Efficient Dimensionality Reduction Methods in Reservoir History Matching
Abstract
1. Introduction
2. Materials and Methods
- The first stage includes generating ensemble reservoir models and analyzing whether the observed (reference) prior data can predict posterior distribution that appertains to the prior range.
- The second stage involves reducing the ensemble dimension and constructing a 2D space by using t-SNE and GPLVM.
- The third stage uses clustering K-means to extract a set of reservoir models with the least production error compared to the reference model.
- After extracting the models and selecting the most informative ones, we began the HM process using ES-MDA, and finally we compared the performance of history matching analysis of the proposed workflow with the standard ES-MDA without using dimensionality reduction techniques.
2.1. Prior Sampling and Analysis
2.2. Dimensional Reduction
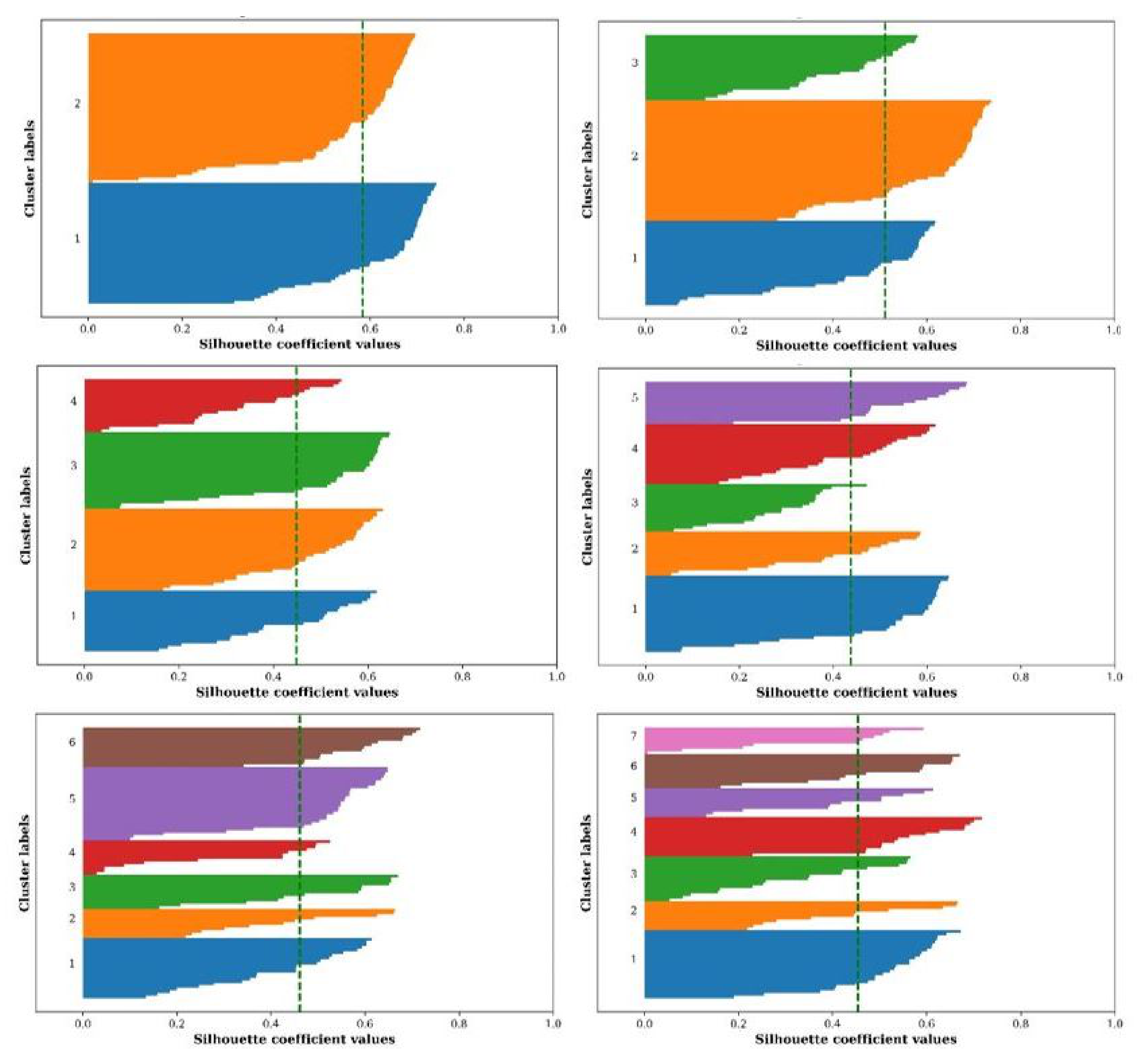
2.3. Clustering K-Means:
2.4. ES-MDA and the Localization Technique
2.5. General Setup
3. Results
3.1. ES-MDA with DR
3.2. Effect of Different “Reference” Models
3.3. Effect of Reference Model Parameters Outside Prior Distribution
4. Concluding Remarks
Author Contributions
Funding
Acknowledgments
Conflicts of Interest
Appendix A
Appendix A.1. t-Distributed Stochastic Neighbor Embedding (t-SNE)
Appendix A.2. Gaussian Process Latent Variable Model (GPLVM)
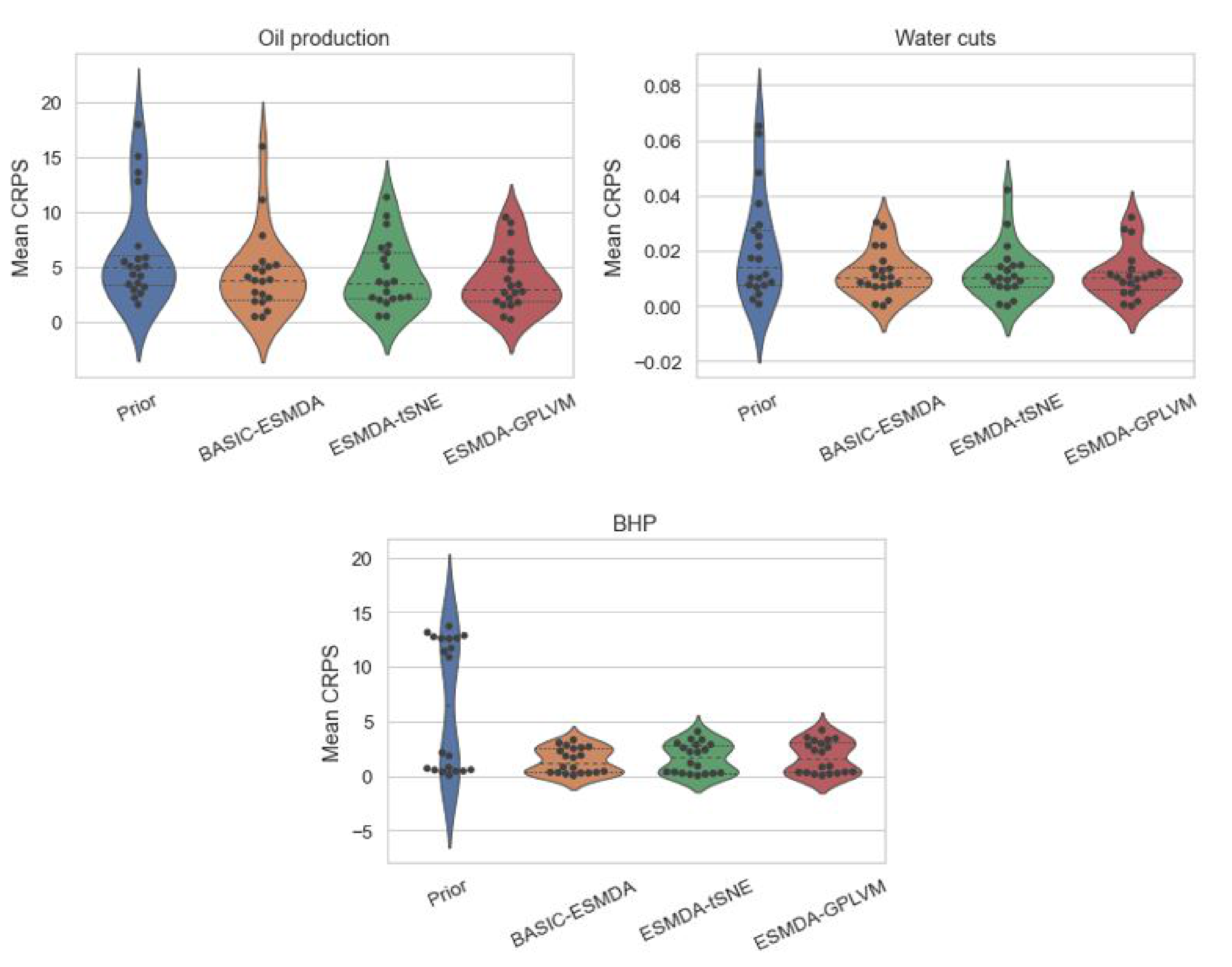
Appendix A.3. Mean Continuous Ranked Probability Score (CRPS)
References
- Oliver, D.S.; Chen, Y. Recent progress on reservoir history matching: A review. Comput. Geosci. 2011, 15, 185–221. [Google Scholar] [CrossRef]
- Jafarpour, B.; McLaughlin, D.B. History matching with an ensemble Kalman filter and discrete cosine parameterization. Comput. Geosci. 2008, 12, 227–244. [Google Scholar] [CrossRef]
- Sambridge, M. Geophysical inversion with a neighborhood algorithm—II. Appraising the ensemble. Geophys. J. Int. 1999, 138, 727–746. [Google Scholar] [CrossRef]
- Jin, L.; Alpak, F.O.; van den Hoek, P.; Pirmez, C.; Fehintola, T.; Tendo, F.; Olaniyan, E. A comparison of stochastic data-integration algorithms for the joint history matching of production and time-lapse-seismic data. SPE Reserv. Eval. Eng. 2012, 15, 498–512. [Google Scholar] [CrossRef]
- Jeong, J.; Park, E. Theoretical development of the history matching method for subsurface characterizations based on simulated annealing algorithm. Journal of Petroleum science and engineering. J. Pet. Sci. Eng. 2019, 180, 545–558. [Google Scholar] [CrossRef]
- Gao, G.; Li, G.; Reynolds, A. A Stochastic optimization algorithm for automatic history matching. SPE J. 2007, 12, 196–208. [Google Scholar] [CrossRef]
- Barker, W.J.; Cuypers, M.; Holden, L. Quantifying uncertainty in production forecasts: Another look at the PUNQ-S3 problem. SPE J. 2000, 6, 433–441. [Google Scholar] [CrossRef]
- Gao, G.; Zafari, M.; Reynolds, A.C. Quantifying uncertainty for the PUNQ-S3 problem in a Bayesian setting with RML and EnKF. SPE J. 2006, 11, 506–515. [Google Scholar] [CrossRef]
- Gu, Y.; Oliver, D.S. The ensemble Kalman filter for continuous updating of reservoir simulation models. J. Energy Resour. Technol. 2006, 128, 79–87. [Google Scholar] [CrossRef]
- Evensen, G. Sampling strategies and square root analysis schemes or the EnKF. Ocean. Dyn. 2004, 54, 539–60. [Google Scholar] [CrossRef]
- Van der Maaten, L.; Hinton, G. Visualizing Data Using t-SNE. J. Mach. Learn. Res. 2008, 9, 2579–2605. [Google Scholar]
- Emerick, A.; Reynolds, A. Ensemble smoother with multiple data assimilation. Comput. Geosci. 2013, 55, 3–15. [Google Scholar] [CrossRef]
- Emerick, A. Analysis of the performance of ensemble-based assimilation of production and seismic data. J. Pet. Sci. Eng. 2016, 139, 219–239. [Google Scholar] [CrossRef]
- Vo, H.; Durlofsky, L. A new differentiable parameterization based on principal component analysis for the low-dimensional representation of complex geological models. Math. Geosci. 2014, 46, 775–308. [Google Scholar] [CrossRef]
- Rezaie, J.; Saetrom, J.; Smorgrav, E. Reducing the Dimensionality of Geophysical Data in Conjunction with Seismic History Matching. In 74th EAGE Conference and Exhibition incorporating EUROPEC; European Association of Geoscientists & Engineers: Houten, The Netherlands, 2012. [Google Scholar]
- Sarma, P.; Durlofsky, L.J.; Aziz, K. Kernel principal component analysis for efficient, differentiable parameterization of multi point geostatistics. Math. Geosci. 2008, 40, 3–32. [Google Scholar] [CrossRef]
- Muzammil, R.; Ahmed, H.E.; Yan, C. Identifiability of Model Discrepancy Parameters in History Matching. In Proceedings of the SPE Reservoir Simulation Conference, Galveston, TX, USA, 10–11 April 2019. [Google Scholar]
- Kang, B.; Choe, J. Regeneration of initial ensembles with facies analysis for efficient history matching. J. Energy Resour. Technol. 2017, 139, 042903. [Google Scholar] [CrossRef]
- Kang, B.; Kim, S.; Jung, H.; Choe, J.; Lee, K. Characterization of three-dimensional channel reservoirs using ensemble Kalman filter assisted by principal component analysis. Petroleum Sci. 2019, 17, 182–195. [Google Scholar] [CrossRef]
- Tolstukhin, E.; Barrela, E.; Khrulenko, A.; Halotel, J.; Demyanov, V. Ensemble History Matching Enhanced with Data Analytics-A Brown Field Study. Eur. Assoc. Geosci. Eng. 2019, 2019, 1–5. [Google Scholar]
- Satija, A.; Scheidt, C.; Li, L.; Caers, J. Direct Forecasting of Reservoir Performance Using Production Data without History Matching. Comput. Geosci. 2017, 21, 315–333. [Google Scholar] [CrossRef]
- Park, J.; Caers, J. Direct forecasting of global and spatial model parameters from dynamic data. J. Comput. Geosci. 2020, 143, 104567. [Google Scholar] [CrossRef]
- Lawrence, N.D. Learning for larger datasets with the Gaussian process latent variable model. In Proceedings of the Eleventh International Workshop on Artificial Intelligence and Statistics, San Juan, Puerto Rico, 21–24 March 2007. [Google Scholar]
- Lawrence, N.D. Probabilistic non-linear principal component analysis with Gaussian process latent variable models. J. Mach. Learn. Res. 2005, 6, 1783–1816. [Google Scholar]
- De Maesschalck, R.; Jouan-Rimbaud, D.; Massart, D. The Mahalanobis distance. Cemometrics Intell. Lab. Syst. 2000, 50, 1–18. [Google Scholar] [CrossRef]
- Yin, Z.; Strebelle, S.; Caers, J. Automated Monte Carlo-based Quantification and Updating of Geological Uncertainty with Borehole Data (AutoBEL v1.0). Geosci. Model. Dev. 2019, 13, 651–672. [Google Scholar] [CrossRef]
- Liu, F.T.; Ting, K.M.; Hua, Z. Isolation forest. In Proceedings of the 2008 Eighth IEEE International Conference on Data Mining, Pisa, Italy, 15–19 December 2008. [Google Scholar]
- Breunig, M.M.; Kriegel, H.P.; Ng, R.T.; Sander, J. LOF: Identifying density-based local outliers. In Proceedings of the 2000 ACM SIGMOD International Conference on Management of Data, Dallas, TX, USA, 16–18 May 2000. [Google Scholar]
- Schölkopf, B.; Williamson, R.C.; Smola, A.J.; Shawe-Taylor, J.; Platt, J.C. Support vector method for novelty detection. In Proceedings of the Advances in Neural Information Processing Systems, Denver, CO, USA, 29 November–4 December 1999. [Google Scholar]
- Jain, A.K. Data clustering: 50 years beyond K-means. Pattern Recognit. Lett. 2010, 31, 651–666. [Google Scholar] [CrossRef]
- Watanabe, S.; Datta-Gupta, A. Use of phase streamlines of covariance localization in Ensemble Kalman Filter for three-phase history matching. In Proceedings of the SPE Western North American Region Meeting, Anchorage, AK, USA, 7–11 May 2011. [Google Scholar]
- Gaspari, G.; Cohn, S. Construction of correlation functions in two and three dimensions. Q. J. R. Meteorol. Soc. 1999, 723–757. [Google Scholar] [CrossRef]
- Peters, E.; Arsts, R.; Brouwer, G.; Geel, C.R.; Cullick, S.; Lorentzen, R.J.; Chen, Y.; Dunlop, N.B.; Vossepoel, C.; Xu, R.; et al. Brugge Brenchmard study for flooding Optimiztion and History Matching. SPE Reserv. Eval. Eng. 2010, 13, 391–405. [Google Scholar] [CrossRef]
- Hersbach, H. Decomposition of the Continuous Ranked Probability Score for Ensemble Prediction Systems. Weather. Foracsting 2000, 15, 559–570. [Google Scholar] [CrossRef]




















| Methods | t-SNE | GPLVM | ||
|---|---|---|---|---|
| CRPS | Realization | CRPS | Realization | |
| Cluster 1 | 89.78 | 46 | 96.77 | 44 |
| Cluster 2 | 130.67 | 57 | 128.66 | 59 |
| Methods | CPU Time (Minutes) | Time Reduction |
|---|---|---|
| ES-MDA | 220 | 0 |
| ES-MDA-t-SNE | 120 | 45.5% |
| ES-MDA-GPLVM | 101.5 | 53.86% |
| Reference | P10 | P90 | ||
|---|---|---|---|---|
| Prior | - | 9.099 × 10 | 1.114 × 10 | |
| Test Case 1 | ES-MDA | 1.108 × 10 | 1.045 × 10 | 1.112 × 10 |
| ES-MDA-t-SNE | 1.049 × 10 | 1.114 × 10 | ||
| ES-MDA-GPLVM | 1.053 × 10 | 1.124 × 10 | ||
| Test Case 2 | ES-MDA | 1.071 × 10 | 9.752 × 10 | 1.042 × 10 |
| ES-MDA-t-SNE | 9.764 × 10 | 1.013 × 10 | ||
| ES-MDA-GPLVM | 9.609 × 10 | 1.016 × 10 | ||
| Test Case 3 | ES-MDA | 1.099 × 10 | 1.037 × 10 | 1.116 × 10 |
| ES-MDA-t-SNE | 1.052 × 10 | 1.121 × 10 | ||
| ES-MDA-GPLVM | 1.050 × 10 | 1.111 × 10 | ||
| Test Case 4 | ES-MDA | 1.046 × 10 | 1.008 × 10 | 1.088 × 10 |
| ES-MDA-t-SNE | 1.012 × 10 | 1.081 × 10 | ||
| ES-MDA-GPLVM | 1.018 × 10 | 1.078 × 10 | ||
| Test Case 5 | ES-MDA | 9.698 × 10 | 9.361 × 10 | 9.993 × 10 |
| ES-MDA-t-SNE | 9.428 × 10 | 9.986 × 10 | ||
| ES-MDA-GPLVM | 9.340 × 10 | 9.867 × 10 |
Publisher’s Note: MDPI stays neutral with regard to jurisdictional claims in published maps and institutional affiliations. |
© 2021 by the authors. Licensee MDPI, Basel, Switzerland. This article is an open access article distributed under the terms and conditions of the Creative Commons Attribution (CC BY) license (https://creativecommons.org/licenses/by/4.0/).
Share and Cite
Tadjer, A.; Bratvold, R.B.; Hanea, R.G. Efficient Dimensionality Reduction Methods in Reservoir History Matching. Energies 2021, 14, 3137. https://doi.org/10.3390/en14113137
Tadjer A, Bratvold RB, Hanea RG. Efficient Dimensionality Reduction Methods in Reservoir History Matching. Energies. 2021; 14(11):3137. https://doi.org/10.3390/en14113137
Chicago/Turabian StyleTadjer, Amine, Reider B. Bratvold, and Remus G. Hanea. 2021. "Efficient Dimensionality Reduction Methods in Reservoir History Matching" Energies 14, no. 11: 3137. https://doi.org/10.3390/en14113137
APA StyleTadjer, A., Bratvold, R. B., & Hanea, R. G. (2021). Efficient Dimensionality Reduction Methods in Reservoir History Matching. Energies, 14(11), 3137. https://doi.org/10.3390/en14113137

