Particle-Resolved Computational Fluid Dynamics as the Basis for Thermal Process Intensification of Fixed-Bed Reactors on Multiple Scales
Abstract
1. Introduction
- understand the effect of particle shape and macroscopic wall structures on the packing morphology and, with this, the fluid dynamics and heat transport in fixed-beds;
- quantify improvements in the fixed-bed reactor design that can be achieved, only from a fluid dynamics point of view;
- increase the phenomenological understanding of fluid dynamics and heat transfer in fixed-bed reactors;
- show how effective transport parameters, such as the effective thermal conductivity and wall heat transfer coefficient, can be extracted from particle-resolved CFD results. Those parameters can then be used in simplified process simulation models for process intensification on the plant scale.
2. Materials and Methods
2.1. Particle-Resolved CFD
2.1.1. Numerical Packing Generation Using DEM
2.1.2. Meshing
2.1.3. CFD Simulation
2.2. Simplified Heat Transfer Modeling
2.2.1. Pseudo-Homogeneous - Model
2.2.2. Pseudo-Homogeneous - Model
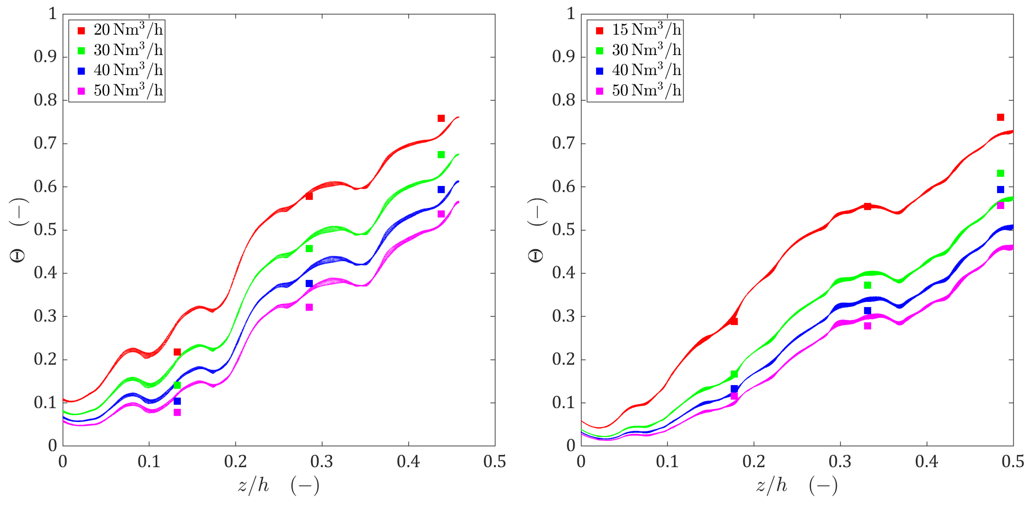
3. Heat Transfer Validation
4. Results and Discussion
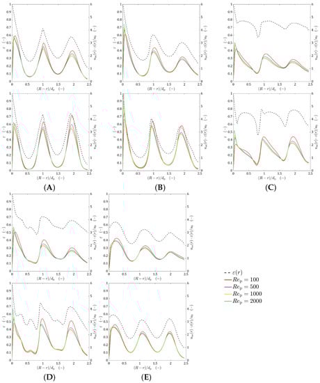
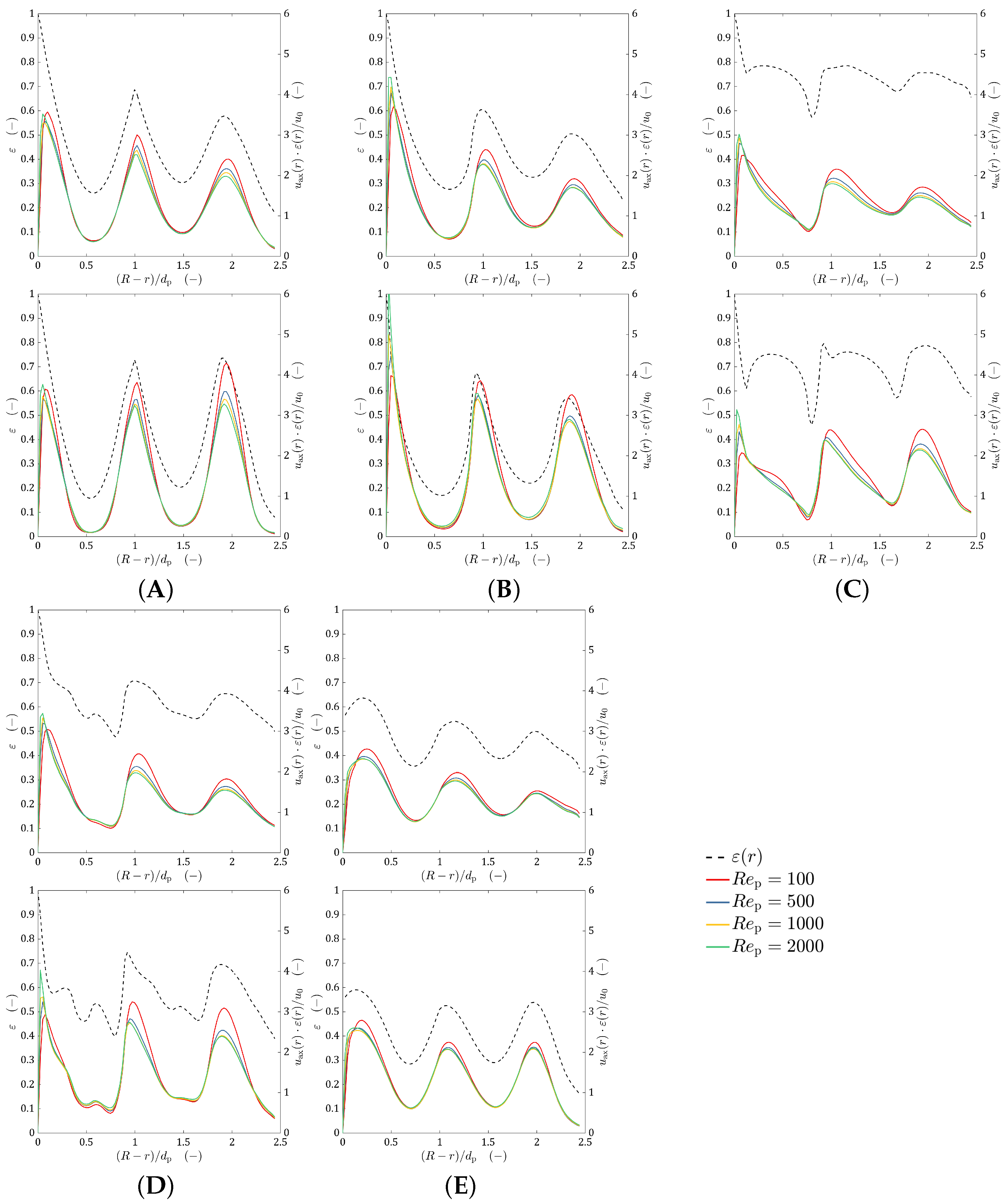
4.1. Bed Morphology and Fluid Dynamics
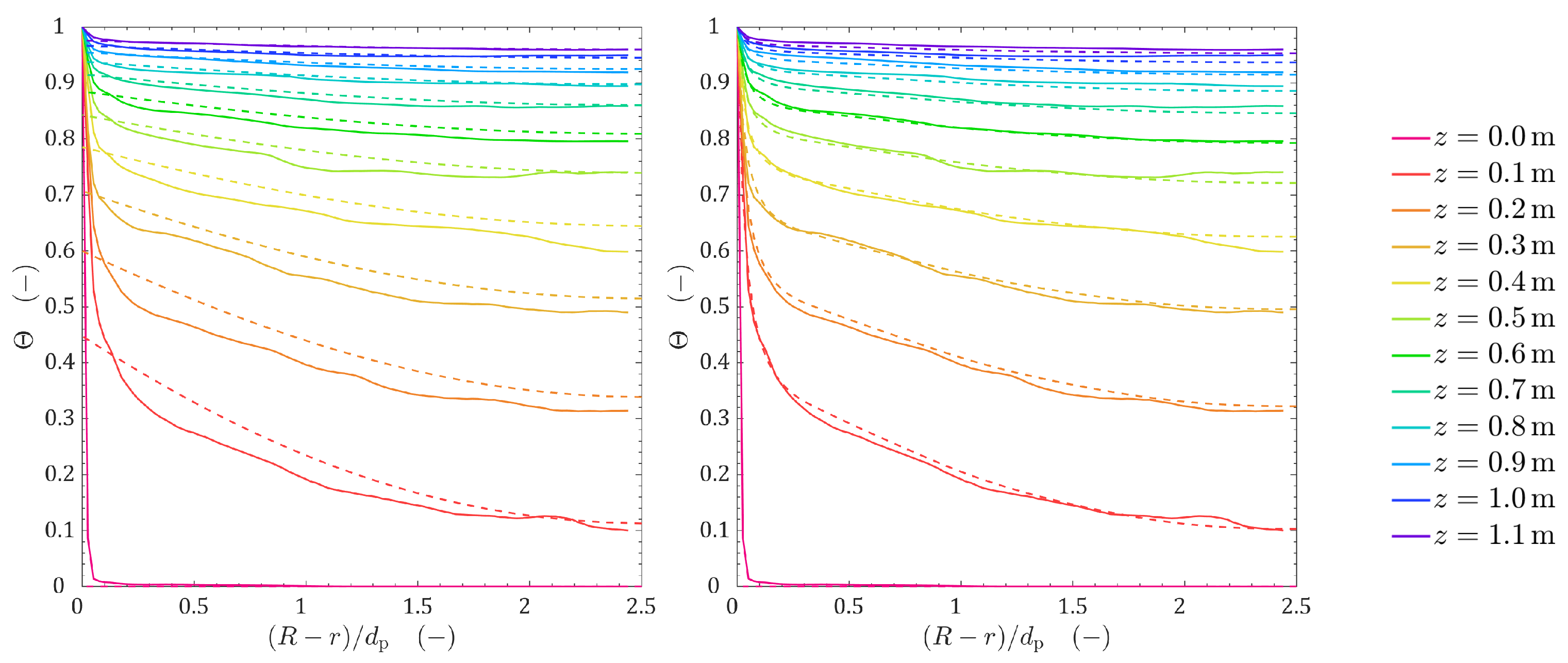
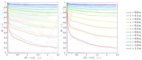
4.2. Heat Transfer Characteristic
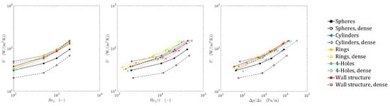
4.3. Effective Thermal Transport Properties
4.3.1. - Model
4.3.2. -Model
5. Conclusions
- studying the impact of particle shape, internals, or reactor tube design on the performance;
- investigating the effect of operating conditions and physical properties;
- testing of novel reactor tube concepts, e.g., reactors with random macroscopic wall structures or heat fins;
- identifying local phenomena as hot/cold spot formation or catalyst poisoning;
- dynamic operating conditions;
- process integration concepts;
- conducting process design optimization.
Supplementary Materials
Author Contributions
Funding
Institutional Review Board Statement
Informed Consent Statement
Data Availability Statement
Conflicts of Interest
Abbreviations
| CAD | Computer-aided design |
| CFD | Computational fluid dynamics |
| DEM | Discrete element method |
| RANS | Reynolds-averaged Navier–Stokes |
| Nomenclature—Roman | |
| N | tube-to-particle diameter ratio [-] |
| sphere-equivalent particle diameter [m] | |
| h | bed height [m] |
| T | temperature [K] |
| A | area magnitude [m2] |
| B | parameter [-] |
| U | global heat transfer coefficient [W/(m2 K)] |
| fluid specific heat [J/(kg K)] | |
| r | radial coordinate [m] |
| z | axial coordinate [m] |
| y | parameter [-] |
| a | parameter [-] |
| parameter [-] | |
| parameter [-] | |
| parameter [-] | |
| heat flow rate [W] | |
| superficial velocity [m/s] | |
| interstitial velocity [m/s] | |
| dimensionless wall distance [-] | |
| Ji() | Bessel function of the first kind and i-th order [-] |
| parameter, wall film Nusselt number [-] | |
| parameter, mechanical Nusselt number [-] | |
| parameter, stagnant wall Nusselt number [-] | |
| Nomenclature—Greek | |
| bed voidage [-] | |
| dimensionless temperature [-] | |
| logarithmic temperature difference [K] | |
| fluid thermal conductivity [W/(m K)] | |
| particles’ thermal conductivity [W/(m K)] | |
| effective axial thermal conductivity [W/(m K)] | |
| effective radial thermal conductivity [W/(m K)] | |
| stagnant bed thermal conductivity [W/(m K)] | |
| ratio of solid to fluid thermal conductivity [-] | |
| wall heat transfer coefficient [W/(m2 K)] | |
| fluid density [kg/m3] | |
| dynamic viscosity [Pa s] | |
| Nomenclature—Indices | |
| f | fluid phase |
| s | solid particles |
| w | wall |
| 0 | inlet |
| core | value at |
Dimensionless Numbers
| particle Reynolds number | |
| Prandtl number | |
| radial effective P/’eclet number | |
| Biot number | |
| wall Nusselt number |
References
- Eigenberger, G. Principles of chemical reaction engineering and plant design. In Ullmann’s Encyclopedia of Industrial Chemistry, Principles of Chemical Reaction Engineering and Plant Design, 5th ed.; Chapter B4: Fixed; Elvers, B., Ed.; Wiley VCH: Weinheim, Germany, 1992; pp. 199–238. [Google Scholar] [CrossRef]
- Caulkin, R.; Jia, X.; Fairweather, M.; Williams, R.A. Predictions of porosity and fluid distribution through nonspherical-packed columns. AIChE J. 2012, 58, 1503–1512. [Google Scholar] [CrossRef]
- Wehinger, G.D. Particle-Resolved CFD Simulations of Catalytic Flow Reactors; Technische Universitaet: Berlin, Germany, 2016. [Google Scholar]
- Jurtz, N.; Wehinger, G.D.; Srivastava, U.; Henkel, T.; Kraume, M. Validation of pressure drop prediction and bed generation of fixed-beds with complex particle shapes using discrete element method and computational fluid dynamics. AIChE J. 2020, 66, e16967. [Google Scholar] [CrossRef]
- Wehinger, G.D.; Kraume, M.; Berg, V.; Korup, O.; Mette, K.; Schlögl, R.; Behrens, M.; Horn, R. Investigating dry reforming of methane with spatial reactor profiles and particle-resolved CFD simulations. AIChE J. 2016, 62, 4436–4452. [Google Scholar] [CrossRef]
- Dong, Y.; Sosna, B.; Korup, O.; Rosowski, F.; Horn, R. Investigation of radial heat transfer in a fixed-bed reactor: CFD simulations and profile measurements. Chem. Eng. J. 2017, 317, 204–214. [Google Scholar] [CrossRef]
- Wehinger, G.D. Radiation Matters in Fixed-Bed CFD Simulations. Chem. Ing. Tech. 2019, 91, 583–591. [Google Scholar] [CrossRef]
- Eppinger, T.; Wehinger, G.D. A Generalized Contact Modification for Fixed-Bed Reactor CFD Simulations. Chem. Ing. Tech. 2020, 93, 143–153. [Google Scholar] [CrossRef]
- Dixon, A.G.; Boudreau, J.; Rocheleau, A.; Troupel, A.; Taskin, M.E.; Nijemeisland, M.; Stitt, E.H. Flow, transport, and reaction interactions in shaped cylindrical particles for steam methane reforming. Ind. Eng. Chem. Res. 2012, 51, 15839–15854. [Google Scholar] [CrossRef]
- Wehinger, G.D.; Eppinger, T.; Kraume, M. Detailed numerical simulations of catalytic fixed-bed reactors: Heterogeneous dry reforming of methane. Chem. Eng. Sci. 2015, 122, 197–209. [Google Scholar] [CrossRef]
- Karthik, G.; Buwa, V.V. A computational approach for the selection of optimal catalyst shape for solid-catalysed gas-phase reactions. React. Chem. Eng. 2020, 5, 163–182. [Google Scholar]
- Partopour, B.; Dixon, A.G. Effect of particle shape on methanol partial oxidation in a fixed bed using CFD reactor modeling. AIChE J. 2020, 66, e16904. [Google Scholar] [CrossRef]
- Fratalocchi, L.; Groppi, G.; Visconti, C.G.; Lietti, L.; Tronconi, E. Adoption of 3D printed highly conductive periodic open cellular structures as an effective solution to enhance the heat transfer performances of compact Fischer-Tropsch fixed-bed reactors. Chem. Eng. J. 2020, 386, 123988. [Google Scholar] [CrossRef]
- Ambrosetti, M.; Bracconi, M.; Maestri, M.; Groppi, G.; Tronconi, E. Packed foams for the intensification of catalytic processes: Assessment of packing efficiency and pressure drop using a combined experimental and numerical approach. Chem. Eng. J. 2020, 382, 122801. [Google Scholar] [CrossRef]
- Ambrosetti, M.; Groppi, G.; Schwieger, W.; Tronconi, E.; Freund, H. Packed Periodic Open Cellular Structures—An Option for the Intensification of Non-Adiabatic Catalytic Processes. Chem. Eng. Process. Process Intensif. 2020, 155, 108057. [Google Scholar] [CrossRef]
- Lämmermann, M.; Schwieger, W.; Freund, H. Experimental investigation of gas-liquid distribution in periodic open cellular structures as potential catalyst supports. Catal. Today 2016, 273, 161–171. [Google Scholar] [CrossRef]
- Lämmermann, M.; Horak, G.; Schwieger, W.; Freund, H. Periodic open cellular structures (POCS) for intensification of multiphase reactors: Liquid holdup and two-phase pressure drop. Chem. Eng. Process. Process Intensif. 2018, 126, 178–189. [Google Scholar] [CrossRef]
- Busse, C.; Freund, H.; Schwieger, W. Intensification of heat transfer in catalytic reactors by additively manufactured periodic open cellular structures (POCS). Chem. Eng. Process. Process Intensif. 2018, 124, 199–214. [Google Scholar] [CrossRef]
- Jurtz, N.; Flaischlen, S.; Scherf, S.C.; Kraume, M.; Wehinger, G.D. Enhancing the Thermal Performance of Slender Packed Beds through Internal Heat Fins. Processes 2020, 8, 1528. [Google Scholar] [CrossRef]
- Eppinger, T.; Jurtz, N.; Kraume, M.; Zobel, N.; Frank, B. Influence of the Wall Structure on the Heat Transfer in Packed Beds with Small Tube to Particle Diameter Ratio. In Proceedings of the 2012 AIChE Annual Meeting, David L. Lawrence Convention Center, Pittsburgh, PA, USA, 28 October–2 November 2012; Conference Proceedings; Non-Topical Conferences. American Institute of Chemical Engineers: New York, NY, USA, 2012; p. 9. [Google Scholar]
- Eppinger, T.; Jurtz, N.; Kraume, M. Influence of Macroscopic Wall Structures on the Fluid Flow and Heat Transfer in Fixed Bed Reactors with Small Tube to Particle Diameter Ratio. Processes 2021. submitted. [Google Scholar]
- Jurtz, N.; Kraume, M.; Wehinger, G.D. Advances in fixed-bed reactor modeling using particle-resolved computational fluid dynamics (CFD). Rev. Chem. Eng. 2019, 35, 139–190. [Google Scholar] [CrossRef]
- Stankiewicz, A.I.; Moulijn, J.A. Process intensification: Transforming chemical engineering. Chem. Eng. Prog. 2000, 96, 22–34. [Google Scholar]
- Elnashaie, S.S. Modelling, Simulation and Optimization of Industrial Fixed Bed Catalytic Reactors; CRC Press: Boca Raton, FL, USA, 1994; Volume 7. [Google Scholar]
- Mirzaei, A.A.; Shirzadi, B.; Atashi, H.; Mansouri, M. Modeling and operating conditions optimization of Fischer–Tropsch synthesis in a fixed-bed reactor. J. Ind. Eng. Chem. 2012, 18, 1515–1521. [Google Scholar] [CrossRef]
- Eppinger, T.; Wehinger, G.D.; Jurtz, N.; Aglave, R.; Kraume, M. A numerical optimization study on the catalytic dry reforming of methane in a spatially resolved fixed-bed reactor. Chem. Eng. Res. Des. 2016, 115, 374–381. [Google Scholar] [CrossRef]
- Kolios, G.; Frauhammer, J.; Eigenberger, G. Autothermal fixed-bed reactor concepts. Chem. Eng. Sci. 2000, 55, 5945–5967. [Google Scholar] [CrossRef]
- Manenti, F.; Leon-Garzona, A.; Giulia Bozzano, G. Energy-process integration of the gas-cooled/water-cooled fixed-bed reactor network for methanol synthesis. Chem. Eng. Trans. 2013, 35. [Google Scholar] [CrossRef]
- Fischer, K.L.; Freund, H. On the optimal design of load flexible fixed bed reactors: Integration of dynamics into the design problem. Chem. Eng. J. 2020, 393, 124722. [Google Scholar] [CrossRef]
- Fache, A.; Marias, F. Dynamic operation of fixed-bed methanation reactors: Yield control by catalyst dilution profile and magnetic induction. Renew. Energy 2020, 151, 865–886. [Google Scholar] [CrossRef]
- Dixon, A.G. Fixed bed catalytic reactor modelling—the radial heat transfer problem. Can. J. Chem. Eng. 2012, 90, 507–527. [Google Scholar] [CrossRef]
- Dixon, A.G. Local transport and reaction rates in a fixed bed reactor tube: Exothermic partial oxidation of ethylene. Chem. Eng. Sci. 2020, 231, 116305. [Google Scholar] [CrossRef]
- Moghaddam, E.; Foumeny, E.; Stankiewicz, A.; Padding, J. Multiscale Modelling of Wall-to-Bed Heat Transfer in Fixed Beds with Non-Spherical Pellets: From Particle-Resolved CFD to Pseudo-Homogenous Models. Chem. Eng. Sci. 2021, 116532. [Google Scholar] [CrossRef]
- Ferziger, J.H.; Perić, M.; Street, R.L. Computational Methods for Fluid Dynamics; Springer: Berlin/Heidelberg, Germany, 2002; Volume 3. [Google Scholar]
- Levenspiel, O. Chemical Reaction Engineering; John Wiley & Sons: Hoboken, NJ, USA, 1999. [Google Scholar]
- Dixon, A.G.; Nijemeisland, M.; Stitt, E.H. Packed tubular reactor modeling and catalyst design using computational fluid dynamics. Adv. Chem. Eng. 2006, 31, 307–389. [Google Scholar]
- Dixon, A.G.; Partopour, B. Computational Fluid Dynamics for Fixed Bed Reactor Design. Annu. Rev. Chem. Biomol. Eng. 2020, 11, 109–130. [Google Scholar] [CrossRef] [PubMed]
- Koning, G.W. Heat and Mass Transport in Tubular Packed Bed Reactors at Reacting and Non-Reacting Conditions: Experiments and Models; Twente University Press: Enschede, The Netherlands, 2002. [Google Scholar]
- Feng, Y.; Han, K.; Owen, D. A generic contact detection framework for cylindrical particles in discrete element modelling. Comput. Methods Appl. Mech. Eng. 2017, 315, 632–651. [Google Scholar] [CrossRef]
- Krischke, A.M. Modellierung und experimentelle Untersuchung von Transportprozessen in durchstromten Schuttungen. In Fortschritt Berichte-VDI Reihe 3 Verfahrenstechnik; VDI-Verlag: Dusseldorf, Germany, 2001. [Google Scholar]
- Eppinger, T.; Seidler, K.; Kraume, M. DEM-CFD simulations of fixed bed reactors with small tube to particle diameter ratios. Chem. Eng. J. 2011, 166, 324–331. [Google Scholar] [CrossRef]
- Jurtz, N.; Waldherr, P.; Kraume, M. Numerical Analysis of the Impact of Particle Friction on Bed Voidage in Fixed-Beds. Chem. Ing. Tech. 2019, 91, 1260–1266. [Google Scholar] [CrossRef]
- Eppinger, T.; Jurtz, N.; Aglave, R. Automated workflow for spatially resolved packed bed reactors with spherical and non-spherical particles. In Proceedings of the 10th International Conference on CFD in Oil & Gas, Metallurgical and Process Industries SINTEF, Trondheim, Norway, 17–19 June 2014; pp. 17–19. [Google Scholar]
- Minhua, Z.; He, D.; Zhongfeng, G. A particle-resolved CFD model coupling reaction-diffusion inside fixed-bed reactor. Adv. Powder Technol. 2019, 30, 1226–1238. [Google Scholar] [CrossRef]
- Vortmeyer, D. Die mathematische Modellierung von Reaktions-und Austauschprozesen in durchströmten Festbetten unter Berücksichtigung von ungleichmäßigen Strömungsverteilungen. WÄRme-Und StoffÜBertragung 1987, 21, 247–257. [Google Scholar] [CrossRef]
- Tsotsas, E.; Schlünder, E.U. Heat transfer in packed beds with fluid flow: Remarks on the meaning and the calculation of a heat transfer coefficient at the wall. Chem. Eng. Sci. 1990, 45, 819–837. [Google Scholar] [CrossRef]
- Yagi, S.; Kunii, D. Studies on effective thermal conductivities in packed beds. AIChE J. 1957, 3, 373–381. [Google Scholar] [CrossRef]
- van Antwerpen, W.d.; Du Toit, C.; Rousseau, P. A review of correlations to model the packing structure and effective thermal conductivity in packed beds of mono-sized spherical particles. Nucl. Eng. Des. 2010, 240, 1803–1818. [Google Scholar] [CrossRef]
- Zehner, P.; Schlünder, E. Wärmeleitfähigkeit von Schüttungen bei mäßigen Temperaturen. Chem. Ing. Tech. 1970, 42, 933–941. [Google Scholar] [CrossRef]
- Tsotsas, E. M11 Wärmeleitfähigkeit von Schüttschichten. In VDI-Wärmeatlas; Springer: Berlin/Heidelberg, Germany, 2019; pp. 1831–1843. [Google Scholar]
- Yagi, S.; Kunii, D. Studies on heat transfer near wall surface in packed beds. AIChE J. 1960, 6, 97–104. [Google Scholar] [CrossRef]
- Nilles, M. Wärmeübertragung an der Wand durchströmter Schüttungsrohre, Wärmetransport in Schüttungen, Reihe 3, Fortschritt-Berichte VDI. Ph.D. Thesis, Universität Karlsruhe, Düsseldorf, Germany, 1991. [Google Scholar]
- Martin, H.; Nilles, M. Radiale wärmeleitung in durchströmten schüttungsrohren. Chem. Ing. Tech. 1993, 65, 1468–1477. [Google Scholar] [CrossRef]
- Wakao, N.; Kagei, S. Heat and Mass Transfer in Packed Beds; Taylor & Francis: New York, NY, USA, 1982; Volume 1. [Google Scholar]
- Ahmed, M.; Fahien, R. Tubular reactor design—I Two dimensional model. Chem. Eng. Sci. 1980, 35, 889–895. [Google Scholar] [CrossRef]
- Argo, W.; Smith, J. Heat transfer in packed beds-prediction of radial rates in gas-solid beds. Chem. Eng. Prog. 1953, 49, 443–451. [Google Scholar]
- Gunn, D.; Ahmed, M. The characterisation of radial heat transfer in fixed beds. In IChemE Symp. Ser.; Elsevier: Leeds, UK, 1984; Volume 86, pp. 513–520. [Google Scholar]
- Gunn, D.; Ahmad, M.; Sabri, M. Radial heat transfer to fixed beds of particles. Chem. Eng. Sci. 1987, 42, 2163–2171. [Google Scholar] [CrossRef]
- Gunn, D.; Sabri, M. A distributed model for liquid-phase heat transfer in fixed beds. Int. J. Heat Mass Transf. 1987, 30, 1693–1702. [Google Scholar] [CrossRef]
- Smirnov, E.; Muzykantov, A.; Kuzmin, V.; Kronberg, A.E.; Zolotarskii, I. Radial heat transfer in packed beds of spheres, cylinders and Rashig rings: Verification of model with a linear variation of λer in the vicinity of the wall. Chem. Eng. J. 2003, 91, 243–248. [Google Scholar] [CrossRef]
- Winterberg, M.; Tsotsas, E.; Krischke, A.; Vortmeyer, D. A simple and coherent set of coefficients for modelling of heat and mass transport with and without chemical reaction in tubes filled with spheres. Chem. Eng. Sci. 2000, 55, 967–979. [Google Scholar] [CrossRef]
- Pietschak, A.; Maußner, J.; Dixon, A.G.; Freund, H. Comparative evaluation of heat transfer correlations with different fluid property considerations for fixed-bed reactor modeling. Int. J. Heat Mass Transf. 2020, 148, 119099. [Google Scholar] [CrossRef]
- Pietschak, A.; Dixon, A.G.; Freund, H. A new heat transfer correlation suited for the design of fixed-bed reactors via numerical optimization. Chem. Eng. Sci. 2020, 220, 115614. [Google Scholar] [CrossRef]
- Dixon, A.G.; Wu, Y. Flow and heat transfer in narrow fixed beds with axial thermowells. Numer. Heat Transf. Part A Appl. 2019, 76, 811–829. [Google Scholar] [CrossRef]
- Holleman, A.F. Lehrbuch der Anorganischen Chemie; Walter de Gruyter GmbH & Co KG: Berlin, Germany, 2019. [Google Scholar]











| DEM Simulation | |
| Normal/tangential spring stiffness (N/m) | |
| Static friction coefficient (-) | 0.61/0.01 (loose/dense bed) |
| Normal/tangential restitution coefficient (-) | 0.5 |
| CFD Simulation | |
| Fluid density (kg/m3)) | Ideal gas law |
| Fluid specific heat (J/(kg K)) | 1006.82 |
| Fluid thermal conductivity (W/(m K)) | |
| Fluid dynamic viscosity (Pa s) | |
| Particle density (kg/m3) | 1500 |
| Particle thermal conductivity (W/(m K)) | [38] |
| Particle specific heat (J/(kg K)) | 1046.7 |
| Inlet velocity (m/s) | 0.138; 0.688; 1.376; 2.75 |
| Inlet temperature (K) | 293.15 |
| Wall temperature (K) | 473.15 |
| Pressure (bar) | 1.01325 |
| Shape | General Properties | |||||||||||
|---|---|---|---|---|---|---|---|---|---|---|---|---|
| U (W/(m2 K)) | αw (W/(m2 K)) | MSE (K2) | ||||||||||
| Spheres | loose | 100 | 0.473 | 50.0 | 0.07943 | 30.86 | 108.44 | 0.4048 | 7.487 | 1.017 | 0.2808 | 1.08 |
| 500 | 0.473 | 651.2 | 0.07943 | 44.73 | 172.74 | 1.4251 | 10.210 | 1.242 | 0.3210 | 1.40 | ||
| 1000 | 0.473 | 2206.5 | 0.07943 | 59.08 | 236.83 | 2.3836 | 10.741 | 1.246 | 0.3431 | 2.41 | ||
| 2000 | 0.473 | 8429.9 | 0.07943 | 95.09 | 369.63 | 4.9837 | 11.448 | 1.310 | 0.3031 | 3.26 | ||
| dense | 100 | 0.426 | 65.0 | 0.08759 | 20.55 | 255.61 | 0.2726 | 12.051 | 0.566 | 0.2711 | 12.76 | |
| 500 | 0.426 | 837.9 | 0.08759 | 26.83 | 192.19 | 1.0301 | 18.974 | 0.955 | 0.3290 | 5.78 | ||
| 1000 | 0.426 | 2868.8 | 0.08759 | 40.58 | 276.36 | 1.8464 | 20.127 | 1.004 | 0.3290 | 6.22 | ||
| 2000 | 0.426 | 11,258.8 | 0.08759 | 67.95 | 466.10 | 3.7963 | 20.111 | 1.012 | 0.3325 | 7.65 | ||
| Cylinders | loose | 100 | 0.463 | 76.3 | 0.10052 | 49.82 | 88.92 | 0.5529 | 5.308 | 1.253 | 0.3376 | 0.84 |
| 500 | 0.463 | 1021.5 | 0.10052 | 67.83 | 161.63 | 2.0920 | 8.956 | 1.995 | 0.1574 | 3.40 | ||
| 1000 | 0.463 | 3539.1 | 0.10052 | 94.47 | 241.29 | 3.8584 | 8.855 | 1.981 | 0.1624 | 2.36 | ||
| 2000 | 0.463 | 14,417.8 | 0.10052 | 151.31 | 408.46 | 7.9587 | 8.931 | 2.027 | 0.1430 | 2.66 | ||
| dense | 100 | 0.371 | 158.1 | 0.12021 | 46.08 | 180.10 | 0.4756 | 6.042 | 1.536 | 0.2753 | 5.00 | |
| 500 | 0.371 | 2059.1 | 0.12021 | 58.19 | 279.40 | 1.9381 | 9.652 | 1.448 | 0.2477 | 3.48 | ||
| 1000 | 0.371 | 7254.7 | 0.12021 | 88.99 | 420.27 | 3.5749 | 10.697 | 1.532 | 0.2087 | 3.89 | ||
| 2000 | 0.371 | 33,613.3 | 0.12021 | 151.82 | 756.64 | 7.8851 | 10.721 | 1.478 | 0.2019 | 4.29 | ||
| Rings | loose | 100 | 0.755 | 37.6 | 0.05826 | 36.40 | 45.92 | 0.2522 | 5.692 | 1.030 | 0.5181 | 2.94 |
| 500 | 0.755 | 504.2 | 0.05826 | 64.91 | 86.39 | 1.4277 | 5.794 | 1.435 | 0.3768 | 0.97 | ||
| 1000 | 0.755 | 1743.2 | 0.05826 | 88.33 | 126.61 | 2.9977 | 5.815 | 1.605 | 0.3218 | 1.24 | ||
| 2000 | 0.755 | 6583.6 | 0.05826 | 124.33 | 198.75 | 5.9213 | 5.816 | 1.686 | 0.2936 | 1.65 | ||
| dense | 100 | 0.710 | 65.9 | 0.06587 | 32.18 | 49.04 | 0.3024 | 4.125 | 0.653 | 1.8197 | 4.46 | |
| 500 | 0.710 | 891.0 | 0.06587 | 69.53 | 99.14 | 1.3419 | 4.177 | 1.022 | 0.5710 | 2.59 | ||
| 1000 | 0.710 | 3136.8 | 0.06587 | 95.12 | 157.84 | 2.3876 | 6.289 | 1.285 | 0.4061 | 2.01 | ||
| 2000 | 0.710 | 12,675.6 | 0.06587 | 146.97 | 257.85 | 5.4581 | 6.324 | 1.492 | 0.3022 | 1.91 | ||
| 4-hole cylinders | loose | 100 | 0.634 | 55.9 | 0.07945 | 33.10 | 68.00 | 0.2902 | 7.492 | 1.199 | 0.3727 | 1.93 |
| 500 | 0.634 | 671.3 | 0.07945 | 60.05 | 117.27 | 1.3121 | 7.243 | 1.403 | 0.3596 | 1.15 | ||
| 1000 | 0.634 | 2271.6 | 0.07945 | 87.79 | 167.40 | 2.8781 | 7.012 | 1.518 | 0.3252 | 1.60 | ||
| 2000 | 0.634 | 8622.2 | 0.07945 | 139.90 | 275.54 | 5.9914 | 6.963 | 1.634 | 0.2744 | 2.18 | ||
| dense | 100 | 0.571 | 105.7 | 0.09141 | 29.57 | 113.27 | 0.2724 | 5.641 | 0.604 | 1.4786 | 3.93 | |
| 500 | 0.571 | 1257.3 | 0.09141 | 54.84 | 143.32 | 1.2905 | 6.981 | 0.912 | 0.7643 | 2.71 | ||
| 1000 | 0.571 | 4327.0 | 0.09141 | 87.87 | 182.08 | 3.1602 | 7.514 | 1.107 | 0.5110 | 3.08 | ||
| 2000 | 0.571 | 17,790.1 | 0.09141 | 146.86 | 351.64 | 6.0885 | 6.748 | 1.111 | 0.5690 | 3.50 | ||
| Wall structure | loose | 100 | 0.496 | 41.7 | 0.07570 | 38.08 | 101.09 | 0.4923 | 7.065 | 0.424 | 0.5479 | 3.16 |
| 500 | 0.496 | 560.4 | 0.07570 | 61.63 | 176.84 | 1.9282 | 8.502 | 0.839 | 0.4355 | 4.23 | ||
| 1000 | 0.496 | 1934.4 | 0.07570 | 85.03 | 317.63 | 2.9432 | 9.177 | 1.073 | 0.3126 | 4.71 | ||
| 2000 | 0.496 | 7640.2 | 0.07570 | 131.56 | 544.53 | 5.6290 | 9.806 | 1.308 | 0.2195 | 4.87 | ||
| dense | 100 | 0.439 | 67.6 | 0.08525 | 38.32 | 252.46 | 0.4644 | 7.057 | 1.121 | 0.1120 | 1.57 | |
| 500 | 0.439 | 888.3 | 0.08525 | 61.54 | 308.36 | 1.5457 | 9.830 | 1.098 | 0.2072 | 1.56 | ||
| 1000 | 0.439 | 3078.3 | 0.08525 | 87.89 | 424.75 | 2.9964 | 10.592 | 1.210 | 0.1952 | 2.12 | ||
| 2000 | 0.439 | 12,539.7 | 0.08525 | 149.93 | 713.48 | 6.5500 | 11.011 | 1.416 | 0.1525 | 2.57 | ||
Publisher’s Note: MDPI stays neutral with regard to jurisdictional claims in published maps and institutional affiliations. |
© 2021 by the authors. Licensee MDPI, Basel, Switzerland. This article is an open access article distributed under the terms and conditions of the Creative Commons Attribution (CC BY) license (https://creativecommons.org/licenses/by/4.0/).
Share and Cite
Jurtz, N.; Srivastava, U.; Moghaddam, A.A.; Kraume, M. Particle-Resolved Computational Fluid Dynamics as the Basis for Thermal Process Intensification of Fixed-Bed Reactors on Multiple Scales. Energies 2021, 14, 2913. https://doi.org/10.3390/en14102913
Jurtz N, Srivastava U, Moghaddam AA, Kraume M. Particle-Resolved Computational Fluid Dynamics as the Basis for Thermal Process Intensification of Fixed-Bed Reactors on Multiple Scales. Energies. 2021; 14(10):2913. https://doi.org/10.3390/en14102913
Chicago/Turabian StyleJurtz, Nico, Urvashi Srivastava, Alireza Attari Moghaddam, and Matthias Kraume. 2021. "Particle-Resolved Computational Fluid Dynamics as the Basis for Thermal Process Intensification of Fixed-Bed Reactors on Multiple Scales" Energies 14, no. 10: 2913. https://doi.org/10.3390/en14102913
APA StyleJurtz, N., Srivastava, U., Moghaddam, A. A., & Kraume, M. (2021). Particle-Resolved Computational Fluid Dynamics as the Basis for Thermal Process Intensification of Fixed-Bed Reactors on Multiple Scales. Energies, 14(10), 2913. https://doi.org/10.3390/en14102913

