Discrete-Time DC-Link Voltage and Current Control of a Grid-Connected Inverter with LCL-Filter and Very Small DC-Link Capacitance
Abstract
1. Introduction
- The design of a cascaded discrete-time controller structure for a GCI under harsh system conditions such as (a) low sampling frequency close to the resonance frequency of the LCL filter and (b) very small dc-link capacitance.
- A thorough stability analysis and experimental validation of the discrete-time closed-loop system to ensure local stability for several worst-case scenarios and operating points.
2. System Model
2.1. Lcl Filter Model
2.2. Dc-Link Model
3. Dlqr Current Controller with Integral Feedback
- (i)
- the system must be completely controllable and observable ,
- (ii)
- the weighting matrices and must be symmetrical and positive semi-definite and positive definite, respectively, and
- (iii)
- the system must be observable.
4. Dc-Link Voltage Controller
4.1. Derivation of Closed-Loop System
4.2. Stability Analysis of Closed-Loop System
5. Experimental Results
6. Conclusions
Author Contributions
Funding
Conflicts of Interest
Notation
References
- Friedli, T.; Kolar, J.W. Comprehensive comparison of three-phase AC-AC Matrix Converter and Voltage DC-Link Back-to-Back Converter systems. In Proceedings of the 2010 International Power Electronics Conference-ECCE ASIA-, Sapporo, Japan, 21–23 June 2010; pp. 2789–2798. [Google Scholar] [CrossRef]
- Gu, B.G.; Nam, K. A DC-link capacitor minimization method through direct capacitor current control. IEEE Trans. Ind. Appl. 2006, 42, 573–581. [Google Scholar] [CrossRef]
- Hwang, J.W.G.; Winkelnkemper, M.; Lehn, P.W. Control of AC-DC-AC Converters with Minimized DC Link Capacitance under Grid Distortion. In Proceedings of the 2006 IEEE International Symposium on Industrial Electronics, Montreal, QC, Canada, 9–13 July 2006; Volume 2, pp. 1217–1222. [Google Scholar] [CrossRef]
- Lee, W.J.; Sul, S.K. DC-Link Voltage Stabilization for Reduced DC-Link Capacitor Inverter. IEEE Trans. Ind. Appl. 2014, 50, 404–414. [Google Scholar] [CrossRef]
- Peña Alzola, R.; Blaabjerg, F. Design and Control of Voltage Source Converters with LCL-Filters. In Control of Power Electronic Converters and Systems; Blaabjerg, F., Ed.; Academic Press: London, UK, 2018; pp. 207–242. [Google Scholar] [CrossRef]
- Ruan, X.; Wang, X.; Pan, D.; Yang, D.; Li, W.; Bao, C. Control Techniques for LCL-Type Grid-Connected Inverters; Springer: Singapore, 2018. [Google Scholar] [CrossRef]
- Lu, M.; Xin, Z.; Wang, X.; Beres, R.N.; Blaabjerg, F. Extended stable boundary of LCL-filtered grid-connected inverter based on an improved grid-voltage feedforward control. In Proceedings of the 2016 IEEE Energy Conversion Congress and Exposition (ECCE), Milwaukee, WI, USA, 18–22 September 2016; pp. 1–7. [Google Scholar] [CrossRef]
- Antoniewicz, P.; Jasinski, M.; Kazmierkowski, M. AC/DC/AC Converter with Reduced DC Side Capacitor Value. In Proceedings of the EUROCON 2005—The International Conference on “Computer as a Tool”, Belgrade, Serbia, 21–24 November 2005; Volume 2, pp. 1481–1484. [Google Scholar] [CrossRef]
- Eren, S.; Pahlevani, M.; Bakhshai, A.; Jain, P. An Adaptive Droop DC-Bus Voltage Controller for a Grid-Connected Voltage Source Inverter With LCL Filter. IEEE Trans. Power Electron. 2015, 30, 547–560. [Google Scholar] [CrossRef]
- Eren, S.; Pahlevaninezhad, M.; Bakhshai, A.; Jain, P.K. Composite Nonlinear Feedback Control and Stability Analysis of a Grid-Connected Voltage Source Inverter With LCL Filter. IEEE Trans. Ind. Electron. 2013, 60, 5059–5074. [Google Scholar] [CrossRef]
- Mitchell, J.C.; Kamper, M.J.; Hackl, C.M. Small-scale reluctance synchronous generator variable speed wind turbine system with DC transmission linked inverters. In Proceedings of the 2016 IEEE Energy Conversion Congress and Exposition (ECCE), Milwaukee, WI, USA, 18–22 September 2016; pp. 1–8. [Google Scholar] [CrossRef]
- Karimi-Ghartemani, M.; Khajehoddin, S.A.; Jain, P.; Bakhshai, A. Control of three-phase converters for grid-connected renewable energy systems using feedback linearization technique. In Proceedings of the 2010 IEEE International Symposium on Industrial Electronics, Bari, Italy, 4–7 July 2010; pp. 179–183. [Google Scholar] [CrossRef]
- Marmouh, S.; Boutoubat, M.; Mokrani, L.; Machmoum, M. A coordinated control and management strategy of a wind energy conversion system for a universal low-voltage ride-through capability. Int. Trans. Electr. Energy Syst. 2019, 29, e12035. [Google Scholar] [CrossRef]
- Rodríguez-Cabero, A.; Prodanovic, M.; Roldán-Pérez, J. Full-State Feedback Control of Back-to-Back Converters Based on Differential and Common Power Concepts. IEEE Trans. Ind. Electron. 2019, 66, 9045–9055. [Google Scholar] [CrossRef]
- Gupta, S.; Garg, R.; Singh, A. Grid integrated PMSG based Wind Energy System: Modelling, control and simulation. In Proceedings of the 2016 IEEE 1st International Conference on Power Electronics, Intelligent Control and Energy Systems (ICPEICES), Delhi, India, 4–6 July 2016; pp. 1–6. [Google Scholar] [CrossRef]
- Tang, C.Y.; Chen, Y.F.; Chen, Y.M.; Chang, Y.R. DC-Link Voltage Control Strategy for Three-Phase Back-to-Back Active Power Conditioners. IEEE Trans. Ind. Electron. 2015, 62, 6306–6316. [Google Scholar] [CrossRef]
- Zheng, X.; Feng, Y.; Han, F.; Yu, X. Integral-Type Terminal Sliding-Mode Control for Grid-Side Converter in Wind Energy Conversion Systems. IEEE Trans. Ind. Electron. 2018, 66, 3702–3711. [Google Scholar] [CrossRef]
- Babaghorbani, B.; Beheshti, M.T.H.; Talebi, H.A. An improved model predictive control of low voltage ride through in a permanent magnet synchronous generator in wind turbine systems. Asian J. Control 2019, 21, 1991–2003. [Google Scholar] [CrossRef]
- Rosyadi, M.; Muyeen, S.M.; Takahashi, R.; Tamura, J. New controller design for PMSG based wind generator with LCL-filter considered. In Proceedings of the 2012 XXth International Conference on Electrical Machines, Marseille, France, 2–5 September 2012; pp. 2112–2118. [Google Scholar] [CrossRef]
- Al Tahir, A.A.R. Semi-global output feedback nonlinear stabilization of variable speed grid connected direct drive wind turbine generator systems. Int. J. Dyn. Control 2018, 6, 233–261. [Google Scholar] [CrossRef]
- Asgar, M.; Nezamabadi, M.M.; Afjei, E.; Siadatan, A. Comparison of DC-link and matrix converters for wind PM generator in weak grid systems. In Proceedings of the 2014 5th Conference on Thermal Power Plants (CTPP), Tehran, Iran, 10–11 June 2014; pp. 95–98. [Google Scholar] [CrossRef]
- Merai, M.; Naouar, M.W.; Slama-Belkhodja, I. An Improved DC-Link Voltage Control Strategy for Grid Connected Converters. IEEE Trans. Power Electron. 2018, 33, 3575–3582. [Google Scholar] [CrossRef]
- Saïd-Romdhane, M.B.; Naouar, M.W.; Slama-Belkhodja, I. Systematic design method for PI controller with Virtual Resistor-based Active Damping of LCL filter. Glob. Energy Interconnect. 2018, 1, 319–329. [Google Scholar] [CrossRef]
- Rodríguez-Cabero, A.; Sánchez, F.H.; Prodanovic, M. A unified control of back-to-back converter. In Proceedings of the 2016 IEEE Energy Conversion Congress and Exposition (ECCE), Milwaukee, WI, USA, 18–22 September 2016; pp. 1–8. [Google Scholar] [CrossRef]
- Huerta, F.; Pizarro, D.; Cobreces, S.; Rodriguez, F.J.; Giron, C.; Rodriguez, A. LQG Servo Controller for the Current Control of LCL Grid-Connected Voltage-Source Converters. IEEE Trans. Ind. Electron. 2012, 59, 4272–4284. [Google Scholar] [CrossRef]
- Yao, Z. Full feedforward of reference powers for the DPC-SVM grid-connected inverter. Int. Trans. Electr. Energy Syst. 2018, 28, e2588. [Google Scholar] [CrossRef]
- Xiaobo, D.; Yang, J.; Kang, Y.; Zaijun, W.; Wei, G.; Haojie, L.; Xiaochen, T. An optimal grid current control strategy with grid voltage observer (GVO) for LCL-filtered grid-connected inverters. IEEJ Trans. Electr. Electron. Eng. 2018, 13, 777–784. [Google Scholar] [CrossRef]
- Hackl, C.M.; Landerer, M. Modified second-order generalized integrators with modified frequency locked loop for fast harmonics estimation of distorted single-phase signals. IEEE Trans. Power Electron. 2020. [Google Scholar] [CrossRef]
- Hackl, C.; Landerer, M. A Unified Method for Generic Signal Parameter Estimation of Arbitrarily Distorted Single-Phase Grids With DC-Offset. IEEE Open J. Ind. Electron. Soc. 2020, 1, 235–246. [Google Scholar] [CrossRef]
- Sefa, I.; Ozdemir, S.; Komurcugil, H.; Altin, N. An Enhanced Lyapunov-Function Based Control Scheme for Three-Phase Grid-Tied VSI with LCL Filter. IEEE Trans. Sustain. Energy 2018, 504–513. [Google Scholar] [CrossRef]
- Boussairi, Y.; Abouloifa, A.; Hamdoun, A.; Aouadi, C.; Lachkar, I.; Giri, F. Nonlinear control of permanent magnet synchronous generator grid-connected applied to wind energy conversion system. In Proceedings of the 2017 IEEE International Conference on Industrial Technology (ICIT), Toronto, ON, Canada, 22–25 March 2017; pp. 452–457. [Google Scholar] [CrossRef]
- Boussairi, Y.; Abouloifa, A.; Lachkar, I.; Aouadi, C.; Hamdoun, A. State Feedback Nonlinear Control Strategy for Wind Turbine System Driven by Permanent Magnet Synchronous Generator for Maximum Power Extraction and Power Factor Correction. In Vibration Analysis and Control in Mechanical Structures and Wind Energy Conversion Systems; Beltran-Carbajal, F., Ed.; IntechOpen: Rijeka, Croatia, 2018; Chapter 5. [Google Scholar] [CrossRef]
- Corriou, J.P. Process Control; Springer: Cham, Switzerland, 2018. [Google Scholar] [CrossRef]
- Lai, N.B.; Kim, K.H. Robust Control Scheme for Three-Phase Grid-Connected Inverters With LCL-Filter Under Unbalanced and Distorted Grid Conditions. IEEE Trans. Energy Convers. 2018, 33, 506–515. [Google Scholar] [CrossRef]
- Maccari, L.A.; do Amarai Santini, C.L.; de Leão Fontoura de Oliveira, R.C.; Montagner, V.F. Robust discrete linear quadratic control applied to grid-connected converters with LCL filters. In Proceedings of the 2013 Brazilian Power Electronics Conference, Gramado, Brazil, 27–31 October 2013; pp. 374–379. [Google Scholar] [CrossRef]
- Judewicz, M.G.; González, S.A.; Fischer, J.R.; Martínez, J.F.; Carrica, D.O. Inverter-Side Current Control of Grid-Connected Voltage Source Inverters with LCL Filter based on Generalized Predictive Control. IEEE J. Emerg. Sel. Top. Power Electron. 2018, 6, 1732–1743. [Google Scholar] [CrossRef]
- Hackl, C.M. MPC with analytical solution and integral error feedback for LTI MIMO systems and its application to current control of grid-connected power converters with LCL-filter. In Proceedings of the 2015 IEEE International Symposium on Predictive Control of Electrical Drives and Power Electronics (PRECEDE), Valparaiso, Chile, 5–6 October 2015; pp. 61–66. [Google Scholar] [CrossRef]
- Ebrahimpanah, S.; Chen, Q.; Zhang, L. Model Predictive Current Control with Duty Cycle Optimization for Two-Level Three-Phase Grid-Tied Inverter with Output LCL Filter Based on Forward Euler Approximation. In Proceedings of the 2017 International Conference on Industrial Informatics—Computing Technology, Intelligent Technology, Industrial Information Integration (ICIICII), Wuhan, China, 2–3 December 2017; pp. 155–158. [Google Scholar] [CrossRef]
- Falkowski, P.; Sikorski, A. Finite Control Set Model Predictive Control for Grid-Connected AC–DC Converters With LCL Filter. IEEE Trans. Ind. Electron. 2018, 65, 2844–2852. [Google Scholar] [CrossRef]
- Dragičević, T.; Zheng, C.; Rodriguez, J.; Blaabjerg, F. Robust Quasi-Predictive Control of LCL-Filtered Grid Converters. IEEE Trans. Power Electron. 2020, 35, 1934–1946. [Google Scholar] [CrossRef]
- Chen, X.; Wu, W.; Gao, N.; Chung, H.S.H.; Liserre, M.; Blaabjerg, F. Finite Control Set Model Predictive Control for LCL-Filtered Grid-Tied Inverter With Minimum Sensors. IEEE Trans. Ind. Electron. 2020, 67, 9980–9990. [Google Scholar] [CrossRef]
- Dirscherl, C.; Fessler, J.; Hackl, C.M.; Ipach, H. State-feedback controller and observer design for grid-connected voltage source power converters with LCL-filter. In Proceedings of the 2015 IEEE Conference on Control Applications (CCA), Sydney, NSW, Australia, 21–23 September 2015; pp. 215–222. [Google Scholar] [CrossRef]
- Dannehl, J.; Liserre, M.; Fuchs, F.W. Filter-Based Active Damping of Voltage Source Converters With LCL Filter. IEEE Trans. Ind. Electron. 2011, 58, 3623–3633. [Google Scholar] [CrossRef]
- Hackl, C.M. Non-identifier Based Adaptive Control in Mechatronics; Springer: Cham, Switzerland, 2017. [Google Scholar] [CrossRef]
- Xin, Z.; Wang, X.; Loh, P.C.; Blaabjerg, F. Grid-Current-Feedback Control for LCL-Filtered Grid Converters With Enhanced Stability. IEEE Trans. Power Electron. 2017, 32, 3216–3228. [Google Scholar] [CrossRef]
- Dirscherl, C.; Hackl, C.; Schechner, K. Modellierung und Regelung von modernen Windkraftanlagen: Eine Einführung. In Elektrische Antriebe—Regelung von Antriebssystemen; Schröder, D., Ed.; Springer: Berlin/Heidelberg, Germany, 2015; pp. 1540–1614. [Google Scholar] [CrossRef]
- Ludyk, G. Theoretische Regelungstechnik 1; Springer: Berlin/Heidelberg, Germany, 1995. [Google Scholar] [CrossRef]
- Soliman, M.A.; Hasanien, H.M.; Azazi, H.Z.; El-Kholy, E.E.; Mahmoud, S.A. Linear-Quadratic Regulator Algorithm-Based Cascaded Control Scheme for Performance Enhancement of a Variable-Speed Wind Energy Conversion System. Arab. J. Sci. Eng. 2018. [Google Scholar] [CrossRef]
- Papageorgiou, M.; Leibold, M.; Buss, M. Optimierung; Springer: Berlin/Heidelberg, Germany, 2015. [Google Scholar] [CrossRef]
- Ackermann, J. Abtastregelung; Springer: Berlin/Heidelberg, Germany, 1988. [Google Scholar] [CrossRef]
- Hanselmann, H. Implementation of Digital Controllers—A Survey. Automatica 1987, 23, 7–32. [Google Scholar] [CrossRef]
- Tewari, A. Modern Control Design: With Matlab and Simulink; John Wiley and Sons: Chichester, UK, 2002. [Google Scholar]
- Johnson, M.A.; Grimble, M.J. Recent trends in linear optimal quadratic multivariable control system design. IEE Proc. D Control Theory Appl. 1987, 134, 53–71. [Google Scholar] [CrossRef]
- Hinrichsen, D.; Pritchard, A. Mathematical Systems Theory I—Modelling, State Space Analysis, Stability and Robustness; Number 48 in Texts in Applied Mathematics; Springer: Berlin, Germany, 2005. [Google Scholar] [CrossRef]
- Schechner, K.; Bauer, F.; Hackl, C.M. Nonlinear DC-link PI control for airborne wind energy systems during pumping mode. In Airborne Wind Energy: Advances in Technology Development and Research; Schmehl, R., Ed.; Springer: Singapore, 2019. [Google Scholar] [CrossRef]

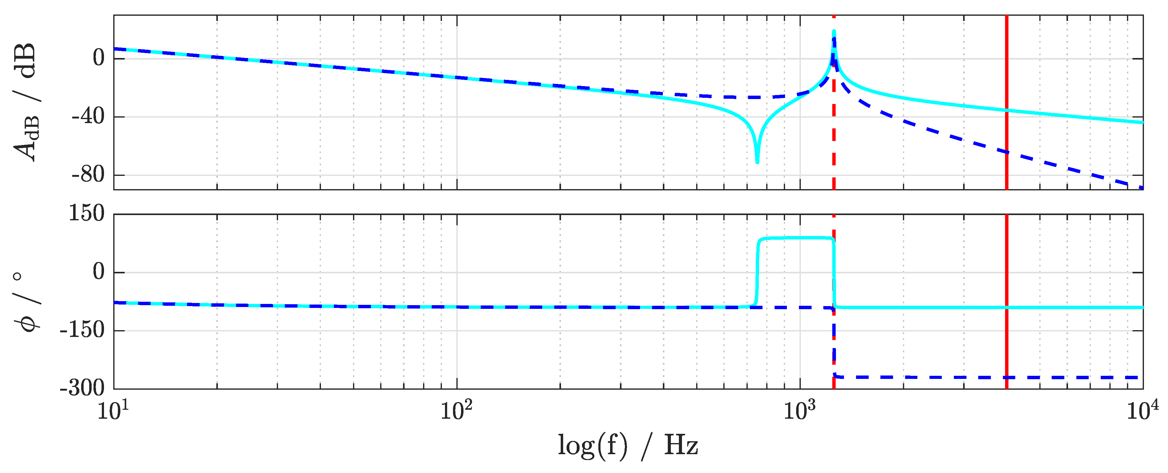
,
,
sampling frequency ,
resonance frequency ].
,
,
sampling frequency ,
resonance frequency ].
simulated currents , , and , filter voltages , and ,
reference currents , ].
simulated currents , , and , filter voltages , and ,
reference currents , ].
simulated currents , , and , filter voltages and ,
reference currents and ].
simulated currents , , and , filter voltages and ,
reference currents and ].



reference signal ,
measured signal ].
reference signal ,
measured signal ].
reference signal of measurement results,
simulated actual value,
measured actual value].
reference signal of measurement results,
simulated actual value,
measured actual value].
reference signal of measurement results,
simulated actual value,
measured actual value].
reference signal of measurement results,
simulated actual value,
measured actual value].
reference signal,
simulated actual value,
measured actual value].
reference signal,
simulated actual value,
measured actual value].
reference signals
actual value with doubled ,
actual value with original ,
actual value with half of ].
reference signals
actual value with doubled ,
actual value with original ,
actual value with half of ].
| Ref. | ()/ () | Filter | |||
|---|---|---|---|---|---|
| [1] | 25 | 700 | 32 | 15 | L |
| [1] | 101 | 700 | 4 | 15 | L |
| [2] | 40 | 450 | 6 | 9 | L |
| [3] | 80 | 750 | 5 | 15 | L |
| [8] | 470 | ≥565 | 5 | L | |
| [9] | 470 | 400–450 | 20 | LCL | |
| [10] | 800 | 235–450 | 20 | 1 | LCL |
| [11] | 600 | 10 | LCL | ||
| [12] | 1000 | 600 | - | 2 (jumps) | LCL |
| [13] | 1500 | 700 | - | 12 | L |
| [14] | 1500 | 680 | 10 | 15 | LCL |
| [15] | 1500 | 800 | - | 6 | LCL |
| [16] | 2800 | 400 | 20 | 5 | L |
| [17] | 6000 | 700 | - | 25 | LCL |
| [18] | 23,000 | 1200 | 20 | L | |
| [19] | 25,000 | 1750 | 4 | LCL | |
| [20] | 25,000 | 500 | 15 | LCL | |
| [21] | 300,000 | 700 | - | L | |
| [22] | 1100 | 150 | 20 | ≤1 | L |
| [23] | 1100 | 800 | 10 | 20 | L |
| [24] | 2000 | 680 | 10 | 15 | LCL |
| [25] | 3300 | 750 | 5 | LCL |
| Symbol | Name | Value |
|---|---|---|
| filter inductance | ||
| grid inductance | ||
| filter capacitance | 10 | |
| dc-link capacitance | 60 | |
| parasitic resistance | ||
| parasitic resistance | ||
| parasitic resistance | 0 | |
| sampling frequency | 4 | |
| angular grid frequency | ||
| grid voltage amplitude |
| N | |||||||
|---|---|---|---|---|---|---|---|
| 8 |
| OP | / | / | / | / | / |
|---|---|---|---|---|---|
| OP1 | 0 | 0 | 750 | 324.47 | 0.1 |
| OP2 | 0 | 0 | 600 | 324.47 | 0.1 |
| OP3 | 0 | 0 | 900 | 324.47 | 0.1 |
| OP4 | −11.5 | 0 | 750 | 321.01 | −25.26 |
| OP5 | 11.5 | 0 | 750 | 327.92 | 25.47 |
| OP6 | 0 | −11.5 | 750 | 349.71 | −3.35 |
| OP7 | 0 | 11.5 | 750 | 299.22 | 3.56 |
| OP8 | −11.5 | −11.5 | 600 | 346.26 | −28.72 |
| OP9 | −11.5 | 11.5 | 600 | 295.76 | −21.81 |
Publisher’s Note: MDPI stays neutral with regard to jurisdictional claims in published maps and institutional affiliations. |
© 2020 by the authors. Licensee MDPI, Basel, Switzerland. This article is an open access article distributed under the terms and conditions of the Creative Commons Attribution (CC BY) license (http://creativecommons.org/licenses/by/4.0/).
Share and Cite
Kalmbach, O.; Dirscherl, C.; Hackl, C.M. Discrete-Time DC-Link Voltage and Current Control of a Grid-Connected Inverter with LCL-Filter and Very Small DC-Link Capacitance. Energies 2020, 13, 5613. https://doi.org/10.3390/en13215613
Kalmbach O, Dirscherl C, Hackl CM. Discrete-Time DC-Link Voltage and Current Control of a Grid-Connected Inverter with LCL-Filter and Very Small DC-Link Capacitance. Energies. 2020; 13(21):5613. https://doi.org/10.3390/en13215613
Chicago/Turabian StyleKalmbach, Oliver, Christian Dirscherl, and Christoph M. Hackl. 2020. "Discrete-Time DC-Link Voltage and Current Control of a Grid-Connected Inverter with LCL-Filter and Very Small DC-Link Capacitance" Energies 13, no. 21: 5613. https://doi.org/10.3390/en13215613
APA StyleKalmbach, O., Dirscherl, C., & Hackl, C. M. (2020). Discrete-Time DC-Link Voltage and Current Control of a Grid-Connected Inverter with LCL-Filter and Very Small DC-Link Capacitance. Energies, 13(21), 5613. https://doi.org/10.3390/en13215613

