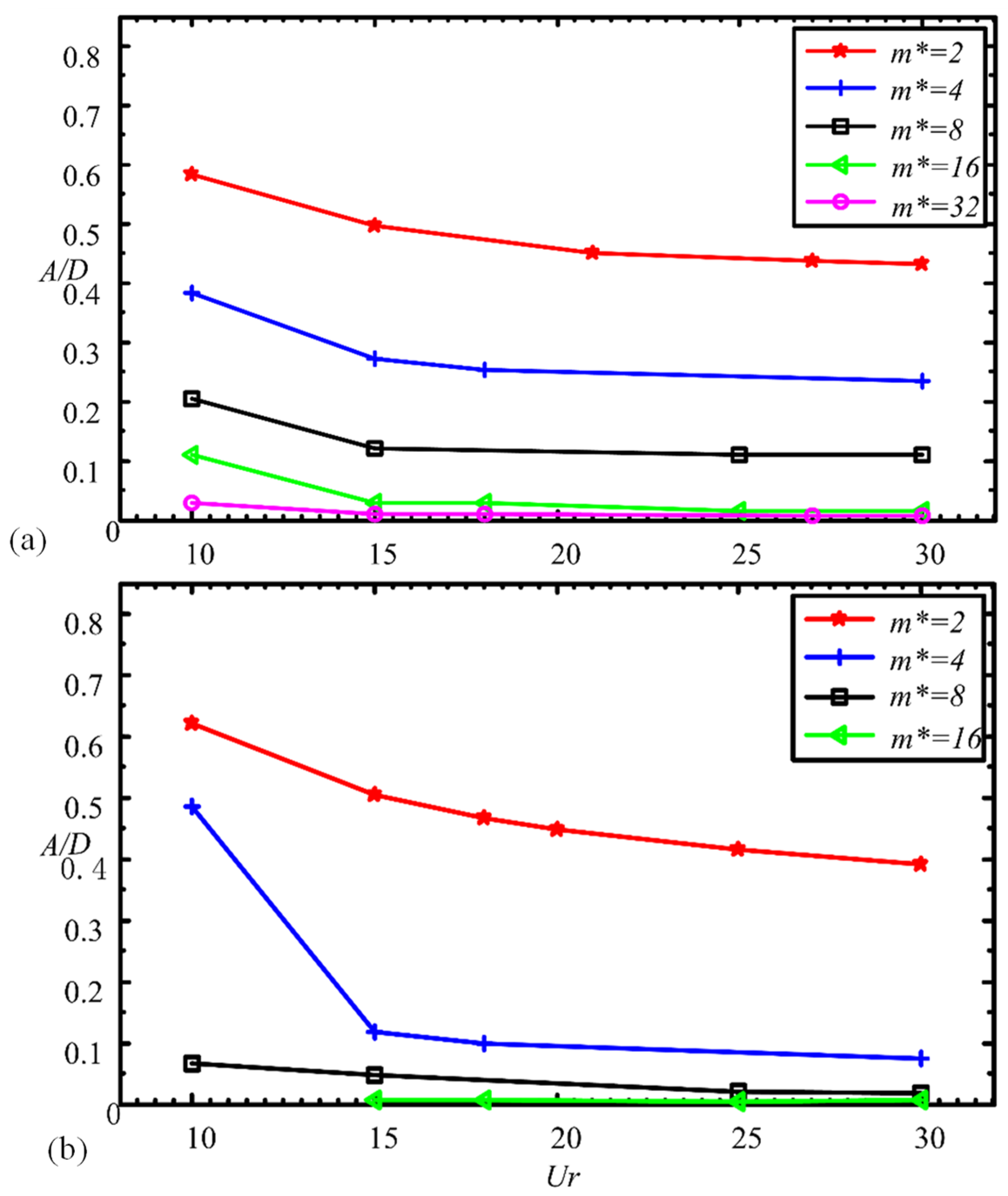
3.3. Effect of Mass Ratio on Vibration Amplitude
3.4. Effect of Mass-Damping Ratio on Vibration Amplitude
3.5. Effects of L/D, m*, and ζ on Wake Structure
4. Conclusions
Funding
Data Availability Statement
Acknowledgments
Conflicts of Interest
References
- Bokaian, A.; Geoola, F. Wake-induced galloping of two interfering circular cylinders. J. Fluid Mech. 1984, 146, 383–415. [Google Scholar] [CrossRef]
- Carmo, B.; Sherwin, S.; Bearman, P.; Willden, R. Flow-induced vibration of a circular cylinder subjected to wake interference at low Reynolds number. J. Fluids Struct. 2011, 27, 503–522. [Google Scholar] [CrossRef]
- Hover, F.; Triantafyllou, M. Galloping response of a cylinder with upstream wake interference. J. Fluids Struct. 2001, 15, 503–512. [Google Scholar] [CrossRef]
- Assi, G.R.S.; Bearman, P.W.; Meneghini, J.R. On the wake-induced vibration of tandem circular cylinders: The vortex interaction excitation mechanism. J. Fluid Mech. 2010, 661, 365–401. [Google Scholar] [CrossRef]
- Assi, G.R.D.S.; Bearman, P.W.; Carmo, B.; Meneghini, J.R.; Sherwin, S.; Willden, R.H.J. The role of wake stiffness on the wake-induced vibration of the downstream cylinder of a tandem pair. J. Fluid Mech. 2013, 718, 210–245. [Google Scholar] [CrossRef] [Green Version]
- Qin, B.; Alam, M.; Zhou, Y. Two tandem cylinders of different diameters in cross-flow: Flow-induced vibration. J. Fluid Mech. 2017, 829, 621–658. [Google Scholar] [CrossRef]
- Qin, B.; Alam, M.M.; Zhou, Y. Free vibrations of two tandem elastically mounted cylinders in cross-flow. J. Fluid Mech. 2019, 861, 349–381. [Google Scholar] [CrossRef]
- Assi, G.R.S.; Meneghini, J.R.; Aranha, J.; Bearman, P.; Casaprima, E. Experimental investigation of flow-induced vibration interference between two circular cylinders. J. Fluids Struct. 2006, 22, 819–827. [Google Scholar] [CrossRef]
- Korkischko, I.; Meneghini, J.R. Experimental investigation of flow-induced vibration on isolated and tandem circular cylinders fitted with strakes. J. Fluids Struct. 2010, 26, 611–625. [Google Scholar] [CrossRef]
- Qin, B.; Alam, M.; Ji, C.; Liu, Y.; Xu, S. Flow-induced vibrations of two cylinders of different natural frequencies. Ocean Eng. 2018, 155, 189–200. [Google Scholar] [CrossRef]
- Zdravkovich, M. Flow induced oscillations of two interfering circular cylinders. J. Sound Vib. 1985, 101, 511–521. [Google Scholar] [CrossRef]
- Kim, S.; Alam, M.; Sakamoto, H.; Zhou, Y. Flow-induced vibrations of two circular cylinders in tandem arrangement. Part 1: Characteristics of vibration. J. Wind. Eng. Ind. Aerodyn. 2009, 97, 304–311. [Google Scholar] [CrossRef]
- Huera-Huarte, F.; Bearman, P. Vortex and wake-induced vibrations of a tandem arrangement of two flexible circular cylinders with near wake interference. J. Fluids Struct. 2011, 27, 193–211. [Google Scholar] [CrossRef]
- Papaioannou, G.; Yue, D.; Triantafyllou, M.; Karniadakis, G. On the effect of spacing on the vortex-induced vibrations of two tandem cylinders. J. Fluids Struct. 2008, 24, 833–854. [Google Scholar] [CrossRef]
- Borazjani, I.; Sotiropoulos, F. Vortex-induced vibrations of two cylinders in tandem arrangement in the proximity–wake interference region. J. Fluid Mech. 2009, 621, 321–364. [Google Scholar] [CrossRef] [PubMed] [Green Version]
- Prasanth, T.; Mittal, S. Flow-induced oscillation of two circular cylinders in tandem arrangement at low Re. J. Fluids Struct. 2009, 25, 1029–1048. [Google Scholar] [CrossRef]
- Zheng, Q.; Alam, M. Intrinsic features of flow past three square prisms in side-by-side arrangement. J. Fluid Mech. 2017, 826, 996–1033. [Google Scholar] [CrossRef]
- Zheng, Q.; Alam, M. Evolution of the wake of three inline square prisms. Phys. Rev. Fluids 2019, 4, 104701. [Google Scholar] [CrossRef]
- Bhatt, R.; Alam, M. Vibrations of a square cylinder submerged in a wake. J. Fluid Mech. 2018, 853, 301–332. [Google Scholar] [CrossRef]
- Patankar, S.V. Numerical Heat Transfer and Fluid Flow; CRC Press: Boca Raton, FL, USA, 1980; ISBN 9781315275130. [Google Scholar]
- Barkley, D.; Henderson, R. Three-dimensional Floquet stability analysis of the wake of a circular cylinder. J. Fluid Mech. 1996, 322, 215–241. [Google Scholar] [CrossRef] [Green Version]
- Rastan, M.R.; Alam, M.M. Transition of wake flows past two circular or square cylinders in tandem. Phys. Fluids 2021, 33, 081705. [Google Scholar] [CrossRef]
- Zafar, F.; Alam, M.M. Flow structure and heat transfer from cylinders modified from square to circular. Phys. Fluids 2019, 31, 083604. [Google Scholar] [CrossRef]
- Abdelhamid, T.; Alam, M.M.; Islam, M. Heat transfer and flow around cylinder: Effect of corner radius and Reynolds number. Int. J. Heat Mass Transf. 2021, 171, 121105. [Google Scholar] [CrossRef]
- Alam, M.; Abdelhamid, T.; Sohankar, A. Effect of cylinder corner radius and attack angle on heat transfer and flow topology. Int. J. Mech. Sci. 2020, 175, 105566. [Google Scholar] [CrossRef]
- Zafar, F.; Alam, M. A low Reynolds number flow and heat transfer topology of a cylinder in a wake. Phys. Fluids 2018, 30, 083603. [Google Scholar] [CrossRef]
- Sucker, D.; Brauer, H. Fluiddynamik bei der angestromten Zilindern. Warme Stoffubertrag. 1975, 8, 149. [Google Scholar] [CrossRef]
- Norberg, C. Flow around a circular cylinder: Aspects of fluctuating lift. J. Fluids Struct. 2001, 15, 459–469. [Google Scholar] [CrossRef]
- Silva, A.L.E.; Silveira-Neto, A.; Damasceno, J. Numerical simulation of two-dimensional flows over a circular cylinder using the immersed boundary method. J. Comput. Phys. 2003, 189, 351–370. [Google Scholar] [CrossRef]
- Posdziech, O.; Grundmann, R. A systematic approach to the numerical calculation of fundamental quantities of the two-dimensional flow over a circular cylinder. J. Fluids Struct. 2007, 23, 479–499. [Google Scholar] [CrossRef]
- Qu, L.; Norberg, C.; Davidson, L.; Peng, S.-H.; Wang, F. Quantitative numerical analysis of flow past a circular cylinder at Reynolds number between 50 and 200. J. Fluids Struct. 2013, 39, 347–370. [Google Scholar] [CrossRef] [Green Version]
- Dong, R.G. Effective Mass and Damping of Submerged Structures; UCRL-52342; Lawrence Livermore Laboratory, California University: Oakland, CA, USA, 1978. [Google Scholar]
- Tabatabai, H.; Mehrabi, A. Design of Mechanical Viscous Dampers for Stay Cables. J. Bridg. Eng. 2000, 5, 114–123. [Google Scholar] [CrossRef]
- Alam, M.; Kim, S. Free vibration of two identical circular cylinders in staggered arrangement. Fluid Dyn. Res. 2009, 41, 17. [Google Scholar] [CrossRef]
- Alam, M.; Meyer, J. Global aerodynamic instability of twin cylinders in cross flow. J. Fluids Struct. 2013, 41, 135–145. [Google Scholar] [CrossRef] [Green Version]
- Khalak, A.; Williamson, C. Dynamics of a hydroelastic cylinder with very low mass and damping. J. Fluids Struct. 1996, 10, 455–472. [Google Scholar] [CrossRef]
- Williamson, C.; Govardhan, R. Vortex-induced vibrations. Annu. Rev. Fluid Mech. 2004, 36, 413–455. [Google Scholar] [CrossRef] [Green Version]











| Mesh | Elements | St | |||
|---|---|---|---|---|---|
| Present | M1 | 76,350 | 1.3487 | 0.3529 | 0.1850 |
| M2 | 80,050 | 1.3495 | 0.3530 | 0.1851 | |
| M3 | 94,400 | 1.3499 | 0.3532 | 0.1851 | |
| Sucker and Brauer [27] | 1.36 | ||||
| Norberg [28] | -- | 0.3555 | 0.1830 | ||
| Silva et al. [29] | 1.37 | -- | -- | ||
| Posdziech and Grundmann [30] | 1.3224 | -- | 0.1841 | ||
| Qu et al. [31] | 1.3152 | 0.3560 | 0.1845 | ||
| Abdelhamid et al. [24] | -- | 0.3537 | 0.1828 |
Publisher’s Note: MDPI stays neutral with regard to jurisdictional claims in published maps and institutional affiliations. |
© 2021 by the author. Licensee MDPI, Basel, Switzerland. This article is an open access article distributed under the terms and conditions of the Creative Commons Attribution (CC BY) license (https://creativecommons.org/licenses/by/4.0/).
Share and Cite
Alam, M.M. Effects of Mass and Damping on Flow-Induced Vibration of a Cylinder Interacting with the Wake of Another Cylinder at High Reduced Velocities. Energies 2021, 14, 5148. https://doi.org/10.3390/en14165148
Alam MM. Effects of Mass and Damping on Flow-Induced Vibration of a Cylinder Interacting with the Wake of Another Cylinder at High Reduced Velocities. Energies. 2021; 14(16):5148. https://doi.org/10.3390/en14165148
Chicago/Turabian StyleAlam, Md. Mahbub. 2021. "Effects of Mass and Damping on Flow-Induced Vibration of a Cylinder Interacting with the Wake of Another Cylinder at High Reduced Velocities" Energies 14, no. 16: 5148. https://doi.org/10.3390/en14165148
APA StyleAlam, M. M. (2021). Effects of Mass and Damping on Flow-Induced Vibration of a Cylinder Interacting with the Wake of Another Cylinder at High Reduced Velocities. Energies, 14(16), 5148. https://doi.org/10.3390/en14165148
