Zero-Vector-Injection Based Current Sharing Control of Interleaved Full-Bridge LLC Resonant Converters
Abstract
:1. Introduction
2. Principle of Zero-Vector-Injection Based Current Sharing
3. Implementation of Zero-Vector-Injection and Soft Switching
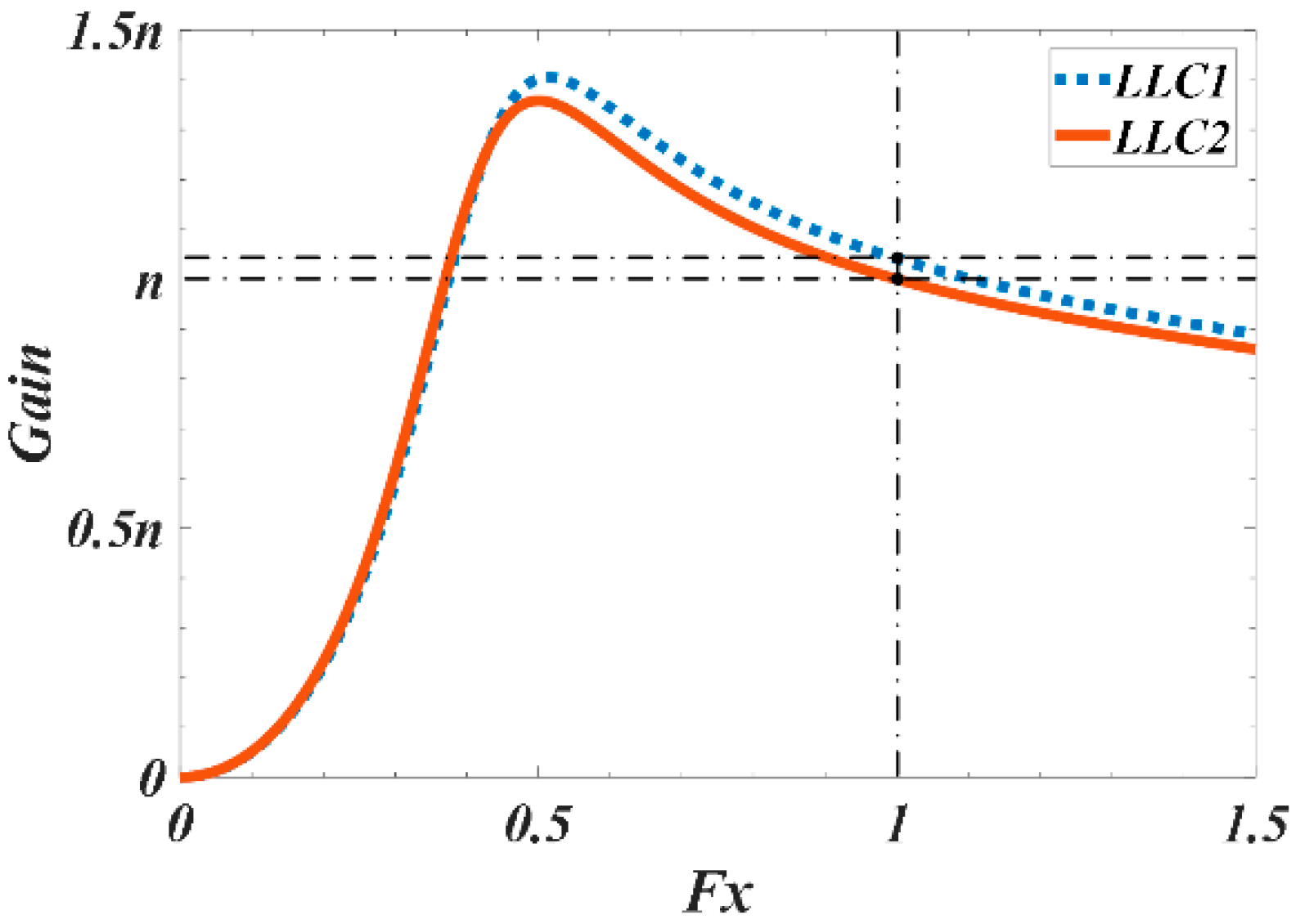
4. Simulation and Experimental Verification
5. Conclusions
Author Contributions
Funding
Acknowledgments
Conflicts of Interest
References
- Hussain, H.; Seung-Woo, B.; Hag-Wone, K.; Kwan-Yuhl, C. Circuit Topology and small signal modeling of variable duty cycle controlled three-level LLC conver. Energies 2019, 12, 3833. [Google Scholar]
- Eun-Soo, K.; Jae-Sung, O. High-efficiency bidirectional LLC resonant converter with primary auxiliary windings. Energies 2019, 12, 4692. [Google Scholar]
- Fang, L.; Ruixiang, H.; Haodong, L.; Xinyi, Z. The influence of parasitic components on LLC resonant converter. Energies 2019, 12, 4305. [Google Scholar]
- Hiroki, W.; Jun-ichi, I.; Naoki, K.; Shinichiro, N. PV Micro-inverter topology using LLC resonant converter. Energies 2019, 12, 3106. [Google Scholar]
- Yang, B.; Lee, F.C.; Zhang, A.J.; Huang, G. LLC resonant converter for front end DC/DC conversion. In Proceedings of the IEEE 17th Annual Applied Power Electron Conference and Exposition, Dallas, TX, USA, 10–14 March 2002; Volume 2, pp. 1108–1112. [Google Scholar]
- Musavi, F.; Craciun, M.; Gautam, D.S.; Eberle, W.; Dunford, W.G. An LLC resonant DC–DC converter for wide output voltage range battery charging applications. IEEE Trans. Power Electron. 2013, 28, 5437–5445. [Google Scholar] [CrossRef]
- Batarseh, I. Resonant converter topologies with three and four energy storage elements. IEEE Trans. Power Electron. 1994, 9, 64–73. [Google Scholar] [CrossRef]
- Lu, B.; Liu, W.; Liang, Y.; Lee, F.C.; Van Wyk, J.D. Optimal design methodology for LLC resonant Converter. In Proceedings of the IEEE 21th Annual Applied Power Electron Conference Exposition, Dallas, TX, USA, 19–23 March 2006; pp. 533–538. [Google Scholar]
- Xiaogao, X.; Junming, Z.; Chen, Z.; Zhuo, Z.; Zhaoming, Q. Analysis and optimization of LLC resonant converter with a novel over-current protection circuit. IEEE Trans. Power Electron. 2007, 22, 435–443. [Google Scholar]
- Bong-Chul, K.; Ki-Bum, P.; Chong-Eun, K.; Byoung-Hee, L.; Gun-Woo, M. LLC resonant converter with adaptive link-voltage variation for a high-power-density adapter. IEEE Trans. Power Electron. 2010, 25, 2248–2252. [Google Scholar]
- Hang, L.; Li, B.; Liu, S.; Gu, Y.; Yao, W.; Lu, Z. Asymmetrical secondary structure of LLC series resonant DC/DC converter for multi-output applications. IET Power Electron. 2011, 4, 993–1001. [Google Scholar] [CrossRef]
- Huang, D.; Ji, S.; Lee, F.C. LLC Resonant converter with matrix transformer. IEEE Trans. Power Electron. 2014, 29, 4339–4347. [Google Scholar] [CrossRef]
- Kim, M. Two-phase interleaved LLC resonant converter with phase shedding control. In Proceedings of the 2010 International Power Electronics Conference (ECCE ASIA), Sapporo, Japan, 21–24 June 2010; pp. 1642–1645. [Google Scholar]
- Jin, T.; Smedley, K. Multiphase LLC series resonant converter for microprocessor voltage regulation conference record. In Proceedings of the IEEE Industry Applications Conference Forty-First IAS Annual Meeting, Tampa, FL, USA, 8–12 October 2006; pp. 2136–2143. [Google Scholar]
- Figge, H.; Grote, T.; Froehleke, N.; Boecker, J.; Ide, P. Paralleling of LLC resonant converters using frequency controlled current balancing. In Proceedings of the IEEE Power Electronics Specialists Conference, Rhodes, Greece, 15–19 June 2008; pp. 1080–1085. [Google Scholar]
- Lin, B.; Yang, W.; Chen, J.; Huang, C.; Yu, M. Interleaved LLC series converter with output voltage doubler. In Proceedings of the 2010 International Power Electronics Conference (ECCE ASIA), Sapporo, Japan, 21–24 June 2010; pp. 92–98. [Google Scholar]
- Kim, B.-C.; Park, K.-B.; Kim, C.-E.; Moon, G.-W. Load sharing characteristic of two-phase interleaved LLC resonant converter with parallel and series input structure. In Proceedings of the IEEE Energy Conversion Congress and Exposition, San Jose, CA, USA, 20–24 September 2009; pp. 750–753. [Google Scholar]
- Kim, B.; Park, K.; Moon, G. Analysis and design of two-phase interleaved LLC resonant converter considering load sharing. In Proceedings of the IEEE Energy Conversion Congress and Exposition, San Jose, CA, USA, 20–24 September 2009; pp. 1141–1144. [Google Scholar]
- Hu, Z.; Qiu, Y.; Liu, Y. Digital implementation of load sharing method for interleaved LLC converters. In Proceedings of the IEEE 14th Workshop on Control and Modeling for Power Electronics (COMPEL), Salt Lake City, UT, USA, 3–26 June 2013; pp. 1–7. [Google Scholar]
- Hu, Z.; Qiu, Y.; Liu, Y.; Sen, P.C. A control strategy and design method for interleaved LLC converters operating at variable switching frequency. IEEE Trans. Power Electron. 2014, 29, 4426–4437. [Google Scholar] [CrossRef]
- Orietti, E.; Mattavelli, P.; Spiazzi, G.; Adragna, C.; Gattavari, G. Two-phase interleaved LLC resonant converter with current-controlled inductor. In Proceedings of the Brazilian Power Electronics Conference, Bonito-Mato Grosso do Sul, Brazil, 27 September–1 October 2009; pp. 298–304. [Google Scholar]
- Wang, H.; Chen, Y.; Liu, Y.; Afsharian, J.; Yang, Z. A passive current sharing method with common inductor multiphase LLC resonant converter. IEEE Trans. Power Electron. 2017, 32, 6994–7010. [Google Scholar] [CrossRef]
- Wang, H.; Chen, Y.; Hu, Z.; Wang, L.; Qiu, Y.; Liu, W.; Liu, Y.; Afsharian, J.; Yang, Z. A common capacitor multi-phase LLC resonant converter. In Proceedings of the IEEE Applied Power Electronics Conference and Exposition (APEC), Long Beach, CA, USA, 20–24 March 2016; pp. 2320–2327. [Google Scholar]
- Wang, H.; Chen, Y.; Liu, Y. A passive-impedance-matching technology to achieve automatic current sharing for a multiphase resonant converter. IEEE Trans. Power Electron. 2017, 32, 9191–9209. [Google Scholar] [CrossRef]
- Sato, M.; Takiguchi, R.; Imaoka, J.; Shoyama, M. A novel secondary PWM-controlled interleaved LLC resonant converter for load current sharing. In Proceedings of the IEEE 8th International Power Electronics and Motion Control Conference (IPEMC-ECCE Asia), Hefei, China, 22–26 May 2016; pp. 2276–2280. [Google Scholar]
- Sun, J.; Tang, X.; Xing, Y.; Chen, B.; Wu, H.; Sun, K. Current sharing control of interleaved LLC resonant converter with hybrid rectifier. In Proceedings of the IEEE Applied Power Electronics Conference and Exposition (APEC), Anaheim, CA, USA, 17–21 March 2019; pp. 2223–2227. [Google Scholar]
- Mostafa, N.; Shun, E.; Hiroki, I.; Kimihiro, N. A current sharing method utilizing single balancing transformer for a multiphase LLC resonant converter with integrated magnetics. IEEE J. Emerg. Sel. Top. Power Electron. 2018, 1. [Google Scholar] [CrossRef]
- Kirshenboim, O.; Peretz, M.M. Combined multilevel and two-phase interleaved LLC converter with enhanced power processing characteristics and natural current sharing. IEEE Trans. Power Electron. 2018, 33, 5613–5620. [Google Scholar] [CrossRef]
- Tada, Y.; Sato, Y.; Uno, M. Three-phase interleaved LLC converter with capacitive current balancing and reduced switch voltage stress. In Proceedings of the 10th International Conference on Power Electronics and ECCE Asia (ICPE 2019-ECCE Asia), Busan, Korea, 27–31 May 2019; pp. 1–7. [Google Scholar]
- De Simone, S.; Adragna, C.; Spini, C.; Gattavari, G. Design-oriented steady-state analysis of LLC resonant converters based on FHA. In Proceedings of the International Symposium on Power Electronics, Electrical Drives, Automation and Motion, SPEEDAM, Taormina, Italy, 23–26 May 2006; pp. 200–207. [Google Scholar]
- Murata, K.; Kurokawa, F. An Interleaved PFM LLC Resonant converter with phase shift compensation. IEEE Trans. Power Electron. 2015, 31, 2264–2272. [Google Scholar] [CrossRef]























| Parameter | Symbol | Value |
|---|---|---|
| Input Voltage | 28 V | |
| Output Voltage | 180 V | |
| Turns Ratio | 3:20 | |
| Resonant Capacitance | 95 nF 100 nF | |
| Resonant Inductance | 26 μH 25 μH | |
| Magnetizing Inductance | 125 μH 126 μH | |
| Switching Frequency | 100 kHz | |
| Phase-shift | α | 90° |
| Parameter | Symbol | Value |
|---|---|---|
| Input Voltage | 28 V | |
| Output Voltage | 180 V | |
| Rated Power | , | 900 W |
| Turns Ratio | 3:20 | |
| Resonant Capacitance | 100 nF | |
| Resonant Inductance | 25 μH | |
| Magnetizing Inductance | 125 μH | |
| Switching Frequency | 95 kHz | |
| Phase-shift | α | 90° |
© 2020 by the authors. Licensee MDPI, Basel, Switzerland. This article is an open access article distributed under the terms and conditions of the Creative Commons Attribution (CC BY) license (http://creativecommons.org/licenses/by/4.0/).
Share and Cite
Wu, X.; Luo, D.; Wu, P.; Zhao, X.; Kang, Z.; Wu, X. Zero-Vector-Injection Based Current Sharing Control of Interleaved Full-Bridge LLC Resonant Converters. Energies 2020, 13, 347. https://doi.org/10.3390/en13020347
Wu X, Luo D, Wu P, Zhao X, Kang Z, Wu X. Zero-Vector-Injection Based Current Sharing Control of Interleaved Full-Bridge LLC Resonant Converters. Energies. 2020; 13(2):347. https://doi.org/10.3390/en13020347
Chicago/Turabian StyleWu, Xuanlyu, Dejie Luo, Panpan Wu, Xin Zhao, Zhen Kang, and Xiaohua Wu. 2020. "Zero-Vector-Injection Based Current Sharing Control of Interleaved Full-Bridge LLC Resonant Converters" Energies 13, no. 2: 347. https://doi.org/10.3390/en13020347
APA StyleWu, X., Luo, D., Wu, P., Zhao, X., Kang, Z., & Wu, X. (2020). Zero-Vector-Injection Based Current Sharing Control of Interleaved Full-Bridge LLC Resonant Converters. Energies, 13(2), 347. https://doi.org/10.3390/en13020347

