Heat Transfer Coefficient Determination during FC-72 Flow in a Minichannel Heat Sink Using the Trefftz Functions and ADINA Software
Abstract
1. Introduction
- (i)
- The new geometric layout and dimensions of the test section: in place of the test section with minichannels or minigaps 180 mm long, a system of several short minichannels (three and five) constituting a minichannel heat sink was applied (a square test section with an area of 40 mm × 40 mm contains several short parallel minichannels oriented in two spatial arrangements: vertical or horizontal);
- (ii)
- Calculations according to the 2D approach were performed applying the Trefftz functions and in the commercial program ADINA, the 1D approach was also used in the computations; therefore, three different mathematical calculations were applied to validate the results.
2. Experimental Database
3. Experimental Uncertainties
4. Mathematical Methods of Calculations
4.1. Two-Dimensional Approach—Mathematical Model and the FEM Calculations
4.1.1. Governing Equations, Boundary Conditions and Basic Assumptions
- Only the central line along the minichannel axis, consistent with the flow direction, was taken into consideration;
- The heat transfer in the minichannel wall and flowing fluid was stationary and bidirectional: the y direction coincided with the flow direction, the x direction perpendicular to the flow direction referred to the depth of the minichannel;
- The independence of material properties (of the fluid and the foil) on temperature;
- The volumetric heat flux generated uniformly by the heating element was modeled as an internal heat source in the Poisson equation;
- Temperature measurements of the outer surface of the heated wall and the fluid temperature at the inlet and outlet of the minichannel were taken into account in boundary conditions;
- The fluid flow in the minichannel was laminar and incompressible with a constant mass flow rate;
- Only one component of the fluid velocity vector (parallel to the minichannel heated surface) was not zero;
- It was assumed that the stabilized fluid temperature distribution occurred in the section distant by 25% of the channel depth from the fluid–heated foil contact interface.
4.1.2. Analytical–Numerical Method—The FEM with the Trefftz-Type Basis Functions
4.1.3. Numerical Method—ADINA Software
4.2. One-Dimensional Approach—Analytical Method
5. Results and Discussion
- Three channels, the test section oriented vertically with fluid upflow—four values of increasing heat flux: q″ = 68 kW/m2, q″ = 75.7 kW/m2, q″ = 100.2 kW/m2 and q″ = 123.5 kW/m2;
- Five channels, the test section oriented horizontally with fluid flow above the heated wall—six values of the increasing heat flux: q″ = 13.8 kW/m2, q″ = 24.6 kW/m2, q″ = 31.3 kW/m2, q″ = 38.7 kW/m2, q″ = 47.2 kW/m2 and q″ = 55.8 kW/m2.
- The temperature vs. the distance from the minichannel inlet at the fluid/foil interface: determined from the 2D approach (computations using the Trefftz function and ADINA software and the 1D approach temperature measured by infrared thermography at the outer foil surface: Figure 8 (the test section with three minichannels) and Figure 9 (the test section with five minichannels);
- Example boiling curves generated for two distances from the inlet of the minichannel (0.015 m and 0.025 m)—Figure 16, based on the data from the experimental set using the test section with five minichannels;
5.1. Temperature Distributions and Heat Transfer Coefficients
5.2. Boiling Curves
6. Conclusions
Author Contributions
Funding
Conflicts of Interest
Nomenclature
| A | cross-sectional area of the heated foil, m−2 |
| cp | specific heat capacity, J kg−1 K−1 |
| FE | finite elements, - |
| basis functions, - | |
| I | current, A |
| L | length of the minichannel, m |
| q″ | heat flux, W m−2 |
| T | temperature, K |
| particular solution, K | |
| w | velocity, m s−1 |
| x,y | coordinates, m |
| Greek symbols | |
| α | heat transfer coefficient, W m−2 K−1 |
| ΔU | the voltage drop across the foil, V |
| δ | depth, thickness, m |
| ρ | density, kg m−3 |
| Κ | thermal diffusivity, m2 s−1 |
| λ | thermal conductivity, W m−1 K−1 |
| Ω | domain, - |
| Subscripts | |
| avg | average |
| F | heated foil |
| f | fluid |
| IR | infrared |
| in | at the inlet |
| M | minichannel |
| max | maximum |
| out | at the outlet |
| 1D | one-dimensional approach (1D) |
| 2D | two-dimensional approach (2D) |
References
- Grabowski, M.; Hożejowska, S.; Pawińska, A.; Poniewski, M.; Wernik, J. Heat Transfer Coefficient Identification in Mini-Channel Flow Boiling with the Hybrid Picard–Trefftz Method. Energies 2018, 11, 2057. [Google Scholar] [CrossRef]
- Luciani, S.; Brutin, D.; Le Niliot, C.; Rahli, O.; Adrist, L. Flow boiling in minichannels under normal, hyper-, and microgravity: Local heat transfer analysis using inverse methods. J. Heat Transf. ASME 2008, 130, 101502. [Google Scholar] [CrossRef]
- Agostini, B.; Thome, J.R.; Fabbri, M.; Michel, B.; Calmi, D.; Kloter, U. High heat flux flow boiling in silicon multi-microchannels—Part II: Heat transfer characteristics of refrigerant R245fa. Int. J. Heat Mass Transf. 2008, 51, 5415–5425. [Google Scholar] [CrossRef]
- Jakubowska, B.; Mikielewicz, D.; Klugmann, M. Experimental study and comparison with predictive methods for flow boiling heat transfer coefficient of HFE7000. Int. J. Heat Mass Transf. 2019, 142, 118307. [Google Scholar] [CrossRef]
- Wajs, J.; Mikielewicz, D. Determination of dryout localization using a five-equation model of annular flow for boiling in minichannels. Arch. Thermodyn. 2017, 38, 123–139. [Google Scholar] [CrossRef][Green Version]
- Wajs, J.; Bajor, M.; Mikielewicz, D. Thermal-Hydraulic Studies on the Shell-and-Tube Heat Exchanger with Minijets. Energies 2019, 12, 3276. [Google Scholar] [CrossRef]
- Hozejowska, S.; Piasecka, M. Numerical Solution of Axisymmetric Inverse Heat Conduction Problem by the Trefftz Method. Energies 2020, 13, 705. [Google Scholar] [CrossRef]
- Saraceno, L.; Celata, G.P.; Furrer, M.; Mariani, A.; Zummo, G. Flow boiling heat transfer of refrigerant FC-72 in microchannels. Int. J. Therm. Sci. 2012, 53, 35–41. [Google Scholar] [CrossRef]
- Hu, X.; Lin, G.; Cai, Y.; Wen, D. Experimental study of flow boiling of FC-72 in parallel minichannels under sub-atmospheric pressure. Appl. Therm. Eng. 2011, 31, 3839–3853. [Google Scholar] [CrossRef]
- Kim, C.-H.; Lee, M.-J.; Park, C.Y. An experimental study on the heat transfer and pressure drop characteristics of electronics cooling heat sinks with FC-72 flow boiling. J. Mech. Sci. Technol. 2018, 32, 1449–1462. [Google Scholar] [CrossRef]
- Park, C.Y.; Jang, Y.; Kim, B.; Kim, Y. Flow boiling heat transfer coefficients and pressure drop of FC-72 in microchannels. Int. J. Multiph. Flow 2012, 39, 45–54. [Google Scholar] [CrossRef]
- Hożejowska, S.; Kaniowski, R.; Poniewski, M.E. Experimental investigations and numerical modeling of 2D temperature fields in flow boiling in minichannels. Exp. Therm. Fluid Sci. 2016, 78, 18–29. [Google Scholar] [CrossRef]
- Bohdal, T.; Kruzel, M. Refrigerant condensation in vertical pipe minichannels under various heat flux density level. Int. J. Heat Mass Transf. 2020, 146, 118849. [Google Scholar] [CrossRef]
- Kruzel, M.; Bohdal, T.; Sikora, M. Heat transfer and pressure drop during refrigerants condensation in compact heat exchangers. Int. J. Heat Mass Transf. 2020, 120283. [Google Scholar] [CrossRef]
- Cremer, I.; Mutz, A.; Trewin, R. Two-phase pressurized thermal shock analysis with CFD including the effects of free-surface condensation. Nucl. Eng. Des. 2019, 355, 110282. [Google Scholar] [CrossRef]
- Jaszczur, M.; Mlynarczykowska, A.; Demurtas, L. Effect of Impeller Design on Power Characteristics and Newtonian Fluids Mixing Efficiency in a Mechanically Agitated Vessel at Low Reynolds Numbers. Energies 2020, 13, 640. [Google Scholar] [CrossRef]
- Al-Neama, A.F.; Kapur, N.; Summers, J.; Thompson, H.M. Thermal management of GaN HEMT devices using serpentine minichannel heat sinks. Appl. Therm. Eng. 2018, 140, 622–636. [Google Scholar] [CrossRef]
- Ong, K.S.; Tan, C.F.; Lai, K.C.; Tan, K.H. Heat spreading and heat transfer coefficient with fin heat sink. Appl. Therm. Eng. 2017, 112, 1638–1647. [Google Scholar] [CrossRef]
- Arendt, K.; Krzaczek, M. Co-simulation strategy of transient CFD and heat transfer in building thermal envelope based on Calibrated heat transfer coefficients. Int. J. Therm. Sci. 2014, 85, 1–11. [Google Scholar] [CrossRef]
- Khanafer, K.; Aithal, S.M.; Vafai, K. Mixed convection heat transfer in a differentially heated cavity with two rotating cylinders. Int. J. Therm. Sci. 2019, 135, 117–132. [Google Scholar] [CrossRef]
- Jeong, W.; Seong, J. Comparison of effects on technical variances of computational fluid dynamics (CFD) software based on finite element and finite volume methods. Int. J. Mech. Sci. 2014, 78, 19–26. [Google Scholar] [CrossRef]
- Liu, D.; Garimella, S. Investigation of liquid flow in microchannels. J. Thermophys. Heat Transf. 2004, 18, 65–72. [Google Scholar] [CrossRef]
- Hetsroni, G.; Mosyak, A.; Pogrebnyak, E.; Yarin, L. Heat transfer in micro-channels: Comparison of experiments with theory and numerical results. Int. J. Heat Mass Transf. 2005, 48, 5580–5601. [Google Scholar] [CrossRef]
- Xu, J.; Song, Y.; Zhang, W.; Zhang, H.; Gan, Y. Numerical simulations of interrupted and conventional microchannel heat sinks. Int. J. Heat Mass Transf. 2008, 51, 5906–5917. [Google Scholar] [CrossRef]
- Xia, G.; Ma, D.; Zhai, Y.; Li, Y.; Liu, R.; Du, M. Experimental and numerical study of fluid flow and heat transfer characteristics in microchannel heat sink with complex structure. Energy Convers. Manag. 2015, 105, 848–857. [Google Scholar] [CrossRef]
- Dabrowski, P. Thermohydraulic maldistribution reduction in mini heat exchangers. Appl. Therm. Eng. 2020, 173, 115271. [Google Scholar] [CrossRef]
- Saeed, M.; Kim, M.-H. Header design approaches for mini-channel heatsinks using analytical and numerical methods. Appl. Therm. Eng. 2017, 110, 1500–1510. [Google Scholar] [CrossRef]
- Tang, W.; Sun, L.; Liu, H.; Xie, G.; Mo, Z.; Tang, J. Improvement of flow distribution and heat transfer performance of a self-similarity heat sink with a modification to its structure. Appl. Therm. Eng. 2017, 121, 163–171. [Google Scholar] [CrossRef]
- Maciejewska, B.; Łabędzki, P.; Piasecki, A.; Piasecka, M. Comparison of FEM calculated heat transfer coefficient in a minichannel using two approaches: Trefftz base functions and ADINA software. EPJ Web Conf. 2017, 143, 1–5. [Google Scholar] [CrossRef]
- Maciejewska, B.; Błasiak, S.; Piasecka, M. Determination of the temperature distribution in a minichannel using ANSYS CFX and a procedure based on the Trefftz functions. EPJ Web. Conf. 2017, 143, 2071. [Google Scholar] [CrossRef]
- Moraveji, M.K.; Ardehali, R.M. CFD modeling (comparing single and two-phase approaches) on thermal performance of Al(2)o(3)/water nanofluid in mini-channel heat sink. Int. Commun. Heat Mass Transf. 2013, 44, 157–164. [Google Scholar] [CrossRef]
- Grzybowski, H.; Mosdorf, R. Dynamics of pressure drop oscillations during flow boiling inside minichannel. Int. Commun. Heat Mass Transf. 2018, 95, 25–32. [Google Scholar] [CrossRef]
- Rafalko, G.; Zaborowska, I.; Grzybowski, H.; Mosdorf, R. Boiling Synchronization in Two Parallel Minichannels-Image Analysis. Energies 2020, 13, 1409. [Google Scholar] [CrossRef]
- Kornet, S.; Ziolkowski, P.; Jozwik, P.; Ziolkowski, P.J.; Stajnke, M.; Badur, J. Thermal-FSI modeling of flow and heat transfer in a heat exchanger based on minichanels. J. Power Technol. 2017, 97, 373–381. [Google Scholar]
- Ebrahimi, A.; Naranjani, B.; Milani, S.; Javan, F.D. Laminar convective heat transfer of shear-thinning liquids in rectangular channels with longitudinal vortex generators. Chem. Eng. Sci. 2017, 173, 264–274. [Google Scholar] [CrossRef]
- Ebrahimi, A.; Roohi, E.; Kheradmand, S. Numerical study of liquid flow and heat transfer in rectangular microchannel with longitudinal vortex generators. Appl. Therm. Eng. 2015, 78, 576–583. [Google Scholar] [CrossRef]
- Duda, P.; Konieczny, M. Experimental Verification of the Inverse Method of the Heat Transfer Coefficient Calculation. Energies 2020, 13, 1440. [Google Scholar] [CrossRef]
- Piasecka, M. Heat transfer mechanism, pressure drop and flow patterns during FC-72 flow boiling in horizontal and vertical minichannels with enhanced walls. Int. J. Heat Mass Transf. 2016, 66, 472–488. [Google Scholar] [CrossRef]
- Strąk, K.; Piasecka, M.; Maciejewska, B. Spatial orientation as a factor in flow boiling heat transfer of cooling liquids in enhanced surface minichannels. Int. J. Heat Mass Transf. 2018, 117, 375–387. [Google Scholar] [CrossRef]
- Maciejewska, B.; Strak, K.; Piasecka, M. The solution of a two-dimensional inverse heat transfer problem using two methods the Trefftz method and the Beck method. Int. J. Numer. Methods Heat Fluid Flow 2018, 28, 206–219. [Google Scholar] [CrossRef]
- Maciejewska, B.; Piasecka, M. Trefftz function-based thermal solution of inverse problem in unsteady-state flow boiling heat transfer in a minichannel. Int. J. Heat Mass Transf. 2017, 107, 925–933. [Google Scholar] [CrossRef]
- Piasecka, M.; Strąk, K. Influence of the surface enhancement on the flow boiling heat transfer in a minichannel. Heat Transf. Eng. 2019, 40, 1162–1175. [Google Scholar] [CrossRef]
- Maciejewska, B.; Piasecka, M. Time-dependent study of boiling heat transfer coefficient in a vertical minichannel. Int. J. Numer. Methods Heat Fluid Flow 2019, 30, 2953–2969. [Google Scholar] [CrossRef]
- Trefftz, E. Ein Gegenstück zum Ritzschen Verfahren. In Proceedings of the International Kongress für Technische Mechanik, Zürich, Switzerland, 12–17 September 1926; pp. 131–137. [Google Scholar]
- Blasiak, S.; Pawinska, A. Direct and inverse heat transfer in non-contacting face seals. Int. J. Heat Mass Transf. 2015, 90, 710–718. [Google Scholar] [CrossRef]
- Cialkowski, M.; Frackowiak, A. Solution of the stationary 2D inverse heat conduction problem by Treffetz method. J. Therm. Sci. 2002, 11, 148–162. [Google Scholar] [CrossRef]
- Grysa, K.; Maciag, A. Identifying heat source intensity in treatment of cancerous tumor using therapy based on local hyperthermia—The Trefftz method approachs. J. Therm. Biol. 2019, 84, 16–25. [Google Scholar] [CrossRef]
- Hożejowska, S.; Maciejewska, B.; Poniewski, M.E. Numerical Analysis of Boiling Two-Phase Flow in Mini- and Microchannels. In Encyclopedia of Two-Phase Heat Transfer and Flow I. Fundamentals and Method. Vol. 4 Specjal Topics in Pool and Flow Boiling; Thome, J.R., Ed.; World Scientific Publishing Co Ltd.: New York, NY, USA; Londom, UK; Singapore, 2016; pp. 131–160. [Google Scholar]
- Michalski, D.; Strąk, K.; Piasecka, M. Estimating uncertainty of temperature measurements for studies of flow boiling heat transfer in minichannels. EPJ Web Conf. 2019, 213, 1–7. [Google Scholar] [CrossRef]
- Cialkowski, M. New type of basic functions of FEM in application to solution of inverse heat conduction problem. J. Therm. Sci. 2002, 11, 163–171. [Google Scholar] [CrossRef]
- Hożejowski, L.; Hożejowska, S. Trefftz method in an inverse problem of two-phase flow boiling in a minichannel. Eng. Anal. Bound. Elem. 2019, 98, 27–34. [Google Scholar] [CrossRef]
- Grabowski, M.; Hozejowska, S.; Maciejewska, B.; Placzkowski, K.; Poniewski, M.E. Application of the 2-D Trefftz Method for Identification of Flow Boiling Heat Transfer Coefficient in a Rectangular MiniChannel. Energies 2020, 13, 3973. [Google Scholar] [CrossRef]
- Grysa, K.; Hożejowska, S.; Maciejewska, B. Adjustment calculus and Trefftz functions applied to local heat transfer coefficient determination in a minichannel. J. Theor. Appl. Mech. 2012, 50, 1087–1096. [Google Scholar]
- ADINA. Theory and Modeling Guide. Volume III: CFD & FSI; ADINA R&D, Inc.: Watertown, MA, USA, 2015. [Google Scholar]
















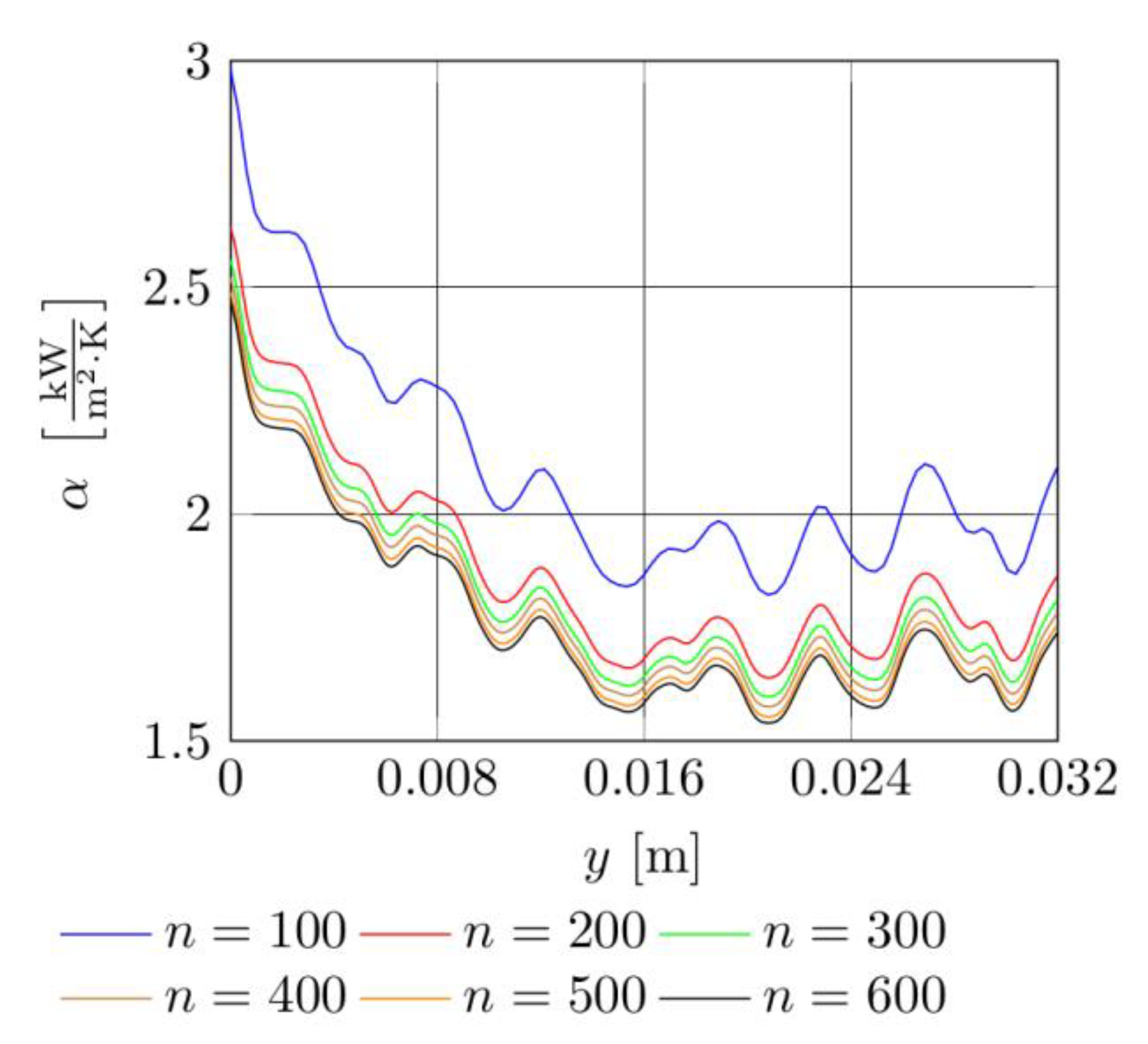
| Maximum Relative Differences (rdmax) between Heat Transfer Coefficients | ||||
|---|---|---|---|---|
| rdmax (n = 100, n = 200) | rdmax (n = 200, n = 300) | rdmax (n = 300, n = 400) | rdmax (n = 400, n = 500) | rdmax (n = 500, n = 600) |
| 13.3% | 3% | 1.7% | 1.5% | 0.95% |
| The Test Section, a Minichannel Heat Sink with: | Spatial Position of the Test Section | Heat Flux (Range) q″ (kW/m2) | Inlet Pressure (Average) (kPa) | Mass Flow Rate (Average, per a Channel) (kg/s) | Inlet Liquid Subcooling (Average) (K) |
|---|---|---|---|---|---|
| Three channels | vertical, fluid upflow | 68.0–123.5 | 105.7 | 0.0020/3 | 33.7 |
| Five channels | horizontal, fluid flow above the heated wall | 13.8–55.8 | 104.0 | 0.0026/5 | 30.7 |
| Heat Flux (kW/m2) | ||||
|---|---|---|---|---|
| Experiment, q″ | 68.6 | 75.7 | 100.2 | 123.5 |
| ADINA, q″avg | 66.5 | 76.4 | 99.79 | 122.83 |
| Trefftz, q″avg | 68.66 | 75.71 | 100.23 | 123.55 |
| Relative Differences (%) | ||||
| Experiment vs. ADINA | 2.2 | 0.9 | 0.4 | 0.5 |
| Experiment vs. Trefftz | 0.09 | 0.01 | 0.03 | 0.04 |
| Heat Flux (kW/m2) | ||||||
|---|---|---|---|---|---|---|
| Experiment, q″ | 13.8 | 24.6 | 31.3 | 38.7 | 47.2 | 55.8 |
| ADINA, q″avg | 12.97 | 22.82 | 28.77 | 36.62 | 46.96 | 54.54 |
| Trefftz, q″avg | 13.79 | 24.62 | 31.31 | 38.72 | 47.25 | 55.82 |
| Relative Differences (%) | ||||||
| Experiment vs. ADINA | 6 | 7.2 | 8.1 | 5.4 | 0.5 | 2.3 |
| Experiment vs. Trefftz | 0.07 | 0.08 | 0.03 | 0.05 | 0.1 | 0.04 |
| Relative Differences (rd) between Values of the Heat Transfer Coefficient (%) | |||||
|---|---|---|---|---|---|
| Experiment, q″ (kW/m2) | 68 | 75.7 | 100.2 | 123.5 | |
| 1D approach vs. 2D approach, Trefftz functions | rdmax | 24.6 | 18.7 | 25.4 | 22.6 |
| rdavg | 12.8 | 5.4 | 7.24 | 7 | |
| 1D approach vs. 2D approach, ADINA software | rdmax | 22.7 | 31.6 | 43.5 | 40.8 |
| rdavg | 6.4 | 8.7 | 12.8 | 11.4 | |
| 2D approach, Trefftz functions vs. 2D approach, ADINA software | rdmax | 16.5 | 12.1 | 17.4 | 14.5 |
| rdavg | 9.4 | 3.3 | 5.8 | 6.5 | |
| Relative Differences (rd) between Values of the Heat Transfer Coefficient (%) | |||||||
|---|---|---|---|---|---|---|---|
| Experiment, q″ (kW/m2) | 13.8 | 24.6 | 31.3 | 38.7 | 47.2 | 55.8 | |
| 1D approach vs. 2D approach, Trefftz functions | rdmax | 13.4 | 9.9 | 10.2 | 9.6 | 12.6 | 16.3 |
| rdavg | 4 | 4.1 | 4.2 | 4.6 | 5.2 | 6.5 | |
| 1D approach vs. 2D approach, ADINA software | rdmax | 8.1 | 10.8 | 11.7 | 8.1 | 7.8 | 7.4 |
| rdavg | 2.6 | 2.2 | 3.3 | 2.3 | 2.8 | 3.3 | |
| 2D approach, Trefftz functions vs. 2D approach, ADINA software | rdmax | 8.3 | 11.4 | 8.3 | 13.9 | 13.7 | 16.2 |
| rdavg | 2.3 | 3.9 | 2.8 | 6 | 8.1 | 9.9 | |
Publisher’s Note: MDPI stays neutral with regard to jurisdictional claims in published maps and institutional affiliations. |
© 2020 by the authors. Licensee MDPI, Basel, Switzerland. This article is an open access article distributed under the terms and conditions of the Creative Commons Attribution (CC BY) license (http://creativecommons.org/licenses/by/4.0/).
Share and Cite
Piasecka, M.; Maciejewska, B.; Łabędzki, P. Heat Transfer Coefficient Determination during FC-72 Flow in a Minichannel Heat Sink Using the Trefftz Functions and ADINA Software. Energies 2020, 13, 6647. https://doi.org/10.3390/en13246647
Piasecka M, Maciejewska B, Łabędzki P. Heat Transfer Coefficient Determination during FC-72 Flow in a Minichannel Heat Sink Using the Trefftz Functions and ADINA Software. Energies. 2020; 13(24):6647. https://doi.org/10.3390/en13246647
Chicago/Turabian StylePiasecka, Magdalena, Beata Maciejewska, and Paweł Łabędzki. 2020. "Heat Transfer Coefficient Determination during FC-72 Flow in a Minichannel Heat Sink Using the Trefftz Functions and ADINA Software" Energies 13, no. 24: 6647. https://doi.org/10.3390/en13246647
APA StylePiasecka, M., Maciejewska, B., & Łabędzki, P. (2020). Heat Transfer Coefficient Determination during FC-72 Flow in a Minichannel Heat Sink Using the Trefftz Functions and ADINA Software. Energies, 13(24), 6647. https://doi.org/10.3390/en13246647

