The Effectiveness of Energy Cooperatives Operating on the Capacity Market
Abstract
1. Introduction
2. Background—The Capacity Market in Poland
- Missing money;
- Missing capacity.
- Supporting renewable energy sources (RES) outside the wholesale market area;
- RES operating on low variable costs;
- RES performance characteristics not always ensuring energy security.
3. Materials and Methods (Optimization Model)
3.1. Assumptions for the Creation of a Sample of Energy Cooperatives for Simulation Purposes
3.2. Characteristics of Energy Cooperatives and Energy Storage Used in the Study
- The location character—the simulation was made for participants in two southern voivodeships (administrative divisions) of Poland, Małopolskie and Śląskie, and the selection took account of different locations of municipalities within the voivodeships. The selection of two different voivodeships was also intended to reflect potentially different insulation levels and thus the efficiency of generation.
- A different level (scale) of electricity demand—this resulted in cooperatives with a demand ranging from 762 MWh/year to 9759 MWh/year. Within this criterion, participants were also selected taking account of the diversity of their individual energy demands. The cooperative consisted of participants with negligible consumption, oscillating around one MWh/year, up to 3.5 GWh.
- The nature of participants’ business activities—the selection of participants reflected the division in Polish law according to PKD codes (Polish Classification of Activities) relevant to typical agricultural activities, i.e., crop, vegetable, cereal production, raising of poultry, pigs and cattle, as well as services for the agricultural sector. The complete classification is shown in Table 1.
- The electricity consumption profile of each member of the cooperative—the full range and variety of possible tariffs applicable in Poland for the members of energy cooperatives was taken into account. All analytical scenarios included entities belonging to one-, two- or three-zone tariffs, thus mapping the diverse nature of energy consumption. The affiliation of differently profiled members to specific cooperatives is shown in Table 1.
- Moreover, for the simulations and research, and in order to generalize the results and reflect the energy effects seen from the perspective of minimizing the sum of energy taken from the network and unused energy within the network storage (virtual network deposit), reference models of one hundred energy cooperatives were constructed, each with a variable population size from 10 to 50 members with increments of 10.
3.3. The Optimization Model
| Algorithm 1. |
| subject to def_EnergyBalance{h in Hours}: EnergyDemand[h] = BuyFromNetwork[h] + sum{e in EnergySources} Production[e,h] + PickUpFromNetwork[h] - SendToNetwork[h] + PickUpFromBattery[h] - SendToBattery[h] ; |
| Algorithm 2. |
| subject to constr_SingleComponentBatteryFlow{h in Hours}: SendToBatteryIndicator[h] + PickUpFromBatterylndicator[h] < = 1; |
| Algorithm 3. |
| subject to def_EnergyBattery{h in Hours}: Battery[h] = if(h=1) then 0 else ( Battery[h-1] - PickUpFromBattery[h] + SendToBattery[h] ); |
| Algorithm 4. |
| minimize objective: sum{h in EndsOfBillingPeriods} Storage[h] + sum{h in Hours} BuyFromNetwork[h] ; |
4. Results and Discussion
4.1. Simulation Results for Dedicated and Reference Agricultural Energy Cooperatives
- As energy storage capacity increases, the optimization product, which is the sum of energy taken from the network and unused energy within the network deposit at the end of the billing period, decreases nonlinearly.
- The increase in the number of members of the cooperative does not directly relate to the dynamics and profile of dependency of the optimization effect as a function of storage (battery) capacity. This is exemplified by the results for CP1 and CP4, for which the sequence characteristics are very similar, despite differences in cooperative sizes, energy consumption levels and generation-source capacity levels.
- Noteworthy is the fact of different dynamics of the optimization effect in the context of different structures of energy generation within cooperatives. The highest dynamics of the optimization effect is observed for cooperative CP3, where the generation is based on PV only. As capacity increases in profile-stable generation sources, the dynamics decrease, e.g., CP2.
- Regardless of the number of cooperative members, it can be observed that, for small storage capacities, the optimization effect increment is the largest. On this basis, it can be concluded that there is no justification for increasing the storage capacity beyond a specified inflection point of the curve, which is particularly evident in the case of CP3 or CP2.
- The average improvement in the optimization effect relative to the scenario without the energy storage varies and, depending on the size of the cooperative, ranges from about 15% for CP2 to about 35% for CP1.
- Half of the average optimization effect can be obtained for the following energy storage capacities:
- ◯
- 6000 kWh; CP1; half of the average effect: 16.5%;
- ◯
- 900 kWh; CP2; half of the average effect: 8.5%;
- ◯
- 300 kWh; CP3; half of the average effect: 14.9%;
- ◯
- 6000 kWh; CP4; half of the average effect: 9.3%;
- ◯
- 6500 kWh; CP5; half of the average effect: 8.9%.
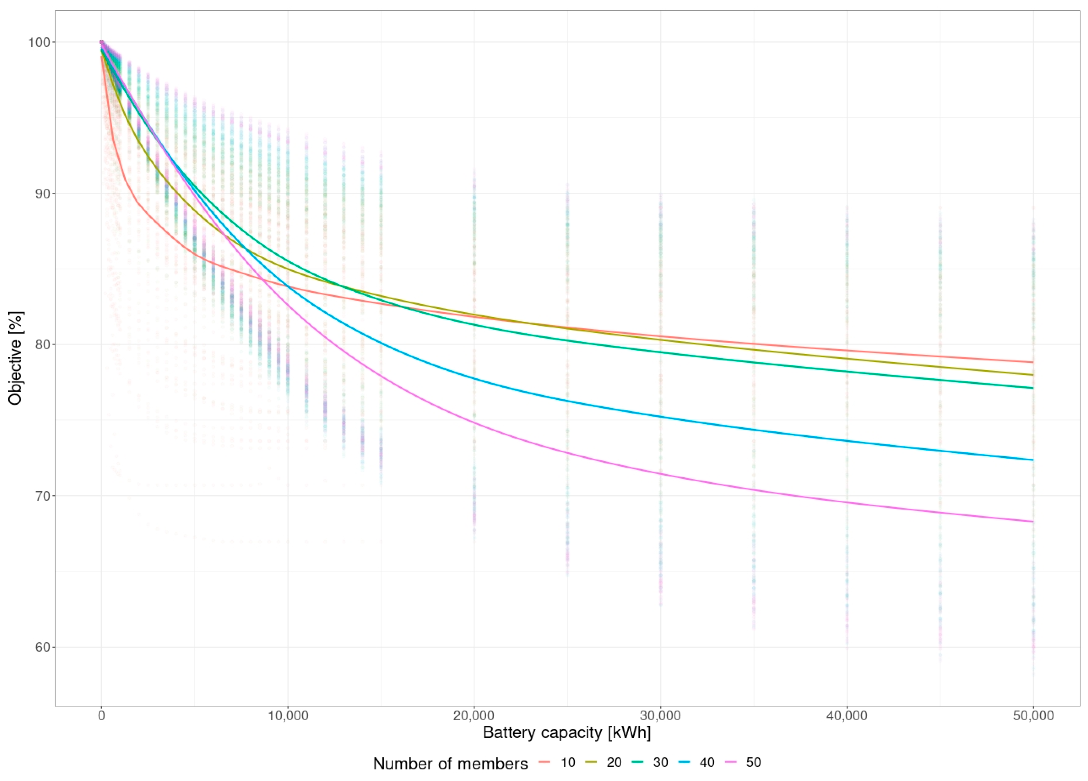
- As the energy storage capacity increases, the optimization product, which is the sum of energy taken from the network and unused energy within the network deposit at the end of the billing period, decreases nonlinearly.
- The increase in the number of members of the cooperative affects the dynamics and profile of dependency of the optimization effect as a function of the storage capacity. The higher the number of cooperative members, the milder and shallower is the effect for small capacities and the deeper it is for large storage capacities. The differences between the average level of the optimization effect for the maximum storage capacity analyzed reach 10%.
- Regardless of the number of cooperative members, it can be observed that, for small storage capacities, the optimization effect increment is the largest. On this basis, it can be concluded that there is no justification for increasing the storage capacity beyond the established inflection point of the curve.
- The average improvement in the optimization effect relative to the scenario without the energy storage varies and, depending on the size of the cooperative, ranges from about 30% for 50 cooperative members to about 20% for 10 cooperative members.
- The application of a real energy store makes it possible to limit the sum of energy introduced into the network deposit and the energy lost at the end of the billing period by a value within the range of 10.93% to 41.83%. However, achieving this effect would require the use of storage systems with large power and capacity, which is currently not economically justified. It was therefore assumed that the optimum storage capacity would reflect the achievable half of the maximum optimization effect, and the average benefit values for this scenario are shown in Figure 3.
- The analyses and simulation results show that the real energy store should only have an on-demand role. The operation of an energy cooperative based on the discount model and the temporary deposition of energy in the operator’s network enables effective volumetric balancing in the long term. Both storage environments, i.e., the real one (energy storage) and the virtual one (virtual deposit) within the operator’s network, are complementary, which makes it possible to significantly improve the volumetric balance that simultaneously burdens the distribution network and maximizes self-consumption. The proposed approach is one of the possible ways to benefit from the storage system. The results of alternative studies show the importance of the predictions made and the optimized target function [54].
- Half of the average optimization effect can be obtained for the following energy storage capacities and set size scenarios:
- ◯
- 2000 kWh; size: 10 members; half of the average effect: 10.6%;
- ◯
- 5000 kWh; size: 20 members; half of the average effect: 11.0%;
- ◯
- 6500 kWh; size: 30 members; half of the average effect: 11.4%;
- ◯
- 8000 kWh; size: 40 members; half of the average effect: 13.8%;
- ◯
- 8500 kWh; size: 50 members; half of the average effect: 15.8%.
- In the context of the potential benefits of energy storage, the use of high-capacity storage systems is not justified. Half of the optimization effect is obtained for storage capacities between 4% (for cooperatives with 10 members) and 17% (for cooperatives with 50 members) of the maximum capacity analyzed.
- As the number of members of energy cooperatives increases, the average value of the benefit identical to minimizing the sum of the purchase of energy from the network, as well as the condition of the network deposit at the end of the billing period, approaches the maximum possible effects of optimization.
- The increase in size also results in a smoothing of the dependence profile of the optimization effect as a function of storage capacity. For a cooperative with 50 members, the dynamics of changes in characteristics in a range between 0 and 8500 kWh are significantly lower than for a cooperative with 10 members and a range between 0 and 2000 kWh.
- The benefit of applying real storage systems is greater in the case of the dominance of wind and PV sources; this conclusion will be justified using data-mining techniques in Section 3 of this article.
4.2. Results and Evaluation of the Volumetric Effect of Energy Storage
- The reduction in the average percentage level of energy consumption subject to the capacity fee increases with the size of the reference cooperative from 0.6% for 10 members to 1.0% for 50 members.
- The increment in the average level of self-consumption increases with the size of the reference cooperative from 1.9% for 10 members to 3.7% for 50 members.
- The average level of reduction in energy consumption from the network increases with the size of the reference cooperative by 1.3% for 10 members and by 2.5% for 50 members.
- The maximum difference in reduction levels of energy consumption from the network in relation to demand ranges from 0.5% to 4.7%.
- The analysis of the results for cooperatives CP1-CP5 does not provide unambiguous conclusions and regularities because it refers to specific, individual cases characterized by a different production and consumption structure and the level of the storage capacities analyzed.
4.3. Application of Decisions Trees to Assess the Effect of Energy Storage
5. Conclusions
- Both the analyses of five specific energy cooperatives and the simulations designed to represent the reference nature of cooperatives confirm that, in each case, the installation of real energy storage systems allows only for a partial minimization of the volume of energy taken from the network during the hours and days when the capacity charges are in force. Depending on the scenario analyzed, an improvement in the average level of volume reduction from 0.6% to 1.0% was achieved, and the maximum value was 2.4%.
- The results confirm that oversizing the storage capacity has no or a negligible effect. Obtaining half of the effect as the aim of optimization was already possible at the capacity of a few or several percentage points of the maximum capacity analyzed.
- The use of real energy storage systems makes it possible to reduce the level of energy taken from the network and not from one’s own production. The maximum differences of reduction levels of energy consumption from the network in relation to demand range from 0.5% to 4.7%. In addition, the regularity indicating that the increase in this effect corresponds to the increase in the size of the reference cooperative seems to be important.
- The ability to change the nature of the use of the storage operation in the hourly interval (charging/discharging) further makes it possible to improve the self-consumption rate, which varied between 1.9% and 3.7% for 10 and 50 cooperative members, respectively.
- Based on the volumetric results, it can be concluded that the construction of a real energy store cannot be treated as a “universal” and appropriate tool for improving the efficiency of cooperatives.
- The study also makes it possible to evaluate the optimization effect, taking into account both the real energy storage and the nature of generation. The storage effect is maximized when up to 75% of the generation is from wind and photovoltaic sources, and only 25% from hydro, biogas and biomass sources.
- The real storage of energy within energy cooperatives, integrating the already optimally selected participants, does not result in a significant improvement in the objective function. The reduction in energy intake from the network and the increase in self-consumption always occur but, in the authors’ opinion, the scale of the phenomenon is not satisfactory. The storage analysis should be carried out individually for each configuration of the cooperative. This conclusion indicates that the main purpose of the article, which was to present the results of the assessment of the actual impact of energy storage on operational efficiency, was fairly presented. Energy storage is therefore an interesting area for further in-depth exploration and research, and sensitivity analyses should take into account (i) different charging and discharging time regimes; (ii) mapping investment outlays and operating costs as a function of time; (iii) leveled cost of electricity (LCOE); (iv) predicted improvement in storage efficiency due to advancing technology, quantum batteries [57,58] and propensity to change social behavior [59]; and (v) the fact that effect and prices in the dual market for energy and capacity seem to be particularly valuable. These topics will be the subject of further research by the authors.
Author Contributions
Funding
Institutional Review Board Statement
Informed Consent Statement
Data Availability Statement
Conflicts of Interest
References
- European Commission. Communication from the Commission to the European Parliament, the Council, the European Economic and Social Committee and the Committee of the Regions; European Climate Pact—COM(2020) 788 Final; European Commission: Brussels, Belgium, 2020. [Google Scholar]
- Wojcik-Jurkiewicz, M.; Lubicz-Posochowska, A.; Czarnecka, M.; Kinelski, G.; Sadowska, B. Legal aspects of sharing economy: The case of games’ platforms. Eur. Res. Stud. J. 2021, 24, 1196–1210. [Google Scholar] [CrossRef]
- European Commission. New Circular Economy Action Plan. Available online: https://ec.europa.eu/commission/presscorner/detail/en/ip_20_420 (accessed on 12 April 2021).
- Cuenca, J.; Jamil, E.; Hayes, B. Energy communities and sharing economy concepts in the electricity sector: A survey. In Proceedings of the 2020 IEEE International Conference on Environment and Electrical Engineering and 2020 IEEE Industrial and Commercial Power Systems Europe (EEEIC/I&CPS Europe), Madrid, Spain, 9–12 June 2020; pp. 1–6. [Google Scholar]
- European Commission. Sustainable Batteries for a Circular and Climate Neutral Economy. Available online: https://ec.europa.eu/commission/presscorner/detail/en/ip_20_2312 (accessed on 12 April 2021).
- European Commission. European Green Deal. Available online: https://ec.europa.eu/info/strategy/priorities-2019-2024/european-green-deal_en (accessed on 12 April 2021).
- European Commission. State of the Union: Commission Raises Climate Ambition and Proposes 55% Cut in Emissions by 2030. Available online: https://ec.europa.eu/commission/presscorner/detail/en/ip_20_1599 (accessed on 12 April 2021).
- Clean Energy for All Europeans Package. Available online: https://ec.europa.eu/energy/topics/energy-strategy/clean-energy-all-europeans_en (accessed on 18 November 2020).
- Energy Community. Available online: https://www.emissions-euets.com/internal-electricity-market-glossary/2095-energy-community (accessed on 12 April 2021).
- Mucha-Kuś, K.; Sołtysik, M.; Zamasz, K.; Szczepańska-Woszczyna, K. Coopetitive nature of energy communities—The energy transition context. Energies 2021, 14, 931. [Google Scholar] [CrossRef]
- The European Parliament and The Council of the European Union. Directive (EU) 2018/2001 of the European Parliament and of the council of 11 December 2018 on the promotion of the use of energy from renewable sources. Off. J. Eur. Union 2018, 328, 82–209.
- Lowitzsch, J.; Hoicka, C.E.; van Tulder, F.J. Renewable energy communities under the 2019 European clean energy packae—Governance model for the energy clusters of the future? Renew. Sustain. Energy Rev. 2020, 122, 109489. [Google Scholar] [CrossRef]
- The European Parliament and The Council of the European Union. Directive (EU) 2019/944 of the European Parliament and of the Council of 5 June 2019 on common rules for the internal market for electricity and amending directive 2012/27/EU. Off. J. Eur. Union 2018, 158, 125–199. [Google Scholar]
- Ghiani, E.; Giordano, A.; Nieddu, A.; Rosetti, L.; Pilo, F. Planning of a smart local energy community: The case of Berchidda municipality (Italy). Energies 2019, 12, 4629. [Google Scholar] [CrossRef]
- Kucharska, A.P. “Czysta energia dla wszystkich Europejczyków”—Konsekwencje wdrażania polityk europejskich dla polskich inicjatyw energetycznych (EN: “Clean Energy for All Europeans” package—Consequences of implementing European policies for Polish energy initiatives). Energ. Rozproszona 2020, 2, 37–44. [Google Scholar]
- Czarnecka, M. Development of energy clusters in Poland—General remarks. Stud. Prawno Ekon. 2018, 109. [Google Scholar] [CrossRef]
- Jasiński, J.; Kozakiewicz, M.; Sołtysik, M. Determinants of energy cooperatives’ development in rural areas—Evidence from Poland. Energies 2021, 14, 319. [Google Scholar] [CrossRef]
- Tucki, K.; Orynycz, O.; Wasiak, A.; Świć, A.; Dybaś, W. Capacity market implementation in Poland: Analysis of a survey on consequences for the electricity market and for energy management. Energies 2019, 12, 839. [Google Scholar] [CrossRef]
- Ministry of Climate. Poland Polish Implementation Plan (Amended Version). Available online: https://ec.europa.eu/energy/sites/default/files/polish_implementation_plan_final_courtesy_translation.pdf (accessed on 14 February 2021).
- Mucha-Kuś, K.; Sołtysik, M.; Zamasz, K. Capacity market in contemporary economic policy. In Capacity Market in Contemporary Economic Policy; Difin: Warsaw, Poland, 2015; ISBN 978-83-7930-967-2. [Google Scholar]
- Janosz, A.; Sołtysik, M. Customer in the capacity market in the context of qualitative regulation model. In Capacity Market in Contemporary Economic Policy; Difin: Warsaw, Poland, 2015; ISBN 978-83-7930-967-2. [Google Scholar]
- Zamasz, K. Efektywność Ekonomiczna Przedsiębiorstwa Energetycznego w Warunkach Wprowadzenia Rynku Mocy; (Economic Efficiency of an Energy Company in the Conditions of Operation on the Capacity Market); PWN: Warsaw, Poland, 2015; ISBN 978-83-01-18378-3. [Google Scholar]
- Gawlikowska-Fyk, A. Capacity Market for Review. Analysis of the Results of Three Auctions. Available online: https://www.forum-energii.eu/en/analizy/rynek-mocy-do-przegladu (accessed on 14 February 2021).
- Poland’s Energy Regulatory Office (URE). Electricity Rates in Poland in 2021. Available online: https://www.ure.gov.pl/pl/urzad/informacje-ogolne/aktualnosci/9163,Jak-zmienia-sie-nasze-rachunki-za-energie-elektryczna-w-przyszlym-roku.html (accessed on 14 February 2021).
- Dolatowski, M. Capacity Fee: A Significant Increase in Electricity Prices from 2021; Wardyński & Partners: Warsaw, Poland, 2020. [Google Scholar]
- Bloomberg: EUR to PLN Exchange Rate. Available online: https://www.bloomberg.com/quote/EURPLN:CUR (accessed on 12 April 2021).
- Ministerstwo Klimatu i Środowiska. Rozporządzenie Ministra Klimatu i Środowiska z Dnia 9 Listopada 2020 r. w Sprawie Pobierania Opłaty Mocowej i Wyznaczania Godzin Doby Przypadających Na Szczytowe Zapotrzebowanie Na Moc w Systemie; (Regulation of the Minister of Climate and Environment of 9 November 2020 on Charging the Capacity Fee and Determining the Hours of the Day Corresponding to the Peak Demand for Power in the System); (Dz. U. z 2020 r. Poz. 2009); Ministerstwo Klimatu: Warsaw, Poland, 2020. [Google Scholar]
- Andrychowicz, M. RES and ES integration in combination with distribution grid development using MILP. Energies 2021, 14, 383. [Google Scholar] [CrossRef]
- Matthiss, B.; Momenifarahani, A.; Binder, J. Storage placement and sizing in a distribution grid with high PV generation. Energies 2021, 14, 303. [Google Scholar] [CrossRef]
- Andrychowicz, M. Comparison of the use of energy storages and energy curtailment as an addition to the allocation of renewable energy in the distribution system in order to minimize development costs. Energies 2020, 13, 3746. [Google Scholar] [CrossRef]
- Sim, J.; Kim, M.; Kim, D.; Kim, H. Cloud energy storage system operation with capacity P2P transaction. Energies 2021, 14, 339. [Google Scholar] [CrossRef]
- PSE S.A. Plan Rozwoju w Zakresie Zaspokojenia Obecnego i Przyszłego Zapotrzebowania Na Energię Elektryczną Na Lata 2021–2030; (Development Plan to Meet the Present and Future Electricity Demand for 2021–2030); Polish Power Grids: Konstancin-Jeziorna, Poland, 2020. [Google Scholar]
- PSE S.A. Prognoza Pokrycia Zapotrzebowania Szczytowego Na Moc w Latach 2016–2035; (Forecast of Peak Demand Coverage for Power in 2016–2035); Polish Power Grids: Konstancin-Jeziorna, Poland, 2016. [Google Scholar]
- PSE S.A. Polish Power System—General Information. Available online: https://www.pse.pl/obszary-dzialalnosci/krajowy-system-elektroenergetyczny/informacje-o-systemie (accessed on 21 April 2021).
- Majchrzak, H.; Kozioł, M. Analysis of various options for balancing power systems’ peak load. Energies 2021, 14, 513. [Google Scholar] [CrossRef]
- Stamtsis, G.; Doukas, H. Cooperation or localization in European capacity markets? A coalitional game over graph approach. Energies 2018, 11, 1473. [Google Scholar] [CrossRef]
- Towarowa Giełda Energii—Notowania; (Polish Power Exchange—Quotations). Available online: https://tge.pl/en-home (accessed on 21 April 2021).
- Ministerstwo Właściwy DS Energii Rada Ministrów. Ustawa z Dnia 8 Grudnia 2017 r. o Rynku Mocy; (The Act of December 8, 2017 on the Capacity Market); (Dz. U. z 2020 r. Poz. 247); Ministerstwo Właściwy DS Energii Rada Ministrów: Warsaw, Poland, 2018. [Google Scholar]
- Jeżyna, B.; Lis, M.; Mesjasz-Lech, A. The DSR scheme in the capacity market of industrial enterprises in Poland—Participation determinants. Energies 2020, 13, 5462. [Google Scholar] [CrossRef]
- Księżopolski, K.; Drygas, M.; Pronińska, K.; Nurzyńska, I. The economic effects of new patterns of energy efficiency and heat sources in rural single-family houses in Poland. Energies 2020, 13, 6358. [Google Scholar] [CrossRef]
- Ministerstwo Rozwoju, Pracy i Technologii. Energetyka Prosumencka i Rozproszona. (Prosumer and Distributed Energy). Available online: https://www.gov.pl/web/rozwoj-praca-technologia/energetyka-prosumencka-i-rozproszona (accessed on 12 November 2020).
- Gramwzielone.pl. The Number of Prosumers in Poland Exceeds 357,000. It’s Time for Energy Storage. Available online: https://www.gramwzielone.pl/energia-sloneczna/104268/liczba-prosumentow-w-polsce-przekracza-357-tys-pora-na-magazyny-energii (accessed on 28 December 2020).
- Polish Press Agency. Polish Solar Farm Has Exceeded the Level of 3400 MW of Capacity. Available online: https://www.wnp.pl/budownictwo/polska-fotowoltaika-przekroczyla-poziom-3400-mw-mocy,440020.html (accessed on 28 December 2020).
- Olczak, P.; Kryzia, D.; Matuszewska, D.; Kuta, M. “My Electricity” program effectiveness supporting the development of PV installation in Poland. Energies 2021, 14, 231. [Google Scholar] [CrossRef]
- SEJM. Ustawa z Dnia 4 Października 2018 r. o Spółdzielniach Rolników; (Act of October 4, 2018 on Farmers’ Cooperatives); (Dz. U. Poz. 2073); SEJM: Warsaw, Poland, 2018. [Google Scholar]
- Marks-Bielska, R.; Bielski, S.; Pik, K.; Kurowska, K. The importance of renewable energy sources in Poland’s energy mix. Energies 2020, 13, 4624. [Google Scholar] [CrossRef]
- Tesvolt—Battery Storage Systems. Available online: https://www.tesvolt.com/en/ (accessed on 21 April 2021).
- Williams, H.P. Model Building in Mathematical Programming, 5th ed.; Wiley: Hoboken, NJ, USA, 2013; ISBN 978-1-118-44333-0. [Google Scholar]
- Tomlin, J.A. Special ordered sets and an application to gas supply operations planning. Math. Program. 1988, 42, 69–84. [Google Scholar] [CrossRef]
- GLPK (GNU Linear Programming Kit). Available online: https://www.gnu.org/software/glpk/ (accessed on 18 November 2020).
- COIN-OR/CBC. Available online: https://projects.coin-or.org/Cbc (accessed on 18 November 2020).
- Gitizadeh, M.; Fakharzadegan, H. Battery capacity determination with respect to optimized energy dispatch schedule in grid-connected photovoltaic (PV) systems. Energy 2014, 65, 665–674. [Google Scholar] [CrossRef]
- Ke, B.-R.; Ku, T.-T.; Ke, Y.-L.; Chuang, C.-Y.; Chen, H.-Z. Sizing the battery energy storage system on a university campus with prediction of load and photovoltaic generation. IEEE Trans. Ind. Appl. 2015, 52, 1136–1147. [Google Scholar] [CrossRef]
- Chen, P.; Liu, M.; Chen, C.; Shang, X. A battery management strategy in microgrid for personalized customer requirements. Energy 2019, 189, 116245. [Google Scholar] [CrossRef]
- Luger, G.F. Artificial Intelligence: Structures and Strategies for Complex Problem Solving, 6th ed.; Pearson Addison-Wesley: Boston, MA, USA, 2009; ISBN 978-0-321-54589-3. [Google Scholar]
- The R Project for Statistical Computing. Available online: https://www.r-project.org/ (accessed on 20 April 2021).
- Maksymych, V.; Całus, D.; Ivashchyshyn, F.; Pidluzhna, A.; Chabecki, P.; Shvets, R. Quantum energy accumulation in semiconductor <ionic liquid > layered clathrates. Appl. Nanosci. 2021. [Google Scholar] [CrossRef]
- Grygorchak, I.; Całus, D.; Pidluzhna, A.; Ivashchyshyn, F.; Hryhorchak, O.; Chabecki, P.; Shvets, R. Thermogalvanic and local field effects in SiO2 structure. Appl. Nanosci. 2020, 10, 4725–4731. [Google Scholar] [CrossRef]
- Colasant, A.; D’Adamo, I.; Marone, P. Nudging for the increased adoption of solar energy? Evidence from a survey in Italy. Energy Res. Soc. Sci. 2021, 74, 101978. [Google Scholar] [CrossRef]





| Cooperative 1 | Cooperative 2 | Cooperative 3 | Cooperative 4 | Cooperative 5 | |
|---|---|---|---|---|---|
| Voivodship | Śląskie | Małopolskie | Małopolskie | Śląskie | Śląskie |
| Number of members of the cooperative | 11 | 15 | 11 | 15 | 16 |
| Profile of agricultural activity 1 and number of members (pcs) | 01.46.Z; (3) 01.13.Z; (3) | 01.11.Z; (4) | 01.11.Z; (2) | 01.13.Z; (4) 01.19.Z; (1) | 01.11.Z; (2) |
| 01.47.Z; (5) | 01.13.Z; (1) | 01.13.Z; (2) | 01.43.Z; (1) | 01.13.Z; (2) | |
| 01.19.Z; (4) 01.47.Z; (3) | 01.19.Z; (1) 01.47.Z; (1) | 01.47.Z; (3) | 01.19.Z; (3) | ||
| 01.50.Z; (3) | 01.50.Z; (5) | 01.49.Z; (1) | 01.47.Z; (6) | ||
| 01.50.Z; (5) | 01.50.Z; (2) | ||||
| 01.62.Z; (1) | |||||
| Voltage (LV/MV) and number of members (pcs) | LV (4) | LV (10) | LV (10) | LV (8) | LV (9) |
| MV (7) | MV (5) | MV (1) | MV (7) | MV (7) | |
| Tariff group 2 and number of members (pcs) | C11 (2) | C11 (4) | C11 (4) | C11 (6) | C11 (6) |
| C12 a (1) | C12 b (1) | C12 a (1) | C21 (2) | C21 (2) | |
| C22 b (1) | C21 (3) | C12 b (2) | B21 (3) | C22 a (1) | |
| B21 (1) | C22 a (2) | C22 a (2) | B23 (4) | B21 (1) | |
| B23 (6) | B21 (3) | C22 b (1) | B22 (2) | ||
| B23 (2) | B11 (1) | B23 (4) | |||
| Consumption [MWh/year]: | 9757 | 3559 | 762 | 3383 | 5922 |
| Total | 52 | 0 | 3 | 6 | 1 |
| min | 887 | 237 | 69 | 214 | 328 |
| average | 3574 | 1045 | 312 | 1258 | 1542 |
| max | |||||
| Capacity 3 [kW]: | 3810 | 1815 | 550 | 1635 | 2605 |
| PVPP: | 200 | 200 | 200 | 200 | 200 |
| SWPP | 3750 | 500 | 0 | 1000 | 1250 |
| WPP | 400 | 800 | 0 | 400 | 1600 |
| BMPP | 600 | 200 | 0 | 400 | 600 |
| BGPP | |||||
| Energy storage 4 [MWh] | |||||
| min_s | 250 | 50 | 50 | 250 | 250 |
| expert level | 4660 | 1824 | 608 | 1216 | 2432 |
| optimal level | 6000 | 900 | 300 | 6000 | 6500 |
| max_s | 25,000 | 25,000 | 3500 | 15,500 | 15,000 |
| Production [MWh/year] | 8760 | 3515 | 750 | 3635 | 6255 |
| Designation of the Cooperative | Storage Type | Capacity [kWh] | Charging Power [kW] | Discharging Power [kW] |
|---|---|---|---|---|
| CP1 | TPS-E | 4660 | 540 | 675 |
| CP2 | TS HV 70 | 1824 | 360 | 450 |
| CP3 | TS HV 70 | 608 | 120 | 150 |
| CP4 | TS HV 70 | 1216 | 240 | 300 |
| CP5 | TS HV 70 | 2432 | 480 | 600 |
| CP1 | CP2 | CP3 | CP4 | CP5 | |
|---|---|---|---|---|---|
| Consumption [MWh/year]: | 9757 | 3559 | 762 | 3383 | 5922 |
| Capacity [kW]: | 3810 | 1815 | 550 | 1635 | 2605 |
| Production [MWh/year]: | 8760 | 3515 | 750 | 3635 | 6255 |
| Energy storage—optimal level of capacity [kWh] | 6000 | 900 | 300 | 6000 | 6500 |
| Volumetric storage effect [MWh/year] | |||||
| Reduction in energy consumption from the network | 348.7 | 41.3 | 23.3 | 31 | 38.6 |
| Reduction in energy consumption subject to the capacity fee | 151.1 | 23.7 | 13.8 | 20.6 | 19.7 |
| Increase in self-consumption | 522.4 | 61.6 | 35 | 46.1 | 57 |
| in relation to consumption [%] | |||||
| Reduction in energy consumption from the network | 3.6 | 1.2 | 3.1 | 0.9 | 0.7 |
| Reduction in energy consumption subject to the capacity fee | 1.5 | 0.7 | 1.8 | 0.6 | 0.3 |
| Increase in self-consumption | 5.4 | 1.7 | 4.6 | 1.4 | 1 |
| CP_M10 | CP_M20 | CP_M30 | CP_M40 | CP_M50 | |
|---|---|---|---|---|---|
| Consumption [MWh/year]: | |||||
| Min | 512 | 2567 | 4561 | 8440 | 11,810 |
| Average | 2792 | 6248 | 9743 | 13,440 | 16,569 |
| Max | 6217 | 11,224 | 16,920 | 18,920 | 20,122 |
| Reduction in energy consumption from the network [MWh/year]: | 23.9 | 24 | 52.6 | 65.7 | 61.7 |
| Min | 36.3 | 122 | 188.7 | 314.8 | 411.5 |
| Average | 114.2 | 301.3 | 425.1 | 519.4 | 556.8 |
| Max | |||||
| In relation to consumption [%]: | 4.7 | 0.9 | 1.2 | 0.8 | 0.5 |
| Min | 1.3 | 2 | 1.9 | 2.3 | 2.5 |
| Average | 1.8 | 2.7 | 2.5 | 2.7 | 2.8 |
| Max | |||||
| Reduction in energy consumption subject to the capacity fee [MWh/year]: | 12.5 | 13.9 | 22.9 | 43.9 | 35 |
| Min | 16.7 | 45.7 | 70.4 | 123.7 | 172.1 |
| Average | 30.2 | 128 | 147.2 | 176.5 | 277.3 |
| Max | |||||
| In relation to consumption [%]: | 2.4 | 0.5 | 0.5 | 0.5 | 0.3 |
| Min | 0.6 | 0.7 | 0.7 | 0.9 | 1 |
| Average | 0.5 | 1.1 | 0.9 | 0.9 | 1.4 |
| Max | |||||
| Increase in self-consumption [MWh/year]: | 38.9 | 112.2 | 444.5 | 545.8 | 694.9 |
| Min | 54.4 | 182.4 | 282.4 | 470.3 | 615.2 |
| Average | 85.6 | 260.9 | 288.6 | 250.3 | 337.6 |
| Max | |||||
| In relation to consumption [%]: | 7.6 | 4.4 | 9.7 | 6.5 | 5.9 |
| Min | 1.9 | 2.9 | 2.9 | 3.5 | 3.7 |
| Average | 1.4 | 2.3 | 1.7 | 1.3 | 1.7 |
| Max |
| NumOfMembers < 35 and NumOfMembers ≥ 25 and OtherEnergySourceThanWindAndPV ≥ 25.5 | Weak Impact |
| NumOfMembers < 35 and NumOfMembers < 25 and WindAndPV < 69.5 and NumOfMembers ≥15 | Weak Impact |
| NumOfMembers ≥ 35 and OtherEnergySourceThanWindAndPV > = 27.5 | Weak Impact |
| NumOfMembers < 35 and NumOfMembers ≥ 25 and OtherEnergySourceThanWindAndPV < 25.5 and WindAndPV ≥ 78.5 | Medium Impact |
| NumOfMembers ≥35 and OtherEnergySourceThanWindAndPV < 27.5 | Medium Impact |
| NumOfMembers < 35 and NumOfMembers < 25 and WindAndPV < 69.5 and NumOfMembers < 15 | Strong Impact |
| NumOfMembers < 35 and NumOfMembers ≥ 25 and OtherEnergySourceThanWindAndPV < 25.5 and WindAndPV < 78.5 | Strong Impact |
| NumOfMembers < 35 and NumOfMembers < 25 and WindAndPV ≥ 69.5 | Strong Impact |
Publisher’s Note: MDPI stays neutral with regard to jurisdictional claims in published maps and institutional affiliations. |
© 2021 by the authors. Licensee MDPI, Basel, Switzerland. This article is an open access article distributed under the terms and conditions of the Creative Commons Attribution (CC BY) license (https://creativecommons.org/licenses/by/4.0/).
Share and Cite
Jasiński, J.; Kozakiewicz, M.; Sołtysik, M. The Effectiveness of Energy Cooperatives Operating on the Capacity Market. Energies 2021, 14, 3226. https://doi.org/10.3390/en14113226
Jasiński J, Kozakiewicz M, Sołtysik M. The Effectiveness of Energy Cooperatives Operating on the Capacity Market. Energies. 2021; 14(11):3226. https://doi.org/10.3390/en14113226
Chicago/Turabian StyleJasiński, Jakub, Mariusz Kozakiewicz, and Maciej Sołtysik. 2021. "The Effectiveness of Energy Cooperatives Operating on the Capacity Market" Energies 14, no. 11: 3226. https://doi.org/10.3390/en14113226
APA StyleJasiński, J., Kozakiewicz, M., & Sołtysik, M. (2021). The Effectiveness of Energy Cooperatives Operating on the Capacity Market. Energies, 14(11), 3226. https://doi.org/10.3390/en14113226

