Performance Optimization of Solar-Assisted Heat Pump System for Water Heating Applications
Abstract
1. Introduction
2. Methodology
2.1. Mathematical Modeling
- The system is at a quasi-steady state within the chosen time interval;
- Negligible pressure drops occur in the evaporator, condenser, and piping;
- Both at the exits of the condenser and the evaporator, the refrigerant is considered to be saturated;
- Compression of the refrigerant vapor is assumed to follow a polytropic process;
- Expansion of the refrigerant liquid is considered to be isenthalpic;
2.2. Thermal Performance of the Glazed Flat Plate Collector
3. Experimental Setup and Instrumentation
4. Results and Discussion
4.1. Effects of Different Tube Configurations
4.2. Effect of Different Glazing
5. Conclusions
- The results showed that 30 L of water could be heated from 23 °C to 50 °C in 55 to 75 min when evaporator tubes were soldered above the absorber plate, with energy consumption rates of about 0.30 to 0.39 kWh and with COP values varying between 2.17 and 2.47;
- When evaporator tubes were soldered below the absorber plate, water was heated from 23 °C to 50 °C in 55 to 85 min, while the energy consumption ranged from 0.18 to 0.29 kWh and the COP values of the system ranged from 3.12 to 3.91;
- It is evident that for both cases, the heat gain was almost same, while the maximum COP was achieved in the second case. This result clearly shows that the performance of the system with the below tube arrangement was better than the above tube arrangement;
- The flat plate collector efficiency ranged from 46% to 58% when the tubes were placed below the absorber plate, with F′ values ranging between 0.75 to 0.83. The efficiency ranged between 60% and 75% when the tubes were placed above the absorber plate, with F′ values ranging from 0.91 to 0.95;
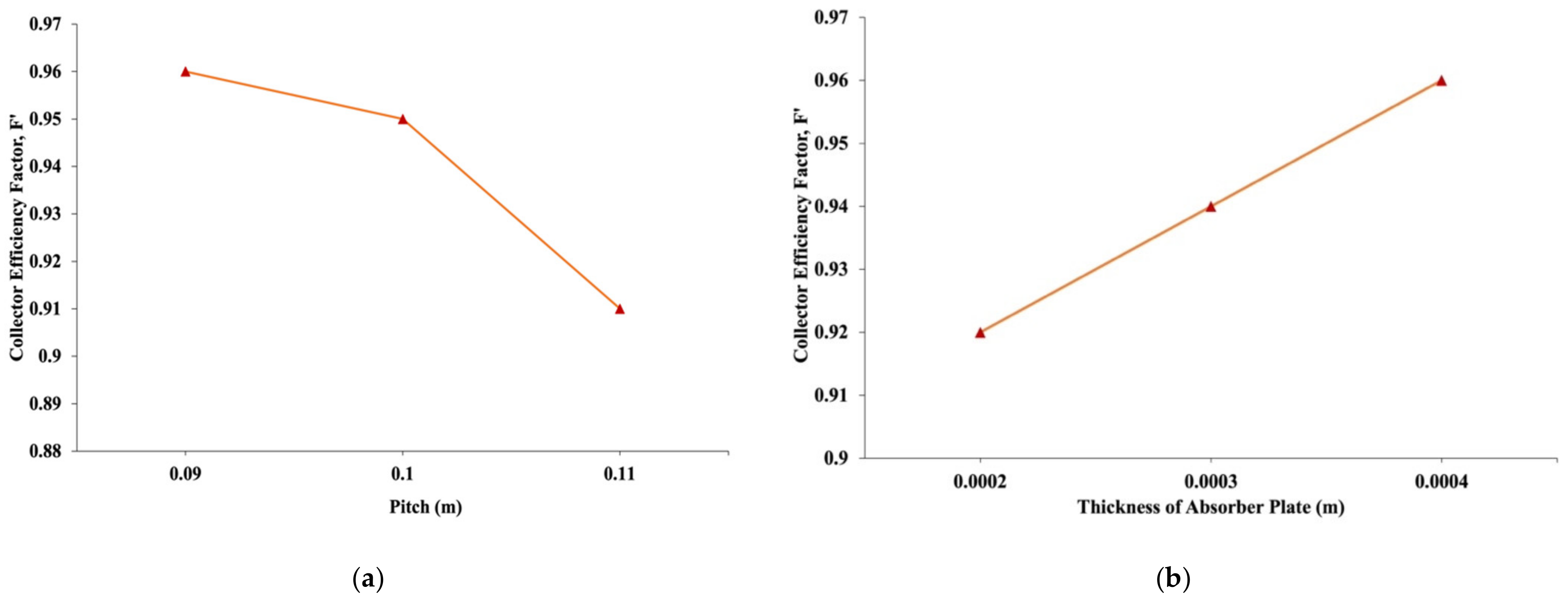
- The efficiency factor of the collector (F′) directly affects the efficiency of the solar flat plate collector (η), which is influenced by two parameters, namely the center-to-center distance of the absorber tubes W and the absorber plate thickness δ. The tube distance W had a strong influence on F′, which resulted in a decrease in F′ with an increase in W. Consequently, by increasing the thickness of the absorber plate, a significant increase in F′ was observed;
- For different glazing arrangements, the results showed that in the SAHPSWH, 30 L of water could be heated from 20 to 50 °C in 95–110 min with single glazing and with energy consumption of about 0.35 to 0.43 kWh and with COP ranging from 2.26 to 2.98. In the second case, the SAHPSWH with the double-glazed flat plate collector heated 30 L of water in the morning session from 20 to 50 °C in about 55–90 min, with energy consumption of about 0.25 to 0.34 kWh and with COP values ranging from 2.86 to 3.89. For both cases, the energy gain was almost same. This result clearly shows that the system performance with the double-glazed flat plate collector was better than with the single-glazed flat plate collector in the SAHPSWH;
- The collector efficiency is strongly influenced by the parameter (Ti–Ta)/IT; if this parameter increases then collector efficiency decreases, because the slope of this line – (FR UL) represents the rate of heat loss from the collector. This slope decreased as the number of glazing layers increased from zero to three.
Author Contributions
Funding
Data Availability Statement
Acknowledgements
Conflicts of Interest
Nomenclature
| Symbol | Nomenclature | Unit |
| c | Specific heat capacity | Jkg−1K−1 |
| M | Number of covers | - |
| COP | Coefficient of performance | - |
| Ac | Area of collector | m2 |
| hw | Wind heat transfer coefficient | Wm−2K−1 |
| IT | Incident solar radiation on the collector | Wm−2 |
| KP | Thermal conductivity of absorber plate | Wm−1K−1 |
| Qu | Useful heat gain by collector | W |
| Ta | Ambient temperature | |
| TP | The temperature of the absorber plate | |
| UL | Overall heat loss coefficient | Wm−2C−1 |
| Ut | Top loss coefficient | Wm−1K−1 |
| Ub | Bottom loss coefficient | Wm−1K−1 |
| Ue | Edge loss coefficient | Wm−1K−1 |
| V | Wind velocity | ms−1 |
| F′ | Collector efficiency factor | - |
| Te | Evaporator temperature | |
| Emissivity of absorber plate | - | |
| Emissivity of glass cover | - | |
| β | Inclination angle of collector | ° |
| W | Pitch of tubes | m |
| b | Width of bond | m |
| Do | Tube outside diameter | m |
| Di | Tube inside diameter | m |
| hfi | Inlet fluid heat transfer coefficient | Wm−2K−1 |
| Cbond | Bond conductance | mKW−1 |
| F | Fin efficiency | - |
| Thickness of absorber plate | m | |
| Mass flow rate of the refrigerant (R-134a) | Kgs−1 | |
| Volumetric efficiency of the collector | - | |
| P2 | Pressure at the outlet of compressor–inlet of condenser | Kgs−1 |
| P1 | Pressure at the inlet of compressor–exit of evaporator | Kgs−1 |
| Efficiency | - |
References
- Aggarwal, V.; Meena, C.S.; Kumar, A.; Alam, T.; Kumar, A.; Ghosh, A.; Ghosh, A. Potential and future prospects of geothermal energy in space conditioning of buildings: India and worldwide review. Sustainability 2020, 12, 8428. [Google Scholar] [CrossRef]
- Agarwal, N.; Meena, C.S.; Raj, B.P.; Saini, L.; Kumar, A.; Gopalakrishnan, N.; Kumar, A.; Balam, N.B.; Alam, T.; Kapoor, N.R.; et al. Indoor Air Quality Improvement in COVID-19 Pandemic: Review. Sustain. Cities Soc. 2021, 70, 102942. [Google Scholar] [CrossRef] [PubMed]
- Zeng, R.; Wang, X.; Di, H.; Jiang, F.; Zhang, Y. New concepts and approach for developing energy efficient buildings: Ideal specific heat for building internal thermal mass. Energy Build. 2011, 43, 1081–1090. [Google Scholar] [CrossRef]
- Bellos, E.; Tzivanidis, C.; Moschos, K.; Antonopoulos, K.A. Energetic and financial evaluation of solar assisted heat pump space heating systems. Energy Convers. Manag. 2016, 120, 306–319. [Google Scholar] [CrossRef]
- Huang, Y.; Niu, J.; Chung, T. Study on performance of energy-efficient retrofitting measures on commercial building external walls in cooling-dominant cities. Appl. Energy 2013, 103, 97–108. [Google Scholar] [CrossRef]
- Tzivanidis, C.; Bellos, E.; Mitsopoulos, G.; Antonopoulos, K.A.; Delis, A. Energetic and financial evaluation of a solar assisted heat pump heating system with other usual heating systems in Athens. Appl. Therm. Eng. 2016, 106, 87–97. [Google Scholar] [CrossRef]
- Nozik, A.J. Photoelectrochemistry: Applications to Solar Energy Conversion. Ann. Rev. Phys. Chem. 2003, 29, 189–222. [Google Scholar] [CrossRef]
- Lewis, N.S. Toward cost-effective solar energy use. Science 2007, 315, 798–801. [Google Scholar] [CrossRef]
- Li, B. Integration of Solar Systems with Heat Pumps and Other Technologies. In Handbook of Energy Systems in Green Buildings; Wang, R., Zhai, X., Eds.; Springer: Berlin/Heidelberg, Germany, 2017; pp. 1372–1407. [Google Scholar]
- Tagliafico, L.A.; Scarpa, F.; Valsuani, F. Direct Expansion Solar-Assisted Heat Pumps—A Clean Steady State Approach for Overall Performnace Analysis. Appl. Therm. Eng. 2014, 66, 216–226. [Google Scholar] [CrossRef]
- Alam, T.; Meena, C.S.; Balam, N.B.; Kumar, A.; Cozzolino, R. Thermo-Hydraulic Performance Characteristics and Optimization of Protrusion Rib Roughness in Solar Air Heater. Energies 2021, 14, 3159. [Google Scholar] [CrossRef]
- Fernández-seara, J.; Piñeiro, C.; Dopazo, J.A.; Fernandes, F.; Sousa, P.X.B. Experimental analysis of a direct expansion solar assisted heat pump with integral storage tank for domestic water heating under zero solar radiation conditions. Energy Convers. Manag. 2012, 59, 1–8. [Google Scholar] [CrossRef]
- Li, Y.; Kao, W. Performance analysis and economic assessment of solar thermal and heat pump combisystems for subtropical and tropical region. Sol. Energy 2017, 153, 301–316. [Google Scholar] [CrossRef]
- Nuntaphan, A.; Chansena, C.; Kiatsiriroat, T. Performance analysis of solar water heater combined with heat pump using refrigerant mixture. Appl. Energy 2009, 86, 748–756. [Google Scholar] [CrossRef]
- Huan, C.; Li, S.; Wang, F.; Liu, L.; Zhao, Y.; Wang, Z.; Tao, P. Performance Analysis of a Combined Solar-Assisted Heat Pump Heating System in Xi’an, China. Energies 2019, 12, 2515. [Google Scholar] [CrossRef]
- Kong, X.; Li, J.; Wang, B.; Li, Y. Numerical study of a direct-expansion solar-assisted heat pump water heater under frosting conditions based on experiments. Sol. Energy 2020, 196, 10–21. [Google Scholar] [CrossRef]
- Cutic, T.; Pasanec, J.; Baleta, J.; Soldo, V.; Curko, T. Mobile Solar-Assisted Heat Pump with Direct Expansion. In Proceedings of the EuroSun 2012—ISES Europe Solar Conference, Rijeka, Croatia, 18–20 September 2012. [Google Scholar]
- Bastos, H.M.C.; Torres, P.J.G.; Álvarez, C.E.C. Numerical simulation and experimental validation of a solar-assisted heat pump system for heating residential water. Int. J. Refrig. 2018, 86, 28–39. [Google Scholar] [CrossRef]
- Buker, M.S.; Riffat, S.B. Solar assisted heat pump systems for low temperature water heating applications: A systematic review. Renew. Sustain. Energy Rev. 2016, 55, 399–413. [Google Scholar] [CrossRef]
- Chaturvedi, S.K.; Abdel-Salam, T.M.; Sreedharan, S.S.; Gorozabel, F.B. Two-Stage Direct Expansion Solar-Assisted Heat Pump for High Temperature Applications. Appl. Therm. Eng. 2009, 29, 2093–2099. [Google Scholar] [CrossRef]
- Morrison, G.L. Simulation of Packaged Solar Heat Pump Water Heaters. Sol. Energy 1994, 53, 149–257. [Google Scholar] [CrossRef]
- Mehdaoui, F.; Hazami, M.; Naili, N.; Farhat, A. Energetic performances of an Optimized Passive Solar Heating Prototype used for Tunisian Buildings Air Heating Applications. Energy Convers. Manag. 2014, 87, 285–296. [Google Scholar] [CrossRef]
- Bridgeman, A.G. Experimental Analysis of an Indirect Solar Assisted Heat Pump for DomesticWater Heating. Ph.D. Thesis, Queen’s University, Kinsgton, ON, Canada, 2010. [Google Scholar]
- DeGrove, J.M. The Integration of Heat Resources in a Solar Thermal Heat Pump Hydronic System. Ph.D. Thesis, Purdue University, West Lafayette, IN, USA, 2015. [Google Scholar]
- Khalaf, K. Experimental Characterization and Modelling of a Heat Pump Water Heater. Ph.D. Thesis, Carleton University, Ottawa, ON, Canada, 2017. [Google Scholar]
- Fu, Y. Investigation of Solar Assisted Heat Pump System Integrated with High Rise Residential Building. Ph.D. Thesis, University of Nottingham, Nottingham, UK, 2014. [Google Scholar]
- Hu, Z.; Zhang, S.; Chu, W.; He, W.; Yu, C.; Yu, H. Numerical Analysis and Preliminary Experiment of a Solar Assisted Heat Pump Drying System for Chinese Wolfberry. Energies 2020, 13, 4306. [Google Scholar] [CrossRef]
- Valancius, R.; Singh, R.M.; Jurelionis, A.; Vaiciunas, J. A Review of Heat Pump Systems and Applications in Cold Climates: Evidence from Lithuania. Energies 2019, 12, 4331. [Google Scholar] [CrossRef]
- Zhao, Z.; Zhang, Y.; Mi, H.; Zhou, Y.; Zhang, Y. Experimental Research of a Water-Source Heat Pump Water Heater System. Energies 2018, 11, 1205. [Google Scholar] [CrossRef]
- Mohanraj, M.; Belyayev, Y.; Jayaraj, S.; Kaltayev, A. Research and developments on solar assisted compression heat pump systems–A comprehensive review (Part A: Modeling and modifications). Renew. Sustain. Energy Rev. 2018, 83, 90–123. [Google Scholar] [CrossRef]
- Thygesen, R. An Analysis of Different Solar-Assisted Heating Systems and Their Effect on the Energy Performance of Multifamily Buildings—A Swedish Case. Energies 2017, 10, 88. [Google Scholar] [CrossRef]
- Klein, S.A. Calculation of Flat Plate Collector Loss Coefficients. Sol. Energy 1975, 17, 79–80. [Google Scholar] [CrossRef]
- Duffie, J.A.; Beckman, W.A. Solar Engineering of Thermal Processes; John Wiley and Sons, Inc.: Hoboken, NJ, USA, 1991; pp. 164–165. [Google Scholar]
- Duffie, J.A.; Beckman, W.A. Solar Engineering of Thermal Processes; John Wiley and Sons, Inc.: Hoboken, NJ, USA, 1991; pp. 148–149. [Google Scholar]
- Chyng, J.P.; Lee, C.P.; Haung, B.J. Performance analysis of a solar-assisted heat pump water heater. Sol. Energy 2003, 74, 33–44. [Google Scholar] [CrossRef]


















| Measuring Instrument | Measurement Range | Uncertainty |
|---|---|---|
| Type 1 thermocouple | −50–99 °C | ±0.1 °C |
| Type 2 thermocouple | −100–200 °C | ±0.1 °C |
| Pressure gauge (bourdon type) | 600–4000 mbar | ±1% |
| Pyranometer TBQ-2 | 0–2000 Wm−2 | 7–14 µV·W−1m2 |
| Anemometer | 0.9–0.35 m/s | 0.2–0.6% |
| Geometrical Data | Physical Data | ||
|---|---|---|---|
| W (m) | 0.1 | IT (Wm−2) | 284–705 |
| Di (m) | 0.0078 | UL (Wm−2K−1) | 5.26–6.08 |
| Do (m) | 0.0085 | hfi (Wm−2K−1) | 1000 |
| δ (m) | 0.0003 | k (Wm−1K−1) | 387 |
| Ac (m2) | 2.23 | τ α | 0.8 |
| (a) Above the Plate | (b) Below the Plate | ||||
|---|---|---|---|---|---|
| Test | F′ | η/100 | Test | F′ | η/100 |
| Day 1 | 0.8 | 0.54 | Day 1 | 0.95 | 0.75 |
| Day 2 | 0.82 | 0.58 | Day 2 | 0.95 | 0.72 |
| Day 3 | 0.79 | 0.56 | Day 3 | 0.94 | 0.69 |
| Different Configuration | Temperature Raised | Energy Consumption (KWh) | Time (min) | COP |
|---|---|---|---|---|
| Tube above absorber plate | 27 °C | 0.30–0.39 | 55–75 | 2.17–2.47 |
| Tube below absorber plate | 27 °C | 0.18–0.29 | 55–85 | 3.12–3.91 |
| Single glazing | 30 °C | 0.35–0.43 | 95–110 | 2.26–2.98 |
| Double glazing | 30 °C | 0.25–0.34 | 55–90 | 2.86–3.89. |
Publisher’s Note: MDPI stays neutral with regard to jurisdictional claims in published maps and institutional affiliations. |
© 2021 by the authors. Licensee MDPI, Basel, Switzerland. This article is an open access article distributed under the terms and conditions of the Creative Commons Attribution (CC BY) license (https://creativecommons.org/licenses/by/4.0/).
Share and Cite
Meena, C.S.; Raj, B.P.; Saini, L.; Agarwal, N.; Ghosh, A. Performance Optimization of Solar-Assisted Heat Pump System for Water Heating Applications. Energies 2021, 14, 3534. https://doi.org/10.3390/en14123534
Meena CS, Raj BP, Saini L, Agarwal N, Ghosh A. Performance Optimization of Solar-Assisted Heat Pump System for Water Heating Applications. Energies. 2021; 14(12):3534. https://doi.org/10.3390/en14123534
Chicago/Turabian StyleMeena, Chandan Swaroop, Binju P Raj, Lohit Saini, Nehul Agarwal, and Aritra Ghosh. 2021. "Performance Optimization of Solar-Assisted Heat Pump System for Water Heating Applications" Energies 14, no. 12: 3534. https://doi.org/10.3390/en14123534
APA StyleMeena, C. S., Raj, B. P., Saini, L., Agarwal, N., & Ghosh, A. (2021). Performance Optimization of Solar-Assisted Heat Pump System for Water Heating Applications. Energies, 14(12), 3534. https://doi.org/10.3390/en14123534
