Heat and Mass Transfer Analysis in Chemically Reacting Flow of Non-Newtonian Liquid with Local Thermal Non-Equilibrium Conditions: A Comparative Study
Abstract
:1. Introduction
- ❖ What effects do several significant factors have on the flow, mass, and heat transfer behaviour of Oldroyd-B and Jeffrey liquids?
- ❖ What effects do the increase of different dimensionless variables have on the solid and liquid phase heat transfer rates?
- ❖ What effects do the increase of different dimensionless variables have on skin friction and mass transfer rate?
2. Mathematical Formulation
- The problem represents Jeffrey fluid, if ;
- The problem represents Oldroyd-B liquid, if .
2.1. Similarity Transformations Used in the Model
2.2. The Quantities for Engineering Interest
3. Numerical Procedure
4. Results and Discussion
5. Conclusions
- The increasing values of cause an increase in the of both liquids, but converse behaviour is seen in the of both liquids;
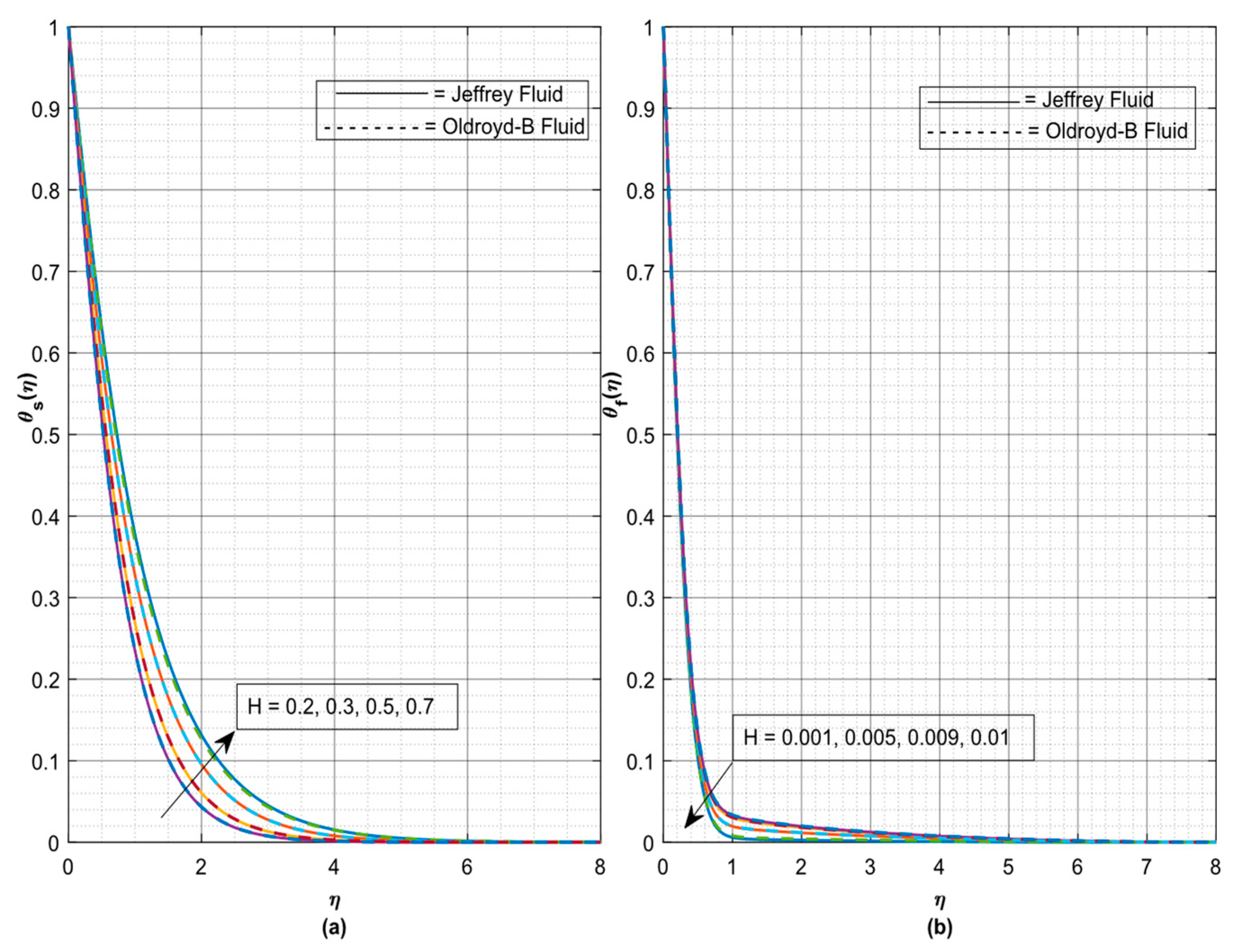
- The liquid- and solid-phase heat transfer of Jeffrey liquids are more than those of Oldroyd-B liquid for increasing values of ;
- The thermal gradient of the solid phase of both liquids drops, while the liquid phase of both liquids increases, as increases;
- Jeffrey liquid shows improved fluid phase-mass transfer and decays more slowly than Oldroyd-B liquid for higher values of both and ;
- The rising values of cause a decrease in the of both liquids, but divergent movement is seen for improved values;
- The escalating values of cause a decrease in the of both fluids, but inverse movement is seen for improved values of .
Author Contributions
Funding
Institutional Review Board Statement
Informed Consent Statement
Data Availability Statement
Acknowledgments
Conflicts of Interest
References
- Nield, D.A.; Bejan, A. Convection in Porous Media; Springer: New York, NY, USA, 1999. [Google Scholar]
- Kuznetsov, A.V.; Nield, D.A. The effect of local thermal nonequilibrium on the onset of convection in a porous medium layer saturated by a nanofluid: Brinkman model. J. Porous Media 2011, 14, 285–293. [Google Scholar] [CrossRef]
- Sheremet, M.; Pop, I.; Nazar, R. Natural convection in a square cavity filled with a porous medium saturated with a nanofluid using the thermal nonequilibrium model with a Tiwari and Das nanofluid model. Int. J. Mech. Sci. 2015, 100, 312–321. [Google Scholar] [CrossRef]
- Prakash, D.; Muthtamilselvan, M.; Niu, X.-D. Unsteady MHD non-Darcian flow over a vertical stretching plate em-bedded in a porous medium with thermal non-equilibrium model. Adv. Appl. Math. Mech. 2016, 8, 52–66. [Google Scholar] [CrossRef]
- Mahajan, A.; Sharma, M.K. Effects of local thermal nonequilibrium on the onset of convection in a magnetic nanofluid layer. Heat Transf. Res. 2020, 51, 689–705. [Google Scholar] [CrossRef]
- Muthtamilselvan, M.; Prakash, D.; Doh, D.-H. Effect of thermal non-equilibrium on transient hydromagnetic flow over a moving surface in a nanofluid saturated porous media. J. Mech. Sci. Technol. 2014, 28, 3709–3718. [Google Scholar] [CrossRef]
- Kumar, R.S.V.; Gowda, R.J.P.; Radhika, M.; Prasannakumara, B.C. Two-phase flow of dusty fluid with suspended hybrid nanoparticles over a stretching cylinder with modified Fourier heat flux. SN Appl. Sci. 2021, 3, 1–9. [Google Scholar] [CrossRef]
- Xiong, P.-Y.; Hamid, A.; Chu, Y.-M.; Khan, M.I.; Gowda, R.J.P.; Kumar, R.N.; Prasannakumara, B.C.; Qayyum, S. Dynamics of multiple solutions of Darcy–Forchheimer saturated flow of Cross nanofluid by a vertical thin needle point. Eur. Phys. J. Plus 2021, 136, 1–22. [Google Scholar] [CrossRef]
- Sharma, M.K.; Mahajan, A. Onset of convection in a magnetic nanofluid-saturated porous medium under local thermal nonequilibrium conditions. Spéc. Top. Rev. Porous Media Int. J. 2021, 12, 59–77. [Google Scholar] [CrossRef]
- Gowda, R.J.P.; Kumar, R.N.; Prasannakumara, B.C. Two-Phase Darcy-Forchheimer Flow of Dusty Hybrid Nanofluid with Viscous Dissipation Over a Cylinder. Int. J. Appl. Comput. Math. 2021, 7, 95. [Google Scholar] [CrossRef]
- Song, Y.-Q.; Khan, M.I.; Qayyum, S.; Gowda, R.J.P.; Kumar, R.N.; Prasannakumara, B.C.; Elmasry, Y.; Chu, Y.-M. Physical impact of thermo-diffusion and diffusion-thermo on Marangoni convective flow of hybrid nanofluid (MnZiFe2O4–NiZnFe2O4–H2O) with nonlinear heat source/sink and radiative heat flux. Mod. Phys. Lett. B 2021, 35, 2141006. [Google Scholar] [CrossRef]
- Khan, M.I.; Qayyum, S.; Shah, F.; Kumar, R.N.; Gowda, R.P.; Prasannakumara, B.; Chu, Y.-M.; Kadry, S. Marangoni convective flow of hybrid nanofluid (MnZnFe2O4-NiZnFe2O4-H2O) with Darcy Forchheimer medium. Ain Shams Eng. J. 2021. [Google Scholar] [CrossRef]
- Gowda, R.P.; Kumar, R.N.; Jyothi, A.; Prasannakumara, B.; Sarris, I. Impact of Binary Chemical Reaction and Activation Energy on Heat and Mass Transfer of Marangoni Driven Boundary Layer Flow of a Non-Newtonian Nanofluid. Processes 2021, 9, 702. [Google Scholar] [CrossRef]
- Kumar, R.S.V.; Dhananjaya, P.G.; Kumar, R.N.; Gowda, R.J.P.; Prasannakumara, B.C. Modeling and theoretical investigation on Casson nanofluid flow over a curved stretching surface with the influence of magnetic field and chemical reaction. Int. J. Comput. Methods Eng. Sci. Mech. 2021, 1–8. [Google Scholar] [CrossRef]
- Gowda, R.J.P.; Kumar, R.N.; Jyothi, A.M.; Prasannakumara, B.C.; Nisar, K.S. KKL correlation for simulation of nanofluid flow over a stretching sheet considering magnetic dipole and chemical reaction. ZAMM J. Appl. Math. Mech./Z. Angew. Math. Mech. 2021, e202000372. [Google Scholar] [CrossRef]
- Sandeep, N.; Kumar, B.R.; Kumar, M.J. A comparative study of convective heat and mass transfer in non-Newtonian nanofluid flow past a permeable stretching sheet. J. Mol. Liq. 2015, 212, 585–591. [Google Scholar] [CrossRef]
- Sandeep, N.; Sulochana, C. Momentum and heat transfer behaviour of Jeffrey, Maxwell and Oldroyd-B nanofluids past a stretching surface with non-uniform heat source/sink. Ain Shams Eng. J. 2018, 9, 517–524. [Google Scholar] [CrossRef] [Green Version]
- Mabood, F.; Bognár, G.; Shafiq, A. Impact of heat generation/absorption of magnetohydrodynamics Oldroyd-B fluid impinging on an inclined stretching sheet with radiation. Sci. Rep. 2020, 10, 17688. [Google Scholar] [CrossRef]
- Ibrahim, W.; Gadisa, G. Finite element solution of nonlinear convective flow of Oldroyd-B fluid with Cattaneo-Christov heat flux model over nonlinear stretching sheet with heat generation or absorption. Propuls. Power Res. 2020, 9, 304–315. [Google Scholar] [CrossRef]
- Khan, S.U.; Al-Khaled, K.; Bhatti, M. Bioconvection analysis for flow of Oldroyd-B nanofluid configured by a convectively heated surface with partial slip effects. Surf. Interfaces 2021, 23, 100982. [Google Scholar] [CrossRef]
- Ali, B.; Hussain, S.; Nie, Y.; Hussein, A.K.; Habib, D. Finite element investigation of Dufour and Soret impacts on MHD rotating flow of Oldroyd-B nanofluid over a stretching sheet with double diffusion Cattaneo Christov heat flux model. Powder Technol. 2020, 377, 439–452. [Google Scholar] [CrossRef]
- Pandikunta, S.; Malleswari, B.; Bhaskar Reddy, N. Electrical resistance heating distribution on three dimen-sional Jeffrey radiating nanofluid flow past stretching surface. J. Comput. Appl. Res. Mech. Eng. (JCARME) 2021. [Google Scholar] [CrossRef]
- Shahzad, F.; Jamshed, W.; Nisar, K.S.; Khashan, M.M.; Abdel-Aty, A.-H. Computational analysis of Ohmic and viscous dissipation effects on MHD heat transfer flow of -PVA Jeffrey nanofluid through a stretchable surface. Case Stud. Therm. Eng. 2021, 26, 101148. [Google Scholar] [CrossRef]
- Rasool, G.; Shafiq, A.; Durur, H. Darcy-Forchheimer relation in Magnetohydrodynamic Jeffrey nanofluid flow over stretching surface. Discret. Contin. Dyn. Syst.-S 2021, 14, 2497. [Google Scholar] [CrossRef]
- Rasheed, H.U.; Al-Zubaidi, A.; Islam, S.; Saleem, S.; Khan, Z.; Khan, W. Effects of Joule Heating and Viscous Dissipation on Magnetohydrodynamic Boundary Layer Flow of Jeffrey Nanofluid over a Vertically Stretching Cylinder. Coatings 2021, 11, 353. [Google Scholar] [CrossRef]
- Ishak, A.; Nazar, R.; Pop, I. Boundary layer flow and heat transfer over an unsteady stretching vertical surface. Meccanica 2008, 44, 369–375. [Google Scholar] [CrossRef]
- Vajravelu, K.; Prasad, K.V.; Ng, C.-O. Unsteady convective boundary layer flow of a viscous fluid at a vertical surface with variable fluid properties. Nonlinear Anal. Real World Appl. 2013, 14, 455–464. [Google Scholar] [CrossRef]
- Kumar, R.N.; Jyothi, A.; Alhumade, H.; Gowda, R.P.; Alam, M.M.; Ahmad, I.; Gorji, M.; Prasannakumara, B. Impact of magnetic dipole on thermophoretic particle deposition in the flow of Maxwell fluid over a stretching sheet. J. Mol. Liq. 2021, 334, 116494. [Google Scholar] [CrossRef]
- Gowda, R.P.; Al-Mubaddel, F.S.; Kumar, R.N.; Prasannakumara, B.; Issakhov, A.; Rahimi-Gorji, M.; Al-Turki, Y.A. Computational modelling of nanofluid flow over a curved stretching sheet using Koo–Kleinstreuer and Li (KKL) correlation and modified Fourier heat flux model. Chaos Solitons Fractals 2021, 145, 110774. [Google Scholar] [CrossRef]
- Mallikarjuna, H.B.; Nirmala, T.; Gowda, R.J.P.; Manghat, R.; Kumar, R.S.V. Two-dimensional Darcy–Forchheimer flow of a dusty hybrid nanofluid over a stretching sheet with viscous dissipation. Heat Transf. 2021, 50, 3934–3947. [Google Scholar] [CrossRef]
- McDade, J.; Phillips, G.; Sivinski, H.; Whitfield, W. Chapter V Principles and Applications of Laminar-flow Devices. Methods Microbiol. 1969, 1, 137–168. [Google Scholar] [CrossRef]
- Everts, M.; Bhattacharyya, S.; Bashir, A.I.; Meyer, J.P. Heat transfer characteristics of assisting and opposing laminar flow through a vertical circular tube at low Reynolds numbers. Appl. Therm. Eng. 2020, 179, 115696. [Google Scholar] [CrossRef]
- Makinde, O.D.; Sandeep, N.; Ajayi, T.M.; Animasaun, I.L. Numerical Exploration of Heat Transfer and Lorentz Force Effects on the Flow of MHD Casson Fluid over an Upper Horizontal Surface of a Thermally Stratified Melting Surface of a Paraboloid of Revolution. Int. J. Nonlinear Sci. Numer. Simul. 2018, 19, 93–106. [Google Scholar] [CrossRef]
- Kumar, R.N.; Gowda, R.P.; Prasanna, G.; Prasannakumara, B.; Nisar, K.S.; Jamshed, W. Comprehensive study of thermophoretic diffusion deposition velocity effect on heat and mass transfer of ferromagnetic fluid flow along a stretching cylinder. Proc. Inst. Mech. Eng. Part E J. Process. Mech. Eng. 2021. [Google Scholar] [CrossRef]
- Gowda, R.J.P.; Rauf, A.; Kumar, R.N.; Prasannakumara, B.C.; Shehzad, S.A. Slip flow of Casson–Maxwell nanofluid confined through stretchable disks. Indian J. Phys. 2021, 1–9. [Google Scholar] [CrossRef]
- Makinde, O.D.; Olanrewaju, P.O. Unsteady mixed convection with soret and dufour effects past a porous plate moving through a binary mixture of chemically reacting fluid. Chem. Eng. Commun. 2011, 198, 920–938. [Google Scholar] [CrossRef]
- Gowda, R.J.P.; Kumar, R.N.; Rauf, A.; Prasannakumara, B.C.; Shehzad, S.A. Magnetized flow of sutterby nanofluid through cattaneo-christov theory of heat diffusion and stefan blowing condition. Appl. Nanosci. 2021, 1–10. [Google Scholar] [CrossRef]
- Woods, L.C. The Thermodynamics of Fluid Systems; Oxford University Press: New York, NY, USA; Clarendon Press: Oxford, UK, 1975; 371p, Available online: https://ui.adsabs.harvard.edu/abs/1975cp...book.....W/abstract (accessed on 6 August 2021).
- Yamaguchi, H. Engineering Fluid Mechanics; Springer: Dordrecht, The Netherlands, 2008. [Google Scholar] [CrossRef] [Green Version]
- Malashetty, M.; Shivakumara, I.; Kulkarni, S. The onset of Lapwood–Brinkman convection using a thermal non-equilibrium model. Int. J. Heat Mass Transf. 2005, 48, 1155–1163. [Google Scholar] [CrossRef]







Publisher’s Note: MDPI stays neutral with regard to jurisdictional claims in published maps and institutional affiliations. |
© 2021 by the authors. Licensee MDPI, Basel, Switzerland. This article is an open access article distributed under the terms and conditions of the Creative Commons Attribution (CC BY) license (https://creativecommons.org/licenses/by/4.0/).
Share and Cite
Alhadhrami, A.; Prasanna, B.M.; K. C., R.P.; Sarada, K.; Alzahrani, H.A.H. Heat and Mass Transfer Analysis in Chemically Reacting Flow of Non-Newtonian Liquid with Local Thermal Non-Equilibrium Conditions: A Comparative Study. Energies 2021, 14, 5019. https://doi.org/10.3390/en14165019
Alhadhrami A, Prasanna BM, K. C. RP, Sarada K, Alzahrani HAH. Heat and Mass Transfer Analysis in Chemically Reacting Flow of Non-Newtonian Liquid with Local Thermal Non-Equilibrium Conditions: A Comparative Study. Energies. 2021; 14(16):5019. https://doi.org/10.3390/en14165019
Chicago/Turabian StyleAlhadhrami, A., B. M. Prasanna, Rajendra Prasad K. C., K. Sarada, and Hassan A. H. Alzahrani. 2021. "Heat and Mass Transfer Analysis in Chemically Reacting Flow of Non-Newtonian Liquid with Local Thermal Non-Equilibrium Conditions: A Comparative Study" Energies 14, no. 16: 5019. https://doi.org/10.3390/en14165019
APA StyleAlhadhrami, A., Prasanna, B. M., K. C., R. P., Sarada, K., & Alzahrani, H. A. H. (2021). Heat and Mass Transfer Analysis in Chemically Reacting Flow of Non-Newtonian Liquid with Local Thermal Non-Equilibrium Conditions: A Comparative Study. Energies, 14(16), 5019. https://doi.org/10.3390/en14165019

